Contribution to Morphometrics and Ecology of Snow Trout (Schizothorax eurycephalus) and Stone Loach (Triplophysa ferganaensis)
Abstract
1. Introduction
2. Materials and Methods
2.1. Study Area and Field Sampling
2.2. Data Analysis
3. Results
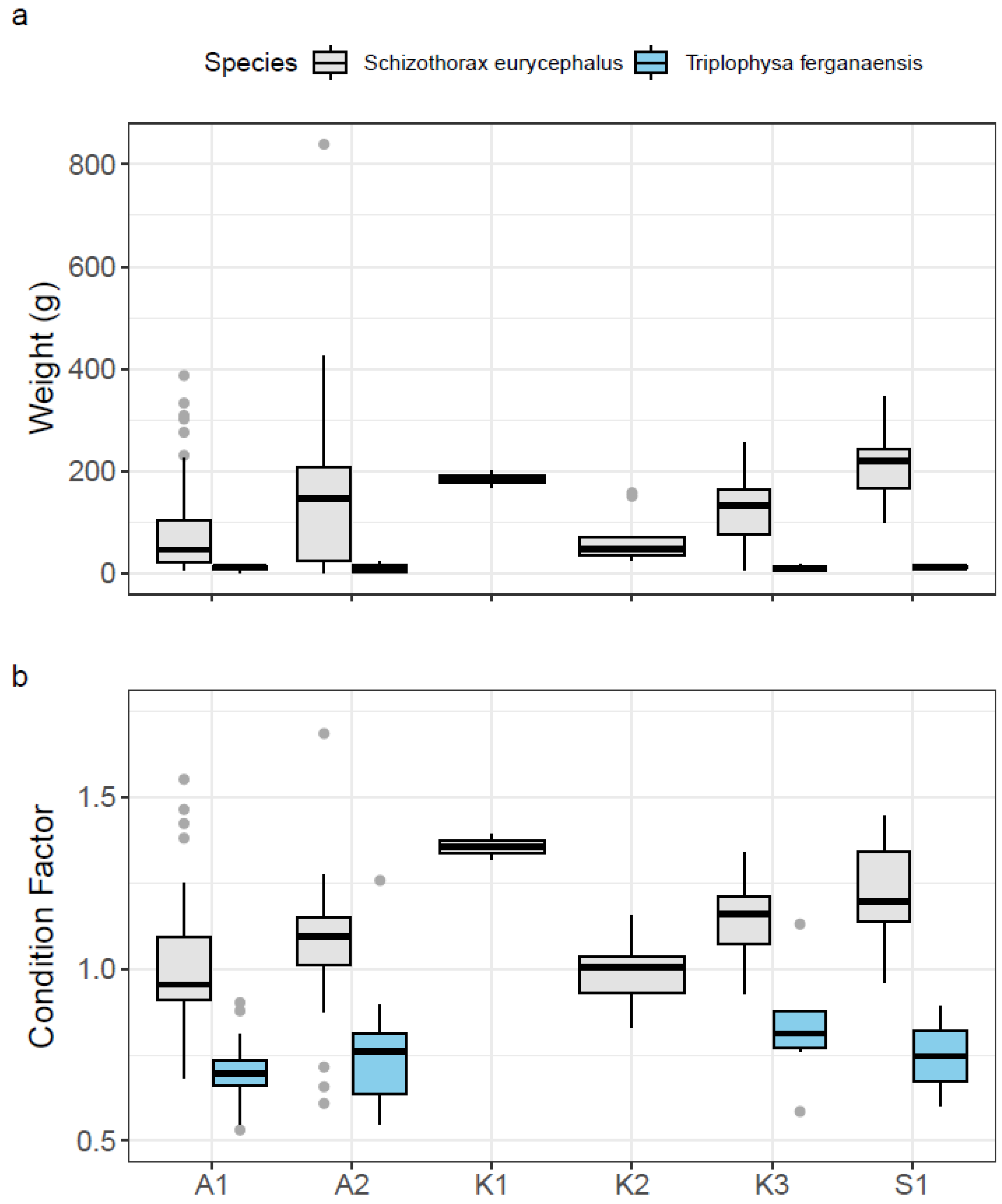
3.1. Morphometrics
3.2. Insights into Sexual Maturity and Diet
4. Discussion
5. Conclusions
Author Contributions
Funding
Institutional Review Board Statement
Informed Consent Statement
Data Availability Statement
Acknowledgments
Conflicts of Interest
References
- Berg, L.S. Ryby presnykh vod SSSR i sopredel’nykh stran. In Fishes of Fresh Waters of the USSR and Adjacent Countries; Akad. Nauk SSSR: Moscow, Russia, 1948; Volume 2. [Google Scholar]
- Karimov, E.; Zeiringer, B.; Coeck, J.; Verhelst, P.; Karimov, B.; Omonov, O.; Schletterer, M.; Hayes, D.S. Length-Weight-Age Relationship of Schizothorax eurystomus Kessler, 1872 and Comparison to Other Snow Trout Species in Central Asia. Fishes 2024, 9, 94. [Google Scholar] [CrossRef]
- Rozimov, A.; Wang, Y.; Wang, M.; Zou, M.; Sobirov, J.; Karimov, E.; Kholmatov, B.; Freyhof, J.; Namozov, S.; Wang, C.; et al. Mitochondrial Genome Insights into the Phylogenetics and Biogeographic Evolution of Snow Trout (Cyprinidae, Schizothorax) in the Tien Shan Mountains. Zoosystematics Evol. 2025, 101, 91–102. [Google Scholar] [CrossRef]
- Amirbekova, F.; Isbekov, K.B.; Assylbekova, S.Z.; Sharipova, O.A.; Adyrbekova, K.; Bulavina, N. Biological Characteristics of a Rare and Vulnerable Species (SCHIZOTHORAX ARGENTATUS (Kessler, 1874)) of TOKYRAUYN RIVER and Approbation of Its Artificial Reproduction. Agriculture 2022, 12, 1121. [Google Scholar] [CrossRef]
