Seasonal Variation in the Epibenthic Feeding Habits of Hilsa Shad (Tenualosa ilisha) in the Upper Meghna River Estuary, Bangladesh
Abstract
1. Introduction
2. Materials and Methods
2.1. Study Area and Period
2.2. Fish Collections
2.3. Water Collection for Plankton Analyses
2.4. Gut Content Assessment
2.5. Gut Contents Analyses
2.6. Standardized Niche Breadth
2.7. Electivity Index (E)
3. Results
3.1. Hilsa Gut Contents
3.2. Frequency of Occurrence (%F)
3.3. Volumetric Index (%V)
3.4. Index of Relative Importance (IRI%)
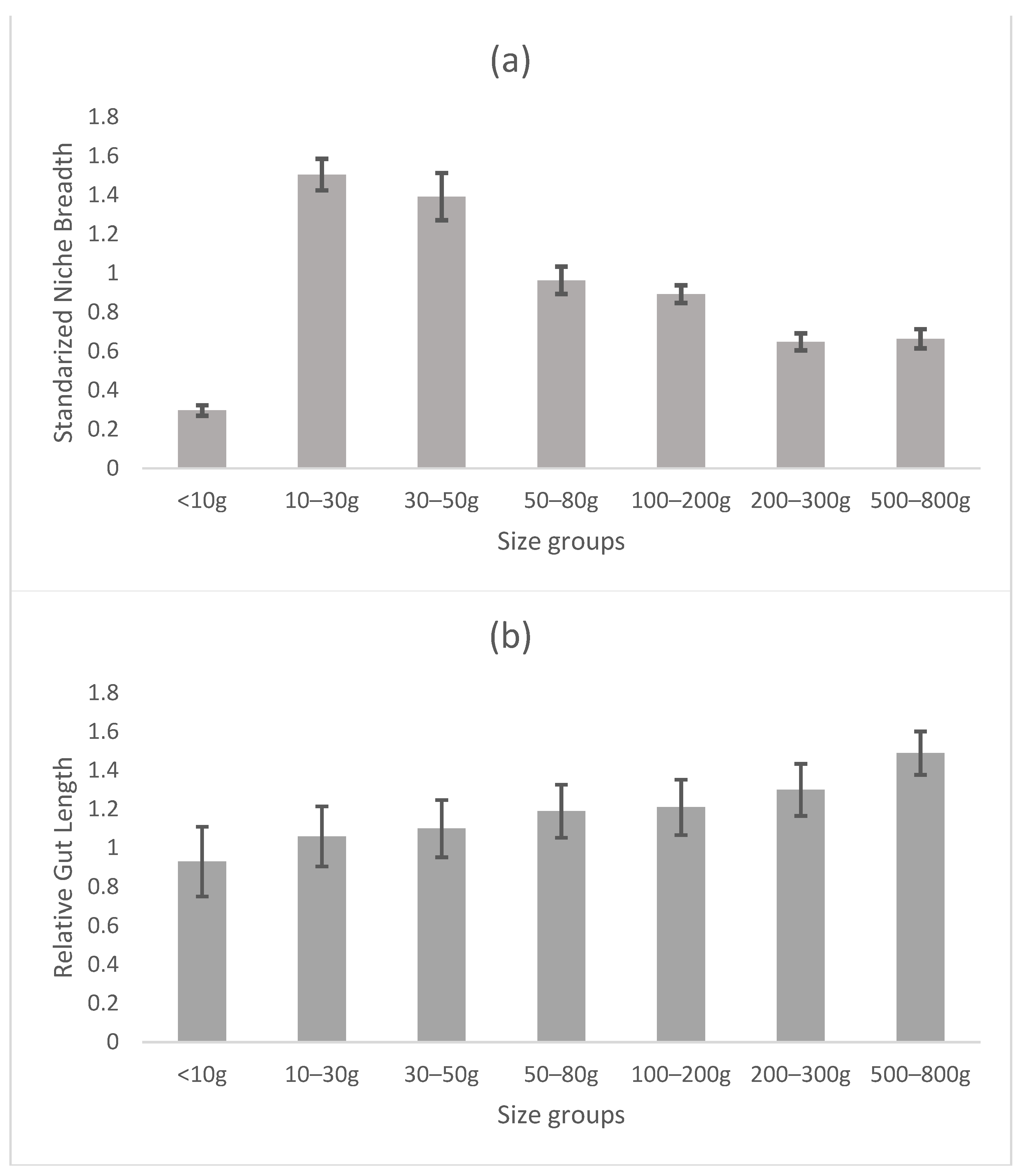
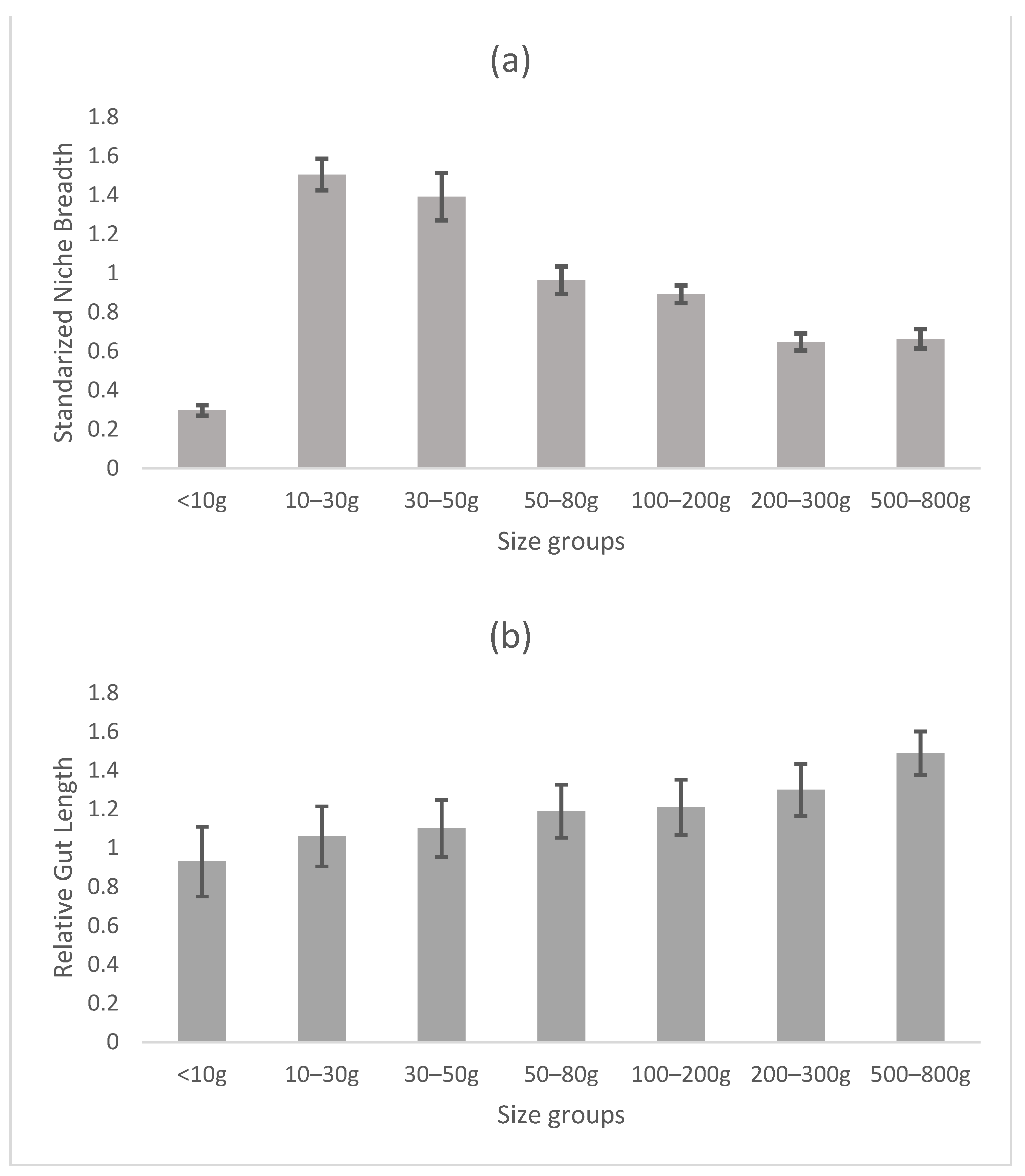
3.5. Niche Breadth (NB) and Relative Length of Gut (RLG)
3.6. Electivity Index (EI)
4. Discussion
4.1. Hilsa Gut Contents
4.2. Frequency of Occurrence (%F)
4.3. Volumetric Index (%V)
4.4. Index of Relative Importance (%IRI)
4.5. Electivity Index (EI)
4.6. Niche Breadth (NB) and Relative Length of Gut (RLG)
5. Conclusions
6. Patents
Author Contributions
Funding
Institutional Review Board Statement
Informed Consent Statement
Data Availability Statement
Acknowledgments
Conflicts of Interest
References
- Wahab, M.A.; Beveridge, M.C.M.; Phillips, M.J. Hilsa: Status of fishery and potential for aquaculture. Penang Malays. World Fish. Proc. 2019, 16, 196. [Google Scholar]
- Mahmud, Y. (Ed.) Hilsa Fisheries Research and Development in Bangladesh; Bangladesh Fisheries Research Institute: Mymensingh, Bangladesh, 2020; 309p. [Google Scholar]
- Ahmed, M.; Mitu, S.J.; Schneider, P.; Alam, M.; Mozumder, M.M.H.; Shamsuzzaman, M.M. Socio-Economic Conditions of Small-Scale Hilsa Fishers in the Meghna River Estuary of Chandpur, Bangladesh. Sustainability 2021, 13, 12470. [Google Scholar] [CrossRef]
- Alam, A.K.M.; Mohanty, B.P.; Hoq, M.E.; Thilsted, S. Nutritional values, consumption and utilization of Hilsa Tenualosa ilisha (Hamilton 1822). In Proceedings of the Regional Workshop on Hilsa: Potential for Aquaculture, Dhaka, Bangladesh, 16–17 September 2012; Wahab, M.A., Beveridge, M.C.M., Phillips, M.J., Eds.; WorldFish: Penang, Malaysia, 2019; pp. 159–187. [Google Scholar]
- Hossain, M.S.; Das, N.G.; Sarker, S.; Rahaman, M.Z. Fish diversity and habitat relationship with environmental variables at Meghna river estuary, Bangladesh. Egypt. J. Aquat. Res. 2012, 38, 213–226. [Google Scholar] [CrossRef]
