Catch per Unit Effort of Decapod Species, C. pagurus and H. gammarus, from a Voluntary Marine Reserve
Abstract
1. Introduction
2. Materials and Methods
2.1. Study Area
2.2. Onboard Surveys
2.3. CPUE
2.4. Environmental Data
2.5. Statistical Analyses
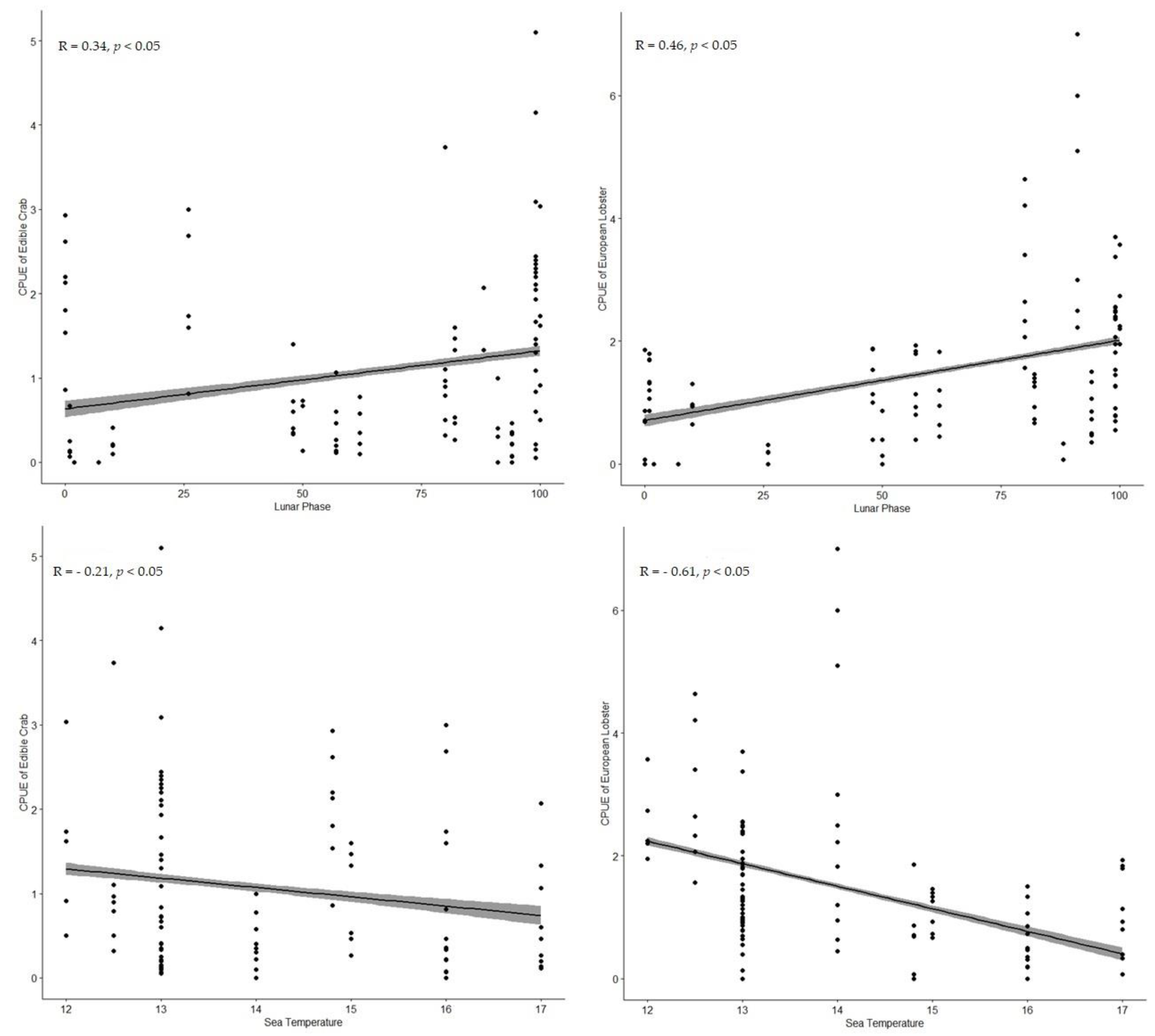
3. Results
3.1. Catch Composition
3.2. CPUE
3.3. Environmental Data
3.4. Bait
4. Discussion
4.1. Catch Composition
4.2. CPUE
4.3. Bait
4.4. Models
5. Conclusions
Author Contributions
Funding
Institutional Review Board Statement
Informed Consent Statement
Data Availability Statement
Acknowledgments
Conflicts of Interest
References
- Pauly, D.; Christensen, V.; Guénette, S.; Pitcher, T.J.; Sumaila, U.R.; Walters, C.J.; Watson, R.A.; Zeller, D. Towards sustainability in world fisheries. Nature 2002, 418, 689–695. [Google Scholar] [CrossRef]
- Skerritt, D.J.; Bannister, R.C.A.; Polunin, N.V.C.; Fitzsimmons, C. Inter- and intra-specific interactions affecting crustacean trap fisheries—Implications for management. Fish. Manag. Ecol. 2020, 27, 445–453. [Google Scholar] [CrossRef]
- Mcveigh, K. ‘Much of Scottish Crab and Lobster Is “Fish to Avoid”, Says Sustainable Seafood Guide’, The Guardian. Available online: https://www.theguardian.com/environment/2022/apr/05/much-of-scottish-crab-and-lobster-is-fish-to-avoid-says-sustainable-seafood-guide (accessed on 6 April 2022).
- Mesquita, C.; Dobby, H.; Pierce, G.J.; Jones, C.S.; Fernandes, P.G. Abundance and spatial distribution of brown crab (Cancer pagurus) from fishery-independent dredge and trawl surveys in the North Sea. ICES J. Mar. Sci. 2020, 78, 597–610. [Google Scholar] [CrossRef]
