Abstract
I present here a short memory of my scientific contacts with K.A. Müller starting from the Interlaken Conference (1988), Erice (1992 and 1993), and Cottbus (1994) on the initial studies on phase separation (PS) and charge inhomogeneity in cuprates carried out against the view of the majority of the scientific community at that time. Going over the years and passing through the charge density wave (CDW) instability of the correlated Fermi liquid (FL) and to the consequences of charge density fluctuations (CDFs), I end with a presentation of my current research activity on CDWs and the related two-dimensional charge density fluctuations (2D-CDFs). A scenario follows of the physics of cuprates, which includes the solution of the decades-long problem of the strange metal (SM) state.
1. Introduction
My scientific familiarity with Alex Müller goes back to the 1970s when I was involved in the research on critical phenomena. His contributions to this field could not be overlooked by any researcher active in the field.
His research was fundamental in bringing the static and dynamical behavior of structural phase transition and ferroelectrics within the mainstream of critical phenomena [1].
Again, in the 1970s, he together with Harry Thomas presented a theory of structural phase transitions in which the lowering of symmetry comes from the Jahn–Teller effect of the ionic constituents [2]. That paper, in addition to showing the versatile nature and the usual deep understanding of the physics by Alex, is also the paper to which he was often referring when discussing his approach in searching high-temperature superconductivity.
In 1986, his discovery with J. G. Bednorz [3] of high critical temperature superconductors (HTSCs) in barium-doped lanthanum copper oxides with the critical temperature TC in the thirty Kelvin range realized the chimera of experimental physicists for decades. Their paper was quickly followed by the discovery of various families of cuprate superconductors, with critical temperature values well above the liquefaction temperature of nitrogen.
At the time, I was studying with C. Castellani another important problem in condensed matter—the generalization to correlated electrons of the metal–insulator transition resulting from the Anderson localization due to disorder. The problematic of interacting disordered electronic systems was still a very hot topic, but it was overshadowed by the new problematic of HTSCs. The importance of electron correlation for the study of these materials became immediately apparent, in particular under the input offered by P.W. Anderson [4]. Those who, like us, had been working on strongly correlated electron systems, could not escape the temptation to work on this new type of superconductor. Then, my adventure on HTSCs started and my friendly relations with Alex became direct and deeper.
It will be apparent how much our scientific community is indebted to Alex and how much our research activity in this field, mine in particular, was inspired and supported by him. I therefore consider it my duty and pleasure to dedicate this work to him. My aim is to retrace the line we followed over the years in Rome to produce a scenario of the physics of cuprates, for a recent review see [5]. I proceed through the years to end up with two recent contributions [6,7] produced with S. Caprara, M. Grilli and G. Seibold in a collaboration with the experimental group of the Politecnico of Milano on resonant X-ray scattering (RXS) (G. Ghiringhelli, L. Braicovich, R. Arpaia, among others) in which charge density fluctuations (CDFs) are thoroughly investigated leading to a deeper understanding of the physics of these systems. I have no claim of completeness; I only follow my line of reasoning for which no one else is responsible even though I am deeply indebted to Alex Müller for his continuous support in the first fifteen years of my research activity in this field and to all my collaborators throughout the years.
2. Results
2.1. General Properties
Let me recall the general properties of the cuprates by referring to their generic phase diagram (Figure 1a). All these materials are made up of copper–oxygen planes (CuO2), a quasi-bidimensional structure intercalated with layers of rare earth (lanthanum, yttrium, barium, etc., depending on the various families of cuprates, Figure 1b). In their stoichiometric composition (e.g., La2CuO4), these materials are antiferromagnetic (AF) Mott insulators, despite the fact that they have one hole per CuO2 unit cell in the copper–oxygen plane and should have been metals. Hence, there is the need for a strong correlation between charge carriers, holes in this case.
Figure 1.
(a) Generic phase diagram of cuprates of temperature T vs. doping p. Blue region: antiferromagnetic (AF) phase. Red region: superconductive phase. T* smeared gray line: pseudogap line. (b) Structure of cuprates, e.g., La2−xSrxCuO2 (LSCO).
Upon substitution of the rare earth with heterovalent dopants (e.g., strontium replacing lanthanum in LSCO), the number of holes increases in the CuO2 plane and the system becomes a metal, albeit a bad metal. Nevertheless, the system becomes a superconductor, with d-wave symmetry, when the temperature is lowered below a dome-shaped doping-dependent critical temperature TC(p) (red region in Figure 1a). TC reaches a maximum at the so-called optimal doping and decreases by lowering p in the underdoped region or increasing p in the so-called overdoped region, where the system is well described by the normal Fermi liquid (FL) theory. On the contrary, the metallic phase in the underdoped region and above optimal doping is not in line with ordinary metals and the predictions of the normal Fermi liquid theory. In the metal phase, a strong anisotropy is measured in the electrical conductivity that, in the CuO2 plane, exceeds the transversal conductivity by orders of magnitude. Moreover, the resistance displays a linear in T dependence (strange metal) over a wide range of temperatures above the doping-dependent pseudogap line T*(p) [8]. T*(p) decreases with p and merges with TC around optimal doping. Below T*(p), a pseudogap is formed with an even stronger violation of Fermi liquid (FL) behavior (Figure 1). The pseudogap formation is apparently connected [9] with the suppression of quasiparticle (QP) states at the Fermi surface (FS) along the so-called antinodal (0,0)–(0.5,0) direction, as shown in Figure 9, and the consequent formation of Fermi arcs in the nodal region.
