Spawning Habitat Partitioning of Sympatric Salmonid Populations in the Upper Bois Brule River, Wisconsin †
Abstract
1. Introduction
2. Materials and Methods
2.1. Study Site
2.2. Redd Surveys: Redd Mapping and Covariates Measurement
2.3. Data Analysis—Spawning Redd Locations
2.4. Data Analysis—Spawning Habitat Partitioning Among Species
3. Results
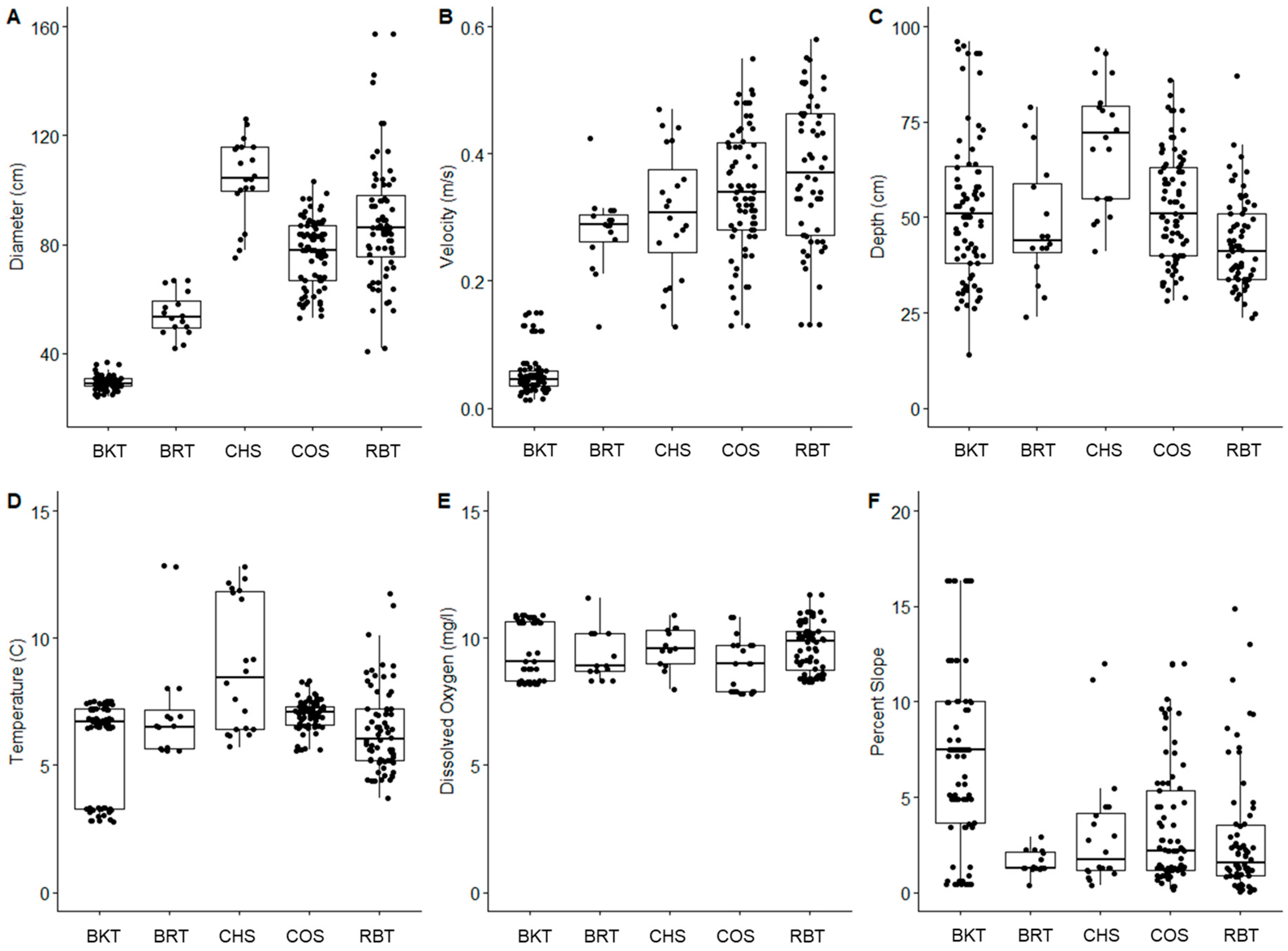
3.1. Redd Mapping and Covariates Measurement
3.2. Spawning Redd Locations
3.3. Spawning Habitat Partitioning Among Species
4. Discussion
5. Conclusions
Author Contributions
Funding
Data Availability Statement
Acknowledgments
Conflicts of Interest
Appendix A


Appendix B

Appendix C

Appendix D

References
- Pess, G.R.; Quinn, T.P.; Schindler, D.E.; Lierman, M.C. Freshwater habitat associations between pink (Oncorhynchus gorbuscha), chum (O. keta) and Chinook salmon (O. tshawytscha) in a watershed dominated by sockeye salmon (O. nerka) abundance. Ecol. Freshw. Fish 2014, 23, 360–372. [Google Scholar] [CrossRef]
- Sass, G.G.; Rypel, A.L.; Stafford, J.D. Inland fisheries habitat management: Lessons learned from wildlife ecology and a proposal for change. Fisheries 2017, 42, 197–209. [Google Scholar] [CrossRef]
- Hrabik, T.R.; Magnuson, J.J.; McLain, A.S. Predicting the effects of rainbow smelt on native fishes in small lakes: Evidence from long-term research on two lakes. Can. J. Fish. Aquat. Sci. 1998, 55, 1364–1371. [Google Scholar] [CrossRef]
- Sass, G.G.; Kitchell, J.F.; Carpenter, S.R.; Hrabik, T.R.; Marburg, A.E.; Turner, M.G. Fish community and food web responses to a whole-lake removal of coarse woody habitat. Fisheries 2006, 31, 321–330. [Google Scholar] [CrossRef]
- Gaeta, J.W.; Sass, G.G.; Carpenter, S.R. Drought-driven lake level decline: Effects on coarse woody habitat and fishes. Can. J. Fish. Aquat. Sci. 2014, 71, 315–325. [Google Scholar] [CrossRef]
- Hansen, G.J.; Read, J.S.; Hansen, J.F.; Winslow, L.A. Projected shifts in fish species dominance in Wisconsin lakes under climate change. Glob. Change Biol. 2017, 23, 1463–1476. [Google Scholar] [CrossRef] [PubMed]