- Marine Scotland, ‘Scottish Sea Fisheries Statistics 2019’, The Scottish Government, 2020. Available online: https://www.gov.scot/publications/scottish-sea-fisheries-statistics-2019/ (accessed on 26 June 2023).
- Stephenson, F.; Polunin, N.V.C.; Mill, A.C.; Scott, C.; Lightfoot, P.; Fitzsimmons, C. Spatial and temporal changes in pot-fishing effort and habitat use. ICES J. Mar. Sci. 2017, 74, 2201–2212. [Google Scholar] [CrossRef]
- Breen, P.; Vanstaen, K.; Clark, R.W.E. Mapping inshore fishing activity using aerial, land, and vessel-based sighting information. ICES J. Mar. Sci. 2014, 72, 467–479. [Google Scholar] [CrossRef]
- Kafas, A.; McLay, A.; Chimienti, M.; Scott, B.E.; Davies, I.; Gubbins, M. ScotMap: Participatory mapping of inshore fishing activity to inform marine spatial planning in Scotland. Mar. Policy 2017, 79, 8–18. [Google Scholar] [CrossRef]
- Lees, K.J.; Mill, A.C.; Skerritt, D.J.; Robertson, P.A.; Fitzsimmons, C. Movement patterns of a commercially important, free-ranging marine invertebrate in the vicinity of a bait source. Anim. Biotelemetry 2018, 6, 8. [Google Scholar] [CrossRef]
- Murray, L.; Seed, R. Determining whether catch per unit effort is a suitable proxy for relative crab abundance. Mar. Ecol. Prog. Ser. 2010, 401, 173–182. [Google Scholar] [CrossRef][Green Version]
- Stamatopoulos, C. ‘Sample-Based Fishery Surveys: A Technical Handbook’, FAO Fisheries Technical Paper, no. 425, p. 132. 2002. Available online: https://www.fao.org/3/Y2790E/Y2790E00.htm (accessed on 28 June 2023).
