Next Article in Journal
Prospects for the Application of Probiotics to Increase the Efficiency of Integrated Cultivation of Aquatic Animals and Plants in Aquaponic Systems
Previous Article in Journal
Stable Isotope Analysis of Two Filter-Feeding Sharks in the Northwestern Pacific Ocean
 
 
Font Type:
Arial Georgia Verdana
Font Size:
Aa Aa Aa
Line Spacing:
Column Width:
Background:
Article

The Effects of Water Flow on the Swimming Behavior of the Large Yellow Croaker (Larimichthys crocea) in a Large Sea Cage

1
School of Fishery, Zhejiang Ocean University, Zhoushan 316022, China
2
College of Marine Living Resource Science and Management, Shanghai Ocean University, Shanghai 201306, China
3
Production and R&D Department, Marine Ranching of Liuheng Co., Ltd., Zhoushan 316131, China
*
Author to whom correspondence should be addressed.
Fishes 2025, 10(6), 250; https://doi.org/10.3390/fishes10060250
Submission received: 17 April 2025 / Revised: 18 May 2025 / Accepted: 23 May 2025 / Published: 26 May 2025
(This article belongs to the Section Fishery Facilities, Equipment, and Information Technology)

Abstract

This study aims to clarify the influence of water flow on the behavior of the large yellow croaker (Larimichthys crocea). Although L. crocea is a key species in marine cage aquaculture, and the industry is increasingly adopting large-scale sea cages, the behavioral adaptations of this species under such conditions remain insufficiently characterized. To solve this problem, the study implemented an ultrasonic biotelemetry system to monitor the in situ swimming behavior of L. crocea across varying current velocities and tidal phases. The results indicated that the tagged fish predominantly occupied water depths of 1 to 2.6 m, with no observable circular swimming behavior along the cage periphery. Additionally, the spatial distribution of L. crocea within the large-scale cage seemed to correlate with the direction of the current. Furthermore, both the frequency of appearance and swimming speed of L. crocea were higher in the center of the cage compared to the peripheral regions during flood and ebb tides, whereas the opposite trend was observed during slack water. This study provides novel insights into the behavioral ecology of L. crocea in large-scale aquaculture systems.
Key Contribution: This study systematically investigated the swimming behavior of L. crocea in a large sea cage, focusing on depth distribution patterns and swimming modes under varying current velocities. Furthermore, this study examined the effects of different tidal phases (flood tide, ebb tide, and slack tide) on the spatial distribution pattern and locomotory behavior of L. crocea.