- Mrnak, J.T.; Sikora, L.W.; Vander Zanden, M.J.; Sass, G.G. Applying panarchy theory to aquatic invasive species management: A case study on invasive rainbow smelt Osmerus mordax. Rev. Fish. Sci. Aquac. 2023, 31, 66–85. [Google Scholar] [CrossRef]
- Perales, K.M.; Vander Zanden, M.J. Lakeshore residential development as a driver of aquatic habitat and littoral fish communities: A cross-system study. Ecol. Appl. 2023, 33, e2896. [Google Scholar] [CrossRef] [PubMed]
- Danner, G.R. Salmonid Embyro Development and Pathology; American Fisheries Society: Bethesda, MD, USA, 2008. [Google Scholar]
- Fukushima, M.; Smoker, W.W. Spawning Habitat Segregation of Sympatric Sockeye and Pink Salmon. Trans. Am. Fish. Soc. 1998, 127, 253–260. [Google Scholar] [CrossRef]
- Torterotot, J.; Perrier, C.; Bergeron, N.; Bernatchez, L. Influence of Forest Road Culverts and Waterfalls on the Fine-Scale Distribution of Brook Trout Genetic Diversity in a Boreal Watershed. Trans. Am. Fish. Soc. 2014, 1436, 1577–1591. [Google Scholar] [CrossRef]
- Suttle, K.B.; Power, M.E.; Levine, J.M.; McNeely, C. How Fine Sediment in Riverbeds Impairs Growth and Survival of Juvenile Salmonids. Ecol. Appl. 2004, 14, 969–974. [Google Scholar] [CrossRef]
- Beechie, T.; Bolton, S. An approach to restoring salmonid habitat-forming processes in Pacific Northwest watersheds. Fisheries 1999, 24, 6–15. [Google Scholar] [CrossRef]
- Whiteway, S.L.; Biron, P.M.; Zimmermann, A.; Venter, O.; Grant, J.W.A. Do in-stream restoration structures enhance salmonid abundance? A meta-analysis. Can. J. Fish. Aquat. Sci. 2010, 67, 831–841. [Google Scholar] [CrossRef]
- White, R.J. Guidelines for Management of Trout Stream Habitat in Wisconsin; Technical Bulletin No. 39; Wisconsin Department of Natural Resources: Madison, WI, USA, 1967; Available online: https://search.library.wisc.edu/digital/A2XWREJMD2T5BH8N (accessed on 5 September 2025).