- Harley, S.J.; Myers, R.A.; Dunn, A.; Thorson, J.T.; Fonner, R.; Haltuch, M.A.; Ono, K.; Winker, H.; Carruthers, T.R.; Walter, J.F.; et al. Is catch-per-unit-effort proportional to abundance? Can. J. Fish. Aquat. Sci. 2001, 58, 1760–1772. [Google Scholar] [CrossRef]
- Addison, J.T.; Lovewell, S.R.J. Size composition and pot selectivity in the lobster (Homarus gammarus (L.)) and crab (Cancer pagurus L.) fisheries on the east coast of England. ICES J. Mar. Sci. 1991, 48, 79–90. [Google Scholar] [CrossRef]
- Hart, P.J.B. Enlarging the shadow of the future: Avoiding conflict and conserving fish. In Reinventing Fisheries Management; Pitcher, T.J., Pauly, D., Hart, P.J.B., Eds.; Springer Netherlands: Dordrecht, The Netherlands, 1998; pp. 227–238. [Google Scholar] [CrossRef]
- Woll, A.K.; van der Meeren, G.I.; Fossen, I. Spatial variation in abundance and catch composition of Cancer pagurus in Norwegian waters: Biological reasoning and implications for assessment. ICES J. Mar. Sci. 2006, 63, 421–433. [Google Scholar] [CrossRef]
- Fogarty, M.J.; Addison, J.T. Modelling capture processes in individual traps: Entry, escapement and soak time. ICES J. Mar. Sci. 1997, 54, 193–205. [Google Scholar] [CrossRef]
- Bennett, D.B. Factors in the life history of the edible crab (Cancer pagurus L.) that influence modelling and management. ICES Mar. Sci. Symp. 1995, 199, 89–98. [Google Scholar]
- Tully, O.; Robinson, M.; O’Keefe, E.; Cosgrove, R.; Doyle, O.; Lehane, B. The Brown Crab (Cancer pagurus L.) Fishery: Analysis of the Resource in 2004–2005. Fish. Resour. 2006, 4, 48. Available online: https://bim.ie/wp-content/uploads/2021/02/bimNo,4,The,Brown,-,Crab,Cancer,pagurus,L,-,Fishery,Analysis,of,the,resource,in,2004-2005,.pdf (accessed on 17 July 2023).
- Okamura, H.; Morita, S.H.; Funamoto, T.; Ichinokawa, M.; Eguchi, S. Target-based catch-per-unit-effort standardization in multispecies fisheries. Can. J. Fish. Aquat. Sci. 2018, 75, 452–463. [Google Scholar] [CrossRef]
- Öndes, F.; Emmerson, J.A.; Kaiser, M.J.; Murray, L.G.; Kennington, K. The catch characteristics and population structure of the brown crab (Cancer pagurus) fishery in the Isle of Man, Irish Sea. J. Mar. Biol. Assoc. United Kingd. 2019, 99, 119–133. [Google Scholar] [CrossRef]
- Pendleton, L.H.; Ahmadia, G.N.; Browman, H.I.; Thurstan, R.; Kaplan, D.M.; Bartolino, V. Debating the effectiveness of marine protected areas. ICES J. Mar. Sci. 2018, 75, 1156–1159. [Google Scholar] [CrossRef]
- Sala, E.; Giakoumi, S. No-Take Marine Reserves Are theMost Effective Protected Areas in the Ocean. ICES J. Ofmarine Sci. 2017, 75, 1166–1168. [Google Scholar] [CrossRef]
- Howarth, L.M.; Dubois, P.; Gratton, P.; Judge, M.; Christie, B.; Waggitt, J.J.; Hawkins, J.P.; Roberts, C.M.; Stewart, B.D. Trade-offs in marine protection: Multispecies interactions within a community-led temperate marine reserve. ICES J. Mar. Sci. 2017, 74, 263–276. [Google Scholar] [CrossRef][Green Version]
- Marine Scotland. Consultation on Landing Controls for the Scottish Crab and Lobster Fisheries: Outcome Report; The Scottish Government: Edinburgh, Scotland, 2017; ISBN 978-1-78652-769-1. [Google Scholar]
- Bell, S.; Aird, C.; Blackadder, L.; James, M.; Mendo, T.; Colilles, A.M.; Woulters, J.; Strang, N. Outer Hebrides Inshore Fisheries Pilot: Year One Report; The Scottish Government: Edinburgh, Scotland, 2022; ISBN 978-1-80435-440-7. [Google Scholar]
- The Scottish Government. Fisheries Management Strategy 2020 to 2030: Delivery Plan. Available online: https://www.gov.scot/publications/scotlands-fisheries-management-strategy-2020-2030-delivery-plan/documents/ (accessed on 26 June 2023).
- RStudio Team. RStudio: Integrated Development for R; RStudio, PBC: Boston, MA, USA, 2020; Available online: http://www.rstudio.com/ (accessed on 13 May 2021).