- IUCN. The IUCN Red List of Threatened Species. Version 2025-1. 2025. Available online: https://www.iucnredlist.org (accessed on 5 May 2025).
- Yan, T.; Hu, J.; Cai, Y.; Xiong, S.; Yang, S.; Wang, X.; He, Z. Otolith Development in Larval and Juvenile Schizothorax davidi: Ontogeny and Growth Increment Characteristics. Chin. J. Oceanol. Limnol. 2017, 35, 1197–1204. [Google Scholar] [CrossRef]
- Sheraliev, B.; Peng, Z. Triplophysa ferganaensis, a New Loach Species from Fergana Valley in Central Asia (Teleostei: Nemacheilidae). J. Fish. Biol. 2021, 99, 807–817. [Google Scholar] [CrossRef] [PubMed]
- Sheraliev, B.; Nazirov, B.; Khalimov, S. Notes on Distribution of Triplophysa ferganaensis Sheraliev & Peng, 2021 (Teleostei: Nemacheilidae). Ecol. Montenegrina 2025, 86, 188–196. [Google Scholar] [CrossRef]
- Rozimov, A.D. Morphometric Features of the Chinese Hook Snout Opsariichthys bidens Günther 1873 (Teleostei: Xenocyprididae) from the Chirchik River. Bull. Khorezm Mamun Acad. 2023, 5, 73–76. [Google Scholar]
- Rozimov, A.; Sheraliev, B. Length-Weight Relationship of Carassius gibelio from the Lower Reaches of the Amu Darya River. Sci. Innov. Int. Conf. Tashkent 2020, 26, 194–197. [Google Scholar]
- Jones, R.E.; Petrell, R.J.; Pauly, D. Using Modified Length–Weight Relationships to Assess the Condition of Fish. Aquac. Eng. 1999, 20, 261–276. [Google Scholar] [CrossRef]
- Nafizi, F.; Naim, M.; Kamel, N.; Pajar, S.; Abdullah, M. Prediction of Fish Weight Based on Length, Height, and Width, [Kuala Lumpur]: University of Kuala Lumpur; 2023. Available online: https://www.researchgate.net/publication/375831066_Prediction_of_Fish_Weight_based_on_Length_Height_and_Width (accessed on 22 July 2025).