In classic superconductors, the necessary attraction for the formation of electron pairs is mediated by phonons, as indicated by the so-called isotope effect, whereby the critical temperature for the onset of superconductivity depends on the isotopic mass of the lattice ion. As a further anomaly of these systems, the isotope effect is either absent or anomalous, for example, having a strong effect on T* [10].
An international debate thus ensued among theoretical physicists about whether a strongly correlated hole (or electron) system, with an occupation of approximately one hole per lattice site of a quasi-two-dimensional system, can become a superconductor, what the new paired state would be, and by what mechanisms it might be formed. At the same time, another, perhaps even more stimulating theoretical problem, presented itself—understanding the anomalous metallic phase to which the superconductivity was linked. I embarked upon this twofold adventure together with the condensed matter theory group of Rome.
2.2. Phase Separation—Spin and Charge Order
The question we asked ourselves was how could a system, whose interaction between charges is strongly repulsive, generate the pairing between charges in general without referring to special symmetry conditions to reduce the repulsion? We then referred to the phase separation (PS), as it occurs in simple fluids. In cuprates, the separation occurs between charge-rich metallic regions and charge-poor zones. The strong local repulsion between charge carriers reduces their mobility and favors the possibility of phase separation. Theoretically, all of the models with strong local repulsion that were introduced to represent the copper–oxygen planes showed PS in charge-rich regions and in charge-poor regions (see, e.g., [11]). Besides the PS in various other models, we found that whenever PS is present, pairing then occurs in a nearby region of phase space, thus enforcing a possible connection between the two phenomena [12,13,14]. Charge inhomogeneity appeared to be a bridge that connects the low doping region (in the presence of strong repulsion necessary for an insulating antiferromagnet), the intermediate doping region (with a special attraction for superconductivity), up to a correlated FL at higher doping. Long-range Coulomb interaction, however, forbids the macroscopic phase separation. The system chooses a compromise and segregates charge on a shorter scale, while keeping charge neutrality at a large distance giving rise to the so-called frustrated phase separation [14,15,16].
Emery and Kivelson [15,16] achieved the frustrated PS concept starting from the low doping region near the antiferromagnetic insulating phase, in which the few present charges are expelled from the antiferromagnetic substrate and align in stripes. Spin fluctuations are dominating in this case.
Coming instead from the high doping region, correlated FL in the presence of long-range Coulomb interaction undergoes to a Pomeranchuk instability towards a charge density wave (CDW) state with finite modulation vector qc [17]. This instability occurs along a line of temperature as a function of doping TCDW(p), ending at T = 0 in a quantum critical point (QCP) nearby optimal doping. In this case, charge fluctuations are prominent.
Both charge and spin modes may act as mediators of pairing [18,19].
Experimentally, spin and charge order have been observed in two different forms:
- -
- Stripes with strong interplay between charge and spin degrees of freedom (Figure 2a) observed in the LSCO family by neutron scattering since 1995 [20]. Charge and spin incommensurate modulation vectors qc = 2π/λc and qs = 2π/λs are strictly related (qs = qc/2) one to another and align along the Cu-O bond.
Figure 2. (a) Stripes: charge and spin modulation vectors qc and qs are connected. (b) The different modulation of charge density waves (CDWs) with respect to stripes is shown. In this case, CDWs and SDWs evolve independently one from another (see, e.g., [21,22]).However, both spin and charge modulation were observed simultaneously in co-doped LSCO only (e.g., La1.48Nd0.4Sr0.12CuO4); otherwise, there was no detection of charge modulation (only spin). - -
- Charge Density Wave (Figure 2b). Charge and spin degrees of freedom evolve independently one from another [21,22]. CDWs, foreseen since 1995 [17], were until 2011 elusive, contrasted, and confirmed only indirectly. Due to the improvement of resonant X-ray scattering (RXS), CDWs are now ubiquitously observed (see, e.g., [21,22,23,24,25,26,27,28]) in cuprate families, and most investigated among the orders competing with SC in countless papers following the pioneering paper on YBCO by Ghiringhelli et al. [23].