- Pennington, M.; Burmeister, L.-M.; Hjellvik, V. Assessing the Precision of Frequency Distributions Estimated from Trawl-Survey Samples. 2002. Available online: http://hdl.handle.net/1834/31044 (accessed on 28 June 2023).
- Edwards, E. The Edible Crab and Its Fishery in British Waters; Fishing News Books Ltd.: Farnham, UK, 1979. [Google Scholar]
- Woll, A.K.; Alesund, M. The Edible Crab: Biology Grading Hand-Ling Live Crabs. Handbook. 2006. Available online: File:///C:/Users/MDPI/Downloads/Handbook%20-%20Edible%20crab%202005%20-%20MF.pdf (accessed on 25 March 2022).
- Hall, S.J.; Robertson, M.R.; Basford, D.J.; Fryer, R. Pit-Digging by the Crab Cancer pagurus: A Test for Long-Term, Large-Scale Effects on Infaunal Community Structure. J. Anim. Ecol. 1993, 62, 59–66. [Google Scholar] [CrossRef]
- Aitken, A. Brown Crab and European Lobster Fisheries in the NWIFCA District the Use of Returns Data to Inform Management, 2018. Available online: https://www.nw-ifca.gov.uk/app/uploads/Agenda-Item-10-Annex-A-TSB-Annex-A-Crab-and-Lobster-Report-Use-of-Landings-Data-08-01-18.pdf (accessed on 27 June 2023).
- Pawson, M.G. Biogeographical Identification of English Channel Fish and Shellfish Stocks. Ministry of Agriculture, Fisheries and Food, Fisheries Research Technical Report; MAFF Directorate of Fisheries Research: Lowestoft, UK, 1995; Volume 99, p. 72. [Google Scholar]
- Kaiser, M.J. Directorate-General for Internal Policies Policy Department B: Structural and Cohesion Policies Fisheries the Conflict between Static Gear and Mobile Gear in Inshore Fisheries Study. 2014. Available online: https://www.europarl.europa.eu/RegData/etudes/STUD/2014/529070/IPOL_STU(2014)529070_EN.pdf (accessed on 27 June 2023).
- The Scottish Government. Changes to Legislation: There Are Currently No Known Outstanding Effects for the Inshore Fishing (Scotland) Act 1984. 1984. Available online: https://www.legislation.gov.uk/ukpga/1984/26/contents (accessed on 28 June 2023).
- Verdoit, M.; Pelletier, D.; Bellail, R. Are commercial logbook and scientific CPUE data useful for characterizing the spatial and seasonal distribution of exploited populations? The case of the Celtic Sea whiting. Aquat. Living Resour. 2003, 16, 467–485. [Google Scholar] [CrossRef]
- Lenihan, H.S.; Fitzgerald, S.P.; Reed, D.C.; Hofmeister, J.K.K.; Stier, A.C. Increasing spillover enhances southern California spiny lobster catch along marine reserve borders. Ecosphere 2022, 13, e4110. [Google Scholar] [CrossRef]
- Moland, E.; Olsen, E.M.; Knutsen, H.; Garrigou, P.; Espeland, S.H.; Kleiven, A.R.; Andre, C.; Knutsen, J.A. Lobsterand Cod Benefit from Small-Scale Northern Marine ProtectedAreas: Inference from an Empirical Before–After Control-Impact Study. Proc. R. Soc. B Biol. 2013, 280, 20122679. [Google Scholar] [CrossRef]
- Pavičić, M.; Matić-Skoko, S.; Vrdoljak, D.; Vujević, A. Population Characteristics of the European Lobster, Homarus gammarus in the Adriatic Sea: Implications for Sustainable Fisheries Management. Water 2021, 13, 1072. [Google Scholar] [CrossRef]
