Spatial Modeling of Potential Lobster Harvest Grounds in Palabuhanratu Bay, West Java, Indonesia
Abstract
1. Introduction
2. Materials and Methods
2.1. Lobster Catches
2.2. Satellite-Derived Parameters
2.3. Multiple Linear Regression
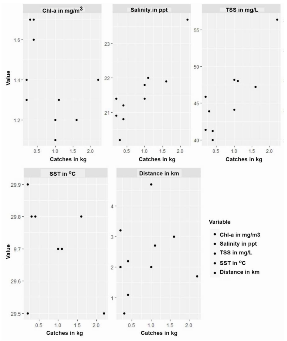
3. Results
3.1. Preferred Conditions for Potential Lobster Harvest Grounds
3.2. Correlation between Potential Lobster Harvest Grounds and Environmental Factors
3.3. Spatial Prediction of Potential Lobster Harvest Grounds
3.4. Lobster Harvest Potential and Relationship with Catch Data in Palabuhanratu Bay
4. Discussion
5. Conclusions
Author Contributions
Funding
Institutional Review Board Statement
Informed Consent Statement
Data Availability Statement
Acknowledgments
Conflicts of Interest
References
- Moosa, M.K.; Aswandy, I. Udang Karang (Panulirus spp.) Dari Perairan Indonesia; Lembaga Ilmu Pengetahuan Indonesia: Jakarta, Indonesia, 1984. [Google Scholar]
- Fauzi, M.; Prasetyo, A.P.; Hargiyatno, I.T.; Satria, F.; Utama, A.A. Hubungan panjang-berat dan faktor kondisi lobster batu (Panulirus penicillatus) di perairan selatan Gunung Kidul dan Pacitan. Bawal 2013, 5, 97–102. [Google Scholar]
- Fadila, I. Larangan tangkap lobster: Ekspor lobster bisa meningkat signifikan. 2015. Available online: https://ekonomi.bisnis.com/read/20150129/99/396347/larangan-tangkap-lobster-ekspor-lobster-bisa-meningkat-signifikan (accessed on 24 December 2019).
- Khikmawati, L.T.; Martasuganda, S.; Sondita, M.F.A. The body of lobster catches in Palabuhanratu than the applicable regulatory. J. Ilmu Teknol. Kelaut. Trop. 2017, 9, 507–520. [Google Scholar] [CrossRef]
- Sudrajat, S.M.N.I.; Rosyid, A.; Bambang, A.N. Analisis teknis dan finansial usaha penangkapan ikan layur (Trichiurus sp) dengan alat tangkap pancing ulur (handline) di pelabuhan perikanan nusantara Palabuhanratu Sukabumi. J. Fish. Resour. Util. Manag. Technol. 2014, 3, 141–149. [Google Scholar]
- Hutabarat, S.; Evans, S. Pengantar Oseanografi; UI-Press: Jakarta, Indonesian, 1984. [Google Scholar]
- Cooke-Panton, K. An Analysis of Puerulus Settlement of the Caribbean Spiny Lobster (Panulirus Argus) Stock in Jamaica with Practical Management Recommendations; United Nations University: Iceland, 2014; Available online: https://www.grocentre.is/static/gro/publication/306/document/kim14prf.pdf (accessed on 24 December 2019).
- Chiswell, S.M.; Booth, J.D. Sources and sinks of larval settlement in Jasus edwardsii around New Zealand: Where do larvae come from and where do they go? Mar. Ecol. Prog. Ser. 2008, 354, 201–217. [Google Scholar] [CrossRef]
- Williams, K.C.; Jones, C.; van Hung, L.; Tuan, L.A.; Hoang, D.H.; Huong, L.L.; Thuy, N.B.; Pahlevi, R.S.; Priyambodo, B. Sustainable Tropical Spiny Lobster Aquaculture in Vietnam and Australia (and Extension to Indonesia); ACIAR: Canberra, Australia, 2010.