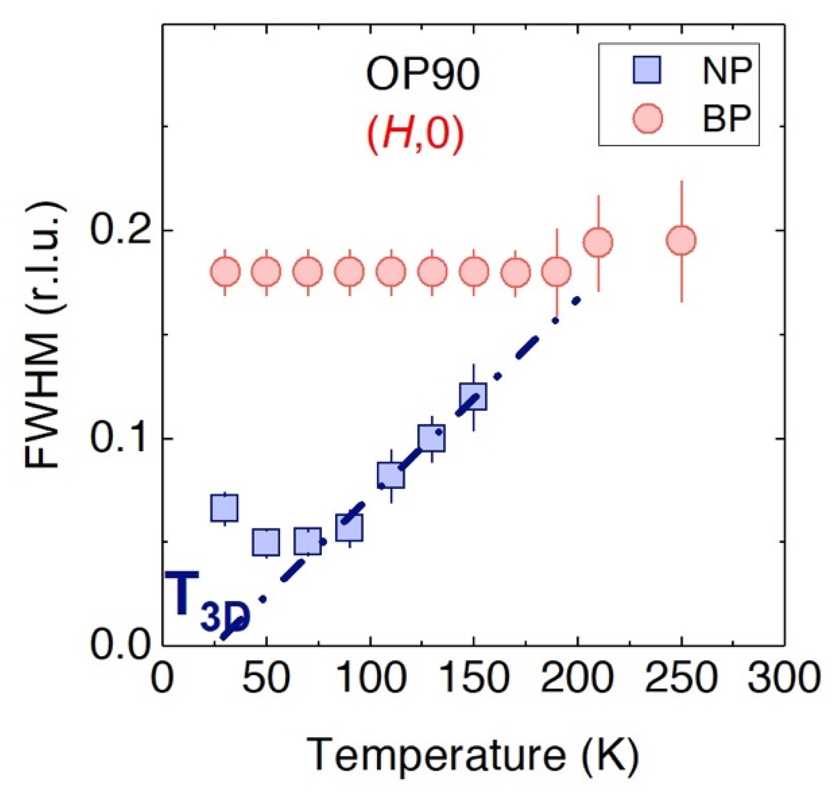
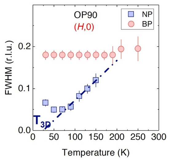
As shown in Figure 3, (i) energy-integrated CDW peaks are along the Cu-O bond, (0.31,0) and (0,031) in CuO2 planes; (ii) the width decreases by lowering T and the correlation length increases but remains finite (less than 16a lattice constant), so that the fluctuating CDWs tend to become critical but never succeed, and for this reason they were called Quasi-Critical dynamical fluctuating CDWs (QC-CDWs); and (iii) the QC-CDW peak is increasing by lowering T down to Tc, while it is decreasing for T < TC, i.e., the incipient CDW phase transition is preempted by the SC transition.
Figure 3.
Adapted from [23]. Energy-integrated resonant X-ray scattering (RXS) for underdoped YBa2Cu3O6.6 (Tc = 61 K) as a function of the in-plane momentum vector at various temperatures. The arrows indicate the increasing or decreasing of the peak by lowering the temperature above or below Tc, respectively.
The QC-CDW onset line TQC-CDW(p) starts around optimal doping and initially follows the pseudogap line T*(p) (see Figure 4).
Figure 4.
Adapted from [21,22]. Phase diagram T vs. doping for YBCO. Red line: Quasi-Critical-CDW TQCCDW. Black line: pseudogap T*. Black dashed line: superconductive critical temperature. Blue region below the superconductive dome: sketched 3D long-range CDW in the presence of high magnetic field. The two blue dots: 3D extrapolated quantum critical points (QCPs). Red dot: the extrapolated QCP of the QC-CDW.
In the presence of a sufficiently high magnetic field to suppress superconductivity, a static 3D transition is unveiled (blue region in Figure 4), mainly in YBCO, by NMR [29,30], quantum-oscillation, negative Hall, and FS reconstruction [31,32,33,34,35,36,37,38], and finally by thermodynamic 3D transition by pulsed ultrasound [39]. Zero field QC-CDW and 3D long-range charge order with two QCPs (pc’ < pc ≠ pc0 ≈ p*) have the same in-plane incommensurate vector qc, suggesting a common origin.
3. A Digression for Alex Müller and My Memories
Actually, the community was and has been for decades strongly against the idea of phase separation and of non-uniform charge in general. Most researchers were referring to spin fluctuations due to the vicinity of the AF-QCP in the low-doped Mott insulator [4,19,40,41,42,43]. Charge order has been at most considered as a byproduct of spin order. For instance, at the first big international conference on HTSCs of 1988 held in Interlaken, following my remark on the possible interconnection between different charge density values that could coexist in these materials [44], P.W. Anderson argued that “simple calculations” show it to be impossible. Alex Müller, instead, trusted us from the beginning, and gave a strong support to the community that was inquiring about charge inhomogeneity in cuprates. He organized several conferences on PS (see, e.g., Erice in 1992 (Figure 5 and Figure 6) and Cottbus in 1993).
Figure 5.
Erice, 6–12 May 1992, Workshop on Phase Separation in cuprate Superconductors.
Figure 6.
Erice, July 1995. E. Sigmund, C. Di Castro, and G. Benedek with K.A. Müller in the center, looking at a gift for him, a book on rare cars, one of his hobbies.