- Naimullah, M.; Lee, W.-Y.; Wu, Y.-L.; Chen, Y.-K.; Huang, Y.-C.; Liao, C.-H.; Lan, K.-W. Effect of soaking time on targets and bycatch species catch rates in fish and crab trap fishery in the southern East China Sea. Fish. Res. 2022, 250, 106258. [Google Scholar] [CrossRef]
- Rees, A.; Sheehan, E.V.; Attrill, M.J. Optimal fishing effort benefits fisheries and conservation. Sci. Rep. 2021, 11, 3784. [Google Scholar] [CrossRef] [PubMed]
- Brown, C.G. The effect of escape gaps on trap selectivity in the United Kingdom crab (Cancer pagurus L.) and lobster (Homarus gammarus (L.)) fisheries. ICES J. Mar. Sci. 1982, 40, 127–134. [Google Scholar] [CrossRef]
- Brown, P.; Hunt, T.L.; Giri, K. Effects of gear type, entrance size and soak time on trap efficiency for freshwater crayfish Cherax destructor and C. albidus. Mar. Freshw. Res. 2015, 66, 989–998. [Google Scholar] [CrossRef]
- Winger, P.D.; Walsh, P.J. Selectivity, efficiency, and underwater observations of modified trap designs for the snow crab (Chionoecetes opilio) fishery in Newfoundland and Labrador. Fish. Res. 2011, 109, 107–113. [Google Scholar] [CrossRef]
- Hallberg, E.; Skog, M. Chemosensory Sensilla in Crustaceans; Springer: Berlin/Heidelberg, Germany, 2011; pp. 103–121. [Google Scholar] [CrossRef]
- Food Standards Agency. What’s an Oily Fish? The National Archives, 24 June 2004. Available online: https://www.food.gov.uk/business-guidance/hsc-nutritional-standards-proteins (accessed on 28 June 2023).
- Bullimore, B.A.; Newman, P.B.; Kaiser, M.J.; Gilbert, S.E.; Lock, K.M. A Study of Catches in a Fleet of “Ghost-Fishing” Pots. Fish. Bull. 2001, 99, 247. [Google Scholar]
- Putsa, S.; Boutson, A.; Tunkijjanukij, S. Comparison of ghost fishing impacts on collapsible crab trap between conventional and escape vents trap in Si Racha Bay, Chon Buri province. Agric. Nat. Resour. 2016, 50, 125–132. [Google Scholar] [CrossRef]
- Major, R.; Jeffs, A. Orientation and food search behaviour of a deep sea lobster in turbulent versus laminar odour plumes. Helgol. Mar. Res. 2017, 71, 9. [Google Scholar] [CrossRef]
- Chapman, C.J.; Smith, G.L. Creel catches of crab, Cancer pagurus L. using different baits. ICES J. Mar. Sci. 1978, 38, 226–229. [Google Scholar] [CrossRef]
- Watson, W.; Jury, S.H. The relationship between American lobster catch, entry rate into traps and density. Mar. Biol. Res. 2013, 9, 59–68. [Google Scholar] [CrossRef]
- Rayner, G.; McGaw, I.J. Effects of the invasive green crab (Carcinus maenas) on American lobster (Homarus americanus): Food acquisition and trapping behaviour. J. Sea Res. 2019, 144, 95–104. [Google Scholar] [CrossRef]
- Howard, A.E. The Distribution and Behaviour of Ovigerous Edible Crabs (Cancer pagurus), and Consequent Sampling Bias. 1982. Available online: http://icesjms.oxfordjournals.org/ (accessed on 28 June 2023).
- Tonk, L.; Rozemeijer, M. Ecology of the Brown Crab (Cancer pagurus) and Production Potential for Passive Fisheries in Dutch Offshore Wind Farms, p. 49. 2019. Available online: http://library.wur.nl/WebQuery/wurpubs/553352 (accessed on 28 June 2023).
