Study on the Hydrodynamic Performance of the Beam Used in the Antarctic Krill Beam Trawl
Abstract
1. Introduction
2. Materials and Methods
2.1. Model of the Beam
2.2. Flume Test
2.3. Numerical Simulation
2.4. Data Process
3. Results
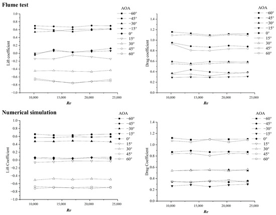
3.1. Validation
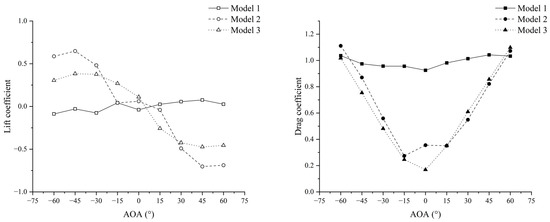
3.2. The Relationship between the Hydrodynamic Coefficients of Beams and the Angles of Attack
3.3. The Relationship between the Lift-to-Drag Ratio of Beams and the Angles of Attack
4. Discussion
4.1. Influence of Shape on the Hydrodynamic Performance of the Beam
4.2. Flow Distribution around the Beams
5. Conclusions
- The CFD method chosen in this study can relatively accurately predict the values and trends of the hydrodynamic coefficients of the beam with changing angles of attack, making it suitable for researching the hydrodynamic performance of the beam.
- Changes in the angle of attack significantly affect the hydrodynamic coefficients of the airfoil beam and the elliptical beam but have a minor impact on the cylindrical beam.
- As the angle of attack increases, the lift coefficient of the airfoil beams surpasses that of the elliptical beam, while at smaller angles of attack, the elliptical beam exhibits a higher lift coefficient.
- At an angle of attack of 45°, the absolute values of the lift coefficients for the airfoil beam and the elliptical beam reach their maximum values, which are 0.703 and 0.473, respectively.
Author Contributions
Funding
Data Availability Statement
Acknowledgments
Conflicts of Interest
References
- Nicol, S.; Foster, J.; Kawaguchi, S. The fishery for Antarctic krill—Recent developments. Fish Fish. 2012, 13, 30–40. [Google Scholar] [CrossRef]
- Wan, R.; Jia, M.; Guan, Q.; Huang, L.; Cheng, H.; Zhao, F.; He, P.; Hu, F. Hydrodynamic performance of a newly-designed Antarctic krill trawl using numerical simulation and physical modeling methods. Ocean Eng. 2019, 179, 173–179. [Google Scholar] [CrossRef]
- Costanzo, M.; Cesi, V.; Prete, E.; Negroni, A.; Palone, F.; Cucchiara, S.; Oliva, S.; Leter, B.; Stronati, L. Krill oil reduces intestinal inflammation by improving epithelial integrity and impairing adherent-invasive Escherichia coli pathogenicity. Dig. Liver Dis. 2016, 48, 34–42. [Google Scholar] [CrossRef] [PubMed]
- Tang, H.; Nsangue, B.T.N.; Pandong, A.N.; He, P.; Liuxiong, X.; Hu, F. Flume tank evaluation on the effect of liners on the physical performance of the Antarctic krill trawl. Front. Mar. Sci. 2022, 8, 829615. [Google Scholar] [CrossRef]
- Nicol, S.; Jacqueline, F. Biology and Ecology of Antarctic Krill; Springer International Publishing: Berlin/Heidelberg, Germany, 2016; pp. 387–421. [Google Scholar]
- Nsangue, B.T.N.; Tang, H.; Pandong, A.N.; Xu, L.; Adekunle, D.M.; Hu, F. Examining engineering performance of midwater trawl with different horizontal spread ratio, floatage, and weight parameters: A case study of model net for Antarctic krill fisheries. Int. J. Nav. Archit. Ocean Eng. 2022, 14, 100448. [Google Scholar] [CrossRef]
- Feng, C.; Liu, J.; Zhang, Y.; Zhang, X.; Zhou, A.; Wang, L. Structure improvement design and performance experiment of Antarctic krill trawl net. Trans. Chin. Soc. Agric. Eng. 2017, 33, 75–81. [Google Scholar] [CrossRef]
- Krafft, B.A.; Krag, L.A. Assessment of mortality of Antarctic krill (Euphausia superba) escaping from a trawl. Fish. Res. 2015, 170, 102–105. [Google Scholar] [CrossRef][Green Version]
- He, R.; Zheng, H.; Ma, S.; Wu, Y.; Yang, S.; Dai, Y.; Wang, Y. Hydrodynamic simulation and experiment of depth adjustable beam trawl for Antarctic krill. J. Mar. Sci. Technol. 2023, 28, 399–409. [Google Scholar] [CrossRef]