1. Introduction

The large yellow croaker (Larimichthys crocea) is one of the most economically significant marine aquaculture species in China. It is predominantly distributed along the coastal waters of the East China Sea, with the highest production volumes observed in the Fujian and Zhejiang provinces. Historical overfishing had severely depleted wild stocks of L. crocea, bringing them to the verge of collapse. Advancements in artificial breeding technologies and large-scale aquaculture practices over recent years have spurred a gradual recovery and rapid growth of the industry [1,2,3]. The proportion of L. crocea in China’s total marine fish aquaculture production has been steadily increasing, positioning it as a cornerstone a of China’s marine aquaculture sector. Concurrently, the expansion of aquaculture has heightened technological requirements, particularly regarding the modernization of farming methodologies and the improvement of production efficiency.
Over recent decades, the adaptation of large-scale offshore deep-water cages (hereafter referred to as “large sea cages”) for the aquaculture of L. crocea has increased significantly. This trend is driven by the need to expand farming space and improve rearing environments. In contrast to industrialized aquaculture systems and small-scale inshore cage setups, large sea cages are typically deployed in high-current environments with elevated water exchange rates, which facilitate improved water quality parameters. Among the hydrodynamic variables, current velocity emerges as a critical determinant of fish vitality and health in large sea cages, serving as a key indicator of adaptive capacity. Fluctuations in current velocity can stimulate fish sensory mechanisms, thereby triggering behavioral and locomotory adjustments that ultimately impact feeding efficiency, growth performance, and immune function [4,5,6]. The behavioral responses of fish to current changes are complex. For example, in cage systems, Atlantic salmon (Salmo salar) exhibit transitions from circumferential swimming patterns to rheotactic orientations and aggregated schooling behavior as current velocity increases [7]. Currents also affect swimming stability and threat-response rates [8], reflecting species-specific adaptations to distinct hydrodynamic environments. Empirical evidence further demonstrates that current velocity modulates growth performance, stress responses, and immune parameters in farmed fish [5], suggesting that hydrodynamic conditions act as environmental regulators of the physiological state, thereby governing behavioral phenotypes and adaptive strategies. Surveys with local aquaculturists have documented frequent occurrences of external lesions in cage-cultured L. crocea, particularly on the caudal fins and oral regions, although etiological mechanisms remain undefined. A plausible hypothesis posits that the large current velocity in offshore cage environments may disrupt natural swimming mechanics, leading to excessive crowding or increased physical friction against netting structures—pathways that could precipitate tissue damage. Despite substantial advancements in offshore aquaculture infrastructure, the mechanistic links between current dynamics, fish vitality, and spatial behavior remain poorly characterized—a critical knowledge gap impeding the optimization of cage placement and production sustainability. Previous investigations have predominantly relied upon indoor flume tanks or small-scale cage trials, but these confined systems impose behavioral restrictions and fail to recapitulate the complex hydrodynamic environments of offshore cages, thereby limiting the ecological relevance of observed fish responses. Consequently, there is an imperative for in situ investigations to characterize current-induced effects on L. crocea within large-scale commercial cage systems, providing foundational data for the evidence-based management of open-ocean aquaculture operations.
Compared to land-based recirculating aquaculture systems (RASs) and nearshore small-scale cages, large offshore cages offer significantly expanded rearing volumes. However, conventional monitoring approaches, such as direct visual observation and underwater camera-based techniques face inherent limitations due to restricted visibility ranges, rendering them ineffective for the comprehensive behavioral monitoring of fish swimming dynamics across these vast aquatic environments. Acoustic methodologies have emerged as a robust solution for fish behavior monitoring, leveraging the low attenuation of sound waves in water and their independence from turbidity or photic conditions. Key acoustic methodologies frequently employed in the assessment of fish behavior encompass multibeam sonar, scientific echosounders, and ultrasonic biotelemetry [9,10]. Multibeam sonar enables the detection of large-scale fish school distributions. However, in aquaculture settings characterized by elevated fish densities, signal overlap frequently compromises the acquisition of detailed and valuable data, such as individual swimming velocities and school density. Scientific echosounders enable the monitoring of fish schools within the beam’s purview, thereby supporting the investigation of behavioral traits like vertical migration patterns, spatial distribution, and density fluctuations. Yet, the narrow beam width of scientific echosounders employed for fish tracking imposes significant constraints on the observable volume, presenting challenges for characterizing behavior within large sea cages. Ultrasonic biotelemetry technology utilizes acoustic signal transmitters (pingers), which can be either surgically implanted or attached to study fish [10,11]. This method employs hydrophone arrays to receive transmitted signals and a hyperbolic positioning algorithm to locate tagged fish, thereby enabling precise reconstruction of swimming trajectories [10,12,13]. The ultrasonic biotelemetry system offers distinct advantages over multibeam and echosounder systems by facilitating large-scale, individual-level tracking with high-resolution spatial–temporal data. Contemporary ultrasonic biotelemetry systems are typically configured for multi-target monitoring, using unique coding to distinguish signals from multiple tagged individuals. Additionally, miniaturized systems now incorporate auxiliary sensors (e.g., for temperature and depth measurements) to acquire concurrent environmental data, enhancing the adoption of ultrasonic biotelemetry in fish behavior research. Originally employed for tracking migratory behavior in species like Atlantic salmon (Salmo salar), this technology has recently been increasingly applied to monitor the behavioral patterns of farmed fish within large-scale aquaculture enclosures. Representative applications include evaluating locomotor performance and spatial utilization patterns of Atlantic cod (Gadus morhua) in commercial-scale circular sea cages [14], and the behavioral characterization of Northern whitefish (Coregonus peled) in set nets within Lake Sayram conducted by Liu et al. [12]. Collectively, these studies demonstrate biotelemetry’s preeminence for large-scale aquatic behavior monitoring, combining individual-level resolution with scalable spatial coverage.
To investigate the effects of water flow on the behavior of L. crocea, this study utilized ultrasonic biotelemetry to tag and track L. crocea in a commercial-scale offshore sea-cage system maintained at a low stocking density. The reduced stocking density was intentionally implemented to prevent stress responses associated with overcrowding, thereby allowing for a focused investigation into the effects of water flow on fish behavior. Through in situ three-dimensional tracking experiments, this study characterized the depth distribution and spatial behavioral patterns of the tagged fish, with a specific focus on their behavioral responses to dynamic current conditions. The findings are expected to provide evidence-based insights for optimizing the design and siting of large sea cages for L. crocea production systems.

2. Materials and Methods

2.1. Experiment Location

The experiment was conducted at a commercial L. crocea aquaculture facility managed by Marine Ranching of Liuheng Co., Ltd. in the coastal waters adjacent to Liuheng Island, Zhoushan, Zhejiang Province (29.69° N, 122.22° E). The farming platform comprised 32 large sea cages, each constructed as a square floating structure with dimensions of 21.2 m (length) × 21.2 m (width) × 6 m (depth). A single cage located near the platform’s central management station was selected for experimentation. The site was characterized by favorable water quality and robust tidal currents, with the flow velocity fluctuating depending on the tidal phase. The platform was connected to the onshore power grid, ensuring an uninterrupted electricity supply for the experimental equipment. Preliminary assessments with farm technicians indicated that the selected cage contained approximately 500 individuals. Specimens exhibited a body length ranging from 30 to 45 cm.

2.2. Equipment and Experimental Procedures

This study utilized the FRX-4002 ultrasonic biotelemetry system (Aquasond Inc., Tokyo, Japan), a multi-component apparatus comprising a 4-channel receiver and four hydrophones. A laptop was interfaced with the receiver to enable real-time visualization of the acoustic pinger’s pulse signals and automated data logging for subsequent analysis. The system can simultaneously tag and track up to 32 fish. As is illustrated in Figure 1a, the four hydrophones of the system were strategically positioned at a depth of 1 m below the water surface, mounted at each corner of the cage to form the receiver array. A coordinate system for the receiver array was established, with the geometric centroid of the four hydrophones designated as the origin (0, 0, 0). Individual hydrophone coordinates were defined as follows: H1: (−10.6, −10.6, 1), H2: (−10.6, 10.6, 1), H3: (10.6, 10.6, 1), and H4: (10.6, −10.6, 1). The acoustic transmitter utilized was the Goldcode Pinger (AQPX-1030P, 62.5 kHz, Aquasound Inc., Tokyo, Japan), with an in-water mass of approximately 1.6 g. Preliminary trials demonstrated that the system could reliably detect the pinger’s pulse signals at distances exceeding 100 m, confirming its operational efficacy for the experimental configuration. Before the experiment, a CTD logger was utilized to measure water temperature and salinity at a depth of 2 m to calculate the speed of sound [15], a critical parameter necessary for the underwater positioning of the tagged fish.
On 6–7 November 2024, a total of 7 healthy fish were selected from the experimental cage (Table 1). Under MS-222 anesthesia, acoustic pingers were attached to the posterior part of the first dorsal fin of the L. crocea. The tagged individuals were then transferred to a temporary holding tank and reintroduced into the cage following their full recovery. Fish 1, 2, 6, and 7 were released on the morning of 6 November, with the remaining three tagged individuals being released similarly on the morning of 7 November. The release location is indicated by the rectangle in Figure 1b. Pingers were programmed to emit ultrasonic signals at a fixed interval of 2 s. During the experiment, current velocity was measured at 10:00, 13:00, and 16:00 daily using a SLC9-2DV current meter (Horde electric Inc., Weifang, China) at multiple sampling locations (black dots in Figure 1b). At each site, measurements were recorded at three discrete depth strata: 1 m, 3 m, and 5 m below the water surface. Tidal data (flood tide, ebb tide, and slack water times) for the experimental period were obtained from the Dayu Tidal Table website: https://www.chaoxibiao.net/ (accessed on 23 May 2025) and synchronized with behavioral observations to analyze L. crocea activity patterns under different tidal phases. The experiment concluded on 9 November 2024, with all acoustic signals captured by the biotelemetry system archived for subsequent post-processing analysis.

