Transcriptome Analysis of 17α-Methyltestosterone-Induced Sex Reversal in Pseudopleuronectes yokohamae
Abstract
1. Introduction
2. Materials and Methods
2.1. Ethics Statement
2.2. Source of Juveniles
2.3. Dietary Preparation and Experimental Design
2.4. RNA Isolation
2.5. Transcriptome Sequencing and Data Assembly
2.6. Quantitative Real-Time PCR Validation
2.7. Data Statistics and Analysis
3. Results
3.1. Overview of Transcriptome Sequencing
3.2. Identification and Functional Analysis of Differentially Expressed Genes
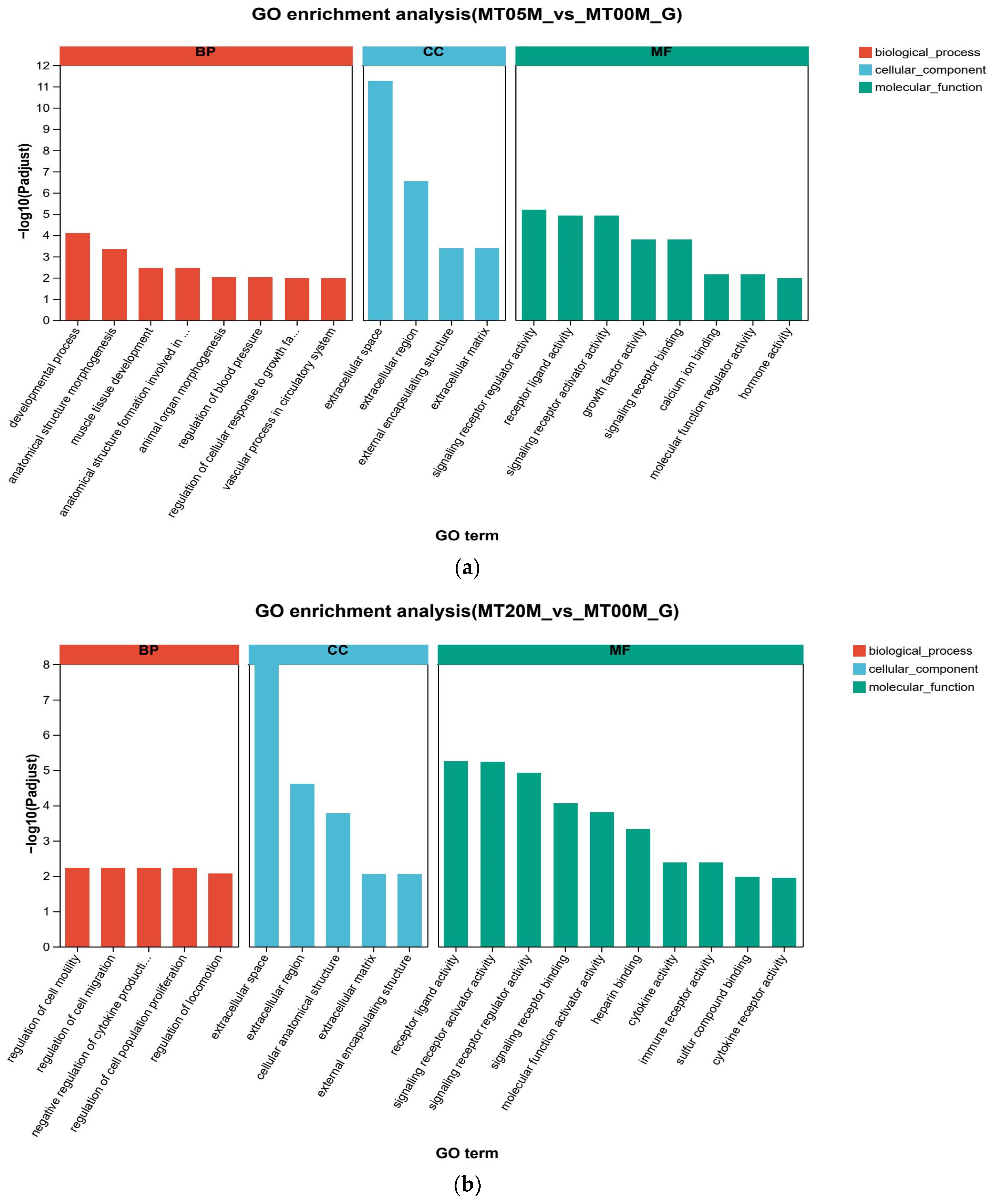
3.3. Gene Ontology Enrichment Analysis
3.4. KEGG Pathway Enrichment Analysis
3.5. Validation of Transcriptome Results by qRT-PCR
4. Discussion
4.1. Functional Enrichment Characteristics of Differentially Expressed Genes
4.2. Perturbation of Key Signaling Pathways
4.3. Expression Patterns of Key Sex-Related Genes
4.4. Transcriptomic Network and Dose-Dependent Synergy
5. Conclusions
Author Contributions
Funding
Institutional Review Board Statement
Informed Consent Statement
Data Availability Statement
Acknowledgments
Conflicts of Interest
References
- Cho, J.; Park, J.W.; Ryu, Y.; Kim, K.; Hur, S. Morphology, histology, and histochemistry of the digestive tract of the marbled flounder Pseudopleuronectes yokohamae. Animals 2023, 13, 936. [Google Scholar] [CrossRef]
- Lee, J.; Kodama, K.; Oyama, M.; Shiraishi, H.; Horiguchi, T. Effect of water temperature on survival of early-life stages of marbled flounder Pseudopleuronectes yokohamae in Tokyo Bay, Japan. Mar. Environ. Res. 2017, 128, 107–113. [Google Scholar] [CrossRef]
- Liu, H.; Wang, S.; Zhang, Z.; Yan, H.; He, T.; Wei, X.; Shi, Y.; Chen, Y.; Wang, W.; Li, X. Nanopore-based full-length transcriptome sequencing of the skin in Pseudopleuronectes yokohamae identifies novel antimicrobial peptide genes. Fish Shellfish Immunol. 2024, 154, 109957. [Google Scholar] [CrossRef] [PubMed]
- Kakimoto, Y.; Aida, S.; Arai, K.; Suzuki, R. Production of Gynogenetic Diploids by temperature and pressure treatments and sex reversal by immersion in methyltestosterone in marbled sole Limanda yokohamae. J. Fac. Appl. Biol. Sci. Hiroshima Univ. 1994, 33, 113–124. [Google Scholar]
- Maekawa, M.; Yoshii, E.; Akase, Y.; Huang, H.; Yoshikawa, S.; Matsuda, M.; Kuruma, Y.; Sawayama, E. Sex-associated SNP confirmation of sex-reversed male farmed Japanese flounder Paralichthys olivaceus. Mar. Biotechnol. 2023, 25, 718–728. [Google Scholar] [CrossRef]
- Aida, S.; Arai, K. Sex ratio in the progeny of gynogenetic diploid marbled sole Limanda yokohamae males. Fish. Sci. 1998, 64, 989–990. [Google Scholar] [CrossRef]
- Pandian, T.I.; Sheela, S.G. Hormonal induction of sex reversal in fish. Aquaculture 1995, 138, 1–22. [Google Scholar] [CrossRef]
