Single-Band versus Two-Band Description of Magnetism in Infinite-Layer Nickelates
Abstract
1. Introduction: Superconducting Infinite-Layer Nickelates NdSrNiO
2. The Two-Band Model and One-Band Model for Infinite-Layer Nickelate
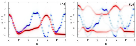
3. Results and Discussion
4. Materials and Methods
5. Summary and Conclusions
Author Contributions
Funding
Data Availability Statement
Acknowledgments
Conflicts of Interest
References
- Bednorz, J.G.; Müller, K.A. Possible high-Tc superconductivity in the Ba-La-Cu-O system. Z. Phys. B 1986, 64, 189–193. [Google Scholar] [CrossRef]
- Keimer, B.; Kivelson, S.A.; Norman, M.R.; Uchida, S.; Zaanen, J. From quantum matter to high-temperature superconductivity in copper oxides. Nature 2015, 518, 179–186. [Google Scholar] [CrossRef] [PubMed]
- Li, D.; Lee, K.; Wang, B.Y.; Osada, M.; Crossley, S.; Lee, H.R.; Cui, Y.; Hikita, Y.; Hwang, H.Y. Superconductivity in an infinite-layer nickelate. Nature 2019, 572, 624–627. [Google Scholar] [CrossRef] [PubMed]
- Li, D.; Wang, B.Y.; Lee, K.; Harvey, S.P.; Osada, M.; Goodge, B.H.; Kourkoutis, L.F.; Hwang, H.Y. Superconductiviting Dome in Nd1−xSrxNiO2 Infinite Layer Films. Phys. Rev. Lett. 2020, 125, 027001. [Google Scholar] [CrossRef]
- Held, K.; Si, L.; Worm, P.; Janson, O.; Arita, R.; Zhang, Z.; Tomczak, J.M.; Kitatani, M. Phase Diagram of Nickelate Superconductors Calculated by Dynamical Vertex Approximation. Front. Phys. 2022, 9, 1. [Google Scholar] [CrossRef]
- Wu, X.; Di Sante, D.; Schwemmer, T.; Hanke, W.; Hwang, H.Y.; Raghu, S.; Thomale, R. Robust dx2−y2-wave superconductivity of infinite-layer nickelates. Phys. Rev. B 2020, 101, 060504(R). [Google Scholar] [CrossRef]
- Botana, A.S.; Norman, M.R. Simitarities and differences between LaNiO2 and CaCuO2 and implications for superconductivity. Phys. Rev. X 2020, 10, 011024. [Google Scholar] [CrossRef]
- Jiang, M.; Berciu, M.; Sawatzky, G.A. Critical Nature of the Ni Spin State in Doped NdNiO2. Phys. Rev. Lett. 2020, 124, 207004. [Google Scholar] [CrossRef]
- Plienbumrung, T.; Daghofer, M.; Oleś, A.M. Interplay between Zhang-Rice singlet and high-spin states in a model for doped NiO2 planes. Phys. Rev. B 2021, 103, 104513. [Google Scholar] [CrossRef]
- Plienbumrung, T.; Schmid, M.T.; Daghofer, M.; Oleś, A.M. Character of Doped Holes in Nd1−xSrxNiO2. Condens. Matter 2021, 6, 33. [Google Scholar] [CrossRef]
- Plienbumrung, T.; Daghofer, M.; Schmid, M.; Oleś, A.M. Screening in a two-band model for superconducting infinite-layer nickelate. Phys. Rev. B 2022, 106, 134504. [Google Scholar] [CrossRef]
- Zhang, F.C.; Rice, T.M. Effective Hamiltonian for the superconducting Cu Oxides. Phys. Rev. B 1988, 37, 3759–3761. [Google Scholar] [CrossRef] [PubMed]
- Kitatani, M.; Si, L.; Janson, O.; Arita, R.; Zhong, Z.; Held, K. Nickelate superconductors—A renaissance of the one–band Hubbard model. NPJ Quantum Mater. 2020, 5, 59. [Google Scholar] [CrossRef]
- Hu, L.-H.; Wu, C. Two-band model for magnetism and superconductivity in nickelates. Phys. Rev. Res. 2019, 1, 032046. [Google Scholar] [CrossRef]