- Thangaraja, R.; Radhakrishnan, E.V. Fishery and ecology of the spiny lobster Panulirus homarus (Linnaeus, 1758) at Khadiyapatanam in the southwest coast of India. J. Mar. Biol. Assoc. India 2012, 54, 69–79. [Google Scholar] [CrossRef]
- Jaini, M.; Wahle, R.A.; Thomas, A.C.; Weatherbee, R. Spatial surface temperature correlates of American lobster (Homarus americanus) settlement in the Gulf of Maine and southern New England shelf. Bull. Mar. Sci. 2018, 94, 737–751. [Google Scholar] [CrossRef]
- Zhao, X.; Ding, P.; Pang, J. Implications of ocean bottom temperatures on the catch ability of American lobster. In Proceedings of the E3S Web of Conferences, EDP Sciences, Wuhan, China, 14–16 December 2018; Volume 79. [Google Scholar]
- Pradhan, S.K.; Iburahim, S.A.; Nakhawa, A.D.; Shenoy, L. Effect of environmental parameters on estuarine lobster and crab fishery and its management in thane estuary, Maharashtra. J. Entomol. Zool. Stud. 2019, 7, 102–104. [Google Scholar]
- Beni, Z.; Wardiatno, Y. Biological aspect of double-spined rock lobster (Panulirus penicillatus) in Wonogiri Regency waters, Central Java, Indonesia. IOP Conf. Ser. Earth Environ. Sci. 2020, 420. [Google Scholar] [CrossRef]
- Butler, M.J. Collecting and processing lobsters. J. Crustac. Biol. 2017, 37, 340–346. [Google Scholar] [CrossRef]
- NF, Z.S.; Rivani, A.; Puspitasari, B.; Ikhwansyah, F.; Maulidyah, F.; Dwi D, R.; Eka P, S.; Widyatmanti, W. Marine environmental suitability mapping for lobster sea-cage culture in east Lombok using remote sensing data and GIS approaches. Aquac. Indones. 2017, 17, 60. [Google Scholar] [CrossRef]
- Aiken, D.E.; Waddy, S.L. Environmental influence on recruitment of the American lobster, Homarus americanus: A perspective. Can. J. Fish. Aquat. Sci. 1986, 43, 2258–2270. [Google Scholar] [CrossRef]
- Mercaldo-Allen, R.; Kuropat, C.A. Review of American Lobster (Homarus Americanus) Habitat Requirements and Responses to Contaminant Exposures; U.S. Department of Commerce, National Oceanic and Atmospheric Administration: Washington, DC, USA, 1994.
- Rhodes, C.J.; Henrys, P.; Siriwardena, G.M.; Whittingham, M.J.; Norton, L.R. The relative value of field survey and remote sensing for biodiversity assessment. Methods Ecol. Evol. 2015, 6, 772–781. [Google Scholar] [CrossRef]
- USGS. Using the USGS Landsat Level-1 Data Product. Available online: https://www.usgs.gov/land-resources/nli/landsat/using-usgs-landsat-level-1-data-product (accessed on 24 December 2019).
- De Lara, V.C.-F.; Butler, M.; Hernández-Vázquez, S.; Del Próo, S.G.; Serviere-Zaragoza, E. Determination of preferred habitats of early benthic juvenile California spiny lobster, Panulirus interruptus, on the Pacific coast of Baja California Sur, Mexico. Mar. Freshw. Res. 2005, 56, 1037–1045. [Google Scholar] [CrossRef][Green Version]
- Rios-Lara, V.; Salas, S.; Javier, B.P.; Ayora, P.I. Distribution patterns of spiny lobster (Panulirus argus) at Alacranes Reef, Yucatan: Spatial analysis and inference of preferential habitat. Fish. Res. 2007, 87, 35–45. [Google Scholar] [CrossRef]
- Whomersley, P.; Van der Molen, J.; Holt, D.; Trundle, C.; Clark, S.; Fletcher, D. Modeling the dispersal of spiny lobster (Palinurus elephas) larvae: Implications for future fisheries management and conservation measures. Front. Mar. Sci. 2018, 5, 1–16. [Google Scholar] [CrossRef]
- Setyanto, A.; Soemarno; Wiadnya, D.G.R.; Prayogo, C. Biodiversity of lobster larvae (Panulirus spp.) from the Indonesian Eastern Indian Ocean. IOP Conf. Ser. Earth Environ. Sci. 2019, 370. [Google Scholar] [CrossRef]
