Respiratory Physiology of European Plaice (Pleuronectes platessa) Exposed to Prymnesium parvum
Abstract
1. Introduction
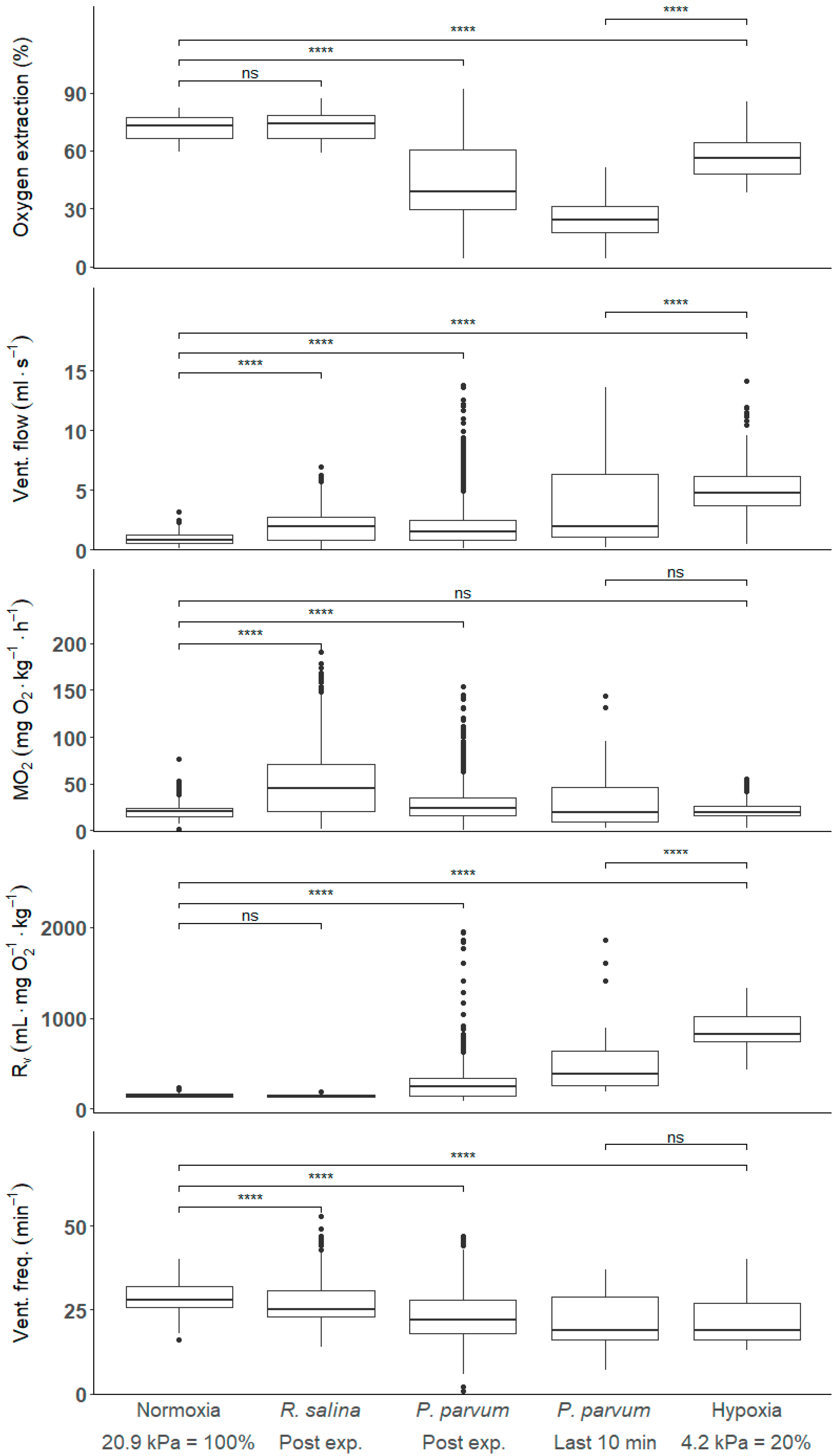
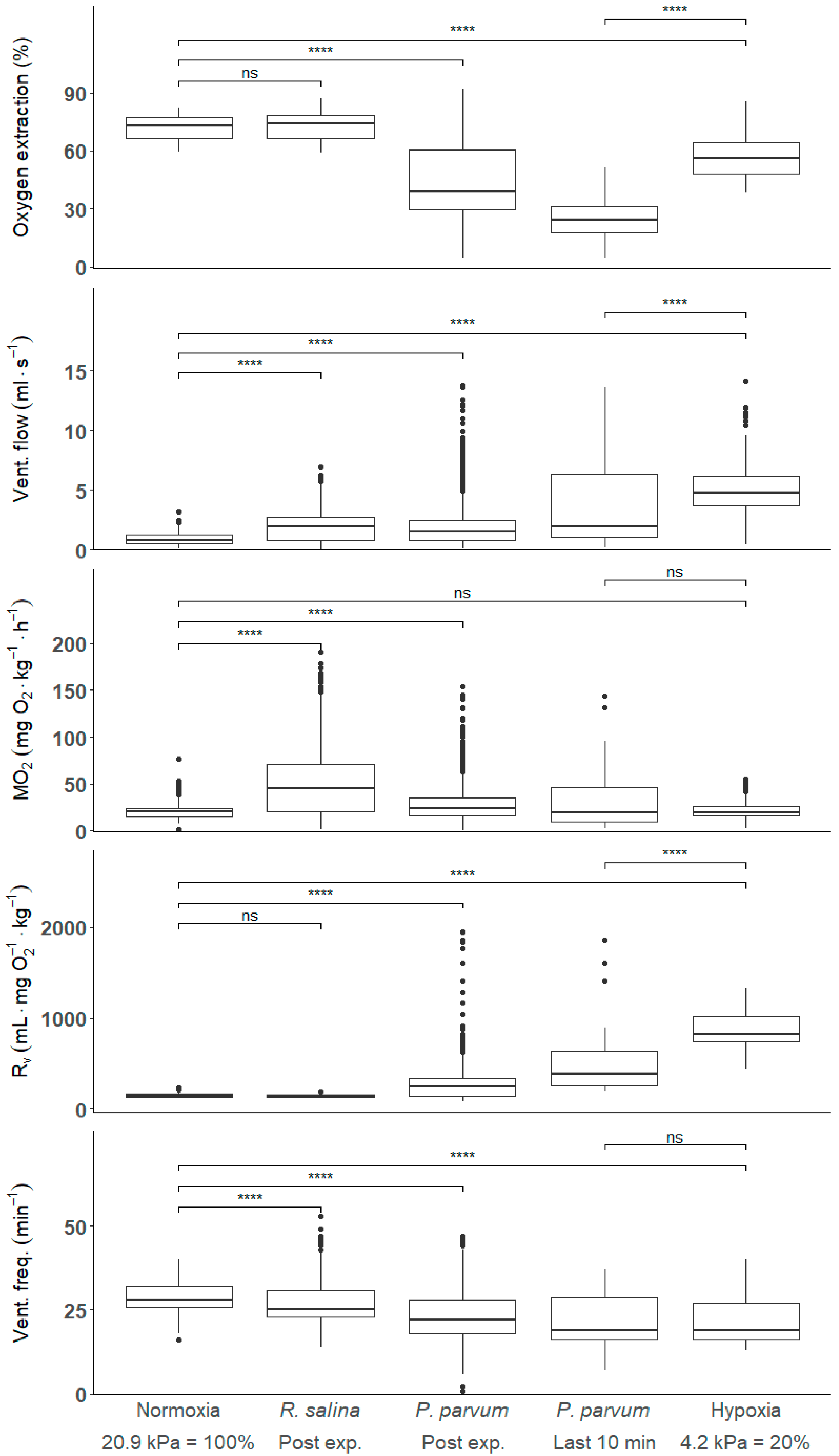
2. Results
2.1. Fish Groups
2.2. Exposure to Severe Hypoxia
2.3. Algal Exposure
2.3.1. Prymnesium parvum
2.3.2. Rhodomonas salina
2.4. Ventilatory Requirement
3. Discussion
4. Materials and Methods
4.1. Experimental Fish
4.2. Algal Culture Conditions
4.3. Device for Measuring Ventilation and Oxygen eXtraction (DeMeVOX)
4.4. Experimental Setup
4.4.1. Severe Hypoxia Experiments
4.4.2. P. parvum Experiments
4.4.3. R. salina Experiments
4.5. Data Analysis and Statistics
Supplementary Materials
Author Contributions
Funding
Conflicts of Interest
References
- Otterstrøm, C.V.; Nielsen, S. Two cases of extensive mortality in fishes caused by the flagellate Prymnesium parvum. Rep. Dan. Biol. Stn. 1939, 44, 5–24. [Google Scholar]
- James, L.; De La Cruz, A. Prymnesium-parvum Carter (Chrysophyceae) as a suspect of mass mortalities of fish and shellfish communities in western Texas. Texas J. Sci. 1989, 41, 429–430. [Google Scholar]
- Kaartvedt, S.; Johnsen, T.M.; Aksnes, D.L.; Lie, U. Occurrence of the toxic phytoflagellate Prymnesium parvum and associated fish mortality in a Norwegian fjord system. Can. J. Fish. Aquat. Sci. 1991, 48, 2316–2323. [Google Scholar] [CrossRef]
- Guo, M.; Harrison, P.J.; Taylor, F.J.R. Fish kills related to Prymnesium parvum N. Carter (Haptophyta) in the People’s Republic of China. J. Appl. Phycol. 1996, 8, 111–117. [Google Scholar] [CrossRef]
- Lindholm, T.; Öhman, P.; Kurki-Helasmo, K.; Kincaid, B.; Meriluoto, J. Toxic algae and fish mortality in a brackish-water lake in Aland, SW Finland. Hydrobiologia 1999, 397, 109–120. [Google Scholar] [CrossRef]
- Southard, G.M.; Fries, L.T.; Barkoh, A. Prymnesium parvum: The texas experience. J. Am. Water Resour. Assoc. 2010, 46, 14–23. [Google Scholar] [CrossRef]
- Bergmann, F.; Parnas, I.; Reich, K. Observations on the mechanism of action and on the quantitative assay of ichthyotoxin from Prymnesium parvum carter. Toxicol. Appl. Pharmacol. 1963, 5, 637–649. [Google Scholar] [CrossRef]
- Shilo, M. The toxic principles of Prymnesium parvum. In The Water Environment; Springer: Boston, MA, USA, 1981; pp. 37–47. [Google Scholar]