- Ullah, A.; Khan, W. Feeding Habits and Diet Composition of Schizothorax plagiostomus in Panjkora River, Malakand Region, Pakistan. Arx. Miscel·Lània Zoològica 2024, 22, 53–65. [Google Scholar] [CrossRef]
- Wang, C.; Yao, N.; Xia, L.; Wang, X.; Song, Y.; Serekbol, G.; Zi, F.; Lin, X.; Yan, J.; Chen, S. Age, Growth and Reproduction of Schizothorax pseudaksaiensis of the Turks River. Water 2023, 15, 4044. [Google Scholar] [CrossRef]
- Rozimov, A.; Li, X.; Karimov, E.; Sheraliev, B.; Wang, C.; Guo, B.; Freyhof, J. Names of Snow Barbels of the Genus Schizothorax in the Aral Sea Basin (Teleostei, Cyprinidae). in preparation.
- Sheraliev, B.; Peng, Z. Molecular Diversity of Uzbekistan’s Fishes Assessed with DNA Barcoding. Sci. Rep. 2021, 11, 16894. [Google Scholar] [CrossRef]
- Sheraliev, B.; Azamov, O.; Rozimov, A.; Kayumova, Y. DNA barcoding reveals broader distribution of Triplophysa ferganaensis Sheraliev & Peng, 2021 (Teleostei: Nemacheilidae) in the Fergana Valley. Acta NUUz 2024, 3/1/1, 172–174. [Google Scholar]
- Strom, A.; Abdrakhmatov, K. Tien Shan. In Rockslides and Rock Avalanches of Central Asia; Elsevier: Amsterdam, The Netherlands, 2018; pp. 117–258. ISBN 978-0-12-803204-6. [Google Scholar]
- Alapfy, B.; Hayes, D.S.; De Keyser, J.; Jorde, K.; Karimov, B.; Kopecki, I.; Verhelst, P. Progress in the Implementation of Sustainable Small Hydro in Central Asia. Int. J. Hydropower Dams. 2025, 32, 35–40. [Google Scholar]
- Froese, R. Cube Law, Condition Factor and Weight-Length Relationships: History, Meta-Analysis and Recommendations. J. Appl. Ichthyol. 2006, 22, 241–253. [Google Scholar] [CrossRef]
- Cren, E.D.L. The Length-Weight Relationship and Seasonal Cycle in Gonad Weight and Condition in the Perch (Perca fluviatilis). J. Anim. Ecol. 1951, 20, 201. [Google Scholar] [CrossRef]
- Sparre, P.; Venema, S.C. Manual. In Introduction to Tropical Fish Stock Assessment, 2nd ed.; Food and Agriculture Organization of the United Nations: Rome, Italy, 1998; ISBN 978-92-5-103996-0. [Google Scholar]
- Karimov, E.; Karimov, B.; Schletterer, M.; Hayes, D. Ichthyological Research in the Koksu River (Uzbekistan) to Identify Key Fish Species in the Context of Small Hydropower Development. Exp. Biol. 2023, 95, 133–141. [Google Scholar] [CrossRef]
- De Keyser, J.; Fuentes, P.O.; Hayes, D.S.; Habersack, H. A Review of Hydropower in Central Asia: Past, Present, and Future. Renew. Sustain. Energy Rev. in review.