- Golan, M.; Levavi-Sivan, B. Artificial masculinization in tilapia involves androgen receptor activation. Gen. Comp. Endocrinol. 2014, 207, 50–55. [Google Scholar] [CrossRef]
- Sulaeman; Fotedar, R. Masculinization of silver perch (Bidyanus bidyanus Mitchell 1838) by dietary supplementation of 17α-methyltestosterone. Egypt. J. Aquat. Res. 2017, 43, 109–116. [Google Scholar] [CrossRef]
- El-Greisy, Z.A.; El-Gamal, A.E. Monosex production of tilapia, Oreochromis niloticus using different doses of 17α-methyltestosterone with respect to the degree of sex stability after one year of treatment. Egypt. J. Aquat. Res. 2012, 38, 59–66. [Google Scholar] [CrossRef]
- Liu, S.; Xu, P.; Liu, X.; Guo, D.; Chen, X.; Bi, S.; Lai, H.; Wang, G.; Zhao, X.; Su, Y.; et al. Production of neo-male mandarin fish Siniperca chuatsi by masculinization with orally administered 17α-methyltestosterone. Aquaculture 2021, 530, 735904. [Google Scholar] [CrossRef]
- Zhang, D.; Li, S.; Tian, T.; Du, J.; Lei, C.; Zhu, T.; Han, L.; Song, H. Effects of 17α-methyltestosterone and letrozole on growth and gonadal development in largemouth bass (Micropterus salmodies). Front. Physiol. 2024, 15, 1444918. [Google Scholar] [CrossRef] [PubMed]
- Wang, C.; Fang, G.; Li, X.; Huang, G.; Xie, L.; Ying, G. Combined effects of binary mixtures of 17β-estradiol and testosterone in western mosquitofish (Gambusia affinis) after full life-cycle exposure. Comp. Biochem. Physiol. Part C Toxicol. Pharmacol. 2024, 280, 109887. [Google Scholar] [CrossRef]
- Liu, S.; Zhou, J.; Yang, Q.; Chen, Y.; Liu, Q.; Wang, W.; Song, J.; Wang, X.; Liu, Y. Comparative analysis of miRNA-mRNA regulation in the testes of Gobiocypris rarus following 17α-methyltestosterone exposure. Int. J. Mol. Sci. 2023, 24, 4239. [Google Scholar] [CrossRef]
- Passini, G.; Sterzelecki, F.C.; de Carvalho, C.V.A.; Baloi, M.F.; Naide, V.; Cerqueira, V.R. 17α-methyltestosterone implants accelerate spermatogenesis in common snook, Centropomus undecimalis, during first sexual maturation. Theriogenology 2018, 106, 134–140. [Google Scholar] [CrossRef]
- Kortner, T.M.; Arukwe, A. Effects of 17α-methyltestosterone exposure on steroidogenesis and cyclin-B mRNA expression in previtellogenic oocytes of Atlantic cod (Gadus morhua). Comp. Biochem. Physiol. Part C Toxicol. Pharmacol. 2007, 146, 569–580. [Google Scholar] [CrossRef]
- Lee, S.L.J.; Horsfield, J.A.; Black, M.A.; Rutherford, K.; Fisher, A.; Gemmell, N.J. Histological and transcriptomic effects of 17α-methyltestosterone on zebrafish gonad development. BMC Genom. 2017, 18, 557. [Google Scholar] [CrossRef]
- Wang, J.Y.; Ma, Y.X.; Hu, Q.M.; Peng, F.; Zhou, M.; Ji, X.S.; Zhao, Y. All-male Nile tilapia larvae production using high-temperature and low dose of MT combination treatment. Aquaculture 2022, 546, 737311. [Google Scholar] [CrossRef]