- Svendsen, M.B.S.; Andersen, N.R.; Hansen, P.J.; Steffensen, J.F. Effects of Harmful Algal Blooms on Fish: Insights from Prymnesium parvum. Fishes 2018, 3, 11. [Google Scholar] [CrossRef]
- Ulitzur, S.; Shilo, M. Mode of action of Prymnesium parvum ichthyotoxin. J. Eukaryot. Microbiol. 1966, 13, 332–336. [Google Scholar] [CrossRef]
- Parnas, I.; Reich, K.; Bergmann, F. Photoinactivation of Ichthyrotoxin from Axenic Cultures of Prymnesium parvum Carter. Appl. Environ. Microbiol. 1962, 10, 237–239. [Google Scholar]
- Dafni, Z.; Shilo, M. The cytotoxic principle of the phytoflagellate Prymnesium parvum. J. Cell Biol. 1966, 28, 461–471. [Google Scholar] [CrossRef] [PubMed]
- Dafni, Z.; Giberman, E. Nature of initial damage to Ehrlich ascites cells caused by Prymnesium parvum toxin. BBA—Biomembr. 1972, 255, 380–385. [Google Scholar] [CrossRef]
- Kozakai, H.; Oshima, Y.; Yasumoto, T. Isolation and structural elucidation of hemolysin from the phytoflagellate Prymnesium parvum. Agric. Biol. Chem. 1982, 46, 233–236. [Google Scholar] [CrossRef]
- Igarashi, T.; Oshima, Y.; Murata, M.; Yasumoto, T. Chemical studies on prymnesins isolated from Prymnesium parvum. In Proceedings of the Harmful Marine Algal Blooms: Proceedings of the Sixth International Conference on Toxic Marine Phytoplankton, Nantes, France, 18–22 October 1993; 1995; pp. 303–308. [Google Scholar]
- Henrikson, J.C.; Gharfeh, M.S.; Easton, A.C.; Easton, J.D.; Glenn, K.L.; Shadfan, M.; Mooberry, S.L.; Hambright, K.D.; Cichewicz, R.H. Reassessing the ichthyotoxin profile of cultured Prymnesium parvum (golden algae) and comparing it to samples collected from recent freshwater bloom and fish kill events in North America. Toxicon 2010, 55, 1396–1404. [Google Scholar] [CrossRef] [PubMed]
- Bertin, M.J.; Zimba, P.V.; Beauchesne, K.R.; Huncik, K.M.; Moeller, P.D.R. The contribution of fatty acid amides to Prymnesium parvum Carter toxicity. Harmful Algae 2012, 20, 117–125. [Google Scholar] [CrossRef]
- Blossom, H.E.; Rasmussen, S.A.; Andersen, N.G.; Larsen, T.O.; Nielsen, K.F.; Hansen, P.J. Prymnesium parvum revisited: Relationship between allelopathy, ichthyotoxicity, and chemical profiles in 5 strains. Aquat. Toxicol. 2014, 157, 159–166. [Google Scholar] [CrossRef]