- Adhikary, P.; Bandyopadhyay, S.; Das, T.; Dasgupta, I.; Saha-Dasgupta, T. Orbital selective superconductivity in a two-band model of infinite-Layer nickelates. Phys. Rev. B 2020, 102, 100501(R). [Google Scholar] [CrossRef]
- Zhang, G.-M.; Yang, Y.F.; Zhang, F.C. Self-doped Mott insulator for parent compounds of nickelate superconductors. Phys. Rev. B 2020, 101, 020501(R). [Google Scholar] [CrossRef]
- Peres, N.M.R.; Araújo, M.A.N. Spin-wave dispersion in La2CuO4. Phys. Rev. B 2002, 65, 132404. [Google Scholar] [CrossRef]
- Giannozzi, O.; Baroni, S.; Bonini, N.; Calandra, M.; Car, R.; Cavazzoni, C.; Ceresoli, D.; Chiarotti, G.L.; Cococcioni, M.; Daboet, I.; et al. Quantum Espresso: A modular and open-source software project for quantum simulations of materials. J. Phys. Condens. Matter 2009, 21, 395502. [Google Scholar] [CrossRef] [PubMed]
- Giannozzi, O.; Andreussi, O.; Brumme, T.; Bunau, O.; Buongiorno Nardelli, M.; Calandra, M.; Car, R.; Cavazzoni, C.; Ceresoli, D.; Cococcioni, M.; et al. Advanced capabilities for materials modelling with Quantum Espresso. J. Phys. Condens. Matter 2017, 29, 465901. [Google Scholar] [CrossRef]
- Dal Corso, A. Pseudopotentials periodic table: From H to Pu. Comp. Mat. Sci. 2014, 95, 337–350. [Google Scholar] [CrossRef]
- Hayward, M.A.; Rosseinsky, M.J. Synthesis of the infinite layer Ni(I) phase NdNiO2+x by low temperature reduction of NdNiO3 with sodium hydride. Solid State Sci. 2003, 5, 839–850. [Google Scholar] [CrossRef]
- Nakamura, K.; Yoshimoto, Y.; Nomura, Y.; Tadano, T.; Kawamura, M.; Kosugi, T.; Yoshimi, K.; Misawa, T.; Motoyama, Y. Respack: An ab initio tool for derivation of effective low-energy model of material. Comp. Phys. Commun. 2021, 261, 107781. [Google Scholar] [CrossRef]
- Morée, J.-B.; Hirayama, M.; Schmid, M.T.; Yamaji, Y.; Imada, M. Ab initio low-energy effective Hamiltonians for the high-temperature superconducting cuprates Bi2Sr2CuO6, Bi2Sr2CaCu2O8, HgBa2CuO4, and CaCuO2. Phys. Rev. B 2022, 106, 235150. [Google Scholar] [CrossRef]
- Marzari, N.; Vanderbilt, D. Maximally localized generalized Wannier functions for composite energy bands. Phys. Rev. B 1997, 56, 12847–12865. [Google Scholar] [CrossRef]
- Souza, I.; Marzari, N.; Vanderbilt, D. Maximally localized Wannier functions for entangled energy bands. Phys. Rev. B 2001, 65, 035109. [Google Scholar] [CrossRef]
- Miyake, T.; Aryasetiawan, F.; Imada, M. Ab initio procedure for constructing effective models of correlated materials with entangled band structure. Phys. Rev. B 2009, 80, 155134. [Google Scholar] [CrossRef]
- Oleś, A.M. Antiferromagnetism and correlation of electrons in transition metals. Phys. Rev. B 1983, 28, 327–339. [Google Scholar] [CrossRef]
- Arrigoni, E.; Aichhorn, M.; Daghofer, M.; Hanke, W. Phase diagram and single-particle spectrum of CuO2 high-Tc layers: Variational cluster approach to the three-band Hubbard model. New J. Phys. 2009, 11, 055066. [Google Scholar] [CrossRef][Green Version]
- Aryasetiawan, F.; Imada, M.; Georges, A.; Kotliar, G.; Biermann, S.; Lichtenstein, A.I. Frequency-dependent local interactions and low-energy effective models from electronic structure calculations. Phys. Rev. B 2004, 70, 195104. [Google Scholar] [CrossRef]