- Cheng, L.; Fan, X.; Meng, Z.; Xu, W.; Xu, Y.; Zhang, J.; Zhang, N.; Xu, R. Effects of 17α-methyltestosterone on growth and gonadal development of Pseudopleuronectes yokohamae. Prog. Fish. Sci. 2025. accepted. [Google Scholar]
- Suzuki, N.; Tamura, M.; Ohuchi, I.; Hiromatsu, K.; Sugihara, T. Gonadal sex differentiation of hatchery-reared flounder, Limanda yokohamae. Suisanzoshoku 1992, 40, 189–199. [Google Scholar]
- Haffray, P.; Lebègue, E.; Jeu, S.; Guennoc, M.; Guiguen, Y.; Baroiller, J.F.; Fostier, A. Genetic determination and temperature effects on turbot Scophthalmus maximus sex differentiation: An investigation using steroid sex-inverted males and females. Aquaculture 2009, 294, 30–36. [Google Scholar] [CrossRef]
- Li, T.; Xiong, Z.; Rong, W.; Yang, Q.; Chen, Y.; Zhao, H.; Liu, Q.; Song, J.; Wang, W.; Liu, Y.; et al. Effects of exposure to 17α-methyltestosterone on hepatic lipid metabolism in Gobiocypris rarus. Comp. Biochem. Physiol. Part C 2025, 287, 110041. [Google Scholar] [CrossRef] [PubMed]
- Liu, S.; Chen, Y.; Li, T.; Qiao, L.; Yang, Q.; Rong, W.; Liu, Q.; Wang, W.; Song, J.; Wang, X.; et al. Effects of 17α-methyltestosterone on the transcriptome and sex hormones in the brain of Gobiocypris rarus. Int. J. Mol. Sci. 2023, 24, 3571. [Google Scholar] [CrossRef] [PubMed]
- Wu, F.; Zhou, L.; Nagahama, Y.; Wang, D. Duplication and distinct expression patterns of two thrombospondin-1 isoforms in teleost fishes. Gene Expr. Patterns 2009, 9, 436–443. [Google Scholar] [CrossRef]
- Liang, D.; Fan, Z.; Zou, Y.; Tan, X.; Wu, Z.; Jiao, S.; Li, J.; Zhang, P.; You, F. Characteristics of cyp11a during gonad differentiation of the olive flounder Paralichthys olivaceus. Int. J. Mol. Sci. 2018, 19, 2641. [Google Scholar] [CrossRef]
- Nishiyama, M.; Uchida, K.; Abe, N.; Nozaki, M. Molecular cloning of cytochrome P450 side-chain cleavage and changes in its mRNA expression during gonadal development of brown hagfish, Paramyxine atami. Gen. Comp. Endocrinol. 2015, 212, 1–9. [Google Scholar] [CrossRef]
- Guiguen, Y.; Fostier, A.; Piferrer, F.; Chang, C. Ovarian aromatase and estrogens: A pivotal role for gonadal sex differentiation and sex change in fish. Gen. Comp. Endocrinol. 2010, 165, 352–366. [Google Scholar] [CrossRef] [PubMed]
- Cavaco, J.E.; van Blijswijk, B.; Leatherland, J.F.; Goos, H.J.; Schulz, R.W. Androgen-induced changes in Leydig cell ultrastructure and steroidogenesis in juvenile African catfish, Clarias gariepinus. Cell. Tissue. Res. 1999, 297, 291–299. [Google Scholar] [CrossRef]
