The Impacts of Marine Heatwaves on the Spatiotemporal Distribution and Abundance of Japanese Chub Mackerel (Scomber japonicus) in the Northwest Pacific Ocean
Abstract
1. Introduction
2. Materials and Methods
2.1. Data Sources
2.2. Research Methods
3. Results
3.1. The Spatiotemporal Distribution of the Japanese Chub Mackerel
3.2. Spatiotemporal Patterns of MHW Characteristics
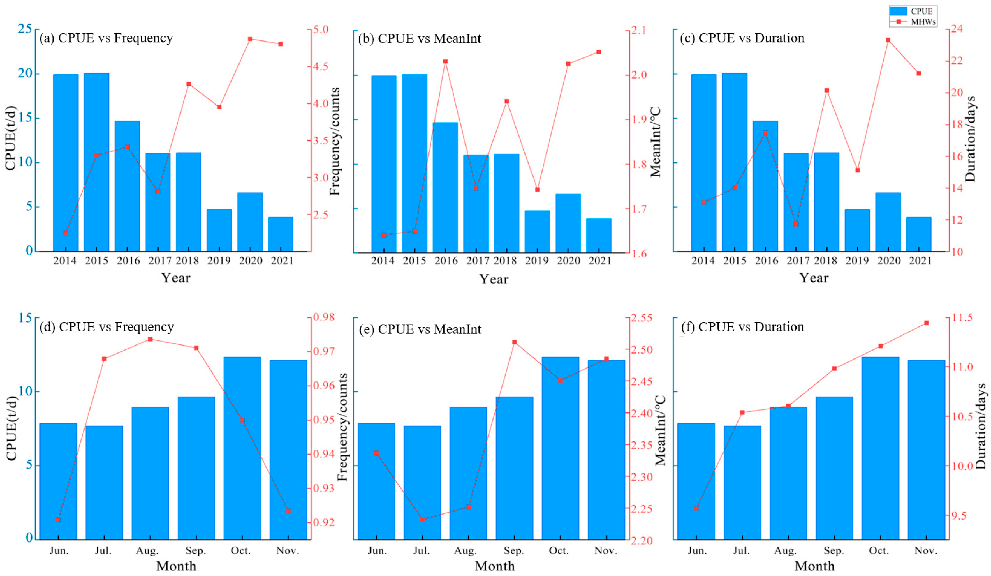
3.3. The Relationship Between MHWs and Japanese Chub Mackerel CPUE
4. Discussion
4.1. The Spatiotemporal Distribution of MHWs and Japanese Chub Mackerel in the Northwest Pacific Ocean
4.2. The Relationship Between MHWs and Japanese Chub Mackerel Dynamics
5. Conclusions
Author Contributions
Funding
Institutional Review Board Statement
Data Availability Statement
Acknowledgments
Conflicts of Interest
References
- Yan, Y.M. Biology of chub mackerel in Fujian coastal waters. Mar. Fish. 1997, 19, 69–73. [Google Scholar]
- FAO. The State of World Fisheries and Aquaculture 2022. Food and Agriculture Organization of the United Nations. Available online: https://www.fao.org/3/cc0461zh/online/sofia/2022/capture-fisheries-production.html (accessed on 2 June 2024).