2.3. Data Analysis

Depth information of the tagged fish was calculated. The calculation principle is as follows: The microprocessor system within the pinger converts the depth data sensed by the pressure sensor into pulse timing information, allowing depth derivation from inter-signal time differences of consecutive transmissions from the same pinger.
Spatial coordinates of the tagged fish were computed using a hyperbolic positioning algorithm. The speed of sound used in the positioning algorithm was 1519.2 m/s, calculated based on an underwater temperature of 21.6 °C and a salinity of 28.7%. The algorithm determines the pinger’s location based on the time differences of the same pulse signals arriving at different receivers, combined with the known spatial coordinates of the receivers [12,16]. Additionally, the swimming velocity of L. crocea was determined from sequential spatial coordinates and their corresponding time intervals, as measured by the ultrasonic biotelemetry system at discrete time points.
All statistical analyses were conducted using IBM SPSS Statistics (Version 27.0.1.0, IBM Corporation, Armonk, NY, USA).

3. Results

3.1. Swimming Depth

Swimming depth distributions of the seven tagged L. crocea recorded between 7 and 8 November are presented in Figure 2. The species preferentially inhabited the upper water column of the cage, with the swimming depth primarily ranging from 1 to 2.6 m. Detailed temporal variations in depth distribution are provided in Figure S1 of the Supplementary Materials.
The temporal variation in swimming depth revealed no distinct diel vertical migration pattern among the tagged fish (Figure S1). Fish1, 4, and 7 exhibited stable depth distributions, predominantly maintaining activities at a 1–2 m water depth without significant vertical movements. In contrast, Fish 2, 3, 5, and 6 displayed more dynamic depth variations, alternating frequently between surface activity and deeper dives, as evidenced by wave-like patterns in their time-depth scatter plots. Notably, all seven tagged individuals occasionally descended to the cage bottom (6 m depth), but consistently returned to shallower strata shortly after.

3.2. Spatial Distribution

Figure 3 illustrates the swimming trajectories of a representative L. crocea individual during morning, midday, and evening periods on 7–8 November. Tracking data revealed highly variable spatial distribution patterns within the cage: the fish exhibited intermittent occupation of expansive areas (e.g., 09:30–10:30 on 7 November) interspersed with localized aggregation in specific zones (e.g., predominant presence in the lower-right quadrant between 15:30 and 16:30 on 8 November).
Consistent behavioral patterns were observed across all tagged individuals (see Figures S2–S8 in Supplementary Materials). Notably, these aggregation zones exhibited a dependence on current direction, with the fish preferentially occupying regions aligned with the current headings (Figure 3).
To assess the effects of tidal phases on the spatial distribution of L. crocea, positioning data were analyzed during 1 h intervals of flood, ebb, and slack tides on 7–8 November. Spatial occurrence frequencies of the seven tagged individuals across different cage zones revealed significant distributional differences (Figure 4).
There was a strong aggregation in the lower-right quadrant (top view) during slack waters, with only 45.2% of positions occurring in the central 50% of the cage on 7 November and 27.6% on 8 November. These values were significantly lower than those observed during both flood and ebb tidal phases (p < 0.05, ANOVA). Broader dispersion was observed during both the flood and ebb phases, with central-zone occupancy rates of 67.8% and 64.7% on 7 November, and 41.3% and 51.3% on 8 November. This suggests that L. crocea can still move freely inside the net cage even under the high current velocity conditions during flood and ebb tidal phases.