In the proceedings [45,46], our work carried out in Rome, the one by Emery and Kivelson, and the one by Sigmund, Hiznyakov, and Seibold on PS of that early period were summarized. A comprehensive presentation of the experimental situation was also given. The task of keeping the members of this community linked was carried out also by the three editors of this volume, in particular by Antonio Bianconi with the Superstripes organization. Alex often recalled the scientific contributions of Annette Bussman-Holder, Hugo Keller, and Antonio Bianconi (see, e.g., the distorted octahedrons of Antonio that, according to Alex, can be assigned to Jahn–Teller polarons, whereas the undistorted ones are located within a metallic cluster or stripe [47]).
The idea of charge inhomogeneity corresponds, at least in part, to the idea of strong polarization that guided Müller in his discovery of high-temperature superconductivity.
I have been corresponding with Alex extensively on the subject, for many years. I presented the “elogio” on the occasion of his Laurea Honoris Causa in Rome in November 1990 (Figure 7). Furthermore, I was later called (1997) to Cottbus for the equivalent ceremony.
Figure 7.
K.A. Müller. Laurea Honoris Causa, Rome 1990.
In Cottbus, we experienced an episode that is unusual for meetings among physicists. After the ceremony, the neo-laureate with his wife as well as my wife and myself were taken to a party in a villa–castle located in the outskirts of Cottbus. We were proceeding in a Mercedes along a highway, when the car stopped; we then got into a seventeenth century-like chariot with the coachmen in “livrea” (livery). Cars were speeding around us, and we finally arrived in the villa, where we were received by a string quartet playing classical-style music, organized for Alex by the noble family who had recently repossessed the villa.
5. Conclusions
The following Figure 12 gives a graphic representation of the scenario described above.
Figure 12.
Adapted from [6]. CDW in the phase diagram T vs. doping p of YBCO. The green zone is the antiferromagnetic phase. The reddish zone represents the 2D charge density dynamical fluctuations associated with the BP (actually the experiments in [6] were performed for 0.11 < p < 0.19). In the cone above optimal doping (between T* and the Fermi liquid), CDFs produce the strange metal and the linear in T resistivity. Light blue zone: the quasi-critical CDWs associated with the NP. Dark blue zone: the static 3D long-range order hidden in the absence of a magnetic field by the superconductive dome.
The phase diagram visualizes the continuous evolution from a pure 2D dynamical CDF at high T and all doping, to a coexistence with quasi-critical CDWs below TQC-CDW, to the static 3D-CDW hindered by superconductivity and measured in a high magnetic field.
Finally, the dynamical CDFs (BP), characterized by the same parameters used to fit RXS experiments, were chosen as mediators of isotropic scattering among Fermi quasiparticles and provide an understanding of the long-standing problem of strange metallic state, matching the resistivity data, in the whole range from room temperature down to T* [7].
Some open problems deserve further investigation:
In Section 4.4., it was already mentioned that the present knowledge of the relation between the quasi-critical CDW (NP) and the dynamical CDF (BP) does not allow to distinguish between a spatial separation or a coexistence of the two.
At temperatures T < T*, the role on scattering of the pseudogap state and of other intertwined incipient orders (CDWs, Cooper pairing, etc.) must be clarified.
Investigation is also required to see whether CDFs with a reduced value of ωch can also account for the so-called Planckian or better for the linear behavior observed at low temperatures and special doping in the presence of high magnetic fields to suppress superconductivity (see, e.g., [63]).
Funding
This research received no external funding.
Acknowledgments
I wish to warmly thank Claudio Castellani, Marco Grilli, Sergio Caprara, Lara Benfatto, Roberto Raimondi, undergraduates, doctoral students, and post-doctoral researchers who worked with us in Rome from time to time, particularly José Lorenzana (now permanently in Rome), Walter Metzner, Goetz Seibold, and more recently Giacomo Ghiringhelli, Lucio Braicovich Riccardo Arpaia (Chalmers University), and the whole Milano Politecnico Group for the present collaboration.
Conflicts of Interest
The author declares no conflict of interest.