- Yousuf, T.; Bakhtiyar, Y.; Andrabi, S.; Wani, G.B. Length-Weight Relationship and Condition Factor of Seven Fish Species in Manasbal Lake, Kashmir, India. Croat. J. Fish. 2023, 81, 13–22. [Google Scholar] [CrossRef]
- Yousuf, T.; Andrabi, S.; Bakhtiyar, Y. Water Quality and Stock Assessment of Schizothorax niger (Alghad Snowtrout) in Manasbal Lake, Kashmir Himalaya. Environ. Monit. Assess. 2024, 197, 54. [Google Scholar] [CrossRef]
- Liu, M.; Xu, W.; Zhu, F.; Duan, X.; Liu, S.; Chen, D. Length–Weight Relationship and Spatiotemporal Distribution Pattern of Three Schizothoracinae Fishes Along the Nujiang River in the Qinghai–Tibetan Plateau, China. Fishes 2024, 9, 465. [Google Scholar] [CrossRef]
- Zargar, U.R.; Khanday, S.A.; Rather, M.I.; Dar, S.A.; Zargar, N.H.; Mir, A.H. Accelerated Eutrophication Alters Fish and Aquatic Health: A Quantitative Assessment by Using Integrative Multimarker, Hydrochemical, and GIS Modelling Method in an Urban Lake. Environ. Monit. Assess. 2024, 196, 40. [Google Scholar] [CrossRef]
- Khan, K.; Zeb, M.; Younas, M.; Sharif, H.M.A.; Yaseen, M.; Al-Sehemi, A.G.; Kavil, Y.N.; Shah, N.S.; Cao, X.; Maryam, A.; et al. Heavy Metals in Five Commonly Consumed Fish Species from River Swat, Pakistan, and Their Implications for Human Health Using Multiple Risk Assessment Approaches. Mar. Pollut. Bull. 2023, 195, 115460. [Google Scholar] [CrossRef] [PubMed]
- Shekhar, C.; Malhotra, Y.R.; Dutta, S. Food and Feeding Habits of Schizothorax richardsonii (Gray and Hard) Inhabiting Neeru Nullah, Bhaderwah, Jammu. J. Indian. Inst. Sci. 2013, 73, 247–251. [Google Scholar]
- Haas, C.; Thumser, P.K.; Hellmair, M.; Pilger, T.J.; Schletterer, M. Monitoring of Fish Migration in Fishways and Rivers—The Infrared Fish Counter “Riverwatcher” as a Suitable Tool for Long-Term Monitoring. Water 2024, 16, 477. [Google Scholar] [CrossRef]
- Al-Abri, S.; Keshvari, S.; Al-Rashdi, K.; Al-Hmouz, R.; Bourdoucen, H. Computer Vision Based Approaches for Fish Monitoring Systems: A Comprehensive Study. Artif. Intell. Rev. 2025, 58, 185. [Google Scholar] [CrossRef]
- Deutscher Verband für Wasserwirtschaft und Kulturbau (DVWK) (Ed.) Fish Passes: Design, Dimensions and Monitoring; Food and Agriculture Organization of the United Nations: Rome, Italy, 2002; ISBN 978-92-5-104894-8. [Google Scholar]
- Leitfaden Zum Bau Von Fischaufstiegshilfen. Available online: https://www.bmluk.gv.at/themen/wasser/gewaesserbewirtschaftung/leitfaeden/leitfaden-zum-bau-von-fischaufstiegshilfen-2021.html (accessed on 25 May 2025).