- Shaha, D.C.; Hasan, J.; Kundu, S.R.; Yusoff, F.M.; Salam, M.A.; Khan, M.; Haque, F.; Ahmed, M.; Rahman, M.J.; Wahab, M.A. Dominant phytoplankton groups as the major source of polyunsaturated fatty acids for hilsa (Tenualosa ilisha) in the Meghna estuary Bangladesh. Sci. Rep. 2022, 12, 20980. [Google Scholar] [CrossRef]
- Hasan, K.M.M.; Ahmed, Z.F.; Wahab, M.A.; Mohammed, E.Y. Food and Feeding Ecology of Hilsa (Tenualosa ilisha) in Bangladesh’s Meghna River Basin; International Institute for Environment and Development: London, UK, 2016. [Google Scholar]
- Khan, A.A.; Fatima, M. Feeding ecology of the Grey mullet, Rhinomugil corsula (Hamilton) from the river Yamuna, North India. Asian Fish. Sci. 1994, 7, 256–266. [Google Scholar] [CrossRef]
- Dutta, S.; Maity, S.; Bhattacharyya, S.B.; Sundaray, J.K.; Hazra, S. Diet composition and intensity of feeding of Tenualosa ilisha (Hamilton, 1822) occurring in the northern Bay of Bengal, India. Proc. Zool. Soc. 2014, 67, 33–37. [Google Scholar]
- Schmidt, L.E.; Hansen, P.J. Allelopathy in the prymnesiophyte Chrysochromulina polylepis: Effect of cell concentration, growth phase and pH. Mar. Ecol. Prog. Ser. 2001, 216, 67–81. [Google Scholar] [CrossRef]
- Weiss, R.F. The solubility of nitrogen, oxygen and argon in water and seawater. In Deep Sea Research and Oceanographic Abstracts; Elsevier: Amsterdam, The Netherlands, 1970; Volume 17, pp. 721–735. [Google Scholar] [CrossRef]
- Gogoi, P.; Sinha, A.; Das Sarkar, S.; Chanu, T.N.; Yadav, A.K.; Koushlesh, S.K.; Borah, S.; Das, S.K.; Das, B.K. Seasonal influence of physicochemical parameters on phytoplankton diversity and assemblage pattern in Kailash Khal, a tropical wetland, Sundarbans, India. Appl. Water Sci. 2019, 9, 1–13. [Google Scholar] [CrossRef]
- Sahu, G.; Satpathy, K.K.; Mohanty, A.K.; Sarkar, S.K. Variations in Community Structure of Phytoplankton in Relation to Physicochemical Properties of Coastal Waters, Southeast Coast of India. Indian J. Geo-Mar. Sci. 2012, 41, 223–241. Available online: https://www.researchgate.net/publication/233967860_Variations_in_community_structure_of_phytoplankton_in_relation_to_physicochemical_properties_of_coastal_waters_southeast_coast_of_India (accessed on 14 June 2023).
- Cahoon, L. Tychoplankton. In Encyclopedia of Estuaries; Kennish, M.J., Ed.; Springer: Dordrecht, The Netherlands, 2016; p. 721. [Google Scholar] [CrossRef]
