Effect of the Strength of Attraction Between Nanoparticles on Wormlike Micelle- Nanoparticle System
Abstract
1. Introduction
2. Model and Method
2.1. Modeling Wormlike Micelles
- : Two body attractive potentialFor any two monomers at a distance of , an attractive Lennard–Jones potential is provided which is modified by an exponential term as shown in Equation (1).where and the cutoff distance is . The exponential term in the above potential creates a maximum at which acts as a potential barrier for joining or breaking of monomers from chains. The value of and a are kept fixed as and . This potential behavior is shown in Figure 1b where the Y-axis is . When , (see below). Therefore, the graph shown by the symbols (blue-triangle) having legends represents the behavior of . In the graph, is kept fixed at (except for the inset figure).
- : Three body potential to add semi-flexibility to chainsFor any monomer that is part of a chain, there are two bonded neighbours at a distance of and which subtends an angle at the central monomer (as shown in Figure 1). The triplet thus formed is then subjected to the following three-body potential,where the value of and the cutoff distance is kept fixed at . The leading terms inside the two brackets ensure that the potential and force goes smoothly to zero at the cutoff of .
- : Four body repulsive potential between chainsFor any monomer with two bonded neighbours at distances and , any other monomer at a distance approaching the first monomer to form a branch (see Figure 1a) will be repelled with the following potential,The cutoff distance for this potential is chosen such that and is fixed at . The leading terms in the brackets are necessary to make the force and potential smoothly approaching zero at the cutoff distance. Since, those terms in the brackets approaches zero as or approaches , therefore the value of is decided to give a very high value to ensure enough repulsion between the chains. The behavior of is shown in the inset of Figure 1b. It should be noted that we refer to micellar chains as dispersed if the distance between chains is . When the distance between chains of monomers is , then we refer to them as clusters of chains.
