Strained Graphene as Pristine Graphene with a Deformed Momentum Operator
Abstract
1. Introduction
2. Equivalence Between Strain and Momentum Operator Deformations
- Now, integrating over a square area with diagonal between the points (0,0) and , we find and from Equations (16) and (18) to be explicitly given asFurthermore, because of Equation (17), we can writeand hence the full set of in-plane deformations can be expressed in terms of and . In summary, for the displacement vector we havewhere
- For out of plane deformations, , which leads to the following system of equationsFrom Equation (24), we obtain ,Now, replacing Equations (24) and (26) in Equation (25), we obtain in terms of the diagonal elements of a asMoreover, from Equation (26), we have that the diagonal elements are related through
3. Bound States for Inhomogeneous Fermi Velocities
3.1. Uniform Unidirectional Deformation
3.2. Shear Strain
3.3. Diagonal Inhomogeneous Fermi Velocity
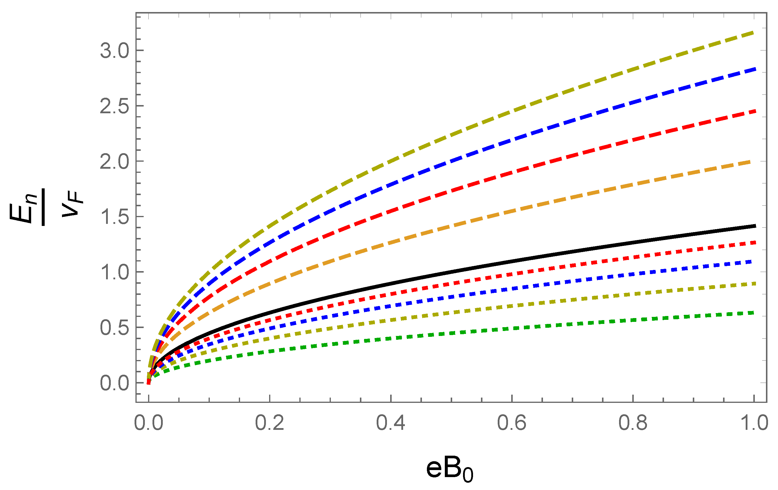
Adding an External Magnetic Field
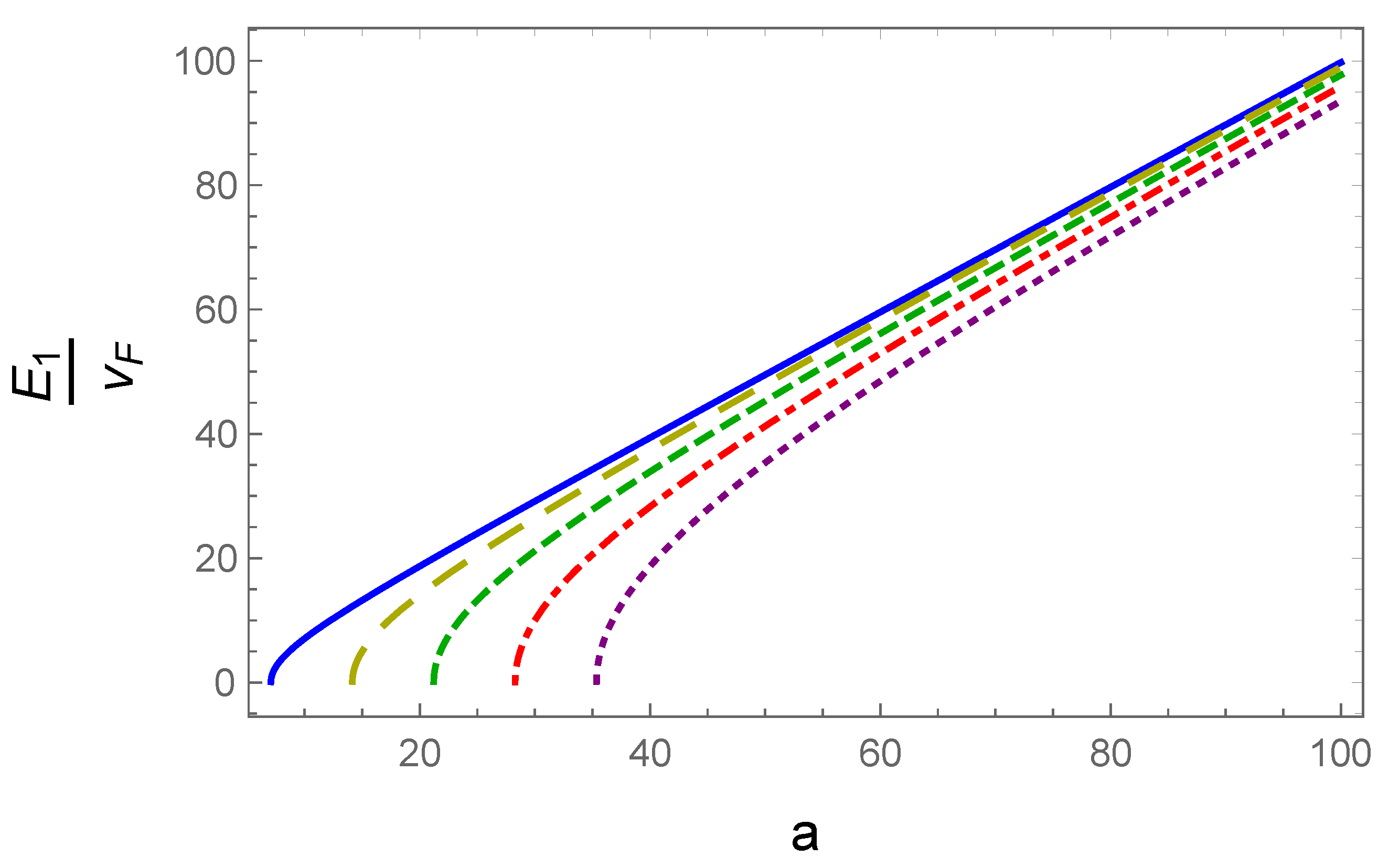
3.4. Inhomogeneous Strain in Two Variables
4. Final Remarks
Author Contributions
Funding
Data Availability Statement
Acknowledgments
Conflicts of Interest
References
- Novoselov, K.S.; Geim, A.K.; Morozov, S.V.; Jiang, D.; Zhang, Y.; Dubonos, S.V.; Grigorieva, I.V.; Firsov, A.A. Electric Field Effect in Atomically Thin Carbon Films. Science 2004, 306, 666–669. [Google Scholar] [CrossRef] [PubMed]
- Zhang, Y.; Tan, Y.W.; Stormer, H.L.; Kim, P. Experimental observation of the quantum Hall effect and Berry’s phase in graphene. Nature 2005, 438, 201–204. [Google Scholar] [CrossRef] [PubMed]
- Castro Neto, A.H.; Guinea, F.; Peres, N.M.R.; Novoselov, K.S.; Geim, A.K. The electronic properties of graphene. Rev. Mod. Phys. 2009, 81, 109–162. [Google Scholar] [CrossRef]
- Hasan, M.Z.; Kane, C.L. Colloquium: Topological insulators. Rev. Mod. Phys. 2010, 82, 3045–3067. [Google Scholar] [CrossRef]
- Qi, X.L.; Zhang, S.C. Topological insulators and superconductors. Rev. Mod. Phys. 2011, 83, 1057–1110. [Google Scholar] [CrossRef]
- Katayama, S.; Kobayashi, A.; Suzumura, Y. Electronic properties close to Dirac cone in two-dimensional organic conductor α-(BEDT-TTF)2I3. Eur. Phys. J. B 2009, 67, 139–148. [Google Scholar] [CrossRef]