References and Note
- The importance of A.K. Müller’s contribution in this field is stated e.g., by the quotations he received in the fundamental paper by Hohenberg, P.C.; Halperin, B. Theory of dynamic critical phenomena. Rev. Mod. Phys. 1977, 49, 435. [Google Scholar] [CrossRef]
- Thomas, H.; Müller, K.A. Theory of a Structural Phase Transition Induced by the Jahn-Teller Effect. Phys. Rev. Lett. 1972, 28, 800. [Google Scholar] [CrossRef]
- Bednorz, J.G.; Müller, K.A. Possible high-Tc superconductivity in the Ba-La-Cu-O system. Z. Phys. B 1986, 64, 189–193. [Google Scholar] [CrossRef]
- Anderson, P.W. The Resonating Valence Bond State in La2CuO4 and Superconductivity. Science 1987, 235, 119. [Google Scholar] [CrossRef] [PubMed]
- Caprara, S. The Ancient Romans’ Route to Charge Density Waves in Cuprates. Condens. Matter. 2019, 4, 60. [Google Scholar] [CrossRef]
- Arpaia, R.; Caprara, S.; Fumagalli, R.; De Vecch, G.; Peng, Y.Y.; Andersson, E.; Betto, D.; De Luca, G.M.; Brookes, N.P.; Lombardi, F.; et al. Dynamical charge density fluctuations pervading the phase diagram of a copper-based high Tc superconductor. Science 2019, 365, 906–9010. [Google Scholar] [CrossRef]
- Seibold, G.; Arpaia, R.; Peng, Y.Y.; Fumagalli, R.; Braicovich, L.; Di Castro, C.; Grilli, M.; Ghiringhelli, G.; Caprara, S. Marginal Fermi Liquid behaviour from charge density fluctuations in Cuprates. arXiv 2019, arXiv:1905.10232. (to be published in Commun. Phys.). [Google Scholar]
- Ando, Y.; Komiya, S.; Segawa, K.; Ono, S.; Kurita, Y. Electronic Phase Diagram of High-Tc Cuprate Superconductors from a Mapping of the In-Plane Resistivity Curvature. Phys. Rev. Lett. 2004, 93, 26700. [Google Scholar] [CrossRef]
- Timusk, T.; Statt, B. The pseudogap in high temperature superconductors: An experimental survey. Rep. Prog. Phys. 1999, 62, 61–122. [Google Scholar] [CrossRef]
- Rubio Temprano, D.; Mesot, J.; Janssen, S.; Conder, K.; Furrer, A.; Mutka, H.; Müller, K.A. Large Isotope Effect on the Pseudogap in the High-Temperature Superconductor HoBa2Cu4O8. Phys. Rev. Lett. 2000, 84, 1990–1993. [Google Scholar] [CrossRef] [PubMed]
- Emery, V.J.; Kivelson, S.A.; Lin, H.Q. Phase separation in the t-J model. Phys. Rev. Lett. 1990, 64, 475. [Google Scholar] [CrossRef] [PubMed]
- Cancrini, N.; Caprara, S.; Castellani, C.; Di Castro, C.; Grilli, M.; Raimondi, R. Phase separation and superconductivity in Kondo-like spin-hole coupled model. Europhys. Lett. 1991, 14, 597. [Google Scholar] [CrossRef]
- Grilli, M.; Raimondi, R.; Castellani, C.; Di Castro, C.; Kotliar, G. Phase separation and superconductivity in the U=infinite limit of the extended multiband Hubbard model. Int. J. Mod. Phys. B 1991, 5, 309. [Google Scholar] [CrossRef]
- Raimondi, R.; Castellani, C.; Grilli, M.; Bang, Y.; Kotliar, G. Charge collective modes and dynamic pairing in the three-band Hubbard model. II. Strong-coupling limit. Phys. Rev. B 1993, 47, 3331. [Google Scholar] [CrossRef] [PubMed]
- Löw, U.; Emery, V.J.; Fabricius, K.; Kivelson, S.A. Study of an Ising model with competing long- and short-range interactions. Phys. Rev. Lett. 1994, 72, 1918. [Google Scholar] [CrossRef]
- Emery, V.J.; Kivelson, S.A. Frustrated electronic phase separation and high-temperature superconductors. Phys. C Supercond. 1993, 209, 597–621. [Google Scholar] [CrossRef]
- Castellani, C.; Di Castro, C.; Grilli, M. Singular Quasiparticle Scattering in the Proximity of Charge Instabilities. Phys. Rev. Lett. 1995, 75, 4650. [Google Scholar] [CrossRef] [PubMed]
- Perali, A.; Castellani, C.; Di Castro, C.; Grilli, M. D-wave superconductivity near charge instabilities. Phys. Rev. B 1996, 54, 16216. [Google Scholar] [CrossRef]
- Monthoux, P.; Balatsky, A.V.; Pines, D. Weak-coupling theory of high-temperature superconductivity in the antiferromagnetically correlated copper oxides. Phys. Rev. B 1992, 46, 14803. [Google Scholar] [CrossRef]