- Zheng, Y.J.; Li, J.S.; Zhang, Q.Y.; Hong, W.S. Research progresses of resource biology of important marine pelagic food fishes in China. J. Fish. China 2014, 38, 149–160. [Google Scholar] [CrossRef]
- Zheng, Y.J.; Chen, X.Z.; Cheng, J.H.; Wang, Y.L.; Shen, X.Q.; Chen, W.Z.; Li, C.S. Biological Resources and Environment on the East China Sea Continental Shelf; Shanghai Science and Technology Press: Shanghai, China, 2003; pp. 348–357. [Google Scholar]
- Li, Y.S.; Xing, Y.N. Research progress on life history and model application of chub mackerel Scomber japonicus: A review. J. Dalian Ocean Univ. 2021, 36, 694–705. [Google Scholar]
- Wang, L.M.; Li, Y.; Zhang, R.; Tian, Y.J.; Zhang, J.; Lin, L.S. Relationship Between the Resource Distribution of Scomber japonicus and Seawater Temperature Vertical Structure of Northwestern Pacific Ocean. Period. Ocean. Uni China 2019, 49, 29–38. [Google Scholar] [CrossRef]
- Kume, G.; Shigemura, T.; Okanishi, M.; Hirai, J.; Shiozaki, K.; Ichinomiya, M.; Komorita, T.; Habano, A.; Makino, F.; Kobari, T. Distribution, feeding habits, and growth of chub mackerel, Scomber japonicus, larvae during a high-stock period in the northern Satsunan area, southern Japan. Front. Mar. Sci. 2021, 8, 725227. [Google Scholar] [CrossRef]
- Guan, W.J.; Chen, X.J.; Li, G. Influence of sea surface temperature and La Niña event on temporal and spatial fluctuation of chub mackerel (Scomber japonicus) stock in the East China Sea. J. Shanghai Ocean Univ. 2011, 20, 102–107. [Google Scholar]
- Hiyama, Y.; Yoda, M.; Ohshimo, S. Stock size fluctuations in chub mackerel (Scomber japonicus) in the East China Sea and the Japan/East Sea. Fish. Oceanogr. 2002, 11, 347–353. [Google Scholar] [CrossRef]
- Hobday, A.J.; Alexander, L.V.; Perkins, S.E.; Smale, D.A.; Straub, S.C.; Oliver, E.C.J.; Benthuysen, J.A.; Burrows, M.T.; Donat, M.G.; Feng, M.; et al. A hierarchical approach to defining marine heatwaves. Prog. Oceanogr. 2016, 141, 227–238. [Google Scholar] [CrossRef]
- Oliver, E.C.J.; Donat, M.G.; Burrows, M.T.; Moore, P.J.; Smale, D.A.; Alexander, L.V.; Benthuysen, J.A.; Feng, M.; Sen Gupta, A.; Hobday, A.J.; et al. Longer and more frequent marine heatwaves over the past century. Nat. Commun. 2018, 9, 1324. [Google Scholar] [CrossRef]
- Bian, C.; Jing, Z.; Wang, H.; Wu, L.; Chen, Z.; Gan, B.; Yang, J. Oceanic mesoscale eddies as crucial drivers of global marine heatwaves. Nat. Commun. 2023, 14, 3881. [Google Scholar] [CrossRef]
- Sun, D.; Jing, Z.; Li, F.; Wu, L. Characterizing global marine heatwaves under a spatiotemporal framework. Prog. Oceanogr. 2023, 211, 102947. [Google Scholar] [CrossRef]
- Zinke, J.; Hoell, A.; Lough, J.M.; Feng, M.; Kuret, A.J.; Clarke, H.; Ricca, V.; Rankenburg, K.; McCulloch, M.T. Coral record of southeast Indian Ocean marine heatwaves with intensified Western Pacific temperature gradient. Nat. Commun. 2015, 6, 8562. [Google Scholar] [CrossRef]
- Genevier, L.G.C.; Jamil, T.; Raitsos, D.E.; Krokos, G.; Hoteit, I. Marine heatwaves reveal coral reef zones susceptible to bleaching in the Red Sea. Glob. Change Biol. 2019, 25, 2338–2351. [Google Scholar] [CrossRef]
- Roberts, S.D.; Van Ruth, P.D.; Wilkinson, C.; Bastianello, S.S.; Bansemer, M.S. Marine heatwave, harmful algae blooms and an extensive fish kill event during 2013 in South Australia. Front. Mar. Sci. 2019, 6, 610. [Google Scholar] [CrossRef]