- Moland, E.; Olsen, E.M.; Andvord, K.; Knutsen, J.A.; Stenseth, N.C. Home range of European lobster (Homarus gammarus) in a marine reserve: Implications for future reserve design. Can. J. Fish. Aquat. Sci. 2011, 68, 1197–1210. [Google Scholar] [CrossRef]
- Smith, I.; Collins, K.; Jensen, A. Seasonal changes in the level and diel pattern of activity in the European lobster Homarus gammarus. Mar. Ecol. Prog. Ser. 1999, 186, 255–264. [Google Scholar] [CrossRef]
- Bannister, R.C.A.; Addison, J.T.; Lovewell, S.R.J. Growth, Movement, Recapture Rate and Survival of Hatchery Reared Lobsters (Homarus gammarus (Linnaeus, 1758)) Released into the Wild on the English East Coast. Crustaceana 1994, 70, 156–172. [Google Scholar] [CrossRef]
- Karavanich, C.; Atema, J. Individual recognition and memory in lobster dominance. Anim. Behav. 1998, 56, 1553–1560. [Google Scholar] [CrossRef]








| Year | No. of Boats | No. of Surveys | No. of Creels | No. of H. gammarus | No. of C. pagurus | No. of N. puber |
|---|---|---|---|---|---|---|
| 2018 | 1 | 8 | 472 | 389 | 567 | 550 |
| 2019 | 5 | 15 | 1425 | 2624 (834 < MLS) | 1550 (427 < MLS) | 2838 |
| Year | Creel Type | No. of Pots | No. of H. gammarus ≥MLS/≤MLS | No. of C. pagurus ≥MLS/≤MLS | CPUE (L) | CPUE (C) | CPUE (V) |
|---|---|---|---|---|---|---|---|
| 2018 | Double-Eye | 311 | 293 | 291 | 0.942 | 0.942 | 0.836 |
| Single-Eye | 146 | 70 | 235 | 0.570 | 1.520 | 1.650 | |
| Prawn Parlour | 14 | 26 | 41 | 1.857 | 2.928 | 1.571 | |
| 2019 | Double-Eye Parlour | 109 | 101/148 | 36/93 | 2.284 | 1.183 | 1.12 |
| Double Soft-Eye Parlour | 110 | 66/73 | 35/21 | 1.263 | 0.509 | 2.8 | |
| Hard- and Soft-Eye | 8 | 7/16 | 0/7 | 2.875 | 0.875 | 0.25 | |
| Hard-Eye Parlour | 329 | 143/291 | 57/123 | 1.32 | 0.55 | 2.29 | |
| Parlour | 624 | 335/988 | 301/749 | 2.120 | 1.682 | 1.639 | |
| Prawn Parlour | 44 | 21/21 | 1/5 | 0.954 | 0.136 | 3.659 | |
| Soft-Eye Parlour | 144 | 86/302 | 25/73 | 2.69 | 0.68 | 2.36 |
| Year | Vessel | BMR Designation | No. of Pots | CPUE (L) | CPUE (C) | CPUE (V) |
|---|---|---|---|---|---|---|
| 2018 | Vessel 1 | In | 468 | 0.82 ± 0.02 | 1.12 ± 0.04 | 1.17 ± 0.04 |
| 2019 | Vessel 1 | In | 453 | 1.00 ± 0.02 | 0.37 ± 0.01 | 2.86 ± 0.06 |
| Vessel 2 | In | 256 | 1.28 ± 0.05 | 1.33 ± 0.05 | 1.53 ± 0.05 | |
| Vessel 3 | Out | 47 | 3.72 ± 0.21 | 0.17 ± 0.03 | 1.34 ± 0.13 | |
| Vessel 4 | Out | 370 | 2.75 ± 0.04 | 1.31 ± 0.05 | 1.47 ± 0.05 | |
| Vessel 5 | Out | 299 | 2.16 ± 0.04 | 1.80 ± 0.07 | 1.80 ± 0.06 |
| Species | Model | REML | R2 | Deviance | Intercept: t-Value | Intercept: p-Value |
|---|---|---|---|---|---|---|
| H. gammarus | Model A | −1381.5 | 0.63 | 63.9% | −0.30 | 0.76 |
| Model B | −1575.7 | 0.72 | 71.7% | −6.26 | <0.05 | |
| Model C | −879.7 | 0.52 | 41.7% | −8.76 | <0.05 | |
| C. pagurus | Model A | −1141.1 | 0.63 | 62.6% | 16.27 | <0.05 |
| Model B | −838.2 | 0.46 | 46.8% | 1.66 | 0.09 | |
| Model C | −580.83 | 0.33 | 31.2% | 7.27 | <0.05 | |
| N. puber | Model A | −547.58 | 0.18 | 15.8% | −18.12 | <0.05 |
| Model B | −686.55 | 0.25 | 26.1% | −10.69 | <0.05 | |