- Tranquada, J.M.; Sternlieb, B.J.; Axe, J.D.; Nakzmura, Y.; Uchida, S. Evidence for stripe correlations of spins and holes in copper oxide superconductors. Nature 1995, 375, 561. [Google Scholar] [CrossRef]
- Blaco-Caosa, S.; Frano, A.; Schierle, E.; Porras, J.; Loew, T.; Minola, M.; Bluschke, M.; Weschke, E.; Keimer, B.; Le Tacon, M. Resonant X-ray scattering study of charge-density- wave correlations in YBa2Cu3O6+x. Phys. Rev. B 2014, 90, 54513. [Google Scholar] [CrossRef]
- Hücker, M.; Christensen, N.B.; Holmes, A.T.; Blackburn, E.; Forgan, E.M.; Liang, R.; Bonn, D.A.; Hardy, W.N.; Gutowski, O.; Zimmermann, M.V.; et al. Competing charge, spin, and superconducting orders in underdoped YBa2Cu3Oy. Phys. Rev. B 2014, 90, 54514. [Google Scholar] [CrossRef]
- Ghiringhelli, G.; Le Tacon, M.; Minola, M.; Blanco-Canosa, S.; Mazzoli, C.; Brookes, N.B.; De Luca, G.M.; Frano, A.; Hawthorn, D.G.; He, F.; et al. Long-range incommensurate charge fluctuations in(Y,Nd)Ba2Cu3O6+x. Science 2012, 337, 821. [Google Scholar] [CrossRef] [PubMed]
- Comin, R.; Damascelli, A. Resonant X-Ray Scattering Studies of Charge Order in Cuprates. Annu. Rev. Condens. Matter Phys. 2016, 7, 369–405. [Google Scholar] [CrossRef]
- Chang, J.; Blackburn, E.; Holmes, A.T.; Christensen, N.B.; Larsen, J.; Mesot, J.; Liang, R.; Bonn, D.A.; Hardy, W.N.; Watenphul, A.; et al. Direct observation of competition between superconductivity and charge density wave order in YBa2Cu3O6.67. Nat. Phys. 2012, 8, 871. [Google Scholar] [CrossRef]
- Achkar, A.J.; Hawthorn, D.; Sutarto, R.; Mao, X.; He, F.; Frano, A.; Blanco-Canosa, S.; le Tacon, M.; Ghiringhelli, G.; Braicovich, L.; et al. Distinct charge orders in the planes and chains of ortho-III-ordered YBa2Cu3O6+_ superconductors identified by resonant elastic x-ray scattering. Phys. Rev. Lett. 2012, 109, 167001. [Google Scholar] [CrossRef]
- Tabis, W.; Li, Y.; Le Tacon, M.; Braicovich, L.; Kreyssig, A.; Minola, M.; Dellea, G.; Weschke, E.; Veit, M.J.; Ramazanoglu, M.; et al. Charge order and its connection with Fermi-liquid charge transport in a pristine high-Tc cuprate. Nat. Commun. 2014, 5, 5875. [Google Scholar] [CrossRef] [PubMed]
- Comin, R.; Frano, A.; Yee, M.M.; Yoshida, Y.; Eisaki, H.; Schierle, E.; Weschke, E.; Sutarto, R.; He, F.; Soumyanarayanan, A.; et al. Charge order driven by Fermi-arc instability in Bi2Sr2−xLaxCuO6+δ. Science 2014, 343, 390. [Google Scholar] [CrossRef]
- Wu, T.; Mayaffre, H.; Krämer, S.; Horvatić, M.; Berthier, C.; Hardy, W.N.; Liang, R.; Bonn, D.A.; Julien, M.-H. Magnetic-field-induced charge-stripe order in the high-temperature superconductor YBa2Cu3Oy. Nature 2011, 477, 191. [Google Scholar] [CrossRef]
- Wu, T.; Mayaffre, H.; Krämer, S.; Horvati´c, M.; Berthier, C.; Kuhn, P.L.; Reyes, A.P.; Liang, R.; Hardy, W.N.; Bonn, D.A.; et al. Emergence of charge order from the vortex state of a high-temperature superconductor. Nat. Commun. 2013, 4, 2113. [Google Scholar] [CrossRef]
- Laliberté, F.; Frachet, F.; Benhabib, S.; Borgnic, B.; Loew, T.; Porras, J.; Le Tacon, M.; Keimer, B.; Wiedmann, S.; Proust, C.; et al. High field charge order across the phase diagram of YBa2Cu3Oy. NPJ Quantum Mater. 2018, 3, 11. [Google Scholar] [CrossRef]
- Doiron-Leyraud, N.; Proust, C.; LeBoeuf, D.; Levallois, J.; Bonnemaison, J.; Liang, R.; Bonn, D.A.; Hardy, W.N. Taillefer Louis Quantum oscillations and the Fermi surface in an underdoped high-Tc superconductor. Nature 2007, 447, 565–568. [Google Scholar] [CrossRef]
- Grissonnanche, G.; Cyr-Choinière, O.; Laliberté, T.; René de Cotret, S.; Juneau-Fecteau, A.; Dufour-Beauséjour, S.; Delage, M.È.; LeBoeuf, D.; Chang, J.; Ramshaw, B.J.; et al. Direct measurement of the upper critical field in cuprate superconductors. Nat. Commun. 2014, 5, 3280. [Google Scholar] [CrossRef] [PubMed]
