BCS-BEC Crossover and Pairing Fluctuations in a Two Band Superfluid/Superconductor: A T Matrix Approach
Abstract
1. Introduction
2. Hamiltonian
3. T Matrix Approximation for Two Band Systems
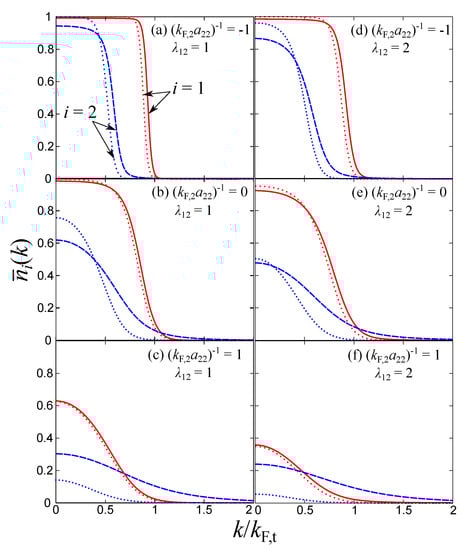
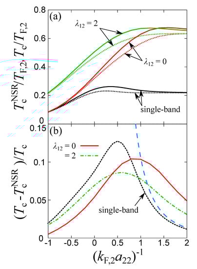
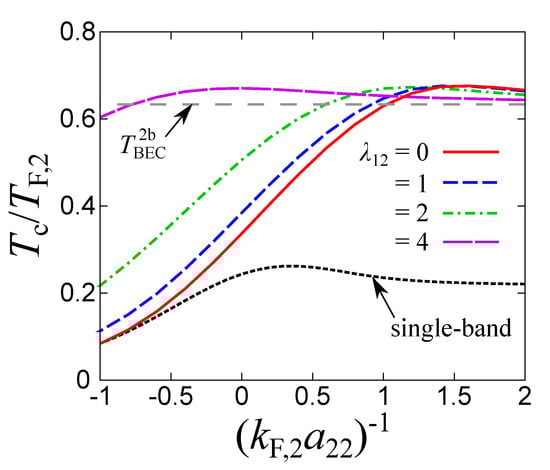
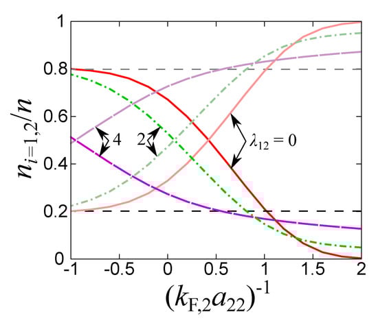
4. Results
5. Conclusions
Author Contributions
Funding
Acknowledgments
Conflicts of Interest
References
- Bardeen, J.; Cooper, L.N.; Schrieffer, J.R. Theory of Superconductivity. Phys. Rev. 1957, 108, 1175. [Google Scholar] [CrossRef]
- Suhl, H.; Matthias, B.T.; Walker, L.R. Bardeen–Cooper–Schrieffer Theory of Superconductivity in the Case of Overlapping Bands. Phys. Rev. Lett. 1959, 3, 552. [Google Scholar] [CrossRef]
- Tanaka, Y. Multicomponent superconductivity based on multiband superconductors. Supercond. Sci. Technol. 2015, 28, 034002. [Google Scholar] [CrossRef]
- Milošević, M.V.; Perali, A. Emergent phenomena in multicomponent superconductivity: An introduction to the focus issue. Supercond. Sci. Technol. 2015, 28, 060201. [Google Scholar] [CrossRef]
- Nagamatsu, J.; Nakagawa, N.; Muranaka, T.; Zenitani, Y.; Akimitsu, J. Superconductivity at 39K in magnesium diboride. Nature 2001, 410, 63–64. [Google Scholar] [CrossRef]
- Kamihara, Y.; Watanabe, T.; Hirano, M.; Hosono, H. Iron-Based Layered Superconductor La[O1−xFx]FeAs (x = 0.05–0.12) with Tc = 26 K. J. Am. Chem. Soc. 2008, 130, 3296–3297. [Google Scholar] [CrossRef] [PubMed]
- Tanaka, Y. Soliton in Two-Band Superconductor. Phys. Rev. Lett. 2001, 88, 017002. [Google Scholar] [CrossRef] [PubMed]
- Kuplevakhsky, S.V.; Omelyanchouk, A.N.; Yerin, Y.S. Soliton states in mesoscopic two band-superconducting cylinders. Low Temp. Phys. 2011, 37, 667. [Google Scholar] [CrossRef][Green Version]
- Black-Schaffer, A.M.; Balatsky, A.V. Odd-frequency superconducting pairing in multiband superconductors. Phys. Rev. B 2013, 88, 104514. [Google Scholar] [CrossRef]
- Ota, Y.; Machida, M.; Koyama, T.; Aoki, H. Collective modes in multiband superfluids and superconductors: Multiple dynamic classes. Phys. Rev. B 2011, 83, 060507(R). [Google Scholar] [CrossRef]
- Komendová, L.; Chen, Y.; Shanenko, A.A.; Milošević, M.V.; Peeters, F.M. Two-Band Superconductors: Hidden Criticality Deep in the Superconducting State. Phys. Rev. Lett. 2012, 108, 207002. [Google Scholar] [CrossRef] [PubMed]
- He, L.; Zhuang, P. Stable Sarma state in two band Fermi systems. Phys. Rev. B 2009, 79, 024511. [Google Scholar] [CrossRef]
- Valletta, A.; Bianconi, A.; Perali, A.; Saini, N.L. Electronic and superconducting properties of a superlattice of quantum stripes at the atomic limit. Z. Phys. B: Condens. Matter 1997, 104, 707–713. [Google Scholar] [CrossRef]
- Mazziotti, M.V.; Valletta, A.; Campi, G.; Innocenti, D.; Perali, A.; Bianconi, A. Possible Fano resonance for high-Tc multi-gap superconductivity in p-Terphenyl doped by K at the Lifshitz transition. Eur. Phys. Lett. 2017, 118, 37003. [Google Scholar] [CrossRef]
- Eagles, D.M. Possible pairing without superconductivity at low carrier concentrations in bulk and thin-film superconducting semiconductor. Phys. Rev. 1969, 186, 456. [Google Scholar] [CrossRef]