- Chandra, S.; Ganie, P.A. Fisheries and Aquaculture of Snow Trouts in the Trans-Himalayan Region. In Fisheries and Aquaculture of the Temperate Himalayas; Pandey, P.K., Pandey, N., Akhtar, M.S., Eds.; Springer Nature: Singapore, 2023; pp. 131–150. ISBN 978-981-19-8302-3. [Google Scholar]
- Schmutz, S.; Friedrich, T.; Greimel, F.; Hayes, D.S.; Jungwirth, M.; Muhar, S.; Pinter, K.; Seliger, C.; Unfer, G.; Zeiringer, B. Beitrag einer nachhaltigen Wasserkraft zum Schutz der Fische. WasserWirtschaft 2025, 115, 18–23. [Google Scholar] [CrossRef]
- Jan, K.; Ahmed, I.; Dar, N.A. The Role of Sex, Season and Reproduction Status on Blood Parameters in Snow Trout (Schizothorax labiatus) from River Jhelum, Kashmir, India. Environ. Monit. Assess. 2022, 194, 674. [Google Scholar] [CrossRef]
- Sharma, A.; Dubey, V.K.; Johnson, J.A.; Rawal, Y.K.; Sivakumar, K. Introduced, Invaded and Forgotten: Allopatric and Sympatric Native Snow Trout Life-Histories Indicate Brown Trout Invasion Effects in the Himalayan Hinterlands. Biol. Invasions 2021, 23, 1497–1515. [Google Scholar] [CrossRef]
- Ma, J.; Zhang, R.; Zhao, W.; Zhao, L.; Zhou, M.; Jing, T.; Luo, H. SNP Marker Development and Polymorphism Detection of Schizothorax waltoni. Conserv. Genet. Resour. 2020, 12, 199–203. [Google Scholar] [CrossRef]
- Senfan, K.; Zhijun, J.; Zhimin, L.; Qingsong, L.; Yongmeng, W.; Xiaotao, S.; Zhiying, T. Swimming Ability of Fifteen Target Fish from Eight Hydropower Stations in China. J. Lake Sci. 2022, 34, 1608–1619. [Google Scholar] [CrossRef]
- Wang, H.; Jiang, X.; Liu, K.; Pu, X.; Wang, Y. Swimming Ability of Schizothoracinae Fishes in Yarlung Zangbo River of China. J. Fish. Biol. 2024, 105, 95–109. [Google Scholar] [CrossRef] [PubMed]




| Site ID | River | River Section | Coordinates 1 | Sampled River Length [m] | No. of S. eurycephalus | No. of T. ferganaensis |
|---|---|---|---|---|---|---|
| A1 | Aksu | Upstream (Iordan) | 39.96521, 71.76154 | 900 | 92 | 37 |
| A2 | Aksu | Downstream (near confluence) | 39.98743, 71.80612 | 670 | 48 | 9 |
| K1 | Koksu | Upstream (of waterfall) | 39.967845, 71.830784 | 291 | 2 | 0 |
| K2 | Koksu | Mid-section | 39.982223, 71.810865 | 571 | 10 | 0 |
| K3 | Koksu | Downstream (near confluence) | 39.990531, 71.806553 | 314 | 10 | 9 |
| S1 | Shakhimardan | Downstream of Aksu and Koksu River confluence | 40.007499, 71.792839 | 805 | 12 | 2 |
| Species | Site ID | Ind./100 m | Total Length [mm], Mean (Min–Max) | Weight [g], Mean (Min–Max) | Height [mm], Mean (Min–Max) | Width [mm], Mean (Min–Max) | Fulton’s Condition Factor (K) |
|---|---|---|---|---|---|---|---|
| S. eurycephalus | A1 | 10.2 | 177.5 (91–320) | 76.3 (6–387) | 28.1 (15–56) | 21.9 (10–50) | 1.0 (0.7–1.6) |
| A2 | 7.2 | 205.5 (39–422) | 146.2 (1–839) | 43.5 (21–58) | 36.3 (18–50) | 1.1 (0.6–1.7) | |
| K1 | 1.1 | 238.5 (234–243) | 184.5 (169–200) | 48.0 (45–51) | 38.0 (35–41) | 1.4 (1.3–1.4) | |
| K2 | 3.6 | 182.1 (144–253) | 67.8 (25–158) | 27.0 (19–37) | 21.8 (16–32) | 1.0 (0.8–1.2) | |