- Rasmussen, S.A.; Meier, S.; Andersen, N.G.; Blossom, H.E.; Duus, J.Ø.; Nielsen, K.F.; Hansen, P.J.; Larsen, T.O.; Larsen, T.O. Chemodiversity of Ladder-Frame Prymnesin Polyethers in Prymnesium parvum. J. Nat. Prod. 2016, 79, 2250–2256. [Google Scholar] [CrossRef]
- Bergmann, F.; Parnas, I.; Reich, K. The action of the toxin of Prymnesium parvum Carter on the Guinea-Pig Ileum. Br. J. Pharmacol. Chemother. 1964, 22, 47–55. [Google Scholar] [CrossRef]
- Skidmore, J. Respiration and osmoregulation in rainbow trout with gills damaged by zinc sulphate. J. Exp. Biol. 1970, 52, 481–494. [Google Scholar]
- Ultsch, G.R.; Gros, G. Mucus as a diffusion barrier to oxygen: Possible role in O2 uptake at low pH in carp (Cyprinus carpio) gills. Comp. Biochem. Physiol. Part A Physiol. 1979, 62, 685–689. [Google Scholar] [CrossRef]
- Shephard, K.L. Functions for fish mucus. Rev. Fish Biol. Fish. 1994, 4, 401–429. [Google Scholar] [CrossRef]
- Sundin, L.; Nilsson, G.E. Acute defense mechanisms against hemorrhage from mechanical gill injury in rainbow trout. Am. J. Physiol. Regul. Integr. Comp. Physiol. 1998, 44, 460–465. [Google Scholar] [CrossRef] [PubMed]
- Mallatt, J. Fish Gill Structural Changes Induced by Toxicants and Other Irritants: A Statistical Review. Can. J. Fish. Aquat. Sci. 1985, 42, 630–648. [Google Scholar] [CrossRef]
- Evans, D.H. The fish gill: Site of action and model for toxic effects of environmental pollutants. Environ. Health Perspect. 1987, 71, 47–58. [Google Scholar] [CrossRef] [PubMed]
- Evans, D.H.; Piermarini, P.M.; Choe, K.P. The Multifunctional Fish Gill: Dominant Site of Gas Exchange, Osmoregulation, Acid-Base Regulation, and Excretion of Nitrogenous Waste. Physiol. Rev. 2005, 85, 97–177. [Google Scholar] [CrossRef] [PubMed]
- Steffensen, J.F. Some errors in respirometry of aquatic breathers: How to avoid and correct for them. Fish Physiol. Biochem. 1989, 6, 49–59. [Google Scholar] [CrossRef] [PubMed]
- Svendsen, M.B.S.; Bushnell, P.G.; Christensen, E.A.F.; Steffensen, J.F. Sources of variation in oxygen consumption of aquatic animals demonstrated by simulated constant oxygen consumption and respirometers of different sizes. J. Fish Biol. 2016, 88, 51–64. [Google Scholar] [CrossRef] [PubMed]
- Svendsen, M.B.S.; Bushnell, P.G.; Steffensen, J.F. Design and setup of intermittent-flow respirometry system for aquatic organisms. J. Fish Biol. 2016, 88, 26–50. [Google Scholar] [CrossRef]