- Kajita, K.; Nishio, Y.; Tajima, N.; Suzumura, Y.; Kobayashi, A. Molecular Dirac Fermion Systems—Theoretical and Experimental Approaches—. J. Phys. Soc. Jpn. 2014, 83, 072002. [Google Scholar] [CrossRef]
- Pereira, V.M.; Castro Neto, A.H.; Peres, N.M.R. Tight-binding approach to uniaxial strain in graphene. Phys. Rev. B 2009, 80, 045401. [Google Scholar] [CrossRef]
- Tománek, D. Mesoscopic origami with graphite: Scrolls, nanotubes, peapods. Phys. B Condens. Matter 2002, 323, 86–89. [Google Scholar] [CrossRef]
- Naumis, G.G.; Barraza-Lopez, S.; Oliva-Leyva, M.; Terrones, H. Electronic and optical properties of strained graphene and other strained 2D materials: A review. Rep. Prog. Phys. 2017, 80, 096501. [Google Scholar] [CrossRef]
- Oliva-Leyva, M.; Naumis, G.G. Generalizing the Fermi velocity of strained graphene from uniform to nonuniform strain. Phys. Lett. A 2015, 379, 2645–2651. [Google Scholar] [CrossRef]
- Betancur-Ocampo, Y.; Cifuentes-Quintal, M.; Cordourier-Maruri, G.; de Coss, R. Landau levels in uniaxially strained graphene: A geometrical approach. Ann. Phys. 2015, 359, 243–251. [Google Scholar] [CrossRef]
- Concha, Y.; Huet, A.; Raya, A.; Valenzuela, D. Supersymmetric quantum electronic states in graphene under uniaxial strain. Mater. Res. Express 2018, 5, 065607. [Google Scholar] [CrossRef]
- Díaz-Bautista, E.; Concha-Sánchez, Y.; Raya, A. Barut–Girardello coherent states for anisotropic 2D-Dirac materials. J. Phys. Condens. Matter 2019, 31, 435702. [Google Scholar] [CrossRef]
- Díaz-Bautista, E.; Oliva-Leyva, M.; Concha-Sánchez, Y.; Raya, A. Coherent states in magnetized anisotropic 2D Dirac materials. J. Phys. A Math. Theor. 2020, 53, 105301. [Google Scholar] [CrossRef]
- Pérez-Pedraza, J.C.; Díaz-Bautista, E.; Raya, A.; Valenzuela, D. Critical behavior for point monopole and dipole electric impurities in uniformly and uniaxially strained graphene. Phys. Rev. B 2020, 102, 045131. [Google Scholar] [CrossRef]
- Contreras-Astorga, A.; Jakubský, V.; Raya, A. On the propagation of Dirac fermions in graphene with strain-induced inhomogeneous Fermi velocity. J. Phys. Condens. Matter 2020, 32, 295301. [Google Scholar] [CrossRef] [PubMed]
- Andrade, E.; López-Urías, F.; Naumis, G.G. Topological origin of flat bands as pseudo-Landau levels in uniaxial strained graphene nanoribbons and induced magnetic ordering due to electron-electron interactions. Phys. Rev. B 2023, 107, 235143. [Google Scholar] [CrossRef]