- Jiang, Z.Y.; Wang, Y.S.; Cheng, H.; Zhang, J.D.; Fei, J. Spatial variation of phytoplankton community structure in Daya Bay, China. Ecotoxicology 2015, 24, 1450–1458. [Google Scholar] [CrossRef]
- Hyslop, E.J. Stomach content analysis: A review of methods and their applications. J. Fish Biol. Southampt. 1980, 17, 411–429. [Google Scholar] [CrossRef]
- Manoharan, J.; Gopalakrishnan, A.; Varadharajan, D.; Thilagavathi, B.; Priyadharsini, S. Stomach content analysis of Terapon jarbua (Forsskal) from Parangipettai coast, South East Coast of India. Adv. Appl. Sci. Res. 2012, 3, 2605–2621. [Google Scholar]
- Ahsan, D.A.; Kabir, A.N.; Rahman, M.M.; Mahabub, S.; Yesmin, R.; Faruque, M.H.; Naser, M.N. Plankton composition, abundance and diversity in hilsa (Tenualosa ilisha) migratory rivers of Bangladesh during spawning season. Dhaka Univ. J. Biol. Sci. 2012, 21, 177–189. [Google Scholar] [CrossRef]
- Rashid, S.M.A. Coastal Biodiversity—A Review. Report Prepared for Long Term Monitoring Research and Analysis of Bangladesh Coastal Zone. 2019. Available online: https://www.researchgate.net/profile/Rashid-Sma/publication/338855465_Coastal_Biodiversity_of_Bangladesh_-_A_Review/links/5e300a2e299bf10a659925cf/Coastal-Biodiversity-of-Bangladesh-A-Review.pdf (accessed on 14 June 2023).
- Hustedt, F. The Pennate Diatoms. A Translation of Hustedt’s ‘Die Kieselalgen Deutschlands, Österreichs und der Schweiz unter Berücksichtigung der übrigen Länder Europas Sowie der Angrenzenden Meeresgebiete. 2. Teil (1959)’ with Supplement from Jensen NG. 1985. Available online: https://www.worldcat.org/title/pennate-diatoms-a-translation-of-hustedts-die-kieselalgen-2-teil/oclc/12960768 (accessed on 14 June 2023).
- Yamaji, I. Illustrations of the Marine Plankton of Japan; Hoikusha: Osaka, Japan, 1966; p. 372. [Google Scholar]
- American Public Health Association. Standard Methods for the Examination of Water and Wastewater; American Public Health Association: Washington, DC, USA, 1992; Volume 6, Available online: https://www.scirp.org/(S(351jmbntvnsjt1aadkposzje))/reference/ReferencesPapers.aspx?ReferenceID=1818549 (accessed on 14 June 2023).
- De, D.; Anand, P.S.; Sinha, S.; Suresh, V.R. Study on Preferred Food Items of Hilsa (Tenualosa isilha). Available online: https://www.ripublication.com/ijafst_spl/ijafstv4n7spl_02.pdf (accessed on 14 June 2023).
