A Versatile THz Source from High-Brightness Electron Beams: Generation and Characterization
Abstract
1. Introduction
2. Materials and Methods
2.1. Broad Band Radiation
2.2. Narrow-Band and Tunable Radiation
2.3. Experimental Layout
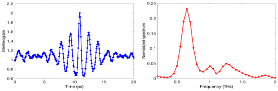
3. Results and Discussion
4. Conclusions
Author Contributions
Funding
Acknowledgments
Conflicts of Interest
References and Note
- Dhillon, S.S.; Vitiello, M.S.; Linfield, E.H.; Davies, A.G.; Hoffmann, M.C.; Booske, J.; Paoloni, C.; Gensch, M.; Weightman, P.; Williams, G.P.; et al. The 2017 terahertz science and technology roadmap. J. Phys. D: Appl. Phys. 2017, 50, 043001. [Google Scholar] [CrossRef]
- Lee, Y.-S. Principles of THz Science and Technology; Springer Science+Business Media, LLC: New York, NY, USA, 2009; ISBN 978-0-387-09539-4. [Google Scholar]
- Sherwin, M.S.; Schmuttenmaer, C.A.; Bucksbaum, P.H. Opportunities in THz Science. In Proceedings of the Report of a DOE-NSF-NIH Workshop, Arlington, VA, USA, 12–14 February 2004. [Google Scholar]
- Hoffmann, M.C.; Schulz, S.; Wesch, S.; Wunderlich, S.; Cavalleri, A.; Schimdt, B. Coherent single-cycle pulses with MV/cm field strengths from a relativistic transition radiation light source. Opt. Lett. 2011, 36, 4473–4475. [Google Scholar] [CrossRef] [PubMed]
- Chiadroni, E.; Bacci, A.; Bellaveglia, M.; Boscolo, M.; Castellano, M.; Cultrera, L.; Di Pirro, G.; Ferrario, M.; Ficcadenti, L.; Filippetto, D.; et al. The SPARC linear accelerator based terahertz source. Appl. Phys. Lett. 2013, 102, 094101. [Google Scholar] [CrossRef]
- Wu, Z.; Adli, E.; Fisher, A.; Loos, H.; Hogan, M. First Measurements of the FACET Coherent Terahertz Radiation Source. In Proceedings of the 3rd International Particle Accelerator Conference (IPAC2012), New Orleans, LA, USA, 20–25 May 2012. [Google Scholar]
- van Tilborg, J.; Schroeder, C.B.; Tóth, C.; Geddes, C.G.R.; Esarey, E.; Leemans, W.P. Single-shot spatiotemporal measurements of high-field terahertz pulses. Opt. Lett. 2007, 32, 313–315. [Google Scholar] [CrossRef] [PubMed]
- Neumann, J.G.; Fiorito, R.B.; O’Shea, P.G.; Loos, H.; Sheehy, B.; Shen, Y.; Zu, W. Terahertz laser modulation of electron beams. J. Appl. Phys. 2009, 105, 053304. [Google Scholar] [CrossRef]
- Shen, Y.; Yang, X.; Carr, G.L.; Hidaka, Y.; Murphy, J.B.; Wang, X. Tunable Few-Cycle and Multicycle Coherent Terahertz Radiation from Relativistic Electrons. Phys. Rev. Lett. 2011, 107, 204801. [Google Scholar] [CrossRef]
- Chiadroni, E.; Bellaveglia, M.; Calvani, P.; Castellano, M.; Catani, L.; Cianchi, A.; Di Pirro, G.; Ferrario, M.; Gatti, G.; Limaj, O.; et al. Characterization of the THz radiation source at the Frascati linear accelerator. Rev. Sci. Instrum. 2013, 84, 022703. [Google Scholar] [CrossRef]
- Giorgianni, F.; Anania, M.P.; Bellaveglia, M.; Biagioni, A.; Chiadroni, E.; Cianchi, A.; Daniele, M.; Del Franco, M.; Di Giovenale, D.; Di Pirro, G.; et al. Tailoring of Highly Intense THz Radiation Through High Brightness Electron Beams Longitudinal Manipulation. Appl. Sci. 2016, 6, 56. [Google Scholar] [CrossRef]
- Anderson, S.G.; Musumeci, P.; Rosenzweig, J.B.; Brown, W.J.; England, R.J.; Ferrario, M.; Jacob, J.S.; Thompson, M.C.; Travish, G.; Tremaine, A.M.; et al. Velocity bunching of high-brightness electron beams. Phys. Rev. ST Accel. Beams 2005, 8, 014401. [Google Scholar] [CrossRef]
- Piot, P.; Sun, Y.-E.; Maxwell, T.J.; Ruan, J.; Lumpkin, A.H.; Rihaoui, M.M.; Thurman-Keup, R. Observation of Coherently-Enhanced Tunable Narrow-Band Terahertz Transition Radiation from a Relativistic Sub-Picosecond Electron Bunch Train. Appl. Phys. Lett. 2011, 98, 261501. [Google Scholar] [CrossRef]
- Bocek, D.; Hernandez, M.; Kung, P.; Lihn, H.C.; Settakorn, C.; Wiedemann, H. Observation of coherent undulator radiation from sub?picosecond electron pulses. AIP Conf. 1996, 367, 381–390. [Google Scholar] [CrossRef]