- LeBoeuf, D.; Doiron-Leyraud, N.; Vignolle, B.; Sutherland, M.; Ramshaw, B.J.; Levallois, J.; Daou, R.; Laliberté, F.; Cyr-Choinière, Q.; Chang, J.; et al. Lifshitz critical point in the cuprate superconductor YBa2Cu3Oy from high-field Hall effect measurements. Phys. Rev. B 2011, 83, 54506. [Google Scholar] [CrossRef]
- Doiron-Leyraud, N.; Lepault, S.; Cyr-Choinière, O.; Vignolle, B.; Grissonnanche, G.; Laliberté, F.; Chang, J.; Barisic, N.; Chan, M.K.; Ji, L.; et al. Hall, Seebeck and Nernst coefficients of underdoped HgBa2CuO4+δ: Fermi-surface reconstruction in an archetypal cuprate superconductor. Phys. Rev. X 2013, 3, 21019. [Google Scholar]
- Chang, J.; Daou, R.; Proust, C.; Leboeuf, D.; Doiron-Leyraud, N.; Laliberté, F.; Pingault, B.; Ramshaw, B.J.; Liang, R.; Bonn, D.A.; et al. Nernst and Seebeck coefficients of the cuprate superconductor YBa2Cu3O6.67: A study of fermi surface reconstruction. Phys. Rev. Lett. 2010, 104, 57005. [Google Scholar] [CrossRef]
- Barišić, N.; Badoux, S.; Chan, M.K.; Dorow, C.; Tabis, W.; Vignolle, B.; Yu, G.; Béard, J.; Zhao, X.; Proust, C.; et al. Universal quantum oscillations in the underdoped cuprate superconductors. Nat. Phys. 2013, 9, 761. [Google Scholar] [CrossRef]
- Grissonnanche, G.; Legros, A.; Badoux, S.; Lefrançois, E.; Zatko, V.; Lizaire, M.; Laliberté, F.; Gourgout, A.; Zhou, J.-S.; Pyon, S.; et al. Giant thermal Hall conductivity in the pseudogap phase of cuprate superconductors. Nature 2019, 571. [Google Scholar] [CrossRef]
- Leboeuf, D.; Kramer, S.; Hardy, W.N.; Liang, R.; Bonn, D.A.; Proust, C. Thermodynamic phase diagram of static charge order in underdoped YBa2Cu3Oy. Nat. Phys. 2012, 9, 79–83. [Google Scholar] [CrossRef]
- Sachdev, S.; Ye, J. Universal quantum-critical dynamics of two-dimensional antiferromagnets. Phys. Rev. Lett. 1992, 69, 2411. [Google Scholar] [CrossRef]
- Sokol, A.; Pines, D. Toward a unified magnetic phase diagram of the cuprate superconductors. Phys. Rev. Lett. 1993, 71, 2813. [Google Scholar] [CrossRef] [PubMed]
- Monthoux, P.; Pines, D. Nearly antiferromagnetic Fermi-liquid description of magnetic scaling and spin-gap behavior. Phys. Rev. B 1994, 50, 16015. [Google Scholar] [CrossRef] [PubMed]
- Abanov, A.; Chubukov, A.; Schmalian, J. Quantum-critical theory of the spin-fermion model and its application to cuprates: Normal state analysis. Adv. Phys. 2003, 52, 119. [Google Scholar] [CrossRef]
- Castellani, C.; Di Castro, C.; Grilli, M. Possible occurrence of band interplay in high Tc superconductors. In Proceedings of the International Conference on High-Temperature Superconductors and Materials and Mechanisms of Superconductivity Part II, Interlaken, Switzerland, 28 February–4 March 1988; Physica C 153–155. pp. 1659–1660. [Google Scholar]
- Müller, K.A.; Benedeck, G. Phase Separation in Cuprate Superconductors. In Proceedings of the 3rd Workshop “The Science and Culture-Physics”, Erice, Italy, 6–12 May 1992; World Scientific: Singapore, 1993. [Google Scholar]
- Müller, K.A.; Sigmund, E. Phase Separation in Cuprate Superconductors. In Proceedings of the Second International Workshop on “Phase Separation in Cuprate Superconductors”, Cottbus, Germany, 4–10 September 1993; Springer: Verlag, Germany, 1994. [Google Scholar]
- Bianconi, A.; Saini, N.L.; Lanzara, A.; Missori, M.; Rossetti, T.; Oyanag, H.; Yamaguchi, H.; Oka, K.; Ito, T. Determination of the Local Lattice Distortions in the CuO2 plane of La1.85Sr0.15CuO4. Phys. Rev. Lett. 1996, 76, 3412. [Google Scholar] [CrossRef]
- Ramshaw, B.J.; Sebastian, S.E.; McDonald, R.D.; Day, J.; Tan, B.S.; Zhu, Z.; Betts, J.B.; Liang, R.; Bonn, D.A.; Hardy, W.N.; et al. Quasiparticle mass enhancement approaching optimal doping in a high-Tc superconductor. Science 2015, 348, 317–320. [Google Scholar] [CrossRef]