| Model C | −895.07 | 0.42 | 42.7% | −0.33 | 0.73 |
| 2018 | 2019 | ||||
|---|---|---|---|---|---|
| Month | Sea Surface Temperature (°C) | Salinity (ppt) | Sea Surface Temperature (°C) | Salinity (ppt) | Dissolved Oxygen (mg/L) |
| June | 11.80 ± 0.18 | 34.13 ± 0.02 | 12.06 ± 0.24 | 33.91 ± 0.03 | 9.15 ± 0.06 |
| July | 14.80 ± 0.52 | 34.16 ± 0.05 | 14.33 ± 0.25 | 33.88 ± 0.07 | 8.38 ± 0.06 |
| August | 15.38 ± 0.26 | 33.90 ± 0.30 | 15.08 ± 0.21 | 33.86 ± 0.06 | 8.01 ± 0.25 |
| September | 12.75 ± 0.28 | 34.44 ± 0.04 | 12.61 ± 0.08 | 34.22 ± 0.09 | 8.84 ± 0.17 |
| October | 10.88 ± 0.20 | 34.41 ± 0.04 | 10.77 ± 0.15 | 34.39 ± 0.03 | 8.89 ± 0.09 |
| November | 9.99 ± 0.17 | 34.24 ± 0.04 | 9.24 ± 0.16 | 33.78 ± 0.21 | 9.33 ± 0.07 |
| December | 8.40 ± 0.00 | 34.31 ± 0.00 | 7.80 ± 0.15 | 34.00 ± 0.24 | 9.43 ± 0.05 |
| Species | Individuals ≥ MLS | Individuals ≤ MLS | CPUE | |
|---|---|---|---|---|
| H. gammarus | Sea Temperature (°C) | p = 0.37 tau = 0.02 | p ≤ 0.05 tau = −0.18 | p ≤ 0.05 tau = −0.61 |
| Salinity (ppt) | p = 0.27 tau = 0.03 | p ≤ 0.05 tau = 0.15 | ||
| DO (mg/L) | p = 0.05 tau = −0.05 | p ≤ 0.05 tau = 0.18 | ||
| Lunar Phase (%) | p = 0.70 tau = −0.01 | p ≤ 0.05 tau = 0.11 | p ≤ 0.05 tau = 0.46 | |
| C. pagurus | Sea Temperature (°C) | p ≤ 0.05 tau = 0.14 | p = 0.00 tau = −0.10 | p ≤ 0.05 tau = −0.21 |
| Salinity (ppt) | p = 0.84 tau = −0.00 | p = 0.15 tau = 0.05 | ||
| DO (mg/L) | p = 0.00 tau = −0.09 | p ≤ 0.05 tau = 0.17 | ||
| Lunar Phase (%) | p = 0.00 tau = −0.10 | p ≤ 0.05 tau = 0.21 | p ≤ 0.05 tau = 0.34 |
Disclaimer/Publisher’s Note: The statements, opinions and data contained in all publications are solely those of the individual author(s) and contributor(s) and not of MDPI and/or the editor(s). MDPI and/or the editor(s) disclaim responsibility for any injury to people or property resulting from any ideas, methods, instructions or products referred to in the content. |
© 2023 by the authors. Licensee MDPI, Basel, Switzerland. This article is an open access article distributed under the terms and conditions of the Creative Commons Attribution (CC BY) license (https://creativecommons.org/licenses/by/4.0/).
Share and Cite
Easton, B.A.A.; Scott, K.; Richards, J.; Rees, A. Catch per Unit Effort of Decapod Species, C. pagurus and H. gammarus, from a Voluntary Marine Reserve. Fishes 2023, 8, 390. https://doi.org/10.3390/fishes8080390
Easton BAA, Scott K, Richards J, Rees A. Catch per Unit Effort of Decapod Species, C. pagurus and H. gammarus, from a Voluntary Marine Reserve. Fishes. 2023; 8(8):390. https://doi.org/10.3390/fishes8080390
Chicago/Turabian StyleEaston, Blair Alexander Andrew, Kevin Scott, Joe Richards, and Adam Rees. 2023. "Catch per Unit Effort of Decapod Species, C. pagurus and H. gammarus, from a Voluntary Marine Reserve" Fishes 8, no. 8: 390. https://doi.org/10.3390/fishes8080390
APA StyleEaston, B. A. A., Scott, K., Richards, J., & Rees, A. (2023). Catch per Unit Effort of Decapod Species, C. pagurus and H. gammarus, from a Voluntary Marine Reserve. Fishes, 8(8), 390. https://doi.org/10.3390/fishes8080390