3.3. Swimming Speed

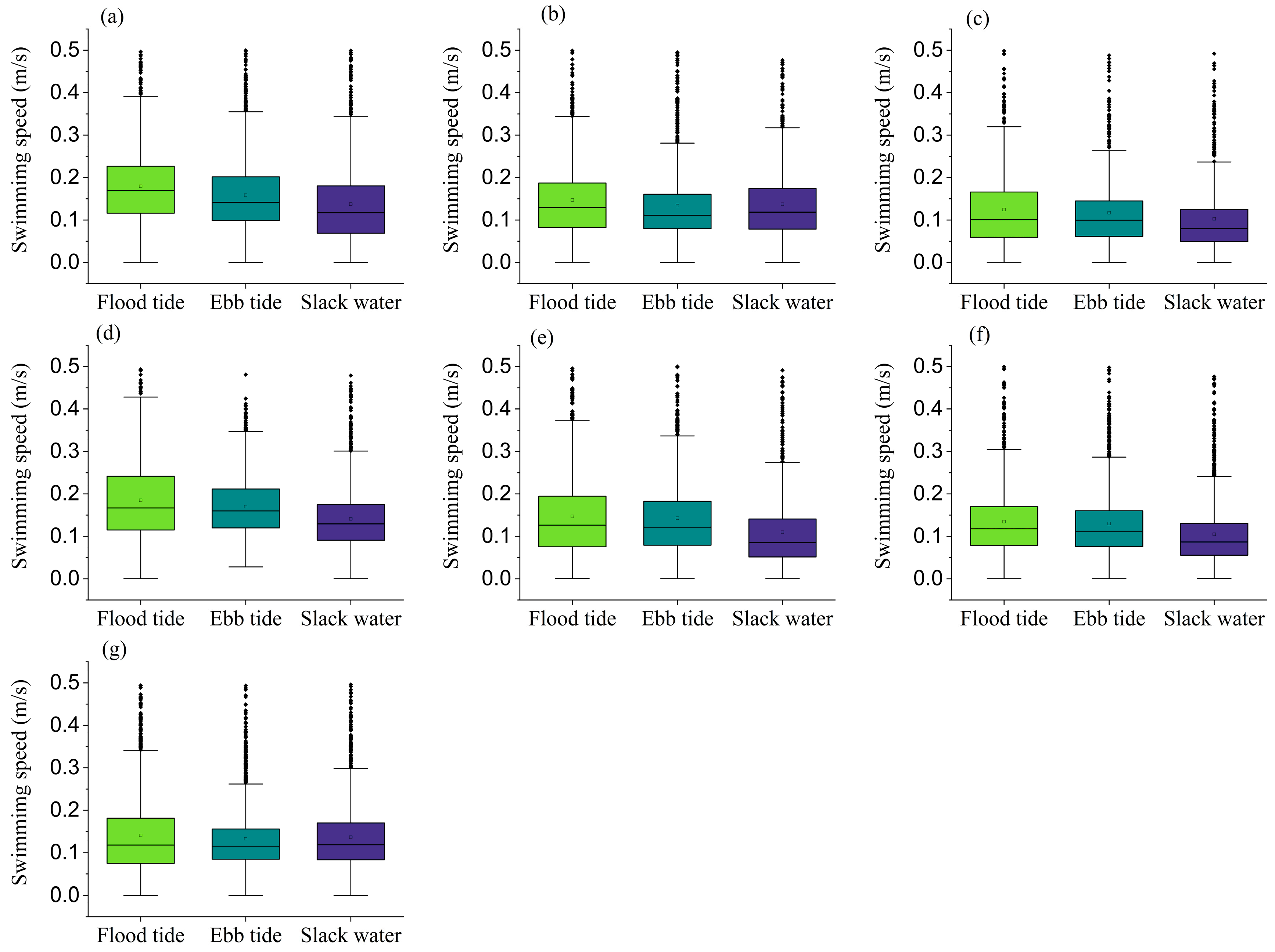
Figure 5 and Figure 6 illustrate the swimming speeds of the seven L. crocea individuals across one-hour intervals during flood, ebb, and slack tides. As is shown in Figure 5, the swimming speeds ranged predominantly between 0.05 and 0.25 m/s. With the exception of Fish 2 and Fish 7, the remaining five individuals displayed significant variations in swimming speed distributions across the tidal phases (p < 0.05, Friedman two-way rank ANOVA). Figure 6 reveals that the mean and median swimming speeds during the flood tide were generally higher than those during the slack tide for most individuals, with ebb tide speeds falling between the two.