- Wahyudin, R.; Hakim, A.; Qonita, Y.; Boer, M.; Farajallah, A.; Mashar, A.; Wardiatno, Y. Lobster diversity of Palabuhanratu Bay, South Java, Indonesia with new distribution record of Panulirus ornatus, P. polyphagus and Parribacus antarcticus. AACL Bioflux 2017, 10, 308–327. [Google Scholar]
- Damora, A.; Adrianto, L.; Wardiatno, Y.; Suman, A. Dynamic spatial allocation of scalloped spiny lobster (Panulirus homarus) in the coast of Gunungkidul, Indonesia. IOP Conf. Ser. Earth Environ. Sci. 2019, 348, 012113. [Google Scholar] [CrossRef]
- Pranata, B.; Sabariah, V. Suhaemi Aspek biologi dan pemetaan daerah penangkapan lobster (Panulirus spp) di perairan Kampung Akudiomi Distrik Yaur Kabupaten Nabire. Sumber Daya Akuatik Indopasifik 2017, 1, 1–14. [Google Scholar]
- Nurfiarini, A.; Wijaya, D.; Satria, F.; Kartamihardja, E.S. Pendekatan sosial-ekologi untuk penilaian kesesuaian lokasi restocking lobster pasir Panulirus homarus (Linnaeus, 1758) pada beberapa perairan di Indonesia. J. Penelit. Perikan. Indones. 2016, 22, 123–138. [Google Scholar]
- Erlania, E.; Radiarta, I.N.; Sugama, K. Dinamika kelimpahan benih lobster (Panulirus spp.) Di perairan Teluk Gerupuk, Nusa Tenggara Barat: Tantangan pengembangan teknologi budidaya lobster. J. Ris. Akuakultur 2014, 9, 475. [Google Scholar] [CrossRef][Green Version]
- Khikmawati, L.T. Modifikasi Hang-in Ratio Jaring Insang Dasar dan Pengaruhnya Terhadap Karakteristik Hasil Tangkapan di Palabuhanratu Jawa Barat; Institut Pertanian Bogor: Bogor, Indonesia, 2017. [Google Scholar]
- WWF Indonesia. Perikanan Lobster Laut, 1st ed.; WWF Indonesia: Jakarta, Indonesian, 2015; ISBN 9789791461689. [Google Scholar]
- Kadafi, M.; Widaningroem, R. Biological aspects and maximum sustainable yield of spiny lobster (Panulirus spp.) in Ayah coastal waters Kebumen Regency. J. Fish. Sci. 2006, 8, 108–117. [Google Scholar]
- USGS. Landsat 8 Surface Reflectance Code (LASRC) product guide (No. LSDS-1368 Version 2.0); USGS: Reston, VA, USA, 2019.
- Gorelick, N.; Hancher, M.; Dixon, M.; Ilyushchenko, S.; Thau, D.; Moore, R. Google Earth Engine: Planetary-scale geospatial analysis for everyone. Remote Sens. Environ. 2017, 202, 18–27. [Google Scholar] [CrossRef]
- Firdaus, F. Persebaran Fitoplankton di Estuari Cimandiri Sebelum dan Sesudah Adanya PLTU Pelabuhanratu; Universitas Indonesia: Jawa Barat, Indonesia, 2017. [Google Scholar]
- Kaffah, S.; Supriatna; Damayanti, A. Cilamaya estuary zonation based on sea surface salinity with 2 Sentinel-2A satellite imagery. IOP Conf. Ser. Earth Environ. Sci. 2020, 481, 481. [Google Scholar] [CrossRef]
- Budhiman, S.; Hobma, T.W.; Vekerdy, Z. Remote sensing for mapping TSM concentration in Mahakam Delta: An analytical approach. In Proceedings of the 13th OMISAR Workshop on Validation and Application of Satellite Data for Marine Resources Conservation, Bali, Indonézia, 5–9 October 2004. [Google Scholar]
- Syariz, M.A.; Jaelani, L.M.; Subehi, L.; Pamungkas, A. Retrieval of sea surface temperature over Poteran Island water of Indonesia with Landsat 8 TIRS image: A preliminary algorithm. Int. Arch. Photogramm. Remote Sens. Spat. Inf. Sci. 2015, XL-2/W4, 87–90. [Google Scholar] [CrossRef]
- Mukhtar, M.K.; Manessa, M.D.M.; Supriatna, S. The validation of water quality parameter algorithm using Landsat 8 and Sentinel-2 image in Palabuhanratu Bay. In Proceedings of the LEAF Conference (preprint), Depok, Indonesia, 6–7 November 2020. [Google Scholar]
- Jenks, G. The Data Model Concept in Statistical Mapping. International Yearbook of Cartography 7: George Philip. 1967, pp. 186–190. Available online: https://support.esri.com/en/technical-article/000006743 (accessed on 24 December 2019).