2.2. Modeling Nanoparticles
2.3. Method
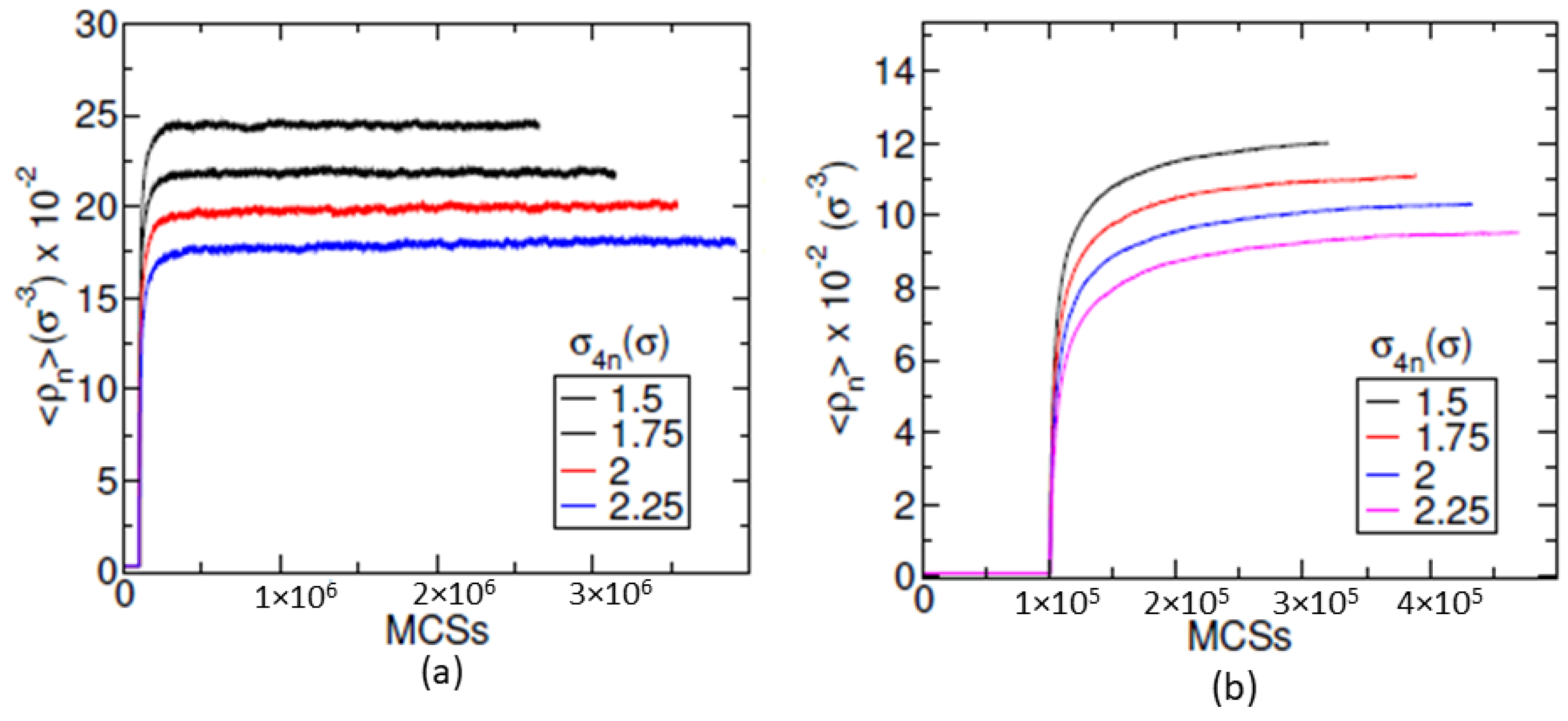
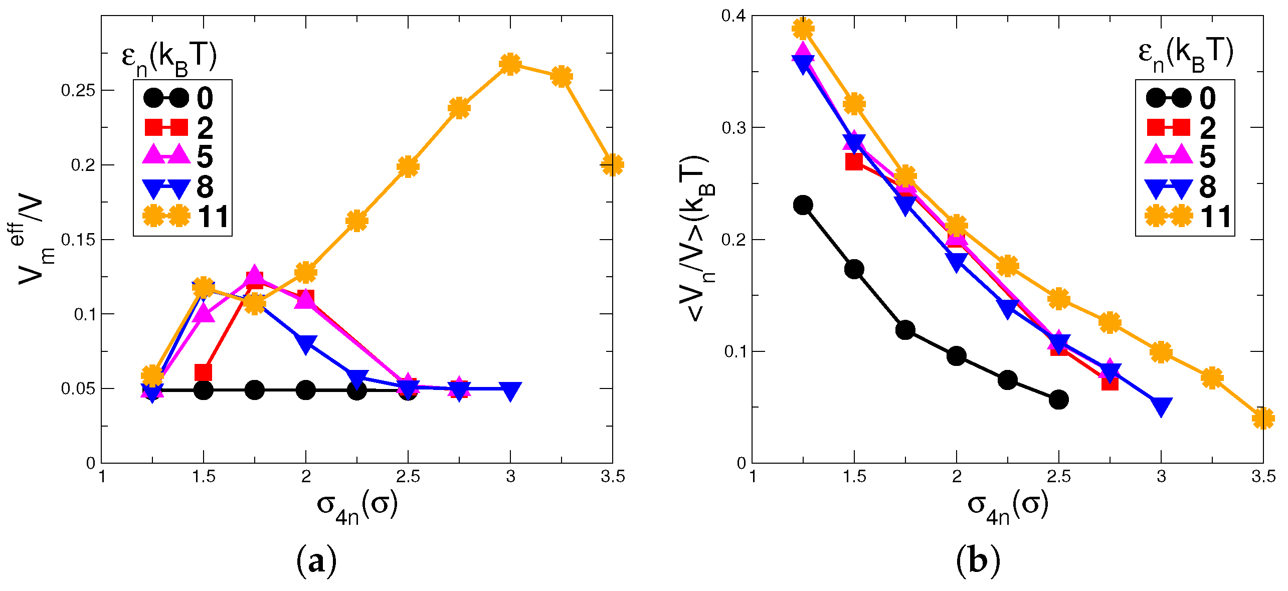
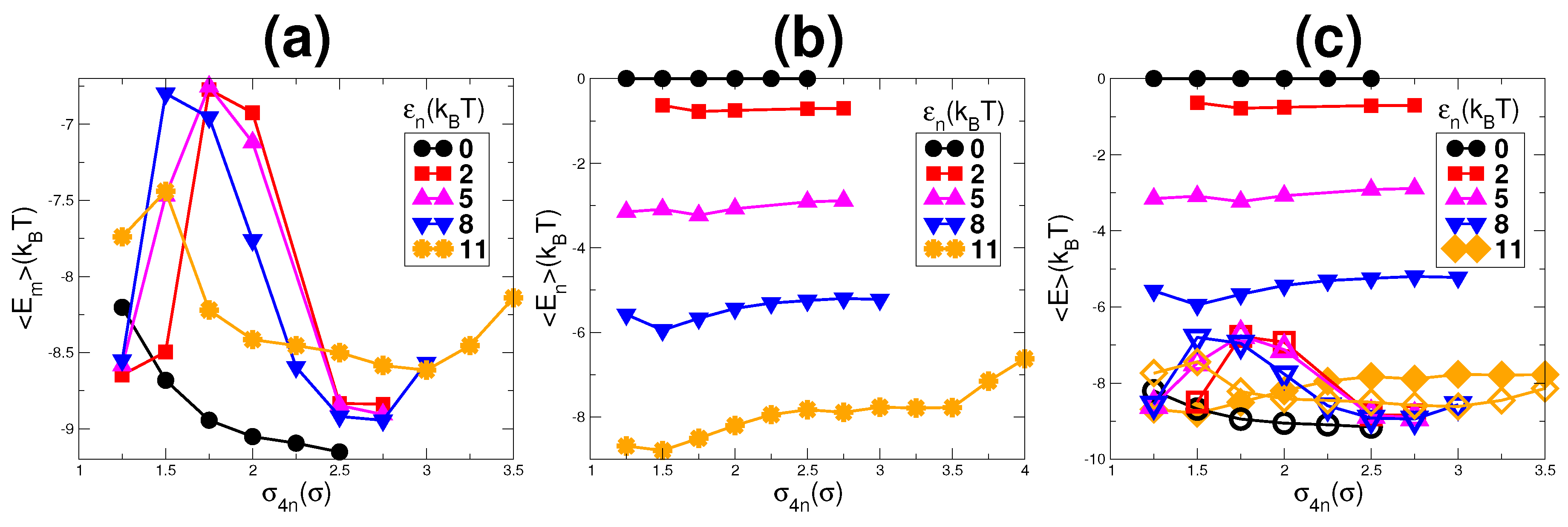
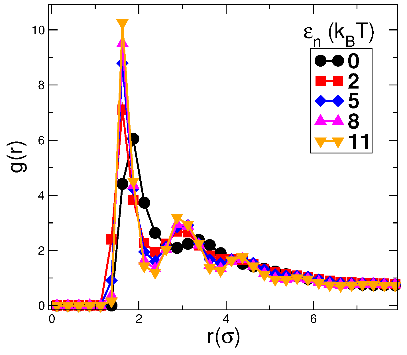
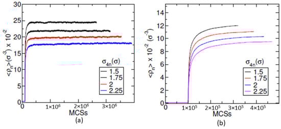
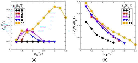
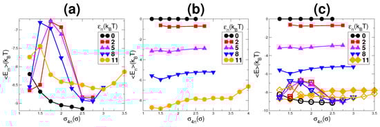
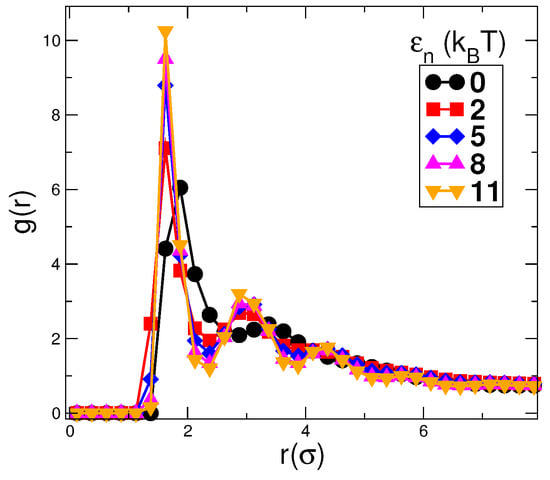
3. Results
4. Conclusion
Supplementary Materials
Funding
Acknowledgments
Conflicts of Interest
References
- Bisquert, J. Nanostructured Energy Devices: Foundations of Carrier Transport; CRC Press: Boca Raton, FL, USA, 2017. [Google Scholar]
- Daubinger, P. Hierarchical Nanostructures for Energy Devices. Johnson Matthey Technol. Rev. 2016, 60. [Google Scholar] [CrossRef]
- Yi, G.C. Semiconductor Nanostructures for Optoelectronic Devices: Processing, Characterization and Applications; Springer: Berlin, Germany, 2012. [Google Scholar]
- Domènech, B.; Muñoz, M.; Muraviev, D.; Macanás, J. Polymer-Silver nanocomposites as antibacterial materials. In Microbial Pathogens and Strategies for Combating Them: Science, Technology and Education; Méndez-Vilas, A., Ed.; Formatex Research Center: Badajoz, Spain, 2013. [Google Scholar]
- Sambarkar, P.; Patwekar, S.; Dudhgaonkar, B. Polymer nanocomposites: An overview. Int. J. Pharm. Pharm. Sci. 2012, 4, 60–65. [Google Scholar]
- Ray, S.S.; Bousmina, M. Polymer Nanocomposites and Their Applications; Scientific American: New York, NY, USA, 2006. [Google Scholar]
- Arraudeau, J.; Patraud, J.; Gall, L. Composition Based on Cationic Polymers, Anionic Polymers and Waxes for Use in Cosmetics. U.S. Patent 4,871,536, 3 October 1989. [Google Scholar]
- Tatum, J.P.; Wright, R.C. Organoclay Materials. U.S. Patent 4,752,342, 21 June 1988. [Google Scholar]
- Sorrentino, A.; Gorrasi, G.; Vittoria, V. Potential perspectives of bio-nanocomposites for food packaging applications. Trends Food Sci. Technol. 2007, 18, 84–95. [Google Scholar] [CrossRef]
- De Azeredo, H.M. Nanocomposites for food packaging applications. Food Res. Int. 2009, 42, 1240–1253. [Google Scholar] [CrossRef]