- Chabot, D.; McKenzie, D.J.; Craig, J.F. Metabolic rate in fishes: Definitions, methods and significance for conservation physiology. J. Fish Biol. 2016, 88, 1–9. [Google Scholar] [CrossRef]
- Kerstens, A.; Lomholt, J.P.; Johansen, A.K. The Ventilation, Extraction and uptake of oxygen in undisturbed flounders, Platichthys flesus: Responses to hypoxia acclimation. J. Exp. Biol. 1979, 83, 169–179. [Google Scholar]
- Tallqvist, M.; Sandberg-Kilpi, E.; Bonsdorff, E. Juvenile flounder, Platichthys flesus (L.), under hypoxia: Effects on tolerance, ventilation rate and predation efficiency. J. Exp. Mar. Biol. Ecol. 1999, 242, 75–93. [Google Scholar] [CrossRef]
- Hughes, G.M. Respiratory responses to hypoxia in fish. Am. Zool. 1973, 13, 475–489. [Google Scholar] [CrossRef]
- Steffensen, J.F.; Lomholt, J.P.; Johansen, K. Gill ventilation and O2 extraction during graded hypoxia in two ecologically distinct species of flatfish, the flounder (Platichthys flesus) and the plaice (Pleuronectes platessa). Environ. Biol. Fishes 1982, 7, 157–163. [Google Scholar] [CrossRef]
- Perry, S.F.; Jonz, M.G.; Gilmour, K.M. Oxygen sensing and the hypoxic ventilatory response. Fish Physiol. 2009, 27, 193–253. [Google Scholar]
- Randall, D.J. Gas exchange in fish. Fish Physiol. 1970, 4, 253–292. [Google Scholar]
- Hughes, G.M. The dimensions of fish gills in relation to their function. J. Exp. Biol. 1966, 45, 177–195. [Google Scholar] [PubMed]
- Jones, D.R.; Randall, D.J. The Respiratory and Circulatory Systems During Exercise. Fish Physiol. 1979, 7, 425–501. [Google Scholar]
- Valenti, T.W.; James, S.V.; Lahousse, M.J.; Schug, K.A.; Roelke, D.L.; Grover, J.P.; Brooks, B.W. A mechanistic explanation for pH-dependent ambient aquatic toxicity of Prymnesium parvum carter. Toxicon 2010, 55, 990–998. [Google Scholar] [CrossRef]
- Prosser, K.N.; Valenti, T.W.; Hayden, N.J.; Neisch, M.T.; Hewitt, N.C.; Umphres, G.D.; Gable, G.M.; Grover, J.P.; Roelke, D.L.; Brooks, B.W. Low pH preempts bloom development of a toxic haptophyte. Harmful Algae 2012, 20, 156–164. [Google Scholar] [CrossRef]