- Bowen, S.H. Quantitative description of the diet. In Fisheries Techniques, 2nd ed.; American Fisheries Society: Bethesda, Maryland, 1996; pp. 513–532. [Google Scholar]
- Hynes, H.B.N. The food of fresh-water sticklebacks (Gasterosteus aculeatus and Pygosteus pungitius), with a review of methods used in studies of the food of fishes. J. Anim. Ecol. 1950, 19, 36–58. [Google Scholar] [CrossRef]
- Pinkas, L. Food habits of albacore, bluefin tuna and bonito in California waters. Calif. Dept. Fish Game Fish Bull. 1971, 152, 1–139. [Google Scholar]
- Landaeta, M.F.; Suárez-Donoso, N.; Bustos, C.A.; Balbontín, F. Feeding habits of larval Maurolicus parvipinnis (Pisces: Sternoptychidae) in Patagonian fjords. J. Plankton Res. 2011, 33, 1813–1824. [Google Scholar] [CrossRef]
- Levins, R. Evolution in Changing Environments; Princeton Monographs Series. No. 2; Princeton University Press: Princeton, NJ, USA, 1968. [Google Scholar] [CrossRef]
- Ivlev, V.S. Experimental Ecology of the Feeding of Fishes; Yale University Press: New Haven, CT, USA, 1961; 302p, Available online: https://www.scirp.org/(S(i43dyn45teexjx455qlt3d2q))/reference/ReferencesPapers.aspx?ReferenceID=1538235 (accessed on 14 June 2023).
- Ribble, D.O.; Smith, M.H. Relative intestine length and feeding ecology of freshwater fishes. Growth 1983, 47, 292. [Google Scholar]
- Karna, S.K.; Guru, B.C.; Panda, S. Food and feeding habits of Tenualosa ilisha (Hamilton, 1822) from India’s largest brackish water lagoon. Fisheries 2014, 3, 123–125. [Google Scholar]
- Hora, S.L.; Nair, K.K. Further observations on the bionomics and fishery of the Indian shad, Hilsa ilisha (Hamilton), in Bengal waters. Rec. Zool. Surv. India 1940, 42, 35–50. [Google Scholar] [CrossRef]
- Ara, R.; Arshad, A.; Musa, L.; Amin, S.M.N.; Kuppan, P. Feeding habits of larval fishes of the family Clupeidae (Actinopterygii: Clupeiformes) in the estuary of River Pendas, Johor, Malaysia. J. Fish. Aquat. Sci. 2011, 6, 816. [Google Scholar] [CrossRef]
- Durbin, A.G.; Durbin, E.G. Grazing rates of the Atlantic menhaden Brevoortia tyrannus as a function of particle size and concentration. Mar. Biol. 1975, 33, 265–277. [Google Scholar] [CrossRef]
- James, A.G. Are clupeid microphagists herbivorous or omnivorous? A review of the diets of some commercially important clupeids. S. Afr. J. Mar. Sci. 1988, 7, 161–177. [Google Scholar] [CrossRef]
- Collette, B.B.; Klein-MacPhee, G. Bigelow and Schroeder’s Fishes of the Gulf of Maine, 3rd ed.; Smithsonian Institution Press: Washington, DC, USA; London, UK, 2002; Volume 4, p. 372. [Google Scholar] [CrossRef]
- Hossain, M.A.; Das, I.; Genevier, L.; Hazra, S.; Rahman, M.; Barange, M.; Fernandes, J.A. Biology and fisheries of Hilsa shad in Bay of Bengal. Sci. Total Environ. 2019, 651, 1720–1734. [Google Scholar] [CrossRef] [PubMed]
- Hart, R.K.; Calver, M.C.; Dickman, C.R. The index of relative importance: An alternative approach to reducing bias in descriptive studies of animal diets. Wildl. Res. 2002, 29, 415–421. [Google Scholar] [CrossRef]
- Akter, A.; Rahman, M.A.; Isaac, S.; Sarker, M.J. Zooplankton in the Gut Content of Indian Shad (Tenualosa ilisha): Case Study at the Meghna River Estuary, Bangladesh 2016. Available online: https://www.rroij.com/open-access/zooplankton-in-the-gut-content-of-indian-shad-tenualosa-ilishacase-study-at-the-meghna-river-estuary-bangladesh-.pdf (accessed on 14 June 2023).
- De, D.K.; Datta, N.C. Studies on Certain Aspects of the Morpho-Histology of Indian Shad Hilsa, Tenualosa ilisha (Hamilton) in Relation to Food and Feeding Habits. 2011. Available online: https://agris.fao.org/agris-search/search.do?recordID=IN2022026203 (accessed on 14 June 2023).