4. Discussion

In this study, the spatial distribution behavior of cage-cultured L. crocea was systematically monitored. With regarding to swimming depth, the fish predominantly occupied the upper water volume of the cage (1–2.6 m) throughout the experimental period. Temporal variation in swimming depth revealed no distinct diel vertical migration pattern among the tagged fish (Figure S1). This depth distribution pattern differed from that reported by Song et al. [17]. This discrepancy may stem from two key factors: (1) the smaller body length of the L. crocea in their study (about 31.8 cm) compared to those in this experiment, and (2) seasonal variations in water temperature between the studies, as thermal conditions are known to influence fish vertical distribution. However, the study by Song et al. [17] did not specify water temperature information. According to aquaculture technicians, daily water temperature fluctuations within the same season typically remain within 1 °C. Therefore, future studies should conduct seasonal experiments to further investigate the effects of water temperature on the behavior of L. crocea. Notably, while previous studies have documented diel vertical migration (DVM) in cage-cultured fish such as nighttime deepening behavior observed in gilthead seabream (Sparus aurata) by Muñoz et al. and diurnal vertical shuttling behavior observed in Rockfish (Sebastes ruberrimus) by Sthapit et al. [18]. These patterns contrast with the depth distribution of L. crocea in this study, which may be attributed to light intensity—a known factor influencing fish vertical distribution. The high turbidity and low light penetration in the experimental waters, caused by elevated sediment levels, could explain the observed discrepancies. However, since light intensity was not measured in this trial, this hypothesis remains speculative. Future studies should incorporate concurrent measurements of light intensity and their influence on the depth distribution of L. crocea. Notably, the depth distribution of fish is closely associated with sea-cage utilization efficiency, a critical factor in determining optimal cage depth configuration. The swimming depth distribution data of L. crocea obtained in this study may offer valuable insights for optimizing depth configuration in future sea-cage designs for this species.
In terms of horizontal distribution, L. crocea exhibited predominantly stochastic spatial distributions within the large sea cages. While occasional localized aggregations were observed, such as the lower-right quadrant clustering between 15:30 and 16:30 on 8 November, as illustrated in Figure 3, individuals also displayed whole-cage movement patterns, as seen in their swimming behavior throughout the entire cage space between 09:03 and 10:30 on 7 November (Figure 3). This lack of consistent directional movement contrasts with the circular swimming patterns documented in other cage-cultured species. For instance, Hamano et al. demonstrated that bluefin tuna (Thunnus orientalis) in circular cages typically exhibit persistent perimeter swimming [19], while Anras reported similar edge-circling behavior in cage-cultured rainbow trout (Oncorhynchus mykiss) [20]. Notably, no significant circular swimming pattern was observed in the L. crocea during this study. This behavioral difference may be attributed to cage geometry, as both Hamano et al. and Anras and Lagardère employed circular cages, whereas this study utilized a square configuration. Additionally, the number of L. crocea reared in the large sea cage during this study was approximately 500 individuals, resulting in a relatively low stocking density of 0.19 individuals per cubic meter (ind/m3) compared to commercial systems. The low density was selected to minimize stress responses associated with overcrowding, thereby facilitating unobstructed observation of current-induced behavioral responses in L. crocea. However, the low density may likely contribute to the absence of circular swimming behavior. Previous studies have demonstrated the behavior change of cage-cultured fish with stocking density [21,22]. Consequently, while a lower density reduces stress-induced behavioral responses in L. crocea caused by crowding, it may also potentially affect their natural schooling behavior. Given the influence of stocking density on fish behavior [21,22], future research should systematically examine its effects by establishing controlled density gradients. Such investigations would yield valuable insights to optimize cage aquaculture practices for this species.
To characterize the influence of tidal conditions on the spatial distribution of L. crocea, distribution patterns were analyzed across flood, ebb, and slack tide phases. Notably, the occurrence frequency of L. crocea appearances near the cage edges was significantly higher during slack tides compared to both the flood and ebb phases (Figure 4). Concurrently, swimming speed distributions exhibited higher velocities during both flood and ebb tides than during slack water (Figure 5), indicating that L. crocea exhibit increased activity during tidal currents (flood and ebb tides). The higher current velocities during these periods did not negatively impact their free-swimming behavior. The observed behavioral plasticity has direct implications for optimal site selection in cage aquaculture, particularly concerning hydrodynamic environmental factors. Furthermore, considering that studies quantifying the in situ swimming speeds of L. crocea are remarkably scarce, this study provides the first empirical measurements of free-ranging velocity dynamics in large sea cages. The present study provides pioneering measurements of swimming speed variations in free-ranging individuals under large-sea-cage conditions. These original data represent valuable contributions to the understanding of the species’ locomotor behavior, offering new baseline parameters for future research in aquaculture, ethology, and hydrodynamic modeling. Notably, the present study demonstrates that L. crocea can maintain free-swimming activity even under these high-flow conditions. Considering that current velocities during flood and ebb tides are generally significantly higher than during slack water, the findings in this study suggest that this species is unlikely to cluster densely near cage nets or along enclosure boundaries due to hydrodynamic stress in their natural habitat, thereby reducing the risks of physical injury caused by high-flow conditions. From an ethological perspective, the current hydrodynamic regime in the study area appears to pose no adverse effects on this species. Conversely, existing research indicates that high-flow environments may enhance physiological fitness and improve flesh quality [23,24]. However, the limited velocity gradient resolution in this study precludes the identification of optimal flow conditions for aquaculture applications, warranting further systematic investigation.
It is important to note that this study was conducted with only seven specimens of L. crocea. Although the behavioral characteristics observed in these individuals were comparable, future studies that incorporate a larger number of tagged fish would undoubtedly yield more robust and detailed conclusions.
As a preliminary investigation into the effects of water flow on the swimming behavior of L. crocea in a large-sea-cage environment, this study has delineated its spatial distribution and variations in swimming speed during flood, ebb, and slack tides. However, several knowledge gaps remain: (1) the behavioral responses of the L. crocea to specific flow velocity gradients remain unclear, particularly regarding the critical swimming speed that may influence its free movement within cage environments; (2) the aquaculture cage setting presents a complex interplay of environmental factors; in addition to hydrodynamics, variables such as temperature and stocking density may also modulate swimming behavior [25,26,27,28]. Therefore, future studies should employ more refined experimental designs to disentangle the intricate relationships between the behavior of L. crocea and multiple environmental parameters. Such research will enhance our understanding of optimal aquaculture conditions and species-specific welfare in aquaculture cages [29].

5. Conclusions

The study successfully employed ultrasonic biotelemetry to tag and track L. crocea in a large sea cage, obtaining high-resolution behavioral datasets including swimming depths and movement trajectories. The spatial distribution and swimming characteristics of L. crocea were systematically compared across flood, ebb, and slack tide phases, demonstrating that the tidal flow regimes did not adversely affect free-swimming behavior in this species. These findings provide critical empirical reference information for the design, construction, and site selection of large-scale L. crocea aquaculture systems. Moreover, the study demonstrated a robust capability for monitoring fine-scale movement patterns of L. crocea in large-sea-cage environments using an acoustic biotelemetry system. These findings provide a methodological reference for future applications of this technology to address challenges in large-scale marine sea-cage aquaculture systems and optimize farming efficiency.
Previous studies have established that fish behavior serves as the most direct indicator of welfare status and environmental stress responses, representing a critical metric for evaluating aquaculture environment suitability. However, the conditions within net pens are highly complex, with multiple environmental factors (e.g., light intensity, stocking density, and water temperature) potentially influencing L. crocea behavior. Therefore, more comprehensive studies are needed to elucidate the specific effects of different environmental variables on behavioral patterns.
Prospectively, integrating multi-sensor observation systems represents a promising avenue for enhancing behavioral monitoring capabilities. For instance, combined multibeam sonar with ultrasonic biotelemetry enables the simultaneous tracking and analysis of both individual and school behavioral responses, thereby providing more robust evidence for understanding fish–environment interactions. Such technological integration would significantly advance our ability to optimize aquaculture practices based on species-specific behavioral ecology.