- Leggett, A.J. Diatomic molecules and Cooper pairs. In Modern Trends in the Theory of Condensed Matter; Peralski, A., Przystawa, J.A., Eds.; Springer: Berlin, Germany, 1980. [Google Scholar]
- Regal, C.A.; Greiner, M.; Jin, D.S. Observation of Resonance Condensation of Fermionic Atom Pairs. Phys. Rev. Lett. 2004, 92, 040403. [Google Scholar] [CrossRef]
- Zwierlein, M.W.; Stan, C.A.; Schunck, C.H.; Raupach, S.M.F.; Kerman, A.J.; Ketterle, W. Condensation of Pairs of Fermionic Atoms near a Feshbach Resonance. Phys. Rev. Lett. 2004, 92, 120403. [Google Scholar] [CrossRef]
- Giorgini, S.; Pitaevskii, L.P.; Stringari, S. Theory of ultracold atomic Fermi gases. Rev. Mod. Phys. 2008, 80, 1215. [Google Scholar] [CrossRef]
- Bloch, I.; Dalibard, J.; Zwerger, W. Many-body physics with ultracold gases. Rev. Mod. Phys. 2008, 80, 885. [Google Scholar] [CrossRef]
- Calvanese Strinati, G.; Pieri, P.; Röpke, G.; Schuck, P.; Urban, M. The BCS-BEC crossover: From ultra-cold Fermi gases to nuclear systems. Phys. Rep. 2018, 738, 1. [Google Scholar] [CrossRef]
- Kasahara, S.; Watashige, T.; Hanaguri, T.; Kohsaka, Y.; Yamashita, T.; Shimoyama, Y.; Mizukami, Y.; Endo, R.; Ikeda, H.; Aoyama, K.; et al. Field-induced superconducting phase of FeSe in the BCS-BEC cross-over. Proc. Natl. Acad. Sci. USA 2014, 111, 16309. [Google Scholar] [CrossRef] [PubMed]
- Kasahara, S.; Yamashita, T.; Shi, A.; Kobayashi, R.; Shimoyama, Y.; Watashige, T.; Ishida, K.; Terashima, T.; Wolf, T.; Hardy, F.; et al. Giant superconducting fluctuations in the compensated semimetal FeSe at the BCS-BEC crossover. Nat. Commun. 2016, 7, 12843. [Google Scholar] [CrossRef] [PubMed]
- Rinott, S.; Chashka, K.B.; Ribak, A.; Rienks Emile, D.L.; Taleb-Ibrahimi, A.; Le Fevre, P.; Bertran, F.; Randeria, M.; Kanigel, A. Tuning across the BCS-BEC crossover in the multiband superconductor Fe1+ySexTe1−x: An angle-resolved photoemission study. Sci. Adv. 2017, 3, e1602372. [Google Scholar] [CrossRef] [PubMed]
- Innocenti, D.; Poccia, N.; Ricci, A.; Valletta, A.; Caprara, S.; Perali, A.; Bianconi, A. Resonant and crossover phenomena in a multiband superconductor: Tuning the chemical potential near a band edge. Phys. Rev. B 2010, 82, 184528. [Google Scholar] [CrossRef]
- Salasnich, L.; Shanenko, A.A.; Vagov, A.; Albino Aguiar, J.; Perali, A. Screening of pair fluctuations in superconductors with coupled shallow and deep bands: A route to higher-temperature superconductivity. Phys. Rev. B 2019, 100, 064510. [Google Scholar] [CrossRef]
- Tajima, H.; Yerin, Y.; Perali, A.; Pieri, P. Enhanced critical temperature, pairing fluctuation effects, and BCS-BEC crossover in a two band Fermi gas. Phys. Rev. B 2019, 99, 180503(R). [Google Scholar] [CrossRef]
- Hanaguri, T.; Kasahara, S.; Böker, J.; Eremin, I.; Shibauchi, T.; Matsuda, Y. Quantum Vortex Core and Missing Pseudogap in the Multiband BCS-BEC Crossover Superconductor FeSe. Phys. Rev. Lett. 2019, 122, 077001. [Google Scholar] [CrossRef]
- Perali, A.; Pieri, P.; Strinati, G.C.; Castellani, C. Pseudogap and spectral function from superconducting fluctuations to the bosonic limit. Phys. Rev. B 2002, 66, 024510. [Google Scholar] [CrossRef]