- Jones, T.; Parrish, J.K.; Peterson, W.T.; Bjorkstedt, E.P.; Bond, N.A.; Burgess, M.; Dolliver, H.K.; Lindquist, J.E.; Lindquist, K.; Lindsey, J.; et al. Massive mortality of a planktivorous seabird in response to a marine heatwave. Geophys. Res. Lett. 2018, 45, 3193–3202. [Google Scholar] [CrossRef]
- Hays, G.C.; Chivers, W.J.; Laloë, J.O.; Sheppard, C.; Esteban, N. Impact of marine heatwaves for sea turtle nest temperatures. Biol. Lett. 2021, 17, 20210038. [Google Scholar] [CrossRef] [PubMed]
- Piatt, J.F.; Arimitsu, M.L.; Thompson, S.A.; Suryan, R.M.; Wilson, L.; Elliott, K.H.; Sydeman, W.J. Mechanisms by which marine heatwaves affect seabirds. Mar. Ecol. Prog. Ser. 2024, 737, 1–8. [Google Scholar] [CrossRef]
- Semuouri, I.; De Schamphelaere, K.A.C.; Mortelmans, J.; De Troch, M.; Janssen, C.R.; Teerlinck, S. Decadal decline of dominant copepod species in the North Sea is associated with ocean warming: Importance of marine heatwaves. Mar. Pollut. Bull. 2023, 193, 115159. [Google Scholar] [CrossRef]
- Noh, K.M.; Lim, H.G.; Kug, J.S. Global chlorophyll responses to marine heatwaves in satellite ocean color. Environ. Res. Lett. 2022, 17, 064034. [Google Scholar] [CrossRef]
- He, W.; Zeng, X.; Deng, L.; Pi, Q.L.C.; Zhao, J. Enhanced impact of prolonged MHWs on satellite-observed chlorophyll in the South China Sea. Prog. Oceanogr. 2023, 218, 103123. [Google Scholar] [CrossRef]
- Cheung, W.W.L.; Lam, V.W.Y.; Sarmiento, J.L.; Kearney, K.; Watson, R.; Zeller, D.; Pauly, D. Projecting global marine biodiversity impacts under climate change scenarios. Fish Fish. 2009, 10, 235–251. [Google Scholar] [CrossRef]
- Abigale, M.W.; Laure, R.; Adrian, M. Ecosystem impacts of marine heat waves in the northeast Pacific. Biogeosciences 2022, 19, 5689–5705. [Google Scholar] [CrossRef]
- Zheng, F.; Zhang, X.J.; Cao, T.W. Analysis of Evolution Characteristics, Physical Mechanisms, and Impacts of Marine Heat Waves in the Western Pacific Warm Pool under the Background of Triple-Year La Niña from 2020 to 2022. Chin. J. Atmos. Sci. 2024, 48, 376–390. [Google Scholar]
- Kamimura, Y.; Takahashi, M.; Yamashita, N.; Watanabe, C.; Kawabata, A. Larval and juvenile growth of chub mackerel Scomber japonicus in relation to recruitment in the western North Pacific. Fish. Sci. 2015, 81, 505–513. [Google Scholar] [CrossRef]
- Frölicher, T.L.; Fischer, E.M.; Gruber, N. Marine heatwaves under global warming. Nature 2018, 560, 360–364. [Google Scholar] [CrossRef] [PubMed]
- Hayashi, M.; Shiogama, H.; Emori, S.; Ogura, T.; Hirota, N. The northwestern Pacific warming record in August 2020 occurred under anthropogenic forcing. Geophys. Res. Lett. 2021, 48, e2020GL090956. [Google Scholar] [CrossRef]
- Yang, X.S.; Zou, X.R.; Xu, X.X.; Wang, Z.A. Effects of ENSO on abundance index and spatial-temporal change of Chilean jack mackerel in the Southeast Pacific Ocean. J. Shanghai Ocean Univ. 2019, 28, 290–297. [Google Scholar]
- Chen, X.J.; Qian, W.G.; Xu, L.X.; Tian, S.Q. Comparison Among Annual Positions of Fishing Grounds for Ommastrephe bartrami from 150E to 165E in the North Pacific. J. Zhanjiang Ocean Univ. 2003, 23, 26–32. [Google Scholar]
- Zhao, Z.; Marin, M. A MATLAB toolbox to detect and analyze marine heatwaves. J. Open Source Softw. 2019, 4, 1124. [Google Scholar] [CrossRef]
- Xue, J.L.; Fan, W.; Tang, F.H.; Guo, G.G.; Tang, W.; Zhang, S.M. Analysis of potential habitat distribution of Scomber japonicus in Northwest Pacific Ocean using maximum entropy model. South China Fish. Sci. 2018, 14, 92–98. [Google Scholar] [CrossRef]