| Size Groups | Jan | Feb | Mar | Apr | May | Jun | Sep | Oct | Nov | Dec | Total |
|---|---|---|---|---|---|---|---|---|---|---|---|
| below 10 g | 6 | 0 | 0 | 0 | 0 | 0 | 0 | 0 | 0 | 8 | 14 |
| 10–30 g | 7 | 7 | 6 | 7 | 8 | 6 | 0 | 0 | 0 | 6 | 47 |
| 30–50 g | 7 | 6 | 7 | 6 | 6 | 7 | 0 | 0 | 0 | 6 | 45 |
| 50–80 g | 0 | 7 | 7 | 7 | 6 | 7 | 0 | 0 | 0 | 0 | 34 |
| 100–200 g | 0 | 0 | 0 | 0 | 0 | 0 | 7 | 7 | 6 | 0 | 20 |
| 200–300 g | 0 | 0 | 0 | 0 | 0 | 0 | 7 | 6 | 7 | 0 | 20 |
| 500–800 g | 0 | 0 | 0 | 0 | 0 | 0 | 6 | 7 | 7 | 0 | 20 |
| Total | 20 | 20 | 20 | 20 | 20 | 20 | 20 | 20 | 20 | 20 | 200 |
| Plankton (Taxon Form) | Genus |
|---|---|
| Bacillariophyceae (Tychoplanktonic) | Aulacoseira sp., Coscinodiscus sp., Synedra sp., Nitzschia sp., Bacillaria sp., Triceratium sp., Grammatophora sp., Biddulphia sp., Diatoma sp., Pinnularia sp., Fragillaria sp. |
| Bacillariophyceae (Planktonic) | Rhizosolenia sp., Cyclotella sp., Chaetoceros sp., Corethron sp., Guinardia sp., Thalassionema sp., Bellerochea sp. |
| Bacillariophyceae (Filamentous) | Melosira sp. |
| Chlorophyceae | Pediastrum sp. |
| Conjugatophyceae | Mougeotia sp. |
| Phormidiaceae | Trichodesmium sp., Microcystis sp., Oscillatoria sp. |
| Dinophyceae | Noctiluca sp., Ceratium sp., Prorocentrum sp., Pyrophacus sp. |
| Euglenoideae | Phacus sp. |
| Zooplankton | |
| Eurotatoria (Rotifera) | Brachionus sp., Hexarthra sp. |
| (Copepoda) | Pseudodiaptomus sp., unidentified nauplii, |
| (Cladocera) | Penilia sp., Evadne sp. |
| Groups | Jan | Feb | Mar | Apr | May | June | Sep | Oct | Nov | Dec | ||||||||||||||||||||
|---|---|---|---|---|---|---|---|---|---|---|---|---|---|---|---|---|---|---|---|---|---|---|---|---|---|---|---|---|---|---|
| F | V | IRI | F | V | IRI | F | V | IRI | F | V | IRI | F | V | IRI | F | V | IRI | F | V | IRI | F | V | IRI | F | V | IRI | F | V | IRI | |
| Bacillariophyceae (Tychoplanktonic) | 95 | 50.19 | 76.21 | 70 | 12.14 | 50.7 | 55.71 | 42.1 | 76.42 | 43 | 21.05 | 52.84 | 59.16 | 49.61 | 79.57 | 60.83 | 42.67 | 74.99 | 52.5 | 25 | 30.65 | 40.62 | 6.25 | 23.63 | 56.25 | 16.16 | 39.14 | 63 | 45.71 | 69.49 |
| Bacillariophyceae (Planktonic) | 90 | 25.09 | 13.85 | 47.5 | 6.07 | 3.63 | 43.75 | 21.05 | 12.67 | 61.67 | 42.1 | 33.09 | 37 | 24.8 | 12.63 | 45 | 21.33 | 11.7 | 62.5 | 50 | 41.6 | 57.5 | 25 | 21.97 | 60 | 32.32 | 32.92 | 50 | 22.85 | 23.36 |
| Bacillariophyceae (Filamentous) | 65 | 6.27 | 2.63 | 40 | 3.03 | 1.48 | 35 | 10.52 | 4.66 | 40 | 10.53 | 6.22 | 20 | 1.55 | 0.48 | 40 | 10.67 | 4.31 | 0 | 0 | 0 | 0 | 0 | 0 | 0 | 0 | 0 | 0 | 0 | 0 |
| Chlorophyceae | 0 | 0 | 0 | 75 | 24.28 | 13.85 | 0 | 0 | 0 | 15 | 2.63 | 0.46 | 35 | 12.4 | 4.32 | 35 | 5.33 | 1.88 | 0 | 0 | 0 | 0 | 0 | 0 | 0 | 0 | 0 | 0 | 0 | 0 |
| Phormidiaceae | 0 | 0 | 0 | 0 | 0 | 0 | 0 | 0 | 0 | 0 | 0 | 0 | 0 | 0 | 0 | 40 | 10.67 | 4.24 | 30 | 3.13 | 1.4 | 30 | 1.56 | 1.02 | 20 | 4.04 | 1.09 | 10 | 2.85 | 0.36 |
| Dinophyceae | 0 | 0 | 0 | 25 | 1.52 | 0.29 | 15 | 5.26 | 0.84 | 20 | 5.26 | 1.2 | 0 | 0 | 0 | 0 | 0 | 0 | 15 | 1.56 | 0.3 | 40 | 3.13 | 2.52 | 25 | 8.08 | 2.39 | 15 | 5.71 | 0.94 |
| Cyanophyceae | 45 | 1.56 | 0.5 | 20 | 0.76 | 0.13 | 15 | 5.26 | 0.92 | 20 | 5.26 | 1.23 | 20 | 1.55 | 0.32 | 0 | 0 | 0 | 0 | 0 | 0 | 0 | 0 | 0 | 0 | 0 | 0 | 0 | 0 | 0 |
| Euglenoidae | 0 | 0 | 0 | 0 | 0 | 0 | 0 | 0 | 0 | 0 | 0 | 0 | 0 | 0 | 0 | 0 | 0 | 0 | 15 | 1.56 | 0.24 | 5 | 0.39 | 0.03 | 10 | 2.02 | 0.22 | 15 | 5.71 | 1.05 |