- Zhang, J.; Deng, H.; Lin, X.; Dai, D.; Sun, Q.; Lu, S.; Yu, T.; Zhao, H.; Yang, H.; Dai, Z. Tunable few-cycle coherent terahertz radiation with watt-level power from relativistic femtosecond electron beam. Nucl. Instrum. Methods Phys. Res. A 2012, 693, 23–25. [Google Scholar] [CrossRef]
- Green, B.; Kovalev, S.; Asgekar, V.; Geloni, G.; Lehnert, U.; Golz, T.; Kuntzsch, M.; Bauer, C.; Hauser, J.; Voigtlaender, J.; et al. High-Field High-Repetition-Rate Sources for the Coherent THz Control of Matter. Sci. Rep. 2016, 6, 22256. [Google Scholar] [CrossRef]
- Wen, X.; Huang, S.; Lin, L.; Wang, F.; Zhu, F.; Feng, L.; Yang, L.; Wang, Z.; Fan, P.; Hao, J.; et al. Superradiant THz undulator radiation source based on a superconducting photo-injector. Nucl. Instrum. Meth. Phys. Res. A 2016, 820, 75–79. [Google Scholar] [CrossRef]
- Kashiwagi, S.; Abe, T.; Saito, H.; Hinode, F.; Kanomata, K.; Miura, S.; Muto, T.; Nagasawa, I.; Nanbu, K.; Ninomiya, S.; et al. Observation of coherent undulator radiation in THz region. Infrared Phys. Technol. 2018, 93, 335–339. [Google Scholar] [CrossRef]
- Krainara, S.; Zen, H.; Chatani, S.; Kii, T.; Ohgaki, H. Properties of THz coherent undulator radiation generated from a compact accelerator source at Kyoto University. Rev. Sci. Instrum. 2019, 90, 103307. [Google Scholar] [CrossRef]
- Ferrario, M.; Alesini, D.; Anania, M.; Bacci, A.; Bellaveglia, M.; Bogdanov, O.; Boni, R.; Castellano, M.; Chiadroni, E.; Cianchi, A.; et al. SPARC_LAB present and future. Nucl. Instrum. Meth. Phys. Res. B 2013, 309, 183–188. [Google Scholar] [CrossRef]
- Ginzburg, V.L.; Frank, I.M. Radiation of a uniformly moving electron due to its transition from one medium into another. J. Phys. USSR 1945, 9, 353–362. [Google Scholar]
- Chiadroni, E. Bunch Length Characterization at the TTF VUV-FEL. Ph.D. Thesis, Tor Vergata University of Rome, Rome, Italy, 2006. TESLA-FEL Report No. 2006-09. [Google Scholar]
- Serafini, L.; Ferrario, M. Velocity bunching in photo-injectors. AIP Conf. Proc. 2001, 581, 87–106. [Google Scholar]
- Marchetti, B.; Bacci, A.; Chiadroni, E.; Cianchi, A.; Ferrario, M.; Mostacci, A.; Pompili, R.; Ronsivalle, C.; Spataro, B.; Zagorodnov, I.; et al. Novel schemes for the optimization of the SPARC narrow band THz source. Rev. Sci. Instrum. 2015, 86, 073301. [Google Scholar] [CrossRef]
- Ferrario, M.; Alesini, D.; Bacci, A.; Bellaveglia, M.; Boni, R.; Boscolo, M.; Calvani, P.; Castellano, M.; Chiadroni, E.; Cianchi, A.; et al. Laser comb with velocity bunching: Preliminary results at SPARC. Nucl. Instr. Methods Phys. Res. Sect. A Accel. Spectrom. Detect. Assoc. Equip. 2011, 637, S43–S46. [Google Scholar] [CrossRef]
- Villa, F.; Anania, M.P.; Bellaveglia, M.; Bisesto, F.; Chiadroni, E.; Cianchi, A.; Curcio, A.; Galletti, M.; Di Giovenale, D.; Di Pirro, G.; et al. Laser pulse shaping for high gradient accelerators. Nucl. Instrum. Methods Phys. Res. Sect. A 2016, 829, 446–451. [Google Scholar] [CrossRef]
- Mostacci, A.; Alesini, D.; Antici, P.; Bacci, A.; Bellaveglia, M.; Boni, R.; Castellano, M.; Chiadroni, E.; Cianchi, A.; Di Pirro, G.; et al. Advanced beam manipulation techniques at SPARC. In Proceedings of the IPAC2011, THYB01, San Sebastian, Spain, 4–9 September 2011. [Google Scholar]
- Martin, D.H.; Puplett, E. Polarized interferometric spectrometry for the millimeter and sub-millimeter spectrum. Infrared Phys. 1970, 10, 105–109. [Google Scholar] [CrossRef]
- All THz band-pass filters but the 5 THz one are produced by Tydex, whose part number designation is: BPF0.3-47, BPF0.5-47, BPF1.0-47, BPF3.0-47, with 47 the clear aperture in mm; the 5 THz band-pass filter is manufactured by Lake Shore Cryotronics, Inc. (https://www.lakeshore.com/about-us/press-releases/2007/11/05/new-far-infrared-thz-band-pass-filters), and has been also characterized by measuring with a Michelson interferometer the globar spectrum at 5 THz.