- Zhuang, Z.D.; Ma, C.; Liu, Y.; Xu, C.Y.; Cai, J.T.; Shen, C.C. A preliminary study on biological characteristics of Scomber japonicus in the North Pacific Ocean in autumn. Trans. Oceanol. Limnol. 2018, 125–131. [Google Scholar] [CrossRef]
- Amaya, D.J.; Miller, A.J.; Xie, S.P.; Kosaka, Y. Physical drivers of the summer 2019 North Pacific marine heatwave. Nat. Commun. 2020, 14, 1903. [Google Scholar] [CrossRef]
- Oliver, E.C.J. Mean warming not variability drives marine heatwave trends. Clim. Dyn. 2019, 53, 1653–1659. [Google Scholar] [CrossRef]
- Jacox, M.G.; Alexander, M.A.; Bograd, S.J.; Scott, J.D. Thermal displacement by marine heatwaves. Nature 2020, 584, 82–86. [Google Scholar] [CrossRef] [PubMed]
- Pecl, G.T.; Araújo, M.B.; Bell, J.D.; Blanchard, J.; Bonebrake, T.C.; Chen, I.-C.; Clark, T.D.; Colwell, R.K.; Danielsen, F.; Evengård, B.; et al. Biodiversity redistribution under climate change: Impacts on ecosystems and human well-being. Science 2017, 355, eaad5214. [Google Scholar] [CrossRef] [PubMed]
- Breitburg, D.; Levin, L.A.; Oschlies, A.; Grégoire, M.; Chavez, F.P.; Conley, D.J.; Garçon, V.; Gilbert, D.; Gutiérrez, D.; Isensee, K.; et al. Declining oxygen in the global ocean and coastal waters. Science 2018, 359, eaam7240. [Google Scholar] [CrossRef]
- Chassot, E.; Bonhommeau, S.; Dulvy, N.K.; Mélin, F.; Watson, R.; Gascuel, D.; Le Pape, O. Global marine primary production constrains fisheries catches. Ecol. Lett. 2010, 13, 495–505. [Google Scholar] [CrossRef]
- Wu, X.C.; Feng, Z.P.; Yu, W. Spatio-temporal distribution of habitat patterns of Scomber japonicus in East China Sea under future climatic conditions. South China Fish. Sci. 2023, 19, 12–21. [Google Scholar] [CrossRef]
- Zhao, G.Q.; Shi, Y.C.; Fan, W.; Cui, X.S.; Tang, F.H. Study on main catch composition and fishing ground change of light purse seine in Northwest Pacific. South China Fish. Sci. 2022, 18, 33–42. [Google Scholar] [CrossRef]
- Liu, S.Y.; Zhang, H.; Yang, C.; Fang, Z. Differences in habitat distribution of Sardinops melanostictus and Scomber japonicus in the northwest Pacific based on a maximumentropy model. J. Shanghai Ocean Univ. 2023, 32, 806–817. [Google Scholar] [CrossRef]
- Yu, W.; Wen, J.; Chen, X.J.; Li, G.; Zhang, Z. Effects of climate variability on habitat range and distribution of chub mackerel in the East China Sea. Ocean Univ. China 2021, 20, 1483–1494. [Google Scholar] [CrossRef]
- Taga, M.; Kamimura, Y.; Yamashita, Y. Effects of water temperature and prey density on recent growth of chub mackerel Scomber japonicus larvae and juveniles along the Pacific coast of Boso–Kashimanada. Fish. Sci. 2019, 85, 931–942. [Google Scholar] [CrossRef]
- Guo, C.; Ito, S.I.; Kamimura, Y.; Xiu, P. Evaluating the influence of environmental factors on the early life history growth of chub mackerel (Scomber japonicus) using a growth and migration model. Prog. Oceanogr. 2022, 206, 102821. [Google Scholar] [CrossRef]
- Xu, B.; Zhang, H.; Tang, F.H.; Sui, X.; Zhang, Y.Y.; Hou, G. Relationship between center of gravity and environmental factors of main catches of purse seine fisheries in North Pacific high seas based on GAM. S. China Fish. Sci. 2020, 16, 60–70. [Google Scholar] [CrossRef]
- Takasuka, A.; Oozeki, Y.; Aoki, I. Optimal growth temperature hypothesis: Why do anchovy flourish and sardine collapse or vice versa under the same ocean regime? Can. J. Fish Aquat. Sci. 2007, 64, 768–776. [Google Scholar] [CrossRef]