| Mediophyceae | 0 | 0 | 0 | 0 | 0 | 0 | 0 | 0 | 0 | 0 | 0 | 0 | 0 | 0 | 0 | 0 | 0 | 0 | 0 | 0 | 0 | 5 | 0.39 | 0.03 | 0 | 0 | 0 | 0 | 0 | 0 |
| Copepoda | 80 | 12.54 | 5.68 | 80 | 48.57 | 29.26 | 35 | 10.52 | 4.19 | 40 | 10.52 | 4.85 | 30 | 6.2 | 1.87 | 40 | 10.67 | 4.24 | 80 | 12.5 | 17.75 | 70 | 50 | 43.54 | 60 | 32.32 | 23.25 | 30 | 11.42 | 4.14 |
| Rotifera | 0 | 0 | 0 | 25 | 1.52 | 0.33 | 0 | 0 | 0 | 0 | 0 | 0 | 25 | 3.1 | 0.78 | 35 | 5.33 | 1.92 | 70 | 6.25 | 8.06 | 50 | 12.5 | 7.15 | 20 | 4.04 | 0.92 | 10 | 2.85 | 0.34 |
| Cladocera | 55 | 3.14 | 1.09 | 25 | 1.52 | 0.32 | 0 | 0 | 0 | 0 | 0 | 0 | 0 | 0 | 0 | 0 | 0 | 0 | 0 | 0 | 0 | 0 | 0 | 0 | 0 | 0 | 0 | 0 | 5.13 | 0 |
| Unidentified | 5 | 0.39 | 0.01 | 0 | 0.19 | N/A | 10 | 2.63 | 0.27 | 5 | 1.31 | 0.07 | 0 | 0 | N/A | 5 | 1.33 | 0.06 | 0 | 0 | N/A | 10 | 0.78 | 0.11 | 5 | 1.01 | 0.06 | 10 | 2.85 | 0.29 |
| Sand | 10 | 0.78 | N/A | 15 | 0.38 | N/A | 10 | 2.63 | N/A | 5 | 1.31 | N/A | 5 | 0.77 | N/A | 0 | 0 | N/A | 0 | 0 | N/A | 0 | 0 | N/A | 0 | 0 | N/A | 0 | 0 | N/A |
| Total | 100 | 100 | 100 | 100 | 100 | 100 | 100 | 100 | 100 | 100 | 100 | 100 | 100 | 100 | 100 | 100 | 100 | 100 | 100 | 100 | ||||||||||
| Genus (sp.) | Genus (sp.) | <10 g | 10–30 g | 30–50 g | 50–80 g | 100–200 g | 200–300 g | 400–800 g | Jan | Feb | Mar | Apr | May | June | Sep | Oct | Nov | Dec |
|---|---|---|---|---|---|---|---|---|---|---|---|---|---|---|---|---|---|---|
| Bacillariophyceae | Aulacoseira | 93.75 | 95.24 | 97.62 | 100 | 0 | 0 | 0 | 100 | 100 | 100 | 100 | 100 | 100 | 0 | 0 | 0 | 80 |
| (Tychoplanktonic) | Coscinodiscus | 100 | 98.21 | 100 | 96.67 | 100 | 94.44 | 100 | 100 | 100 | 95 | 100 | 90 | 100 | 100 | 100 | 95 | 100 |
| Triceratium | 37.5 | 29.17 | 14.29 | 13.33 | 24.17 | 12.22 | 11.11 | 80 | 25 | 15 | 15 | 0 | 0 | 15 | 15 | 20 | 15 | |
| Synedra | 93.75 | 87.5 | 90.47 | 90 | 49.17 | 46.67 | 22.22 | 100 | 100 | 100 | 85 | 100 | 80 | 50 | 15 | 55 | 60 | |
| Diatoma | 0 | 12.5 | 11.9 | 26.67 | 0 | 0 | 0 | 0 | 30 | 30 | 0 | 20 | 30 | 0 | 0 | 0 | 0 | |
| Nitzschia | 0 | 25 | 21.43 | 40 | 0 | 0 | 0 | 0 | 65 | 15 | 15 | 20 | 35 | 0 | 0 | 0 | 0 | |
| Fragilaria | 0 | 5.35 | 7.12 | 20 | 3.33 | 0 | 20 | 0 | 0 | 15 | 0 | 25 | 20 | 0 | 10 | 0 | 0 | |
| Grammatophora | 25 | 9.52 | 9.52 | 0 | 61.66 | 47.77 | 42.2 | 0 | 0 | 0 | 0 | 0 | 0 | 40 | 55 | 55 | 60 | |
| Pinnularia | 0 | 0 | 0 | 0 | 0 | 20 | 0 | 0 | 0 | 0 | 0 | 0 | 0 | 0 | 15 | 0 | 0 | |
| Bacillaria | 0 | 0 | 0 | 0 | 3.33 | 6.66 | 10 | 0 | 0 | 0 | 0 | 0 | 0 | 0 | 20 | 0 | 0 | |
| Biddulphia | 0 | 0 | 0 | 0 | 6.67 | 0 | 4.67 | 0 | 0 | 0 | 0 | 0 | 0 | 0 | 5 | 0 | 0 | |
| Bacillariophyceae (Planktonic) | Rhizosolenia | 93.75 | 97.5 | 96.9 | 93.33 | 91.67 | 100 | 82.22 | 90 | 95 | 100 | 100 | 95 | 95 | 90 | 95 | 90 | 90 |
| Cyclotella | 43.75 | 26.79 | 30.95 | 30 | 3.33 | 0 | 0 | 90 | 0 | 0 | 65 | 20 | 0 | 0 | 10 | 0 | 10 | |
| Corethron | 0 | 1.78 | 4.76 | 0 | 0 | 0 | 0 | 0 | 0 | 20 | 0 | 0 | 0 | 0 | 0 | 0 | 0 | |
| Chaetoceros | 0 | 8.93 | 4.75 | 16.67 | 0 | 0 | 0 | 0 | 20 | 0 | 0 | 20 | 15 | 0 | 0 | 0 | 0 | |
| Guinardia | 0 | 0 | 0 | 0 | 15.83 | 16.65 | 65.55 | 0 | 0 | 0 | 0 | 0 | 0 | 35 | 25 | 30 | 0 | |
| Thalassionma | 0 | 8.93 | 4.76 | 10 | 0 | 0 | 0 | 0 | 30 | 0 | 0 | 20 | 0 | 0 | 0 | 0 | 0 | |