Supplementary Materials

The following supporting information can be downloaded at: https://www.mdpi.com/article/10.3390/fishes10060250/s1, Figure S1: Temporal variations in swimming depth of tagged fish.; Figure S2: The swimming path of a representative specimen (Fish 1) on 8–9 November. Colored arrows indicate current velocities at different depths: blue for 1 m, green for 3 m, and red for 5 m. The direction of the arrows corresponds to the orientation of the current. The black dots represent the position of the receivers; Figure S3: The swimming path of a representative specimen (Fish 2) on 8–9 November. Colored arrows indicate current velocities at different depths: blue for 1 m, green for 3 m, and red for 5 m. The direction of the arrows corresponds to the orientation of the current. The black dots represent the position of the receivers; Figure S4: The swimming path of a representative specimen (Fish 3) on 8–9 November. Colored arrows indicate current velocities at different depths: blue for 1 m, green for 3 m, and red for 5 m. The direction of the arrows corresponds to the orientation of the current. The black dots represent the position of the receivers; Figure S5: The swimming path of a representative specimen (Fish 4) on 8–9 November. Colored arrows indicate current velocities at different depths: blue for 1 m, green for 3 m, and red for 5 m. The direction of the arrows corresponds to the orientation of the current. The black dots represent the position of the receivers; Figure S6: The swimming path of a representative specimen (Fish 5) on 8–9 November. Colored arrows indicate current velocities at different depths: blue for 1 m, green for 3 m, and red for 5 m. The direction of the arrows corresponds to the orientation of the current. The black dots represent the position of the receivers; Figure S7: The swimming path of a representative specimen (Fish 6) on 8–9 November. Colored arrows indicate current velocities at different depths: blue for 1 m, green for 3 m, and red for 5 m. The direction of the arrows corresponds to the orientation of the current. The black dots represent the position of the receivers; Figure S8: The swimming path of a representative specimen (Fish 7) on 8–9 November. Colored arrows indicate current velocities at different depths: blue for 1 m, green for 3 m, and red for 5 m. The direction of the arrows corresponds to the orientation of the current. The black dots represent the position of the receivers.

Author Contributions

Conceptualization, J.L. and Y.T.; methodology, J.L.; software, X.Z. (Xiaorun Zhang); investigation, C.L., X.H., G.X. and X.Z. (Xin Zhuang); resources, C.L., Y.L. and Y.T.; data curation, J.L. and X.H.; writing—original draft preparation, J.L. and X.Z. (Xiaorun Zhang); writing—review and editing, Y.T. and J.L.; visualization, X.Z. (Xiaorun Zhang); supervision, Y.T., and J.L.; project administration, J.L.; funding acquisition, J.L. All authors have read and agreed to the published version of the manuscript.

Funding

This research was funded by the Zhejiang Ocean University Talent Recruitment Research Fund and Haina Program Research Fund.

Institutional Review Board Statement

All procedures involving a fish were conducted in accordance with the guidelines set by the Zhejiang Ocean University Council of Animal Care under the protocol number 2025051.

Data Availability Statement

The data presented in this study are available on reasonable request from the corresponding author.

Acknowledgments

We would like to thank the field staff at Marine Ranching of Liuheng Co., Ltd. for their support in this study.

Conflicts of Interest

Authors Chonghuan Liu and Yonghu Liu were employed by the company Marine Ranching of Liuheng Co., Ltd. The remaining authors declare that the research was conducted in the absence of any commercial or financial relationships that could be construed as a potential conflict of interest.