- Schulz, R.W.; Liemburg, M.; Garcia-Lopez, A.; Dijk, W.V.; Bogerd, J. Androgens modulate testicular androgen production in African catfish (Clarias gariepinus) depending on the stage of maturity and type of androgen. Gen. Comp. Endocrinol. 2008, 156, 154–163. [Google Scholar] [CrossRef]
- Guo, H.; Du, X.; Zhang, Y.; Wu, J.; Wang, C.; Li, M.; Hua, X.; Zhang, X.A.; Yan, J. Specific miRNA-G protein-coupled receptor networks regulate sox9a/sox9b activities to promote gonadal rejuvenation in Zebrafish. Stem. Cells. 2019, 37, 1189–1199. [Google Scholar] [CrossRef]
- Trudeau, V.L.; Murthy, C.K.; Habibi, H.R.; Sloley, B.D.; Peter, R.E. Effects of sex steroid treatments on gonadotropin-releasing hormone-stimulated gonadotropin secretion from the goldfish pituitary. Biol. Reprod. 1993, 48, 300–307. [Google Scholar] [CrossRef]
- Wang, J.; Zhou, J.; Yang, Q.; Wang, W.; Liu, Q.; Liu, W.; Liu, S. Effects of 17α-methyltestosterone on the transcriptome, gonadal histology and sex steroid hormones in Pseudorasbora parva. Theriogenology 2020, 155, 88–97. [Google Scholar] [CrossRef]
- Ohinata, Y.; Ohta, H.; Shigeta, M.; Yamanaka, K.; Wakayama, T.; Saitou, M. A signaling principle for the specification of the germ cell lineage in mice. Cell 2009, 137, 571–584. [Google Scholar] [CrossRef]
- Timberlake, A.T.; Choi, J.; Zaidi, S.; Lu, Q.; Nelson-Williams, C.; Brooks, E.D.; Bilguvar, K.; Tikhonova, I.; Mane, S.; Yang, J.F.; et al. Two locus inheritance of non-syndromic midline craniosynostosis via rare SMAD6 and common BMP2 alleles. Elife 2016, 5, e20125. [Google Scholar] [CrossRef]
- Hyo-Sung Jeon, P.; Jin Jen, M.P. TGF-β signaling and the role of inhibitory Smads in non-small cell lung cancer. J. Thorac. Oncol. 2010, 5, 417–419. [Google Scholar] [CrossRef]
- Qian, P.; Kang, J.; Liu, D.; Xie, G. Single cell transcriptome sequencing of zebrafish testis revealed novel spermatogenesis marker genes and stronger leydig-germ cell paracrine interactions. Front. Genet. 2022, 13, 851719. [Google Scholar] [CrossRef] [PubMed]
- Mukherjee, S.; Chaturvedi, P.; Rankin, S.A.; Fish, M.B.; Wlizla, M.; Paraiso, K.D.; MacDonald, M.; Chen, X.; Weirauch, M.T.; Blitz, I.L.; et al. Sox17 and β-catenin co-occupy Wnt-responsive enhancers to govern the endoderm gene regulatory network. Elife 2020, 9, e58029. [Google Scholar] [CrossRef] [PubMed]
- Sun, W.; Cai, H.; Zhang, G.; Zhang, H.; Bao, H.; Wang, L.; Ye, J.; Qian, G.; Ge, C. Dmrt1 is required for primary male sexual differentiation in Chinese soft-shelled turtle Pelodiscus sinensis. Sci. Rep. 2017, 7, 4433. [Google Scholar] [CrossRef]
- Winkler, C.; Hornung, U.; Kondo, M.; Neuner, C.; Duschl, J.; Shima, A.; Schartl, M. Developmentally regulated and non-sex-specific expression of autosomal dmrt genes in embryos of the Medaka fish (Oryzias latipes). Mech. Dev. 2004, 121, 997–1005. [Google Scholar] [CrossRef]