- Smale, D.A.; Wernberg, T.; Oliver, E.C.J.; Thomsen, M.; Harvey, B.P.; Straub, S.C.; Burrows, M.T.; Alexander, L.V.; Benthuysen, J.A.; Donat, M.G.; et al. Marine heatwaves threaten global biodiversity and the provision of ecosystem services. Nat. Clim. Change 2019, 9, 306–312. [Google Scholar] [CrossRef]











| Model Predictors | Effective Degrees of Freedom | F-Value | p-Value | Accumulation of Deviance Explained | R2-adj |
|---|---|---|---|---|---|
| Intensity | 6.49 | 15.74 | <0.001 | 33.9% | 0.336 |
| Duration | 6.824 | 18.18 | |||
| Year | 5.955 | 82.135 | |||
| Month | 6.56 | 47.323 | |||
| Lon | 6.604 | 16.648 | |||
| Lat | 3.212 | 1.076 |
| Year | Region | Status | Time Frame | CPUE/(t/d) |
|---|---|---|---|---|
| 2016 | a. | Pre-MHWs | 30 July 2016–5 September 2016 | 14.61 |
| MHWs | 5 September 2016–5 October 2016 | 8.84 | ||
| Post-MHWs | 5 October 2016–29 October 2016 | 14.39 | ||
| b | Pre-MHWs | 13 May 2016–29 May 2016 | 25.17 | |
| MHWs | 29 May 2016–10 June 2016 | 24.07 | ||
| Post-MHWs | 10 June 2016–28 June 2016 | 24.95 | ||
| 2018 | a | Pre-MHWs | 7 September 2018–15 September 2018 | 16.04 |
| MHWs | 15 September 2018–24 September 2018 | 14.08 | ||
| Post-MHWs | 24 September 2018–5 October 2018 | 21.62 | ||
| b | Pre-MHWs | 31 March 2018–2 May 2018 | 12.98 | |
| MHWs | 2 May 2018–9 June 2018 | 8.09 | ||
| Post-MHWs | 9 June 2018–9 July 2018 | 8.57 | ||
| 2021 | a. | Pre-MHWs | 3 July 2021–22 July 2021 | 2.83 |
| MHWs | 23 July 2021–11 August 2021 | 2.61 | ||
| Post-MHWs | 11 August 2021–8 September 2021 | 5.27 | ||
| b | Pre-MHWs | 30 March 2021–9 April 2021 | 1.96 | |
| MHWs | 9 April 2021–2 May 2021 | 1.73 | ||
| Post-MHWs | 2 May 2021–16 May 2021 | 3.57 |
Disclaimer/Publisher’s Note: The statements, opinions and data contained in all publications are solely those of the individual author(s) and contributor(s) and not of MDPI and/or the editor(s). MDPI and/or the editor(s) disclaim responsibility for any injury to people or property resulting from any ideas, methods, instructions or products referred to in the content. |
© 2025 by the authors. Licensee MDPI, Basel, Switzerland. This article is an open access article distributed under the terms and conditions of the Creative Commons Attribution (CC BY) license.
Share and Cite
Ji, Z.; Guo, A.; Yu, W. The Impacts of Marine Heatwaves on the Spatiotemporal Distribution and Abundance of Japanese Chub Mackerel (Scomber japonicus) in the Northwest Pacific Ocean. Fishes 2026, 11, 13. https://doi.org/10.3390/fishes11010013
Ji Z, Guo A, Yu W. The Impacts of Marine Heatwaves on the Spatiotemporal Distribution and Abundance of Japanese Chub Mackerel (Scomber japonicus) in the Northwest Pacific Ocean. Fishes. 2026; 11(1):13. https://doi.org/10.3390/fishes11010013
Chicago/Turabian StyleJi, Zhenwei, Ai Guo, and Wei Yu. 2026. "The Impacts of Marine Heatwaves on the Spatiotemporal Distribution and Abundance of Japanese Chub Mackerel (Scomber japonicus) in the Northwest Pacific Ocean" Fishes 11, no. 1: 13. https://doi.org/10.3390/fishes11010013
APA StyleJi, Z., Guo, A., & Yu, W. (2026). The Impacts of Marine Heatwaves on the Spatiotemporal Distribution and Abundance of Japanese Chub Mackerel (Scomber japonicus) in the Northwest Pacific Ocean. Fishes, 11(1), 13. https://doi.org/10.3390/fishes11010013