- Kutner, M.H.; Nachtsheim, C.J.; Neter, J. Applied Linear Statistical Models, 4th ed.; Gordon, B., Ed.; McGraw-Hill/Irwin: New York, NY, USA, 2004; Volume 29, ISBN 0072386886. [Google Scholar]
- Kohavi, R. A study of cross-validation and bootstrap for accuracy estimation and model selection. Int. Jt. Conf. Artif. Intell. 1995, 2, 1137–1143. [Google Scholar]
- Chai, T.; Draxler, R.R. Root mean square error (RMSE) or mean absolute error (MAE)? -Arguments against avoiding RMSE in the literature. Geosci. Model Dev. 2014, 7, 1247–1250. [Google Scholar] [CrossRef]
- Lewis-Beck, M.; Bryman, A.; Futing Liao, T. R-squared. SAGE Encycl. Soc. Sci. Res. Methods 2012, 1187–1190. [Google Scholar] [CrossRef]
- Bolar, K. Interactive Document for Working with Basic Statistical Analysis; [R package stat version 0.1.0]. Available online: https://cran.r-project.org/web/packages/STAT/index.html (accessed on 24 December 2019).
- Hijmans, R.J.; van Etter, J.; Cheng, J.; Mattiuzzi, M.; Summer, M.; Greenberg, J.A.; Lamigueiro, O.P.; Bevan, A.; Racine, E.B.; Shortridge, A.; et al. Geographic Data Analysis and Modeling; [R package raster version 2.9-5]. Available online: https://CRAN.R-project.org/package=raster (accessed on 24 December 2019).
- Bivand, R.; Keitt, T.; Rowlingson, B.; Pebesma, E.; Sumner, M.; Hijmans, R.; Baston, D.; Rouault, E.; Warmerdam, F.; Ooms, J.; et al. Bindings for the “Geospatial” Data Abstraction Library; [R package rgdal version 1.5-23]. Available online: http://rgdal.r-forge.r-project.org/ (accessed on 24 December 2019).
- Lind, D.A.; Marchal, W.G.; Wathen, S.A. Statistical Techniques in Business & Economics; McGraw Hill: New York, NY, USA, 2015; ISBN 9780073401805. [Google Scholar]
- Hair, J.F.; Anderson, R.; Tatham, R.; Black, W.C. Multivariate Data Analysis, 3rd ed.; Macmillan: New York, NY, USA, 1995. [Google Scholar]
- Kuhn, M. Building predictive models in R using the caret Package; [R package caret version 3.45]. J. Stat. Softw. 2008, 28, 1–26. [Google Scholar] [CrossRef]
- Microsoft. Choosing the Best Trendline for Your Data. Available online: https://support.microsoft.com/en-us/office/choosing-the-best-trendline-for-your-data-1bb3c9e7-0280-45b5-9ab0-d0c93161daa8 (accessed on 25 January 2021).
- Gokkon, B. Indonesia’s Lobster Export Safeguards Won’t End Smuggling, Scientists Warn. Available online: https://news.mongabay.com/2020/06/indonesias-lobster-export-safeguards-wont-end-smuggling-scientists-warn/ (accessed on 24 December 2020).
- Atmajaya, O.D.D.; Simbolon, D.; Wiryawan, B. Persepsi pemanfaatan peta daerah penangkapan ikan di perairan Sendang Biru Malang. ALBACORE J. Penelit. Perikan. Laut 2018, 1, 163–170. [Google Scholar] [CrossRef]
- Avianti, D. Efektivitas Pemanfaatan Peta Prakiraan Daerah Penangkapan Ikan Oleh Nelayan Gillnet di Pelabuhan Perikanan Samudera Cilacap; IPB University: Bogor, Indonesian, 2019. [Google Scholar]
- Huwaida, H. Evaluasi Pemanfaatan Peta Prakiraan Daerah Penangkapan Ikan Pada Perikanan Long Line di Pelabuhan Perikanan Samudera CILACAP; IPB University: Bogor, Indonesian, 2019. [Google Scholar]
- Boesono, H.; Anggoro, S.; Bambang, A.N. Laju tangkap dan analisis usaha penangkapan lobster (Panulirus sp) dengan jaring lobster (gillnet monofilament) di perairan kabupaten Kebumen. J. Saintek Perikan. 2011, 7, 77–87. [Google Scholar] [CrossRef]
- ESA. Sentinel-2—Missions—Sentinel. Available online: https://sentinel.esa.int/web/sentinel/missions/sentinel-2 (accessed on 24 February 2021).