- Naumis, G.G.; Herrera, S.A.; Poudel, S.P.; Nakamura, H.; Barraza-Lopez, S. Mechanical, electronic, optical, piezoelectric and ferroic properties of strained graphene and other strained monolayers and multilayers: An update. Rep. Prog. Phys. 2023, 87, 016502. [Google Scholar] [CrossRef] [PubMed]
- García-Muñoz, J.D.; Pérez-Pedraza, J.C.; Raya, A. Approximate solutions for electronic states with non-standard Landau levels in graphene under uniaxial periodic strain modulation. Phys. Lett. A 2025, 130305. [Google Scholar] [CrossRef]
- Le, D.N.; Le, V.H.; Roy, P. Graphene under uniaxial inhomogeneous strain and an external electric field: Landau levels, electronic, magnetic and optical properties. Eur. Phys. J. B 2020, 93, 158. [Google Scholar] [CrossRef]
- Díaz-Bautista, E. Schrödinger-type 2D coherent states of magnetized uniaxially strained graphene. J. Math. Phys. 2020, 61, 102101. [Google Scholar] [CrossRef]
- Ghosh, P.; Roy, P. Bound states in graphene via Fermi velocity modulation. Eur. Phys. J. Plus 2017, 132, 32. [Google Scholar] [CrossRef]
- Ghosh, P.; Roy, P. Collapse of Landau levels in graphene under uniaxial strain. Mater. Res. Express 2019, 6, 125603. [Google Scholar] [CrossRef]
- Tsoukleri, G.; Parthenios, J.; Papagelis, K.; Jalil, R.; Ferrari, A.C.; Geim, A.K.; Novoselov, K.S.; Galiotis, C. Subjecting a Graphene Monolayer to Tension and Compression. Small 2009, 5, 2397–2402. [Google Scholar] [CrossRef] [PubMed]
- Morinari, T. Dynamical Time-Reversal and Inversion Symmetry Breaking, Dimensional Crossover, and Chiral Anomaly in α-(BEDT-TTF)2I3. J. Phys. Soc. Jpn. 2020, 89, 073705. [Google Scholar] [CrossRef]
- Zabolotskiy, A.D.; Lozovik, Y.E. Strain-induced pseudomagnetic field in the Dirac semimetal borophene. Phys. Rev. B 2016, 94, 165403. [Google Scholar] [CrossRef]
- Sári, J.; Goerbig, M.O.; Toke, C. Magneto-optics of quasirelativistic electrons in graphene with an inplane electric field and in tilted Dirac cones in α-(BEDTTTF)2I3. Phys. Rev. B 2015, 92, 035306. [Google Scholar] [CrossRef]
- Cheng, T.; Lang, H.; Li, Z.; Liu, Z.; Liu, Z. Anisotropic carrier mobility in two-dimensional materials with tilted Dirac cones: Theory and application. Phys. Chem. Chem. Phys. 2017, 19, 23942–23950. [Google Scholar] [CrossRef] [PubMed]