- Ingrosso, C.; Panniello, A.; Comparelli, R.; Curri, M.L.; Striccoli, M. Colloidal inorganic nanocrystal based nanocomposites: Functional materials for micro and nanofabrication. Materials 2010, 3, 1316–1352. [Google Scholar] [CrossRef]
- Segala, K.; Pereira, A.S. From Ruthenium Complexes to Novel Functional Nanocomposites: Development and Perspectives. In New Polymers for Special Applications; InTech: Garching, Germany, 2012. [Google Scholar]
- Seul, M.; Andelman, D. Domain shapes and patterns: the phenomenology of modulated phases. Science 1995, 267, 476. [Google Scholar] [CrossRef] [PubMed]
- Tang, Z.; Zhang, Z.; Wang, Y.; Glotzer, S.C.; Kotov, N.A. Self-assembly of CdTe nanocrystals into free-floating sheets. Science 2006, 314, 274–278. [Google Scholar] [CrossRef] [PubMed]
- Miyashita, T. Fabrication of Soft Nano-devices using Polymer Nano-sheets. J. Netw. Polym. Jpn. 2004, 25, 34–43. [Google Scholar]
- Black, C.; Guarini, K.; Breyta, G.; Colburn, M.; Ruiz, R.; Sandstrom, R.; Sikorski, E.; Zhang, Y. Highly porous silicon membrane fabrication using polymer self-assembly. J. Vacuum Sci. Technol. B 2006, 24, 3188–3191. [Google Scholar] [CrossRef]
- Orski, S.V.; Fries, K.H.; Sontag, S.K.; Locklin, J. Fabrication of nanostructures using polymer brushes. J. Mater. Chem. 2011, 21, 14135–14149. [Google Scholar] [CrossRef]
- Shenhar, R.; Norsten, T.B.; Rotello, V.M. Polymer-Mediated Nanoparticle Assembly: Structural Control and Applications. Adv. Mater. 2005, 17, 657–669. [Google Scholar] [CrossRef]
- Hamley, I. Nanostructure fabrication using block copolymers. Nanotechnology 2003, 14, R39. [Google Scholar] [CrossRef]
- Asakura, S.; Oosawa, F. On interaction between two bodies immersed in a solution of macromolecules. J. Chem. Phys. 1954, 22, 1255–1256. [Google Scholar] [CrossRef]
- Asakura, S.; Oosawa, F. Interaction between particles suspended in solutions of macromolecules. J. Polym. Sci. 1958, 33, 183–192. [Google Scholar] [CrossRef]
- Reister, E.; Fredrickson, G.H. Phase behavior of a blend of polymer-tethered nanoparticles with diblock copolymers. J. Chem. Phys. 2005, 123, 214903. [Google Scholar] [CrossRef] [PubMed]