References

  1. Chen, S.; Su, Y.; Hong, W. Aquaculture of the large yellow croaker. In Aquaculture in China: Success Stories and Modern Trends; John Wiley & Sons: Hoboken, NJ, USA, 2018; pp. 297–308. [Google Scholar]
  2. Dong, S.L.; Dong, Y.W.; Huang, L.Y.; Zhou, Y.G.; Cao, L.; Tian, X.L.; Han, L.M.; Li, D.H. Advancements and hurdles of deeper-offshore aquaculture in China. Rev. Aquac. 2024, 16, 644–655. [Google Scholar] [CrossRef]
  3. Yu, J.; Yan, T. Analyzing industrialization of deep-sea cage mariculture in China: Review and performance. Rev. Fish. Sci. Aquac. 2023, 31, 483–496. [Google Scholar] [CrossRef]
  4. Nadler, L.E.; Killen, S.S.; Domenici, P.; McCormick, M.I. Role of water flow regime in the swimming behaviour and escape performance of a schooling fish. Biol. Open 2018, 7, 031997. [Google Scholar] [CrossRef]
  5. Li, X.; Ji, L.; Wu, L.; Gao, X.; Li, X.; Li, J.; Liu, Y. Effect of flow velocity on the growth, stress and immune responses of turbot (Scophthalmus maximus) in recirculating aquaculture systems. Fish Shellfish. Immunol. 2019, 86, 1169–1176. [Google Scholar] [CrossRef]
  6. Jónsdóttir, K.E.; Hvas, M.; Alfredsen, J.A.; Føre, M.; Alver, M.O.; Bjelland, H.V.; Oppedal, F. Fish welfare based classification method of ocean current speeds at aquaculture sites. Aquac. Environ. Interact. 2019, 11, 249–261. [Google Scholar] [CrossRef]
  7. Johansson, D.; Laursen, F.; Fernö, A.; Fosseidengen, J.E.; Klebert, P.; Stien, L.H.; Vågseth, T.; Oppedal, F. The interaction between water currents and salmon swimming behaviour in sea cages. PLoS ONE 2014, 9, e97635. [Google Scholar] [CrossRef] [PubMed]
  8. Chicoli, A.; Butail, S.; Lun, Y.; Bak-Coleman, J.; Coombs, S.; Paley, D.A. The effects of flow on schooling Devario aequipinnatus: School structure, startle response and information transmission. J. Fish Biol. 2014, 84, 1401–1421. [Google Scholar] [CrossRef]
  9. Jacoby, D.M.P.; Piper, A.T. What acoustic telemetry can and cannot tell us about fish biology. J. Fish Biol. 2023. [Google Scholar] [CrossRef]
  10. Simmonds, J.; MacLennan, D.N. Fisheries Acoustics: Theory and Practice; John Wiley & Sons: Hoboken, NJ, USA, 2008. [Google Scholar]
  11. Muñoz, L.; Aspillaga, E.; Palmer, M.; Saraiva, J.L.; Arechavala-Lopez, P. Acoustic telemetry: A tool to monitor fish swimming behavior in sea-cage aquaculture. Front. Mar. Sci. 2020, 7, 645. [Google Scholar] [CrossRef]
  12. Liu, J.; Uchida, K.; Yin, L.; Tang, Y.; Miyamoto, Y.; Xing, B. Study on the Behavior of Peled (Coregonus Peled) Around a Set Net by Ultrasonic Biotelemetry System in a Plateau Lake, China. J. Mar. Sci. Technol. 2021, 29, 7. [Google Scholar] [CrossRef]
  13. Macaulay, G.; Warren-Myers, F.; Barrett, L.T.; Oppedal, F.; Føre, M.; Dempster, T. Tag use to monitor fish behaviour in aquaculture: A review of benefits, problems and solutions. Rev. Aquac. 2021, 13, 1565–1582. [Google Scholar] [CrossRef]
  14. Rillahan, C.; Chambers, M.; Howell, W.H.; Watson Iii, W.H. A self-contained system for observing and quantifying the behavior of Atlantic cod, Gadus morhua, in an offshore aquaculture cage. Aquaculture 2009, 293, 49–56. [Google Scholar] [CrossRef]
  15. Mackenzie, K.V. Nine-term equation for sound speed in the oceans. J. Acoust. Soc. Am. 1981, 70, 807–812. [Google Scholar] [CrossRef]
  16. Stockton, T.R.; McLennan, M.W. Acoustic position measurement, an overview. In Proceedings of the Offshore Technology Conference, Houston, TX, USA, 5–8 May 1975; p. 2172. [Google Scholar]
  17. Song, W.; Yin, L.; Chen, X.; Li, L.; Guo, Q.; Ma, L.; Wang, L. On behavioral characteristics of Larimichthys crocea by ultrasound pinger system of fence farming in shallow sea. Mar. Fish. 2020, 44, 79–84. (In Chinese) [Google Scholar]
  18. Sthapit, P.; Kim, M.; Kim, K. A Method to Accurately Estimate Fish Abundance in Offshore Cages. Appl. Sci. 2020, 10, 3720. [Google Scholar] [CrossRef]
  19. Hamano, A.; Sasakura, T.; Namari, S.; Sakakibara, N.; Ito, S.; Kodera, K.; Nomura, T.; Watanabe, K.; Nose, M.; Inai, K. Development of a new monitoring methodology for counting bluefin tuna in net pens. In Proceedings of the 2018 OCEANS—MTS/IEEE Kobe Techno-Oceans (OTO), Kobe, Japan, 28–31 May 2018; pp. 1–5. [Google Scholar]
  20. Anras, M.-L.B.; Lagardère, J.P. Measuring cultured fish swimming behaviour: First results on rainbow trout using acoustic telemetry in tanks. Aquaculture 2004, 240, 175–186. [Google Scholar] [CrossRef]
  21. Ward, D.; Føre, M.; Howell, W.H.; Watson, W. The influence of stocking density on the swimming behavior of adult Atlantic cod, Gadus morhua, in a near shore net pen. J. World Aquac. Soc. 2012, 43, 621–634. [Google Scholar] [CrossRef]
  22. Trenzado, C.E.; Morales, A.E.; de la Higuera, M. Physiological effects of crowding in rainbow trout, Oncorhynchus mykiss, selected for low and high stress responsiveness. Aquaculture 2006, 258, 583–593. [Google Scholar] [CrossRef]
  23. Daskalova, A. Farmed fish welfare: Stress, post-mortem muscle metabolism, and stress-related meat quality changes. Int. Aquat. Res. 2019, 11, 113–124. [Google Scholar] [CrossRef]
  24. Wang, L.; Wang, L.; Liu, C.; Feng, D.; Huang, J.; Jin, Z.; Ma, F.; Xu, J.; Xu, Y.; Zhang, M. Effects of water flow treatment on muscle quality, nutrient composition and volatile compounds in common carp (Cyprinus carpio). Food Chem. X 2025, 26, 102257. [Google Scholar] [CrossRef]
  25. Arechavala-Lopez, P.; Cabrera-Álvarez, M.J.; Maia, C.M.; Saraiva, J.L. Environmental enrichment in fish aquaculture: A review of fundamental and practical aspects. Rev. Aquac. 2022, 14, 704–728. [Google Scholar] [CrossRef]
  26. Brijs, J.; Føre, M.; Gräns, A.; Clark, T.D.; Axelsson, M.; Johansen, J.L. Bio-sensing technologies in aquaculture: How remote monitoring can bring us closer to our farm animals. Philos. Trans. R. Soc. B 2021, 376, 20200218. [Google Scholar] [CrossRef] [PubMed]
  27. Oppedal, F.; Dempster, T.; Stien, L.H. Environmental drivers of Atlantic salmon behaviour in sea-cages: A review. Aquaculture 2011, 311, 1–18. [Google Scholar] [CrossRef]
  28. Bartolini, T.; Butail, S.; Porfiri, M. Temperature influences sociality and activity of freshwater fish. Environ. Biol. Fishes 2015, 98, 825–832. [Google Scholar] [CrossRef]
  29. Macaulay, G.; Bui, S.; Oppedal, F.; Dempster, T. Challenges and benefits of applying fish behaviour to improve production and welfare in industrial aquaculture. Rev. Aquac. 2021, 13, 934–948. [Google Scholar] [CrossRef]
Figure 1. Schematic diagram of the ultrasonic biotelemetry system setup. (a) Configuration of the ultrasonic biotelemetry system and hydrophone array; (b) locations of current measurement points (indicated by black dots) and fish release sites (indicated by a small rectangle).
Figure 1. Schematic diagram of the ultrasonic biotelemetry system setup. (a) Configuration of the ultrasonic biotelemetry system and hydrophone array; (b) locations of current measurement points (indicated by black dots) and fish release sites (indicated by a small rectangle).
Fishes 10 00250 g001
Figure 2. The swimming depth distribution of the seven tagged fish during 7–8 November. The horizontal line within each box represents the median value, while the small square symbol denotes the mean value.
Figure 2. The swimming depth distribution of the seven tagged fish during 7–8 November. The horizontal line within each box represents the median value, while the small square symbol denotes the mean value.
Fishes 10 00250 g002
Figure 3. The swimming path of a representative specimen (Fish 2) on 8–9 November. Colored arrows indicate current velocities at different depths: blue for 1 m, green for 3 m, and red for 5 m. The direction of the arrows corresponds to the orientation of the current. The black dots represent the position of the receivers.
Figure 3. The swimming path of a representative specimen (Fish 2) on 8–9 November. Colored arrows indicate current velocities at different depths: blue for 1 m, green for 3 m, and red for 5 m. The direction of the arrows corresponds to the orientation of the current. The black dots represent the position of the receivers.
Fishes 10 00250 g003
Figure 4. Heatmaps illustrating the appearing frequency distributions of seven L. crocea under different tidal conditions. The small white square divides the net-pen area into two equal zones: the inner square (50% of total area) and the outer periphery. The percentages indicate the ratios of appearing between these zones.
Figure 4. Heatmaps illustrating the appearing frequency distributions of seven L. crocea under different tidal conditions. The small white square divides the net-pen area into two equal zones: the inner square (50% of total area) and the outer periphery. The percentages indicate the ratios of appearing between these zones.
Fishes 10 00250 g004
Figure 5. The swimming speed distribution of seven L. crocea individuals during flood tide, ebb tide, and slack water within one-hour periods on 7 and 8 November. Labels (ag) corresponding to the identification numbers of the seven tagged fish.
Figure 5. The swimming speed distribution of seven L. crocea individuals during flood tide, ebb tide, and slack water within one-hour periods on 7 and 8 November. Labels (ag) corresponding to the identification numbers of the seven tagged fish.
Fishes 10 00250 g005
Figure 6. Swimming speed variations of seven L. crocea individuals across different tidal phases (flood tide, ebb tide, and slack water) during one-hour observation periods on 7 and 8 November. (a) Mean swimming speed; (b) median swimming speed.
Figure 6. Swimming speed variations of seven L. crocea individuals across different tidal phases (flood tide, ebb tide, and slack water) during one-hour observation periods on 7 and 8 November. (a) Mean swimming speed; (b) median swimming speed.
Fishes 10 00250 g006
Table 1. Body length and weight information for the seven tagged fish utilized in this study.
Table 1. Body length and weight information for the seven tagged fish utilized in this study.
Specimen No.Body Length (cm)Weight (kg)Release Date
Fish 1320.486 November 2024
Fish 232.50.456 November 2024
Fish 3330.497 November 2024
Fish 4340.537 November 2024
Fish 5360.487 November 2024
Fish 6370.736 November 2024
Fish 7420.906 November 2024
Disclaimer/Publisher’s Note: The statements, opinions and data contained in all publications are solely those of the individual author(s) and contributor(s) and not of MDPI and/or the editor(s). MDPI and/or the editor(s) disclaim responsibility for any injury to people or property resulting from any ideas, methods, instructions or products referred to in the content.