- Sári, J.; Toke, C.; Goerbig, M.O. Magnetoplasmons of the tilted anisotropic Dirac cone material α-(BEDT-TTF)2I3. Phys. Rev. B 2014, 90, 155446. [Google Scholar] [CrossRef]
- Vozmediano, M.; Katsnelson, M.; Guinea, F. Gauge fields in graphene. Phys. Rep. 2010, 496, 109–148. [Google Scholar] [CrossRef]
- Geim, A.K.; Novoselov, K.S. The rise of graphene. Nat. Mater. 2007, 6, 183–191. [Google Scholar] [CrossRef] [PubMed]
- Chaves, A.J.; Frederico, T.; Oliveira, O.; de Paula, W.; Santos, M.C. Optical conductivity of curved graphene. J. Phys. Condens. Matter 2014, 26, 185301. [Google Scholar] [CrossRef] [PubMed]
- Santos, M.; da Silva, E.L.; Yang, T.; Lopes, A.; Araújo, J. Strain-induced effects of topological deformed graphene. J. Magn. Magn. Mater. 2021, 540, 168429. [Google Scholar] [CrossRef]
- Marino, E. Quantum electrodynamics of particles on a plane and the Chern-Simons theory. Nucl. Phys. B 1993, 408, 551–564. [Google Scholar] [CrossRef]
- Gorbar, E.V.; Gusynin, V.P.; Miransky, V.A. Dynamical chiral symmetry breaking on a brane in reduced QED. Phys. Rev. D 2001, 64, 105028. [Google Scholar] [CrossRef]
- Casimiro Olivares, J.A.; Mizher, A.J.; Raya, A. Non-perturbative field theoretical aspects of graphene and related systems. Revista Mexicana de Física 2022, 68, 040101. [Google Scholar] [CrossRef]
- Moshinsky, M.; Szczepaniak, A. The Dirac oscillator. J. Phys. A Math. Gen. 1989, 22, L817. [Google Scholar] [CrossRef]
- Contreras-Astorga, A. One dimensional Dirac-Moshinsky oscillator-like system and isospectral partners. J. Phys. Conf. Ser. 2015, 624, 012013. [Google Scholar] [CrossRef]
- Gangopadhyaya, A.; Mallow, J.; Rasinariu, C. Supersymmetric Quantum Mechanics, 2nd ed.; World Scientific: Singapore, 2018. [Google Scholar]
- Fernández, D.J. Trends in Supersymmetric Quantum Mechanics. In Proceedings of the Integrability, Supersymmetry and Coherent States: A Volume in Honour of Professor Véronique Hussin, Valladolid, Spain, 27–30 June 2017; Kuru, Ş., Negro, J., Nieto, L.M., Eds.; Springer Nature: Cham, Switzerland, 2019; pp. 37–68. [Google Scholar] [CrossRef]
- Fernández C., D.J.; Fernández-García, N. Higher-order supersymmetric quantum mechanics. AIP Conf. Proc. 2004, 744, 236–273. [Google Scholar] [CrossRef]