- Becca, F.; Tarquini, M.; Grilli, M.; Di Castro, C. Charge-density waves and superconductivity as an alternative to phase separation in the infinite-U Hubbard-Holstein model. Phys. Rev. B 1996, 54, 12443–12457. [Google Scholar] [CrossRef]
- Castellani, C.; Di Castro, C.; Grilli, M. Non-Fermi Liquid behavior and d-wave superconductivity near the charge density wave quantum critical point. Zeit. Phys. 1997, 103, 137–144. [Google Scholar] [CrossRef]
- Seibold, G.; Becca, F.; Bucci, F.; Castellani, C.; Di Castro, C.; Grilli, M. Spectral properties of incommensurate charge-density wave systems. Eur. Phys. J. B 2000, 13, 87. [Google Scholar] [CrossRef]
- Benfatto, L.; Caprara, S.; Di Castro, C. Gap and pseudogap evolution within the charge-ordering scenario for superconducting cuprates. Eur. Phys. J. B 2000, 17, 95. [Google Scholar] [CrossRef]
- Chakravarty, S.; Laughlin, R.B.; Morr Dirk, K.; Nayak, C. Hidden order in the cuprates. Phys. Rev. B 2001, 63, 94503. [Google Scholar] [CrossRef]
- Andergassen, S.; Caprara, S.; Di Castro, C.; Grilli, M. Anomalous Isotopic Effect Near the Charge-Ordering Quantum Criticality. Phys. Rev. Lett. 2001, 87, 5641. [Google Scholar] [CrossRef] [PubMed]
- Yu, B.; Tabis, W.; Bialo, I.; Yakhou, F.; Brookes, N.; Anderson, Z.; Tan, G.Y.; Yu, G.; Greven, M. Unusual dynamic charge-density-wave correlations in HgBa2CuO4+. arXiv 2019, arXiv:1907.10047. [Google Scholar]
- Miao, H.; Fabbris, G.; Nelson, C.S.; Acevedo-Esteves, R.; Li, Y.; Gu, G.D.; Yilmaz, T.; Kaznatcheev, K.; Vescovo, E.; Oda, M.; et al. Discovery of Charge Density Waves in cuprate Superconductors up to the Critical Doping and Beyond. arXiv 2020, arXiv:2001.10294. [Google Scholar]
- Lin, J.Q.; Miao, H.; Mazzone, D.G.; Gu, G.D.; Nag, A.; Walters, A.C.; Garcia-Fernandez, M.; Barbour, A.; Pelliciari, J.; Jarrige, I.; et al. Nature of the charge-density wave excitations in cuprates. arXiv 2020, arXiv:2001.10312. [Google Scholar]
- Miao, H.; Lorenzana, J.; Seibold, G.; Peng, Y.Y.; Amorese, A.; Yakhou-Harris, F.; Kummer, K.; Brookes, N.B.; Konik, R.M.; Thampy, V.; et al. High-temperature charge density wave correlations in La1:875Ba0:125CuO4 without spin-charge locking. Proc. Natl. Acad. Sci USA 2017, 114, 12430. [Google Scholar] [CrossRef] [PubMed]
- Miao, H.; Fumagalli, R.; Rossi, M.; Lorenzana, J.; Seibold, G.; Yakhou-Harris, F.; Kummer, K.; Brookes, N.B.; Gu, G.D.; Braicovich, L.; et al. Formation of incommensurate Charge Density Waves in Cuprates. Phys. Rev. 2019, 9, 031042. [Google Scholar] [CrossRef]
- Wang, Q.S.; Horio, M.; Von Arx, K.; Shen, Y.; Mukkattukavil, D.J.; Sassa, Y.; Ivashko, O.; Matt, C.E.; Pyon, S.; Takayama, T.; et al. High-Temperature Charge-Stripe Correlations in La1.675Eu0.2Sr0.125CuO4. Phys. Rev. Lett. 2020, 124, 187002. [Google Scholar] [CrossRef]
- Campi, G.; Bianconi, A.; Poccia, N.; Bianconi, G.; Barba, L.; Arrighetti, G.; Innocenti, D.; Karpinski, J.; Zhigadlo, N.D.; Kazakov, S.M.; et al. Inhomogeneity of charge-density-wave order and quenched disorder in a high-Tc superconductor. Nature 2015, 525, 359. [Google Scholar] [CrossRef]
- Varma, C.M.; Littlewood, P.B.; Schmitt-Rink, S.; Abrahams, E.; Ruckenstein, A.E. Phenomenology of the normal state of Cu-O high-temperature superconductors. Phys. Rev. Lett. 1989, 63, 1996. [Google Scholar] [CrossRef]
- Legros, A.; Benhabib, S.; Tabis, W.; Laliberté, F.; Dion, M.; Lizaire, M.; Vignolle, B.; Vignolles, D.; Raffy, H.; Li, Z.Z.; et al. Universal T-linear resistivity and Planckian dissipation in overdoped cuprates. Nat. Phys. 2019, 15, 142–147. [Google Scholar] [CrossRef]
Publisher’s Note: MDPI stays neutral with regard to jurisdictional claims in published maps and institutional affiliations. |
© 2020 by the author. Licensee MDPI, Basel, Switzerland. This article is an open access article distributed under the terms and conditions of the Creative Commons Attribution (CC BY) license (http://creativecommons.org/licenses/by/4.0/).