Share and Cite

MDPI and ACS Style

Zhang, X.; Tang, Y.; Hu, X.; Liu, C.; Liu, Y.; Zhuang, X.; Xu, G.; Liu, J. The Effects of Water Flow on the Swimming Behavior of the Large Yellow Croaker (Larimichthys crocea) in a Large Sea Cage. Fishes 2025, 10, 250. https://doi.org/10.3390/fishes10060250

AMA Style

Zhang X, Tang Y, Hu X, Liu C, Liu Y, Zhuang X, Xu G, Liu J. The Effects of Water Flow on the Swimming Behavior of the Large Yellow Croaker (Larimichthys crocea) in a Large Sea Cage. Fishes. 2025; 10(6):250. https://doi.org/10.3390/fishes10060250

Chicago/Turabian Style

Zhang, Xiaorun, Yong Tang, Xinyi Hu, Chonghuan Liu, Yonghu Liu, Xin Zhuang, Guang Xu, and Jing Liu. 2025. "The Effects of Water Flow on the Swimming Behavior of the Large Yellow Croaker (Larimichthys crocea) in a Large Sea Cage" Fishes 10, no. 6: 250. https://doi.org/10.3390/fishes10060250

APA Style

Zhang, X., Tang, Y., Hu, X., Liu, C., Liu, Y., Zhuang, X., Xu, G., & Liu, J. (2025). The Effects of Water Flow on the Swimming Behavior of the Large Yellow Croaker (Larimichthys crocea) in a Large Sea Cage. Fishes, 10(6), 250. https://doi.org/10.3390/fishes10060250

Article Metrics

Back to TopTop