- Cornic, M.; Rooker, J.R. Influence of oceanographic conditions on the distribution and abundance of blackfin tuna (Thunnus atlanticus) larvae in the Gulf of Mexico. Fish. Res. 2018, 201, 1–10. [Google Scholar] [CrossRef]
- Oozeki, Y.; Takasuka, A.; Barange, M. Characterizing Spawning Habitats of Japanese Sardine (Sardinops melanostictus), Japanese Anchovy (Engraulis japonicus), and Pacific Round Herring (Etrumeus teres) in the Northwestern Pacific; California Cooperative Oceanic Fisheries Investigation Report 48; Yokohama: Tokyo, Japan, 2007. [Google Scholar]








| Algorithms | |
|---|---|
| (1) | |
| Ln (Red)) | (2) |
| (3) | |
| (4) | |
| Unstandardized Coefficients | Standardized Coefficients | t | Sig. | Collinearity Statistic | |||
|---|---|---|---|---|---|---|---|
| B | Std. Error | Beta | Tolerance | VIF | |||
| (Constant) | −60.7232 | 22.445 | −2.705 | 0.015 | |||
| Chl-a | −0.374 | 0.628 | −0.125 | −0.597 | 0.558 | 0.383 | 2.614 |
| Salinity | 0.554 | 0.202 | 0.715 | 2.744 | 0.014 | 0.198 | 5.059 |
| TSS | 0.052 | 0.044 | 0.280 | 1.159 | 0.2626 | 0.172 | 5.820 |
| SST | 1.601 | 0.718 | 0.329 | 2.230 | 0.0395 | 0.468 | 2.135 |
| Distance | −0.001 | 0.100 | −0.049 | −0.018 | 0.9856 | 0.360 | 2.780 |
| Class | Predicted Catches in kg/pixel |
|---|---|
| Low | 0–2.799 |
| Moderate | 2.800–3.433 |
| High | 3.434–10.791 |
Publisher’s Note: MDPI stays neutral with regard to jurisdictional claims in published maps and institutional affiliations. |
© 2021 by the authors. Licensee MDPI, Basel, Switzerland. This article is an open access article distributed under the terms and conditions of the Creative Commons Attribution (CC BY) license (https://creativecommons.org/licenses/by/4.0/).
Share and Cite
Mukhtar, M.K.; Manessa, M.D.M.; Supriatna, S.; Khikmawati, L.T. Spatial Modeling of Potential Lobster Harvest Grounds in Palabuhanratu Bay, West Java, Indonesia. Fishes 2021, 6, 16. https://doi.org/10.3390/fishes6020016
Mukhtar MK, Manessa MDM, Supriatna S, Khikmawati LT. Spatial Modeling of Potential Lobster Harvest Grounds in Palabuhanratu Bay, West Java, Indonesia. Fishes. 2021; 6(2):16. https://doi.org/10.3390/fishes6020016
Chicago/Turabian StyleMukhtar, Mutia Kamalia, Masita Dwi Mandini Manessa, Supriatna Supriatna, and Liya Tri Khikmawati. 2021. "Spatial Modeling of Potential Lobster Harvest Grounds in Palabuhanratu Bay, West Java, Indonesia" Fishes 6, no. 2: 16. https://doi.org/10.3390/fishes6020016
APA StyleMukhtar, M. K., Manessa, M. D. M., Supriatna, S., & Khikmawati, L. T. (2021). Spatial Modeling of Potential Lobster Harvest Grounds in Palabuhanratu Bay, West Java, Indonesia. Fishes, 6(2), 16. https://doi.org/10.3390/fishes6020016