- Tsuchiya, S.; Watanabe, R.; Ohashi, Y. Single-particle properties and pseudogap effects in the BCS-BEC crossover regime of an ultracold Fermi gas above Tc. Phys. Rev. A 2009, 80, 033613. [Google Scholar] [CrossRef]
- Palestini, F.; Perali, A.; Pieri, P.; Strinati, G.C. Dispersions, weights, and widths of the single-particle spectral function in the normal phase of a Fermi gas. Phys. Rev. B 2012, 85, 024517. [Google Scholar] [CrossRef]
- Marsiglio, F.; Pieri, P.; Perali, A.; Palestini, F.; Strinati, G.C. Pairing effects in the normal phase of a two-dimensional Fermi gas. Phys. Rev. B 2015, 91, 054509. [Google Scholar] [CrossRef]
- Takahashi, H.; Nabeshima, F.; Ogawa, R.; Ohmichi, E.; Ohta, H.; Maeda, A. Superconducting fluctuations in FeSe investigated by precise torque magnetometry. Phys. Rev. B 2019, 99, 060503(R). [Google Scholar] [CrossRef]
- Gati, E.; Böhmer, A.E.; Bud’ko, S.L.; Canfield, P.C. Bulk superconductivity and role of fluctuations in the iron based superconductor FeSe at high pressures. Phys. Rev. Lett. 2019, 123, 167002. [Google Scholar] [CrossRef] [PubMed]
- Lubashevsky, Y.; Lahoud, E.; Chashka, K.; Podolsky, D.; Kanigel, A. Shallow pockets and very strong coupling superconductivity in FeSexTe1−x. Nat. Phys. 2012, 8, 309–312. [Google Scholar] [CrossRef]
- Zhang, R.; Cheng, Y.; Zhai, H.; Zhang, P. Orbital Feshbach Resonance in Alkali-Earth Atoms. Phys. Rev. Lett. 2015, 115, 135301. [Google Scholar] [CrossRef]
- Pagano, G.; Mancini, M.; Cappellini, G.; Livi, L.; Sias, C.; Catani, J.; Inguscio, M.; Fallani, L. Strongly Interacting Gas of Two-Electron Fermions at an Orbital Feshbach Reonance. Phys. Rev. Lett. 2015, 115, 265301. [Google Scholar] [CrossRef]
- Höfer, M.; Riegger, L.; Scazza, F.; Hofrichter, C.; Fernandes, D.R.; Parish, M.M.; Levinsen, J.; Bloch, I.; Folling, S. Observation of an Orbital Interaction-Induced Feshbach Resonance in 173Yb. Phys. Rev. Lett. 2015, 115, 265302. [Google Scholar] [CrossRef]
- He, L.; Hu, H.; Liu, X.-J. Two-band description of resonant supefluidity in atomic Fermi gases. Phys. Rev. A 2015, 91, 023622. [Google Scholar] [CrossRef]
- He, L.; Wang, J.; Peng, S.-G.; Liu, X.-J.; Hu, H. Strongly correlated Fermi superfluid near an orbital Feshbach resonance: Stability, equation of state, and Leggett mode. Phys. Rev. A 2016, 94, 043624. [Google Scholar] [CrossRef]
- Mondal, S.; Inotani, D.; Ohashi, Y. Single-particle Excitations and Strong-Coupling Effects in the BCS-BEC Crossover Regime of a Rare-Earth Fermi Gas with an Orbital Feshbach Resonance. J. Phys. Soc. Jpn. 2018, 87, 084302. [Google Scholar] [CrossRef]
- Sedrakian, A.; Clark, J.W. Superfluidity in nuclear systems and neutron stars. Eur. Phys. Jour. A 2019, 55, 167. [Google Scholar] [CrossRef]
- Ohashi, Y.; Tajima, H.; van Wyk, P. BCS-BEC crossover in cold atomic and in nuclear systems. Progr. Part. Nucl. Phys. 2019. [Google Scholar] [CrossRef]
- Nozières, P.; Schmitt-Rink, S. Bose condensation in an attractive fermion gas: From weak to strong coupling superconductivity. J. Low Temp. Phys. 1985, 59, 195–211. [Google Scholar] [CrossRef]
- Serene, J.W. Stability of two-dimensional Fermi liquids against pair fluctuations with large total momentum. Phys. Rev. B 1989, 40, 10873. [Google Scholar] [CrossRef] [PubMed]