- Zhao, H.; Xiao, Y.; Xiao, Z.; Wu, Y.; Ma, Y.; Li, J. Genome-wide investigation of the DMRT gene family sheds new insight into the regulation of sex differentiation in spotted knifejaw (Oplegnathus punctatus) with fusion chromosomes (Y). Int. J. Biol. Macromol. 2024, 257, 128638. [Google Scholar] [CrossRef] [PubMed]
- Huang, Y.; Zhang, X.; Bian, C.; Jiao, K.; Zhang, L.; Huang, Y.; Yang, W.; Li, Y.; Shi, G.; Huang, Y.; et al. Allelic variation and duplication of the dmrt1 were associated with sex chromosome turnover in three representative Scatophagidae fish species. Commun. Biol. 2025, 8, 627. [Google Scholar] [CrossRef]
- Sekido, R.; Lovell-Badge, R. Sex determination involves synergistic action of SRY and SF1 on a specific Sox9 enhancer. Nature 2008, 453, 930–934. [Google Scholar] [CrossRef]
- Childs, A.J.; Kinnell, H.L.; Collins, C.S.; Hogg, K.; Bayne, R.A.L.; Green, S.J.; McNeilly, A.S.; Anderson, R.A. BMP signaling in the human fetal ovary is developmentally regulated and promotes primordial germ cell apoptosis. Stem. Cells. 2010, 28, 1368–1378. [Google Scholar] [CrossRef] [PubMed]
- Yang, D.; Yang, X.; Dai, F.; Wang, Y.; Yang, Y.; Hu, M.; Cheng, Y. The role of bone morphogenetic protein 4 in ovarian function and diseases. Reprod. Sci. 2021, 28, 3316–3330. [Google Scholar] [CrossRef]
- Xu, Z.; Wang, W.; Jiang, K.; Yu, Z.; Huang, H.; Wang, F.; Zhou, B.; Chen, T. Embryonic attenuated Wnt/β-catenin signaling defines niche location and long-term stem cell fate in hair follicle. Elife 2015, 4, e10567. [Google Scholar] [CrossRef] [PubMed]
- Stamatiades, G.A.; Carroll, R.S.; Kaiser, U.B. GnRH-a key regulator of FSH. Endocrinology 2019, 160, 57–67. [Google Scholar] [CrossRef] [PubMed]
- Sun, M.; Jiang, S.; Song, W.; Qu, J.; Qi, J. Molecular characterization and functional analysis of cyp11a and cyp11b in black rockfish (Sebastes schlegelii). J. Fish Biol. 2021, 99, 9–17. [Google Scholar] [CrossRef]
- Sreenivasan, R.; Jiang, J.; Wang, X.; Bártfai, R.; Kwan, H.Y.; Christoffels, A.; Orbán, L. Gonad differentiation in zebrafish is regulated by the canonical Wnt signaling pathway. Biol. Reprod. 2014, 90, 45. [Google Scholar] [CrossRef]
- Tetsuka, M.; Hillier, S.G. Androgen receptor gene expression in rat granulosa cells: The role of follicle-stimulating hormone and steroid hormones. Endocrinology 1996, 137, 4392–4397. [Google Scholar] [CrossRef]
- Wilson, V.S.; Cardon, M.C.; Gray, L.E.J.; Hartig, P.C. Competitive binding comparison of endocrine-disrupting compounds to recombinant androgen receptor from fathead minnow, rainbow trout, and human. Environ. Toxicol. Chem. 2007, 26, 1793–1802. [Google Scholar] [CrossRef]