- Junker, G. Supersymmetric Methods in Quantum, Statistical and Solid State Physics, 2nd ed.; IOP Publishing Ltd.: Bristol, UK, 2019. [Google Scholar]
- Pérez-Pedraza, J.C.; García-Muñoz, J.D.; Raya, A. Dirac materials in parallel non-uniform electromagnetic fields generated by SUSY: A chiral Planar Hall Effect. Phys. Scr. 2024, 99, 045248. [Google Scholar] [CrossRef]
- Fernández C., D.J.; García-Muñoz, J.D. Graphene in complex magnetic fields. Eur. Phys. J. Plus 2022, 137, 1013. [Google Scholar] [CrossRef]
- Kuru, Ş.; Negro, J.; Nieto, L.M. Exact analytic solutions for a Dirac electron moving in graphene under magnetic fields. J. Phys. Condens. Matter 2009, 21, 455305. [Google Scholar] [CrossRef] [PubMed]
- Grandshteyn, I.S.; Ryzhik, I.M. Table of Integrals, Series, and Products, 8th ed.; Academic Press, Inc.: Cambridge, MA, USA, 2015. [Google Scholar]





Disclaimer/Publisher’s Note: The statements, opinions and data contained in all publications are solely those of the individual author(s) and contributor(s) and not of MDPI and/or the editor(s). MDPI and/or the editor(s) disclaim responsibility for any injury to people or property resulting from any ideas, methods, instructions or products referred to in the content. |
© 2025 by the authors. Licensee MDPI, Basel, Switzerland. This article is an open access article distributed under the terms and conditions of the Creative Commons Attribution (CC BY) license (https://creativecommons.org/licenses/by/4.0/).
Share and Cite
Valenzuela, D.; Raya, A.; García-Muñoz, J.D. Strained Graphene as Pristine Graphene with a Deformed Momentum Operator. Condens. Matter 2025, 10, 10. https://doi.org/10.3390/condmat10010010
Valenzuela D, Raya A, García-Muñoz JD. Strained Graphene as Pristine Graphene with a Deformed Momentum Operator. Condensed Matter. 2025; 10(1):10. https://doi.org/10.3390/condmat10010010
Chicago/Turabian StyleValenzuela, David, Alfredo Raya, and Juan D. García-Muñoz. 2025. "Strained Graphene as Pristine Graphene with a Deformed Momentum Operator" Condensed Matter 10, no. 1: 10. https://doi.org/10.3390/condmat10010010
APA StyleValenzuela, D., Raya, A., & García-Muñoz, J. D. (2025). Strained Graphene as Pristine Graphene with a Deformed Momentum Operator. Condensed Matter, 10(1), 10. https://doi.org/10.3390/condmat10010010