- Wolf, S.; Vagov, A.; Shanenko, A.A.; Axt, V.M.; Perali, A.; Albino Aguiar, J. BCS-BEC crossover induced by a shallow band: Pushing standard superconductivity types apart. Phys. Rev. B 2017, 95, 094521. [Google Scholar] [CrossRef]
- Iskin, M.; Sá de Melo, C.A.R. Two-band superfluidity from the BCS to the BEC limit. Phys. Rev. B 2006, 74, 144517. [Google Scholar] [CrossRef]
- Yerin, Y.; Tajima, H.; Pieri, P.; Perali, A. Coexistence of giant Cooper pairs with a bosonic condensate and anomalous behavior of energy gaps in the BCS-BEC crossover of a two band superfluid Fermi gas. Phys. Rev. B 2019, 100, 104528. [Google Scholar] [CrossRef]
- Sá de Melo, C.A.R.; Randeria, M.; Engelbrecht, J.R. Crossover from BCS to Bose Superconductivity: Transition Temperature and Time-Dependent Ginzburg-Landau Theory. Phys. Rev. Lett. 1993, 71, 3202. [Google Scholar] [CrossRef]
- Pekker, D.; Babadi, M.; Sensarma, R.; Zinner, N.; Pollet, L.; Zwierlein, M.W.; Demler, E. Competition between Pairing and Ferromagnetic Instabilities in Ultracold Fermi Gases near Feshbach Resonances. Phys. Rev. Lett. 2011, 106, 05402. [Google Scholar] [CrossRef]
- Tan, S. Energetics of a strongly correlated Fermi gas. Ann. Phys. 2008, 323, 2952. [Google Scholar] [CrossRef]
- Tan, S. Large momentum part of a strongly correlated Fermi gas. Ann. Phys. 2008, 323, 2971. [Google Scholar] [CrossRef]
- Tan, S. Generalized virial theorem and pressure relation for a strongly correlated Fermi gas. Ann. Phys. 2008, 323, 2987. [Google Scholar] [CrossRef]
- Palestini, F.; Perali, A.; Pieri, P.; Strinati, G.C. Temperature and coupling dependence of the universal contact intensity for an ultracold Fermi gas. Phys. Rev. A 2010, 82, 021605(R). [Google Scholar] [CrossRef]
- Pini, M.; Pieri, P.; Strinati, G.C. Fermi gas throughout the BCS-BEC crossover: Comparative study of t matrix approaches with various degrees of self-consistency. Phys. Rev. B 2019, 99, 094502. [Google Scholar] [CrossRef]







© 2020 by the authors. Licensee MDPI, Basel, Switzerland. This article is an open access article distributed under the terms and conditions of the Creative Commons Attribution (CC BY) license (http://creativecommons.org/licenses/by/4.0/).
Share and Cite
Tajima, H.; Perali, A.; Pieri, P. BCS-BEC Crossover and Pairing Fluctuations in a Two Band Superfluid/Superconductor: A T Matrix Approach. Condens. Matter 2020, 5, 10. https://doi.org/10.3390/condmat5010010
Tajima H, Perali A, Pieri P. BCS-BEC Crossover and Pairing Fluctuations in a Two Band Superfluid/Superconductor: A T Matrix Approach. Condensed Matter. 2020; 5(1):10. https://doi.org/10.3390/condmat5010010
Chicago/Turabian StyleTajima, Hiroyuki, Andrea Perali, and Pierbiagio Pieri. 2020. "BCS-BEC Crossover and Pairing Fluctuations in a Two Band Superfluid/Superconductor: A T Matrix Approach" Condensed Matter 5, no. 1: 10. https://doi.org/10.3390/condmat5010010
APA StyleTajima, H., Perali, A., & Pieri, P. (2020). BCS-BEC Crossover and Pairing Fluctuations in a Two Band Superfluid/Superconductor: A T Matrix Approach. Condensed Matter, 5(1), 10. https://doi.org/10.3390/condmat5010010