- Aryasetiawan, F.; Karlsson, K.; Jepsen, O.; Schönberger, U. Calculations of Hubbard U from first-principles. Phys. Rev. B 2006, 74, 125106. [Google Scholar] [CrossRef]
- Lu, H.; Rossi, M.; Nag, M.; Osada, M.; Li, D.F.; Lee, K.; Wang, G.Y.; Garcia-Fernandez, M.; Agrestini, S.; Shen, Z.X.; et al. Magnetic excitations in infinite-layer nickelates. Science 2021, 373, 213–216. [Google Scholar] [CrossRef]
- Lin, J.Q.; Villar Arribi, P.; Fabbris, G.; Botana, A.S.; Meyers, D.; Miao, H.; Shen, Y.; Mazzone, D.G.; Feng, J.; Chiuzbǎian, S.G.; et al. Strong superexchange in a d9−δ nickelate revealed by resonant inelastic x-ray scattering. Phys. Rev. Lett. 2021, 126, 087001. [Google Scholar] [CrossRef] [PubMed]
- Lechermann, F. Doping-dependent character and possible magnetic ordering of NdNiO2. Phys. Rev. Mater. 2021, 5, 044803. [Google Scholar] [CrossRef]
- Graser, S.; Meier, T.A.; Scalapino, D.J. Near-degeneracy of several pairing channels in multiorbital models for the Fe pnictides. New J. Phys. 2009, 11, 025016. [Google Scholar] [CrossRef]
- Brydon, P.M.R.; Daghofer, M.; Timm, C. Magnetic order in orbital models of the iron pnictides. J. Phys. Condens. Matter 2011, 23, 246001. [Google Scholar] [CrossRef]
- Koch, E. The Lanczos Method. In The LDA+DMFT Approach to Strongly Correlated Materials; Pavarini, E., Koch, E., Vollhardt, D., Lichtenstein, A., Eds.; Forschungzentrum Jülich: Jülich, Germany, 2011; Volume 1, Chapter 8; ISBN 978-3-89336-734-4. [Google Scholar]





Disclaimer/Publisher’s Note: The statements, opinions and data contained in all publications are solely those of the individual author(s) and contributor(s) and not of MDPI and/or the editor(s). MDPI and/or the editor(s) disclaim responsibility for any injury to people or property resulting from any ideas, methods, instructions or products referred to in the content. |
© 2023 by the authors. Licensee MDPI, Basel, Switzerland. This article is an open access article distributed under the terms and conditions of the Creative Commons Attribution (CC BY) license (https://creativecommons.org/licenses/by/4.0/).
Share and Cite
Plienbumrung, T.; Daghofer, M.; Morée, J.-B.; Oleś, A.M. Single-Band versus Two-Band Description of Magnetism in Infinite-Layer Nickelates. Condens. Matter 2023, 8, 107. https://doi.org/10.3390/condmat8040107
Plienbumrung T, Daghofer M, Morée J-B, Oleś AM. Single-Band versus Two-Band Description of Magnetism in Infinite-Layer Nickelates. Condensed Matter. 2023; 8(4):107. https://doi.org/10.3390/condmat8040107
Chicago/Turabian StylePlienbumrung, Tharathep, Maria Daghofer, Jean-Baptiste Morée, and Andrzej M. Oleś. 2023. "Single-Band versus Two-Band Description of Magnetism in Infinite-Layer Nickelates" Condensed Matter 8, no. 4: 107. https://doi.org/10.3390/condmat8040107
APA StylePlienbumrung, T., Daghofer, M., Morée, J.-B., & Oleś, A. M. (2023). Single-Band versus Two-Band Description of Magnetism in Infinite-Layer Nickelates. Condensed Matter, 8(4), 107. https://doi.org/10.3390/condmat8040107