- Castellano, M.; Cianchi, A.; Orlandi, G.; Verzilov, V.A. Effects of diffraction and target finite size on coherent transition radiation spectra in bunch length measurements. Nucl. Instrum. Methods Phys. Res. A 1999, 435, 297–307. [Google Scholar] [CrossRef]
- Stojanovic, N.; Drescher, M. Accelerator- and laser-based sources of high-field terahertz pulses. J. Phys. B At. Mol. Opt. Phys. 2013, 46, 192001. [Google Scholar] [CrossRef]
- Bass, M.; Franken, P.A.; Ward, J.F.; Weinreich, G. Optical Rectification. Phys. Rev. Lett. 1962, 9, 446. [Google Scholar] [CrossRef]
- Vicario, C.; Jazbinsek, M.; Ovchinnikov, A.V.; Chefonov, O.V.; Ashitkov, S.I.; Agranat, M.B.; Hauri, C.P. High Efficiency THz Generation in DSTMS, DAST and OH1 pumped by Cr:forsterite laser. Opt. Express 2015, 23, 4573–4580. [Google Scholar] [CrossRef] [PubMed]
- Giorgianni, F.; Chiadroni, E.; Rovere, A.; Cestelli-Guidi, M.; Perucchi, A.; Bellaveglia, M.; Castellano, M.; Di Giovenale, D.; Di Pirro, G.; Ferrario, M.; et al. Strong nonlinear terahertz response induced by Dirac surface states in Bi2Se3 topological insulator. Nat. Commun. 2016, 7, 11421. [Google Scholar] [CrossRef] [PubMed]






| THz Radiation Parameters | Electron Beam Parameters | ||||
|---|---|---|---|---|---|
| Single Bunch | Ramped Comb | Single Bunch | Ramped Comb | ||
| Energy per pulse (μJ) | 35 | ∼1 | Charge (pC) | 500 | 220 |
| Peak power (MW) | ∼80 | ∼3 | Energy (MeV) | 121 | 110 |
| Electric field (MV/cm) | >1 | - | RMS Bunch duration (fs) | 180 | |
| Bandwidth * (THz) | ∼2 | 0.25 | Rep. Rate (Hz) | 10 | 10 |
| RMS Pulse duration t (ps) | ∼0.18 | ∼1.23 ** | Comb distance (ps) | - | 1.3 |
© 2020 by the authors. Licensee MDPI, Basel, Switzerland. This article is an open access article distributed under the terms and conditions of the Creative Commons Attribution (CC BY) license (http://creativecommons.org/licenses/by/4.0/).
Share and Cite
Chiadroni, E.; Cianchi, A.; Ferrario, M.; Mostacci, A.; Pompili, R.; Shpakov, V. A Versatile THz Source from High-Brightness Electron Beams: Generation and Characterization. Condens. Matter 2020, 5, 40. https://doi.org/10.3390/condmat5020040
Chiadroni E, Cianchi A, Ferrario M, Mostacci A, Pompili R, Shpakov V. A Versatile THz Source from High-Brightness Electron Beams: Generation and Characterization. Condensed Matter. 2020; 5(2):40. https://doi.org/10.3390/condmat5020040
Chicago/Turabian StyleChiadroni, Enrica, Alessandro Cianchi, Massimo Ferrario, Andrea Mostacci, Riccardo Pompili, and Vladimir Shpakov. 2020. "A Versatile THz Source from High-Brightness Electron Beams: Generation and Characterization" Condensed Matter 5, no. 2: 40. https://doi.org/10.3390/condmat5020040
APA StyleChiadroni, E., Cianchi, A., Ferrario, M., Mostacci, A., Pompili, R., & Shpakov, V. (2020). A Versatile THz Source from High-Brightness Electron Beams: Generation and Characterization. Condensed Matter, 5(2), 40. https://doi.org/10.3390/condmat5020040