- CCAMLR. Statistical Bulletin; CCAMLR: Hobart, Australia, 2021; Volume 33. [Google Scholar]
- CCAMLR. Report of the Twenty-Eighth Meeting of the Commission; CCAMLR: Hobart, Australia, 2009; No. CCAMLR-XXVIII. [Google Scholar]
- Summerfelt, S.T.; Davidson, J.; Wilson, G.; Waldrop, T. Advances in fish harvest technologies for circular tanks. Aquac. Eng. 2009, 40, 62–71. [Google Scholar] [CrossRef]
- Liu, J.; Huang, H.L.; Li, L.Z.; Chen, S.; Wu, Y.; Xu, G.; Xu, B. Research progress of Antarctic krill (Euphausia superba) continuous fishing techniques. Fish. Mod. 2013, 40, 51–54. (In Chinese) [Google Scholar] [CrossRef]
- Zhu, G.P.; Wei, L. Age and growth of Antarctic fish species: A review. J. Fish. China 2017, 41, 1638–1647. (In Chinese) [Google Scholar] [CrossRef]
- Huang, H.L.; Chen, X.Z.; Feng, C.L. Analysis of the current situation of Antarctic krill resource development. Fishery Mod. 2007, 1, 48–51. (In Chinese) [Google Scholar]
- Mellibovsky, F.; Prat, J.; Notti, E.; Sala, A. Otter board hydrodynamic performance testing in flume tank and wind tunnel facilities. Ocean Eng. 2018, 149, 238–244. [Google Scholar] [CrossRef]
- Bi, C.W.; Zhao, Y.P.; Dong, G.H.; Xu, T.-J.; Gui, F.-K. Numerical simulation of the interaction between flow and flexible nets. J. Fluids Struct. 2014, 45, 180–201. [Google Scholar] [CrossRef]
- Huang, L.Y.; Li, Y.Y.; Wang, G.; Wang, Y.; Wu, Q.; Jia, M.; Wan, R. An improved Morison hydrodynamics model for knotless nets based on CFD and metamodelling methods. Aquac. Eng. 2022, 96, 102220. [Google Scholar] [CrossRef]
- Guan, Q.L.; Zhu, W.B.; Zhou, A.Z.; Wang, Y.; Tang, W.; Wan, R. Numerical and Experimental Investigations on Hydrodynamic Performance of a Newly Designed Deep Bottom Trawl. Front. Mar. Sci. 2022, 9, 891046. [Google Scholar] [CrossRef]
- Ashton, G.D. Froude Criterion for Ice-Block Stability. J. Glaciol. 1974, 13, 307–313. [Google Scholar] [CrossRef][Green Version]
- Chemezov, D.; Balabanov, P.; Polyakov, K.; Kornev, N.; Toloake, D.; Dokuchaev, I.; Zharkov, I. Reference data of pressure distribution on the surfaces of airfoils (hydrofoils) having the names beginning with the letter E (the second part). ISJ Theor. Appl. Sci. 2022, 1, 601–671. [Google Scholar] [CrossRef]
- Filippini, G.; Maliska, C.R.; Vaz, M. A physical perspective of the element-based finite volume method and FEM-Galerkin methods within the framework of the space of finite elements. Int. J. Numer. Methods Eng. 2014, 98, 24–43. [Google Scholar] [CrossRef]
- Wallin, S.; Johansson, A.V. Modelling streamline curvature effects in explicit algebraic Reynolds stress turbulence models. Int. J. Heat Fluid Flow 2002, 23, 721–730. [Google Scholar] [CrossRef]
- Shih, T.H.; Liou, W.W.; Shabbir, A.; Yang, Z.; Zhu, J. A new k-ϵ eddy viscosity model for high Reynolds number turbulent flows. Comput. Fluids 1995, 24, 227–238. [Google Scholar] [CrossRef]
- Xu, Q.C.; Feng, C.L.; Huang, L.Y.; Xu, J.Q.; Wang, L.; Zhang, X.; Liang, Z.L.; Tang, Y.L.; Zhao, F.F.; Wang, X.X.; et al. Parameter optimization of a double-deflector rectangular cambered otter board: Numerical simulation study. Ocean Eng. 2018, 162, 108–116. [Google Scholar] [CrossRef]
- Wang, G.; Huang, L.Y.; Wang, L.; Zhao, F.; Li, Y.; Wan, R. A metamodeling with CFD method for hydrodynamic optimisations of deflectors on a multi-wing trawl door. Ocean Eng. 2021, 232, 109045. [Google Scholar] [CrossRef]
- Li, Y.Y.; Huang, L.Y.; Wang, G.; Xu, Q.; Jia, M. Study of the Structural Effects on the Hydrodynamics of a Hollow Rectangular Cambered Otter Board Using the CFD Method. Int. J. Offshore Polar Eng. 2022, 32, 348–355. [Google Scholar] [CrossRef]