- Ankley, G.T.; Santana-Rodriguez, K.; Jensen, K.M.; Miller, D.H.; Villeneuve, D.L. AOP report: Adverse outcome pathways for aromatase inhibition or androgen receptor agonism leading to male-biased sex ratio and population decline in fish. Environ. Toxicol. Chem. 2023, 42, 747–756. [Google Scholar] [CrossRef] [PubMed]
- Rivero-Wendt, C.L.G.; Miranda-Vilela, A.L.; Domingues, I.; Oliveira, R.; Monteiro, M.S.; Moura-Mello, M.A.M.; Matias, R.; Soares, A.M.V.M.; Grisolia, C.K. Steroid androgen 17 alpha methyltestosterone used in fish farming induces biochemical alterations in zebrafish adults. J. Environ. Sci. Health. Part A Toxic/Hazard. Subst. Environ. Eng. 2020, 55, 1321–1332. [Google Scholar] [CrossRef] [PubMed]
- Li, M.; Zhang, N.; Huang, Y.; Pan, C.; Dong, Z.; Lin, Z.; Li, C.; Jiang, Y.; Liang, Y. The effects of 17alpha-methyltestosterone on gonadal histology and gene expression along hypothalamic-pituitary-gonadal axis, germ cells, sex determination, and hypothalamus-pituitary-thyroid axis in zebrafish (Danio rerio). Environ. Toxicol. 2024, 39, 1494–1504. [Google Scholar] [CrossRef] [PubMed]










| Primer | Nucleotide Sequence (5′–3′) |
|---|---|
| actin-F | GTCAGCCACACTGTTCCCATCTA |
| actin-R | TGAGGATCTTCATCAGGTAGTCG |
| sox17-qF | CGAGTTCGAGCAGTATTTGAGTT |
| sox17-qR | CGGGAGGTTAGGAGTTGTTGTA |
| bmp4-qF | TGACGGTAGAGCCTGAGTTCG |
| bmp4-qR | GCCATGACATCGCTTTTGAGTA |
| smad6-qF | AAATGACACTGAGAATCTGTAACGC |
| smad6-qR | GCTCCTGACCCAGTATCCTAAT |
| dmrt1-qF | TAGTTCCCTCATTTGCTGTTGC |
| dmrt1-qR | TGGTGGGAGGAAATCTGTCTAA |
| cyp19a-qF | ATCTTTTTCCACAGGGACACG |
| cyp19a-qR | GCACAGCCAGCAACTACTACAA |
| amh-qF | GATGGAGATAACGGAGGTGATAG |
| amh-qR | GGGAAACACTGCTAAACACAAGA |
| sox9b-qF | GAAAACCAGACGCCTCACCAC |
| sox9b-qR | TACGCTGGCAGTTTGTAACCC |
| pou5f-qF | TATCAGACATCTTCCAAAACGC |
| pou5f-qR | GTATTGTGGCAGCAAAACGAC |
| foxl2-qF | TTGGACTGATGGTCATAACTTGTAG |
| foxl2-qR | GACTTAATTGGGGCACCTTGT |
| fshr-qF | GCAGGAGAACAACCACATAGC |
| fshr-qR | AGAAAACAGAGCGGGGTAAAG |
| Sample | Raw Reads | Raw_Bases | Clean_Reads | Clean_Bases | Error% | Q20% | Q30% | GC% |
|---|---|---|---|---|---|---|---|---|
| MT00M1 | 41,782,842 | 6,309,209,142 | 41,184,466 | 6,176,167,340 | 0.0123 | 98.48 | 95.57 | 48.59 |
| MT00M2 | 40,894,014 | 6,174,996,114 | 40,406,968 | 6,052,798,361 | 0.0122 | 98.52 | 95.65 | 48.95 |
| MT00M3 | 46,754,712 | 7,059,961,512 | 46,145,088 | 6,911,821,763 | 0.0123 | 98.49 | 95.54 | 48.41 |
| MT05M1 | 44,981,842 | 6,792,258,142 | 44,380,476 | 6,651,472,980 | 0.0123 | 98.49 | 95.54 | 48.61 |
| MT05M2 | 40,411,690 | 6,102,165,190 | 39,910,776 | 5,980,362,315 | 0.0123 | 98.5 | 95.58 | 48.42 |
| MT05M3 | 44,159,814 | 6,668,131,914 | 43,605,046 | 6,535,482,752 | 0.0123 | 98.48 | 95.57 | 48.30 |
| MT20M1 | 40,301,356 | 6,085,504,756 | 39,771,200 | 5,958,198,172 | 0.0123 | 98.51 | 95.6 | 48.99 |