| Bellerochea | 0 | 33.94 | 16.66 | 36.66 | 0 | 0 | 0 | 0 | 45 | 20 | 20 | 25 | 25 | 0 | 0 | 0 | 0 | |
| Bacillariophyceae | Melosira | 25 | 66.07 | 66.67 | 48 | 0 | 0 | 0 | 65 | 95 | 75 | 85 | 20 | 60 | 0 | 0 | 0 | 0 |
| (Filamentous) | ||||||||||||||||||
| Chlorophyceae | Pediastrum | 0 | 5.36 | 2.38 | 16.66 | 0 | 0 | 0 | 0 | 45 | 0 | 0 | 0 | 0 | 0 | 0 | 0 | 0 |
| Conjugatophyceae | Mougeotia | 0 | 23.21 | 14.28 | 23.33 | 0 | 0 | 0 | 0 | 50 | 0 | 0 | 35 | 35 | 0 | 0 | 0 | 0 |
| Phormidiaceae | Trichodesmium | 25 | 19.05 | 23.81 | 16.66 | 11.67 | 6.67 | 23 | 45 | 20 | 10 | 15 | 20 | 0 | 15 | 20 | 10 | 0 |
| Microcystis | 6.25 | 8.92 | 9.52 | 13.33 | 15.83 | 0 | 16.56 | 0 | 0 | 45 | 10 | 0 | 40 | 20 | 10 | 10 | 10 | |
| Oscillatoria | 0 | 5.35 | 7.14 | 6.66 | 0 | 0 | 10 | 0 | 0 | 45 | 15 | 0 | 0 | 0 | 10 | 0 | 0 | |
| Dinophyceae | Noctiluca | 0 | 7.14 | 7.14 | 10 | 0 | 0 | 0 | 0 | 15 | 30 | 20 | 0 | 0 | 0 | 0 | 0 | 0 |
| Ceratium | 6.25 | 2.38 | 2.38 | 0 | 0 | 13.33 | 27.77 | 0 | 0 | 0 | 0 | 0 | 0 | 15 | 10 | 10 | 15 | |
| Prorocentrum | 0 | 0 | 0 | 0 | 7.5 | 12.22 | 18.34 | 0 | 0 | 0 | 0 | 0 | 0 | 0 | 15 | 15 | 0 | |
| Pyrophacus | 0 | 0 | 0 | 0 | 0 | 6.66 | 10 | 0 | 0 | 0 | 0 | 0 | 0 | 0 | 20 | 0 | 0 | |
| Euglenophyceae | Phacus | 1.25 | 0 | 33.33 | 0 | 9.16 | 13.33 | 9.43 | 0 | 0 | 0 | 0 | 0 | 0 | 15 | 5 | 10 | 15 |
| Rotifera | Brachionus | 0 | 12.5 | 16.67 | 16.67 | 12.44 | 11.05 | 10.81 | 0 | 25 | 0 | 0 | 25 | 30 | 70 | 70 | 20 | 10 |
| Hexarthra | 0 | 0 | 0 | 0 | 11.66 | 6.66 | 5.55 | 70 | 70 | 10 | 35 | 15 | 10 | 70 | 40 | 50 | 10 | |
| Copepoda | Naupleus | 0 | 8.93 | 4.76 | 10 | 3.33 | 6.66 | 0 | 75 | 80 | 10 | 15 | 10 | 15 | 75 | 30 | 60 | 10 |
| Pseudodiaptomus | 0 | 10.71 | 9.52 | 6.66 | 45.83 | 30.77 | 41.11 | 80 | 75 | 15 | 15 | 15 | 25 | 80 | 35 | 65 | 15 | |
| Cladocera | Penilia | 2.5 | 48.81 | 15.28 | 16.67 | 0 | 0 | 0 | 55 | 25 | 0 | 0 | 0 | 0 | 0 | 0 | 0 | 0 |
| Evadne | 0 | 0 | 0 | 0 | 0 | 0 | 0 | 0 | 0 | 0 | 0 | 0 | 0 | 0 | 5 | 0 | 0 | |
| Unidentified | 2.5 | 2.86 | 0.71 | 1 | 3.33 | 0 | 0 | 5 | 0 | 10 | 5 | 0 | 5 | 0 | 10 | 5 | 10 | |
| Groups | <10 g | 10–30 g | 30–50 g | 50–80 g | 100–200 g | 200–300 g | 500–800 g | |||||||
|---|---|---|---|---|---|---|---|---|---|---|---|---|---|---|
| %F | %V | %F | %V | %F | %V | %F | %V | %F | %V | %F | %V | %F | %V | |
| Bacillariophyceae | 69.23 | 50 | 90.47 | 50.02 | 86.04 | 47.08 | 87.5 | 49.66 | 80.95 | 50.04 | 90 | 66.75 | 90.47 | 50.05 |
| (Tychoplanktonic) | ||||||||||||||
| Bacillariophyceae (Planktonic) | 53.84 | 25 | 71.42 | 25.01 | 65.12 | 23.54 | 71.87 | 24.83 | 57.14 | 25.02 | 75 | 16.68 | 66.67 | 25.02 |
| Bacillariophyceae | 30.76 | 3.13 | 38.09 | 1.56 | 27.91 | 1.47 | 34.37 | 3.1 | 42.85 | 12.51 | 50 | 8.34 | 52.38 | 12.51 |
| (Filamentous) | ||||||||||||||
| Chlorophyceae | 0 | 0 | 43.75 | 3.12 | 33.33 | 5.88 | 41.66 | 12.41 | 0 | 0 | 0 | 0 | 0 | 0 |
| Phormidiaceae | 31.25 | 6.25 | 34.72 | 0.78 | 31.25 | 2.94 | 31.66 | 1.55 | 30.27 | 6.25 | 28 | 4.17 | 34.33 | 6.25 |
| Dinophyceae | 3.12 | 0.78 | 10.41 | 0.19 | 12.5 | 0.18 | 6.25 | 0.38 | 8.13 | 0.39 | 7.08 | 0.26 | 24.58 | 3.12 |
| Euglenoideae | 1.25 | 0.19 | 0 | 0 | 33.33 | 5.88 | 0 | 0 | 9.16 | 0.78 | 13.33 | 1.04 | 9.43 | 0.39 |
| Mediophyceae | 0 | 0 | 0 | 0 | 0 | 0 | 0 | 0 | 6.67 | 0.19 | 0 | 0 | 4.67 | 0.19 |
| Copepoda | 37.5 | 12.5 | 52.08 | 12.5 | 39.58 | 11.77 | 36.67 | 6.21 | 26.83 | 3.12 | 25.33 | 2.09 | 11.11 | 1.56 |