- Sides, S.W.; Kim, B.J.; Kramer, E.J.; Fredrickson, G.H. Hybrid particle-field simulations of polymer nanocomposites. Phys. Rev. Lett. 2006, 96, 250601. [Google Scholar] [CrossRef] [PubMed]
- Detcheverry, F.A.; Kang, H.; Daoulas, K.C.; Müller, M.; Nealey, P.F.; de Pablo, J.J. Monte Carlo simulations of a coarse grain model for block copolymers and nanocomposites. Macromolecules 2008, 41, 4989–5001. [Google Scholar] [CrossRef]
- Beecroft, L.L.; Ober, C.K. Nanocomposite materials for optical applications. Chem. Mater. 1997, 9, 1302–1317. [Google Scholar] [CrossRef]
- Kumar, S.K.; Krishnamoorti, R. Nanocomposites: Structure, phase behavior, and properties. Annu. Rev. Chem. Biomol. Eng. 2010, 1, 37–58. [Google Scholar] [CrossRef] [PubMed]
- Chao, H.; Riggleman, R.A. Effect of particle size and grafting density on the mechanical properties of polymer nanocomposites. Polymer 2013, 54, 5222–5229. [Google Scholar] [CrossRef]
- Koski, J.; Chao, H.; Riggleman, R.A. Field theoretic simulations of polymer nanocomposites. J. Chem. Phys. 2013, 139, 244911. [Google Scholar] [CrossRef] [PubMed]
- Lee, J.Y.; Balazs, A.C.; Thompson, R.B.; Hill, R.M. Self-Assembly of Amphiphilic Nanoparticle-Coil “Tadpole” Macromolecules. Macromolecules 2004, 37, 3536–3539. [Google Scholar] [CrossRef]
- Balazs, A.C.; Singh, C.; Zhulina, E. Modeling the interactions between polymers and clay surfaces through self-consistent field theory. Macromolecules 1998, 31, 8370–8381. [Google Scholar] [CrossRef]
- Thompson, R.B.; Ginzburg, V.V.; Matsen, M.W.; Balazs, A.C. Block copolymer-directed assembly of nanoparticles: Forming mesoscopically ordered hybrid materials. Macromolecules 2002, 35, 1060–1071. [Google Scholar] [CrossRef]
- Hore, M.J.; Frischknecht, A.L.; Composto, R.J. Nanorod assemblies in polymer films and their dispersion-dependent optical properties. ACS Macro Lett. 2011, 1, 115–121. [Google Scholar] [CrossRef]
- Frischknecht, A.L.; Hore, M.J.; Ford, J.; Composto, R.J. Dispersion of polymer-grafted nanorods in homopolymer films: Theory and experiment. Macromolecules 2013, 46, 2856–2869. [Google Scholar] [CrossRef]