- Ishimatsu, A.; Maruta, H.; Tsuchiyama, T.; Ozaki, M. Respiratory, Ionoregulatory and Cardiovascular Responses of the Yellowtail Seriola quinqueradiata to Exposure to the Red Tide Plankton Chattonella. Nippon Suisan Gakkaishi 1990, 56, 189–199. [Google Scholar] [CrossRef][Green Version]
- Hishida, Y.; Ishimatsu, A.; Oda, T. Mucus Blockade of Lamellar Water Channels in Yellowtail Exposed to Chattonella marina. Fish. Sci. 1997, 63, 315–316. [Google Scholar] [CrossRef]
- Jobling, M.; Davies, P.S. Effects of feeding on metabolic rate, and the Specific Dynamic Action in plaice, Pleuronectes platessa L. J. Fish Biol. 1980, 16, 629–638. [Google Scholar] [CrossRef]
- Guillard, R.R.L.; Ryther, J.H. Studies of marine planktonic diatoms. I. Cyclotella nana Hustedt, and Detonula confervacea (cleve) Gran. Can. J. Microbiol. 1962, 8, 229–239. [Google Scholar] [CrossRef]
- Keys, A.B. The Measurement of the Respiratory Exchange of Aquatic Animals. Biol. Bull. 1930, 59, 187–198. [Google Scholar] [CrossRef]
- Snyder, S.; Nadler, L.E.; Bayley, J.S.; Svendsen, M.B.S.; Johansen, J.L.; Domenici, P.; Steffensen, J.F. Effect of closed v. intermittent-flow respirometry on hypoxia tolerance in the shiner perch Cymatogaster aggregata. J. Fish Biol. 2016, 88, 252–264. [Google Scholar] [CrossRef] [PubMed]
- Wardle, C.S. Non-release of lactic acid from anaerobic swimming muscle of plaice Pleuronectes platessa L.: A stress reaction. J. Exp. Biol. 1978, 77, 141–155. [Google Scholar]
- White, A.; Fletcher, T.C. The effect of physical disturbance, hypoxia and stress hormones on serum components of the plaice, Pleuronectes platessa L. Comp. Biochem. Physiol. Part A Physiol. 1989, 93, 455–461. [Google Scholar] [CrossRef]
- Svendsen, J.C.; Steffensen, J.F.; Aarestrup, K.; Frisk, M.; Etzerodt, A.; Jyde, M. Excess posthypoxic oxygen consumption in rainbow trout (Oncorhynchus mykiss): Recovery in normoxia and hypoxia. Can. J. Zool. 2011, 90, 1–11. [Google Scholar] [CrossRef]

| Exposure Treatments | Stage | EO2 | Vf | Vfreq | ṀO2 | Vr |
|---|---|---|---|---|---|---|
| % | (mL × s−1) | (Breaths × min−1) | (mg O2 × kg−1 × h−1) | (mL × mg O2- × kg−1) | ||
| Hypoxia (n = 8) | Normoxia | 73.0 ± 6.3 | 2.8 ± 1.7 | 28.0 ± 4.8 | 20.3 ± 9.9 | 144 ± 30.4 |
| Hypoxia | 56.2 ± 9.8 | 17.2 ± 7.7 | 19.0 ± 6.7 | 19.1 ± 9.4 | 824 ± 195 | |
| Difference | 15.6 ± 9.1 | 12.8 ± 3.9 | 6.3 ± 5.0 | 1.8 ± 8.1 | 671 ± 156 | |
| Significance | **** | **** | **** | ns | **** | |