- Taylor, J.J.; Rytwinski, T.; Bennett, J.R.; Smokorowski, K.E.; Lapointe, N.W.R.; Janusz, R.; Clarke, K.; Tonn, B.; Walsh, J.C.; Cooke, S.J. The effectiveness of spawning habitat creation or enhancement for substrate-spawning temperate fish: A systematic review. Environ. Evid 2019, 8, 19. [Google Scholar] [CrossRef]
- Gallagher, S.; Hann, P.; Johnson, D. Redd Counts. In Salmonid Field Protocols Handbook: Techniques for Assessing Status and Trends in Salmon and Trout Populations; American Fisheries Society: Bethesda, MD, USA, 2007; pp. 197–234. [Google Scholar]
- Sternecker, K.; Denic, M.; Geist, J. Timing matters: Species-specific interactions between spawning time, substrate quality, and recruitment success in three salmonid species. Ecol. Evol. 2014, 4, 2749–2758. [Google Scholar] [CrossRef]
- Jacobs, G.R.; Thurow, R.F.; Buffington, J.M.; Isaak, D.J.; Wenger, S.J. Climate, Fire Regime, Geomorphology, and Conspecifics Influence the Spatial Distribution of Chinook Salmon Redds. Trans. Am. Fish. Soc. 2021, 150, 8–23. [Google Scholar] [CrossRef]
- Briggs, M.A.; Harvey, J.W.; Hurley, S.T.; Rosenberry, D.O.; McCobb, T.; Werkema, D.; Lane, J.W., Jr. Hydrogeochemical controls on brook trout spawning habitats in a coastal stream. Hydrol. Earth Syst. Sci. 2018, 22, 6383–6398. [Google Scholar] [CrossRef]
- Gallagher, S.P.; Gallagher, C.M. Discrimination of Chinook Salmon, Coho Salmon, and Steelhead Redds and Evaluation of the Use of Redd Data for Estimating Escapement in Several Unregulated Streams in Northern California. N. Am. J. Fish. Manag. 2005, 25, 284–300. [Google Scholar] [CrossRef]
- Isaak, D.J.; Thurow, R.F.; Rieman, B.E.; Dunham, J.B. Chinook Salmon Use of Spawning Patches: Relative Roles of Habitat Quality, Size, and Connectivity. Ecol. Appl. 2007, 17, 352–364. [Google Scholar] [CrossRef]
- Curry, R.; Noakes, D. Groundwater and the selection of spawning sites by brook trout (Salvelinus fontinalis). Can. J. Fish. Aquat. Sci. 1995, 52, 1733–1740. [Google Scholar] [CrossRef]
- Brabrand, Å.; Koestler, A.; Borgstrøm, R. Lake spawning of brown trout related to groundwater influx. J. Fish Biol. 2005, 60, 751–763. [Google Scholar] [CrossRef]
- McNeil, W.J. Redd superimposition and egg capacity of pink salmon spawning beds. J. Fish. Res. Board Can. 1964, 21, 1385–1396. [Google Scholar] [CrossRef]
- Sorensen, P.W.; Cardwell, J.R.; Essington, T.; Weigel, D.E. Reproductive interactions between sympatric brook and brown trout in a small Minnesota stream. Can. J. Fish. Aquat. Sci. 1995, 52, 1958–1965. [Google Scholar] [CrossRef]
- Landergren, P. Spawning of anadromous rainbow trout, Oncorhynchus mykiss (Walbaum): A threat to sea trout, Salmo trutta L.; populations? Fish. Res. 1999, 40, 55–63. [Google Scholar] [CrossRef]
- Taniguchi, Y.; Miyake, Y.; Saito, T.; Urabe, H.; Nakano, S. Redd superimposition by introduced rainbow trout, Oncorhynchus mykiss, on native charrs in a japanese stream. Ichthyol. Res. 2000, 47, 149–156. [Google Scholar] [CrossRef]
- O’Donnell, D.J.; Churchill, W.S. Certain physical, chemical and biological aspects of the Brule River, Douglas County, Wisconsin. Brule River Survey Report No. 11. Trans. Wis. Acad. Sci. Arts Lett. 1954, 43, 201–245. [Google Scholar]
- Lawrie, A.H.; Rahrer, J.F. Lake Superior: Effects of Exploitation and Introductions on the Salmonid Community. J. Fish. Res. Board Can. 1972, 29, 765–776. [Google Scholar] [CrossRef]
- Bronte, C.; Ebener, M.; Schreiner, D.; DeVault, D.; Petzold, M.; Jensen, D.; Richards, C.; Lozano, S. Fish community change in Lake Superior, 1970–2000. Can. J. Fish. Aquat. Sci. 2003, 60, 1552–1574. [Google Scholar] [CrossRef]
- Gunderson, J.; Kreag, G. Estimated Economic Impact of Recreational Fishing on Minnesota Waters of Lake Superior. 1992. Available online: https://repository.library.noaa.gov/view/noaa/38843 (accessed on 15 April 2023).