| MT20M2 | 43,788,620 | 6,612,081,620 | 43,210,932 | 6,472,161,343 | 0.0123 | 98.5 | 95.63 | 48.83 |
| MT20M3 | 43,813,632 | 6,615,858,432 | 43,209,272 | 6,465,745,009 | 0.0123 | 98.5 | 95.62 | 48.53 |
| Gene ID | Genes | MT05MvsMT00M | MT20MvsMT00M | MT20MvsMT05M | |||
|---|---|---|---|---|---|---|---|
| Log2(FC) | p | Log2(FC) | p | Log2(FC) | p | ||
| TRINITY_DN15040_c0_g1 | cyp19a | - | - | 5.21 | 4.71 × 10−4 | - | - |
| TRINITY_DN2087_c0_g1 | cyp11a | −2.45 | 2.76 × 10−7 | −3.42 | 1.03 × 10−3 | - | - |
| TRINITY_DN15611_c0_g2 | foxl | - | - | 2.48 | 2.95 × 10−7 | 1.96 | 2.31 × 10−4 |
| TRINITY_DN497_c2_g1 | wnt11 | - | - | 4.36 | 1.79 × 10−6 | - | - |
| TRINITY_DN8482_c0_g2 | wt1 | −1.18 | 2.46 × 10−7 | - | - | - | - |
| TRINITY_DN63333_c0_g1 | sox17 | −1.29 | 3.02 × 10−3 | - | - | 1.17 | 1.74 × 10−4 |
| TRINITY_DN6000_c0_g1 | rspo1 | - | - | 1.45 | 7.96 × 10−5 | 1.21 | 1.92 × 10−3 |
| TRINITY_DN3574_c0_g3 | lhx2-9 | - | - | −1.24 | 5.25 × 10−4 | - | - |
| TRINITY_DN9863_c0_g1 | bmp4 | −1.93 | 1.05 × 10−6 | - | - | 1.82 | 2.91 × 10−8 |
| TRINITY_DN4657_c0_g1 | dkk3 | −1.18 | 2.05 × 10−3 | - | - | 1.49 | 4.78 × 10−9 |
| TRINITY_DN9537_c0_g1 | pdgfra | −1.67 | 3.67 × 10−10 | - | - | - | - |
| TRINITY_DN15242_c0_g2 | smad6 | −1.09 | 1.86 × 10−5 | - | - | - | - |
Disclaimer/Publisher’s Note: The statements, opinions and data contained in all publications are solely those of the individual author(s) and contributor(s) and not of MDPI and/or the editor(s). MDPI and/or the editor(s) disclaim responsibility for any injury to people or property resulting from any ideas, methods, instructions or products referred to in the content. |
© 2025 by the authors. Licensee MDPI, Basel, Switzerland. This article is an open access article distributed under the terms and conditions of the Creative Commons Attribution (CC BY) license.
Share and Cite
Cheng, L.; Sun, X.; Meng, Z.; Xu, W.; Cui, A.; Xu, Y. Transcriptome Analysis of 17α-Methyltestosterone-Induced Sex Reversal in Pseudopleuronectes yokohamae. Fishes 2026, 11, 1. https://doi.org/10.3390/fishes11010001
Cheng L, Sun X, Meng Z, Xu W, Cui A, Xu Y. Transcriptome Analysis of 17α-Methyltestosterone-Induced Sex Reversal in Pseudopleuronectes yokohamae. Fishes. 2026; 11(1):1. https://doi.org/10.3390/fishes11010001
Chicago/Turabian StyleCheng, Luyao, Xiaoxuan Sun, Zhen Meng, Wenteng Xu, Aijun Cui, and Yongjiang Xu. 2026. "Transcriptome Analysis of 17α-Methyltestosterone-Induced Sex Reversal in Pseudopleuronectes yokohamae" Fishes 11, no. 1: 1. https://doi.org/10.3390/fishes11010001
APA StyleCheng, L., Sun, X., Meng, Z., Xu, W., Cui, A., & Xu, Y. (2026). Transcriptome Analysis of 17α-Methyltestosterone-Induced Sex Reversal in Pseudopleuronectes yokohamae. Fishes, 11(1), 1. https://doi.org/10.3390/fishes11010001