| R. salina (n = 7) | Pre-exp. | 74.6 ± 7.0 | 5.8 ± 3.5 | 26.0 ± 4.4 | 37.3 ± 23.8 | 146 ± 15.4 |
| Post exp. | 74.3 ± 7.1 | 7.1 ± 4.4 | 25.0 ± 7.4 | 44.9 ± 32.3 | 140 ± 13.1 | |
| Difference | 0.3 ± 7.2 | 0.1 ± 2.3 | 1.0 ± 5.4 | 1.7 ± 13.8 | 2.2 ± 15.4 | |
| Significance | ns | ns | ns | ns | ns | |
| P. parvum (n = 7) | Pre-exp. | 72.7 ± 6.9 | 2.8 ± 1.9 | 25.0 ± 5.4 | 22.0 ± 11.5 | 133 ± 30.1 |
| Post exp. | 38.2 ± 21.1 | 5.6 ± 7.7 | 22 ± 7.9 | 23.6 ± 22.4 | 379 ± 320 | |
| Difference | 30.7 ± 16.2 | 3.4 ± 2.7 | 1.0 ± 3.2 | 4.1 ± 11.1 | 105 ± 112 | |
| Significance | **** | **** | **** | ns | **** | |
| Last 10 min | 24.0 ± 11.9 | 7.0 ± 11.5 | 19.0 ± 7.4 | 19.3 ± 29.0 | 0.4 ± 0.3 | |
| Difference | 51.7 ± 9.7 | 6.3 ± 9.3 | 4.0 ± 5.0 | 1.3 ± 25.0 | 0.3 ± 0.2 | |
| Significance | **** | **** | **** | ns | **** | |
| Hypoxia vs. Last 10 min | Difference | 32.2 | 2.8 | 0 | 0.2 | 0.4 |
| Significance | **** | **** | ns | ns | **** |
© 2019 by the authors. Licensee MDPI, Basel, Switzerland. This article is an open access article distributed under the terms and conditions of the Creative Commons Attribution (CC BY) license (http://creativecommons.org/licenses/by/4.0/).
Share and Cite
Bergsson, H.; Reducha Andersen, N.; Søndergaard Svendsen, M.B.; Juel Hansen, P.; Fleng Steffensen, J. Respiratory Physiology of European Plaice (Pleuronectes platessa) Exposed to Prymnesium parvum. Fishes 2019, 4, 32. https://doi.org/10.3390/fishes4020032
Bergsson H, Reducha Andersen N, Søndergaard Svendsen MB, Juel Hansen P, Fleng Steffensen J. Respiratory Physiology of European Plaice (Pleuronectes platessa) Exposed to Prymnesium parvum. Fishes. 2019; 4(2):32. https://doi.org/10.3390/fishes4020032
Chicago/Turabian StyleBergsson, Heiðrikur, Nikolaj Reducha Andersen, Morten Bo Søndergaard Svendsen, Per Juel Hansen, and John Fleng Steffensen. 2019. "Respiratory Physiology of European Plaice (Pleuronectes platessa) Exposed to Prymnesium parvum" Fishes 4, no. 2: 32. https://doi.org/10.3390/fishes4020032
APA StyleBergsson, H., Reducha Andersen, N., Søndergaard Svendsen, M. B., Juel Hansen, P., & Fleng Steffensen, J. (2019). Respiratory Physiology of European Plaice (Pleuronectes platessa) Exposed to Prymnesium parvum. Fishes, 4(2), 32. https://doi.org/10.3390/fishes4020032