- McGarrity, E.; Frischknecht, A.; Mackay, M. Phase behavior of polymer/nanoparticle blends near a substrate. J. Chem. Phys. 2008, 128, 154904. [Google Scholar] [CrossRef] [PubMed]
- De Pablo, J.J. Coarse-grained simulations of macromolecules: From DNA to nanocomposites. Ann. Rev. Phys. Chem. 2011, 62, 555–574. [Google Scholar] [CrossRef] [PubMed]
- Riggleman, R.A.; Toepperwein, G.; Papakonstantopoulos, G.J.; Barrat, J.L.; de Pablo, J.J. Entanglement network in nanoparticle reinforced polymers. J. Chem. Phys. 2009, 130, 244903. [Google Scholar] [CrossRef] [PubMed]
- Kang, H.; Detcheverry, F.A.; Mangham, A.N.; Stoykovich, M.P.; Daoulas, K.C.; Hamers, R.J.; Müller, M.; de Pablo, J.J.; Nealey, P.F. Hierarchical assembly of nanoparticle superstructures from block copolymer-nanoparticle composites. Phys. Rev. Lett. 2008, 100, 148303. [Google Scholar] [CrossRef] [PubMed]
- Louis, A.; Bolhuis, P.; Hansen, J.; Meijer, E. Can polymer coils be modeled as “soft colloids”? Phys. Rev. Lett. 2000, 85, 2522. [Google Scholar] [CrossRef] [PubMed]
- Bolhuis, P.; Louis, A.; Hansen, J. Influence of polymer-excluded volume on the phase-behavior of colloid-polymer mixtures. Phys. Rev. Lett. 2002, 89, 128302. [Google Scholar] [CrossRef] [PubMed]
- Bolhuis, P.G.; Meijer, E.J.; Louis, A.A. Colloid-polymer mixtures in the protein limit. Phys. Rev. Lett. 2003, 90, 068304. [Google Scholar] [CrossRef] [PubMed]
- Bagwe, R.P.; Hilliard, L.R.; Tan, W. Surface modification of silica nanoparticles to reduce aggregation and nonspecific binding. Langmuir 2006, 22, 4357–4362. [Google Scholar] [CrossRef] [PubMed]
- Mendoza, C.I.; Batta, E. Self-assembly of binary nanoparticle dispersions: From square arrays and stripe phases to colloidal corrals. EPL 2009, 85, 56004. [Google Scholar] [CrossRef]
- Martin, T.B.; Jayaraman, A. Effect of matrix bidispersity on the morphology of polymer-grafted nanoparticle-filled polymer nanocomposites. J. Polym. Sci. Part B Polym. Phys. 2014, 52, 1661–1668. [Google Scholar] [CrossRef]
- Nair, N.; Wentzel, N.; Jayaraman, A. Effect of bidispersity in grafted chain length on grafted chain conformations and potential of mean force between polymer grafted nanoparticles in a homopolymer matrix. J. Chem. Phys. 2011, 134, 194906. [Google Scholar] [CrossRef] [PubMed]