| Rotifera | 0 | 0 | 12.5 | 0.39 | 16.67 | 0.73 | 16.67 | 0.77 | 12.44 | 1.56 | 11.05 | 0.52 | 10.81 | 0.78 |
| Cladocera | 2.5 | 0.39 | 48.81 | 6.25 | 15.28 | 0.37 | 16.67 | 0.77 | 0 | 0 | 0 | 0 | 0 | 0 |
| Unidentified | 1.25 | 0.19 | 1.71 | 0.05 | 1.28 | 0.04 | 1.33 | 0.09 | 1.73 | 0.09 | 1.44 | 0.13 | 1.02 | 0.09 |
| Sand | 5.05 | 1.56 | 2.15 | 0.09 | 3.25 | 0.09 | 1.5 | 0.19 | 0 | 0 | 0 | 0 | 0 | 0 |
| Total | 100 | 100 | 100 | 100 | 100 | 100 | 100 | |||||||
| Tychoplanktonic | Planktonic | Filamentous | Chlorophyceae | Cyanophyceae | Dinophyceae | Copepoda | Rotifera | Cladocera | Unidentified Detritus | Sand | |
|---|---|---|---|---|---|---|---|---|---|---|---|
| Tychoplanktonic | 1 | ||||||||||
| Planktonic | 0.186 | 1 | |||||||||
| Filamentous | 0.330 | 0.771 | 1 | ||||||||
| Chlorophyceae | −0.788 | −0.720 | −0.80 | 1 | |||||||
| Cyanophyceae | 0.134 | 0.690 | 0.97 | −0.643 | 1 | ||||||
| Dinophyceae | −0.190 | 0.485 | 0.82 | −0.321 | 0.931 ** | 1 | |||||
| Copepoda | −0.696 | −0.797 | −0.86 | 0.990 ** | −0.721 | −0.419 | 1 | ||||
| Rotifera | −0.722 | −0.788 | −0.83 | 0.994 ** | −0.685 | −0.372 | 0.999 ** | 1 | |||
| Cladocera | 0.374 | −0.328 | −0.68 | 0.105 | −0.828 | −0.975 ** | 0.208 | 0.158 | 1 | ||
| unidentified | 0.310 | 0.303 | 0.84 | −0.570 | 0.875 | 0.832 | −0.598 | −0.564 | −0.750 | 1 | |
| Sand | 0.424 | 0.281 | 0.82 | −0.627 | 0.835 | 0.758 | −0.639 | −0.611 | −0.661 | 0.992 ** | 1 |
Disclaimer/Publisher’s Note: The statements, opinions and data contained in all publications are solely those of the individual author(s) and contributor(s) and not of MDPI and/or the editor(s). MDPI and/or the editor(s) disclaim responsibility for any injury to people or property resulting from any ideas, methods, instructions or products referred to in the content. |
© 2023 by the authors. Licensee MDPI, Basel, Switzerland. This article is an open access article distributed under the terms and conditions of the Creative Commons Attribution (CC BY) license (https://creativecommons.org/licenses/by/4.0/).
Share and Cite
Sarker, M.J.; Sarker, P.K.; Cahoon, L.B.; Dipty, A.K.; Bashar, M.A.; Hasan, M.M.; Mahmud, Y.; Sarker, M.M. Seasonal Variation in the Epibenthic Feeding Habits of Hilsa Shad (Tenualosa ilisha) in the Upper Meghna River Estuary, Bangladesh. Fishes 2023, 8, 335. https://doi.org/10.3390/fishes8070335
Sarker MJ, Sarker PK, Cahoon LB, Dipty AK, Bashar MA, Hasan MM, Mahmud Y, Sarker MM. Seasonal Variation in the Epibenthic Feeding Habits of Hilsa Shad (Tenualosa ilisha) in the Upper Meghna River Estuary, Bangladesh. Fishes. 2023; 8(7):335. https://doi.org/10.3390/fishes8070335
Chicago/Turabian StyleSarker, Md. Jahangir, Pallab Kumer Sarker, Lawrence B. Cahoon, Afsana Kabir Dipty, Md. Abul Bashar, Md. Monjurul Hasan, Yahia Mahmud, and Md. Milon Sarker. 2023. "Seasonal Variation in the Epibenthic Feeding Habits of Hilsa Shad (Tenualosa ilisha) in the Upper Meghna River Estuary, Bangladesh" Fishes 8, no. 7: 335. https://doi.org/10.3390/fishes8070335
APA StyleSarker, M. J., Sarker, P. K., Cahoon, L. B., Dipty, A. K., Bashar, M. A., Hasan, M. M., Mahmud, Y., & Sarker, M. M. (2023). Seasonal Variation in the Epibenthic Feeding Habits of Hilsa Shad (Tenualosa ilisha) in the Upper Meghna River Estuary, Bangladesh. Fishes, 8(7), 335. https://doi.org/10.3390/fishes8070335