- Li, Y.Y.; Wang, G.; Xu, Q.C.; Wang, X.; Zhang, R.; Huang, L. Study of the Influence of Aspect Ratios on Hydrodynamic Performance of a Symmetrical Elliptic Otter Board. Symmetry 2022, 14, 1566. [Google Scholar] [CrossRef]
- Xu, Q.C.; Huang, L.Y.; Li, X.S.; Li, Y.; Zhao, X. Parameter optimization of a rectangular cambered otter board using response surface method. Ocean Eng. 2020, 220, 108475. [Google Scholar] [CrossRef]
- Pope, S. Turbulent Flows; Cambridge University Press: Cambridge, UK, 2000. [Google Scholar] [CrossRef]
- Anderson, J.D. Fundamentals of Aerodynamics; McGraw Hill Higher Education: Chicago, IL, USA, 2011. [Google Scholar]
- You, X.X.; Hu, F.X.; Zhuang, X.; Dong, S.; Shiode, D. Effect of wingtip flow on hydrodynamic characteristics of cambered otter board. Ocean Eng. 2021, 222, 108611. [Google Scholar] [CrossRef]
- Wang, L.; Zhang, X.; Wan, R.; Xu, Q.; Qi, G. Optimization of the Hydrodynamic Performance of a Double-Vane Otter Board Based on Orthogonal Experiments. J. Mar. Sci. Eng. 2022, 10, 1177. [Google Scholar] [CrossRef]
- Hu, F.; Matuda, K.; Sato, K. Characteristics of Dynamic Control of Midwater Trawl System in Field Experiments. Nippon. Suisan Gakkaishi 1994, 60, 493–497. [Google Scholar] [CrossRef][Green Version]
- Takahashi, Y.; Fujimori, Y.; Hu, F.; Shen, X.; Kimura, N. Design of trawl otter boards using computational fluid dynamics. Fish. Res. 2015, 161, 400–407. [Google Scholar] [CrossRef]
- You, X.X.; Hu, F.X.; Dong, S.C.; Takahashi, Y.; Shiode, D. Shape optimization approach for cambered otter board using neural network and multi-objective genetic algorithm. Appl. Ocean Res. 2020, 100, 102148. [Google Scholar] [CrossRef]
















| Parameters | Cross-Sectional Shape | Chord/mm | Length/mm | Height/mm | Plane Area/m2 |
|---|---|---|---|---|---|
| Prototype | Circular | 450 | 18,000 | 450 | 8.100 |
| Model 1 | Circular | 37.5 | 1500 | 37.5 | 0.056 |
| Model 2 | Airfoil | 37.5 | 1500 | 14.6 | 0.056 |
| Model 3 | Ellipse | 37.5 | 1500 | 14.6 | 0.056 |
Disclaimer/Publisher’s Note: The statements, opinions and data contained in all publications are solely those of the individual author(s) and contributor(s) and not of MDPI and/or the editor(s). MDPI and/or the editor(s) disclaim responsibility for any injury to people or property resulting from any ideas, methods, instructions or products referred to in the content. |
© 2023 by the authors. Licensee MDPI, Basel, Switzerland. This article is an open access article distributed under the terms and conditions of the Creative Commons Attribution (CC BY) license (https://creativecommons.org/licenses/by/4.0/).
Share and Cite
Li, Y.; Liu, Z.; Wang, Z.; Zhang, X.; Wang, L.; Zhang, Y.; Ma, S.; Qi, G.; Wang, Y. Study on the Hydrodynamic Performance of the Beam Used in the Antarctic Krill Beam Trawl. Fishes 2024, 9, 17. https://doi.org/10.3390/fishes9010017
Li Y, Liu Z, Wang Z, Zhang X, Wang L, Zhang Y, Ma S, Qi G, Wang Y. Study on the Hydrodynamic Performance of the Beam Used in the Antarctic Krill Beam Trawl. Fishes. 2024; 9(1):17. https://doi.org/10.3390/fishes9010017
Chicago/Turabian StyleLi, Yuyan, Zheng Liu, Zhongqiu Wang, Xun Zhang, Lumin Wang, Yu Zhang, Shuo Ma, Guangrui Qi, and Yongjin Wang. 2024. "Study on the Hydrodynamic Performance of the Beam Used in the Antarctic Krill Beam Trawl" Fishes 9, no. 1: 17. https://doi.org/10.3390/fishes9010017
APA StyleLi, Y., Liu, Z., Wang, Z., Zhang, X., Wang, L., Zhang, Y., Ma, S., Qi, G., & Wang, Y. (2024). Study on the Hydrodynamic Performance of the Beam Used in the Antarctic Krill Beam Trawl. Fishes, 9(1), 17. https://doi.org/10.3390/fishes9010017