- Hakem, I.F.; Leech, A.M.; Johnson, J.D.; Donahue, S.J.; Walker, J.P.; Bockstaller, M.R. Understanding ligand distributions in modified particle and particlelike systems. J. Am. Chem. Soc. 2010, 132, 16593–16598. [Google Scholar] [CrossRef] [PubMed]
- Zhao, D.; Di Nicola, M.; Khani, M.M.; Jestin, J.; Benicewicz, B.C.; Kumar, S.K. Role of block copolymer adsorption versus bimodal grafting on nanoparticle self-assembly in polymer nanocomposites. Soft Matter 2016, 12, 7241–7247. [Google Scholar] [CrossRef] [PubMed]
- Mubeena, S. Wormlike micelle-nanoparticles composite: A computational investigation. arXiv 2018, arXiv:cond-mat.soft/1801.06933. [Google Scholar]
- Mubeena, S.; Chatterji, A. Hierarchical self-assembly: Self-organized nanostructures in a nematically ordered matrix of self-assembled polymeric chains. Phys. Rev. E 2015, 91, 032602. [Google Scholar] [CrossRef] [PubMed]
- Chatterji, A.; Pandit, R. The statistical mechanics of semiflexible equilibrium polymers. J. Stat. Phys. 2003, 110, 1219–1248. [Google Scholar] [CrossRef]













© 2018 by the author. Licensee MDPI, Basel, Switzerland. This article is an open access article distributed under the terms and conditions of the Creative Commons Attribution (CC BY) license (http://creativecommons.org/licenses/by/4.0/).
Share and Cite
Shaikh, M. Effect of the Strength of Attraction Between Nanoparticles on Wormlike Micelle- Nanoparticle System. Condens. Matter 2018, 3, 31. https://doi.org/10.3390/condmat3040031
Shaikh M. Effect of the Strength of Attraction Between Nanoparticles on Wormlike Micelle- Nanoparticle System. Condensed Matter. 2018; 3(4):31. https://doi.org/10.3390/condmat3040031
Chicago/Turabian StyleShaikh, Mubeena. 2018. "Effect of the Strength of Attraction Between Nanoparticles on Wormlike Micelle- Nanoparticle System" Condensed Matter 3, no. 4: 31. https://doi.org/10.3390/condmat3040031
APA StyleShaikh, M. (2018). Effect of the Strength of Attraction Between Nanoparticles on Wormlike Micelle- Nanoparticle System. Condensed Matter, 3(4), 31. https://doi.org/10.3390/condmat3040031