| K3 | 3.2 | 211.3 (91–277) | 123.7 (7–255) | 35.8 (15–52) | 30.2 (11–45) | 1.1 (0.9–1.3) | |
| S1 | 1.5 | 257.3 (214–295) | 213.0 (101–346) | 47.2 (37–59) | 38.0 (29–51) | 1.2 (1.0–1.4) | |
| T. ferganaensis | A1 | 4.1 | 117.8 (76–144) | 11.6 (2–19) | 13.0 (9–16) | 13.0 (10–18) | 0.7 (0.5–0.9) |
| A2 | 1.5 | 104.3 (43–143) | 10.8 (1–24) | 15.0 (10–20) | 17.0 (15–20) | 0.8 (0.5–1.3) | |
| K1 | 0 | - | - | - | - | - | |
| K2 | 0 | - | - | - | - | - | |
| K3 | 3.0 | 105.0 (77–129) | 10.2 (4–18) | 13.2 (8–19) | 12.8 (7–19) | 0.8 (0.6–1.1) | |
| S1 | 0.5 | 117.0 (110–124) | 12.5 (8–17) | 14.0 (14–14) | 16.0 (16–16) | 0.7 (0.6–0.9) |
| Species | n | Total Length Range [mm] | Weight Range [g] | a (95% CI) | b (95% CI) | R2 |
|---|---|---|---|---|---|---|
| S. eurycephalus | 174 | 39–422 | 1–839 | 0.007 (0.005–0.008) | 3.130 (3.068–3.192) | 0.98 |
| T. ferganaensis | 57 | 43–144 | 1–24 | 0.011 (0.006–0.019) | 2.815 (2.573–3.057) | 0.91 |
| Species | n | Total Length Range [mm] | Height Range [mm] | a (95% CI) | b (95% CI) | R2 |
|---|---|---|---|---|---|---|
| S. eurycephalus | 88 | 91–325 | 15–59 | 0.119 (0.0945–0.15) | 1.126 (1.049–1.204) | 0.91 |
| T. ferganaensis | 18 | 76–139 | 8–20 | 0.037 (0.008–0.181) | 1.251 (0.914–1.588) | 0.79 |
Disclaimer/Publisher’s Note: The statements, opinions and data contained in all publications are solely those of the individual author(s) and contributor(s) and not of MDPI and/or the editor(s). MDPI and/or the editor(s) disclaim responsibility for any injury to people or property resulting from any ideas, methods, instructions or products referred to in the content. |
© 2025 by the authors. Licensee MDPI, Basel, Switzerland. This article is an open access article distributed under the terms and conditions of the Creative Commons Attribution (CC BY) license (https://creativecommons.org/licenses/by/4.0/).
Share and Cite
Karimov, E.; Omonov, O.; Verhelst, P.; Karimov, B.K.; Schletterer, M.; Hayes, D.S. Contribution to Morphometrics and Ecology of Snow Trout (Schizothorax eurycephalus) and Stone Loach (Triplophysa ferganaensis). Fishes 2025, 10, 377. https://doi.org/10.3390/fishes10080377
Karimov E, Omonov O, Verhelst P, Karimov BK, Schletterer M, Hayes DS. Contribution to Morphometrics and Ecology of Snow Trout (Schizothorax eurycephalus) and Stone Loach (Triplophysa ferganaensis). Fishes. 2025; 10(8):377. https://doi.org/10.3390/fishes10080377
Chicago/Turabian StyleKarimov, Erkin, Otabek Omonov, Pieterjan Verhelst, Bakhtiyor K. Karimov, Martin Schletterer, and Daniel S. Hayes. 2025. "Contribution to Morphometrics and Ecology of Snow Trout (Schizothorax eurycephalus) and Stone Loach (Triplophysa ferganaensis)" Fishes 10, no. 8: 377. https://doi.org/10.3390/fishes10080377
APA StyleKarimov, E., Omonov, O., Verhelst, P., Karimov, B. K., Schletterer, M., & Hayes, D. S. (2025). Contribution to Morphometrics and Ecology of Snow Trout (Schizothorax eurycephalus) and Stone Loach (Triplophysa ferganaensis). Fishes, 10(8), 377. https://doi.org/10.3390/fishes10080377