- Poe, G.L.; Lauber, T.B.; Connelly, N.A.; Creamer, S.; Ready, R.C.; Stedman, R.C. Net Benefits of Recreational Fishing in the Great Lakes Basin: A Review of the Literature; HDRU Series No 13-10; Department of Natural Resources, New York State College of Agriculture and Life Sciences, Cornell University: Ithaca, NY, USA, 2013; 79p, Available online: https://ecommons.cornell.edu/server/api/core/bitstreams/b66b0524-fe23-4358-8a60-d08760d5b2b1/content (accessed on 15 April 2023).
- Wisconsin Department of Natural Resources. Wisconsin Lake Superior Management Plan. 2020. Available online: https://widnr.widen.net/s/wtwwsnnqqr (accessed on 15 April 2023).
- Schreiner, D.R.; Cullis, K.I.; Donofrio, M.C.; Fischer, G.J.; Hewitt, L.; Mumford, K.G.; Pratt, D.M.; Quinlan, H.R.; Scott, S. Management Perspectives on Coaster Brook Trout Rehabilitation in the Lake Superior Basin. N. Am. J. Fish. Manag. 2008, 28, 1350–1364. [Google Scholar] [CrossRef]
- Trout Unlimited. Conservation Success Index: Great Lakes Brook Trout. 2011. Available online: https://www.tu.org/wp-content/uploads/2020/01/GreatLakes_BrookTrout.pdf (accessed on 15 April 2023).
- Wisconsin Department of Natural Resources. Fishing the Brule River. 2022. Available online: https://dnr.wisconsin.gov/topic/Fishing/lakesuperior/boisbrulefishing.html (accessed on 15 April 2023).
- DuBois, R.; Pratt, D. History of the fishes of the Brule River system, Wisconsin, with emphasis on the salmonids and their management. Trans. Wis. Acad. Sci. Arts Lett. 1994, 82, 33–71. [Google Scholar]
- Piszczek, P.; (Wisconsin Department of Natural Resources, Superior, WI, USA). Personal communication, 2022.
- Niemuth, W. A Study of Migratory Lake-Run Trout in the Brule River, Wisconsin, Part I: Brown Trout; Wisconsin Department of Natural Resources, Fish Management: Madison, WI, USA, 1967; Report No. 12. [Google Scholar]
- Niemuth, W. A Study of Migratory Lake-Run Trout in the Brule River, Wisconsin, Part II: Rainbow Trout; Wisconsin Department of Natural Resources, Fish Management: Madison, WI, USA, 1970; Report No. 38. [Google Scholar]
- Hrabik, T.; (University of Minnesota-Duluth, Duluth, MN, USA). Personal communication, 2023.
- Terry, J.P.; Goff, J. Megaclasts: Proposed Revised Nomenclature At the Coarse End of the Udden-Wentworth Grain-Size Scale for Sedimentary Particles. J. Sediment. Res. 2014, 84, 192–197. [Google Scholar] [CrossRef]
- Wisconsin Department of Natural Resources. Wiscland 2 Land Cover Data. 2016. Available online: https://p.widencdn.net/8ghipa/Wiscland_2_User_Guide_September_2016 (accessed on 15 April 2023).
- US Geological Survey. 3D Elevation Program- 1/3 Arc Second Resolution Digital Elevation Model. 2022. Available online: https://data.usgs.gov/datacatalog/data/USGS:3a81321b-c153-416f-98b7-cc8e5f0e17c3 (accessed on 15 April 2023).
- ESRI. ArcGIS Pro: 3.1; Environmental Systems Research Institute: Redlands, CA, USA, 2023. [Google Scholar]
- Forsythe, W.C.; Rykiel, E.J., Jr.; Stahl, R.S.; Wu, H.; Schoolfield, R.M. A model comparison for photoperiod as a function of latitude and day of the year. Ecol. Model. 1995, 80, 87–95. [Google Scholar] [CrossRef]
- R Core Team. R: A Language and Environment for Statistical Computing; R Foundation for Statistical Computing: Vienna, Austria, 2023. [Google Scholar]
- Wentworth, C.K. A Scale of Grade and Class Terms for Clastic Sediments. J. Geol. 1922, 30, 377–392. [Google Scholar] [CrossRef]
- McKnight, P.E.; Najab, J. Kruskal-Wallis Test. In The Corsini Encyclopedia of Psychology; Weiner, I.B., Craighead, W.E., Eds.; John Wiley & Sons, Inc.: Hoboken, NJ, USA, 2010. [Google Scholar] [CrossRef]
- Dinno, A. Nonparametric pairwise multiple comparisons in independent groups using Dunn’s test. Stata J. 2015, 15, 292–300. [Google Scholar] [CrossRef]
- Strobl, C.; Boulesteix, A.-L.; Kneib, T.; Augustin, T.; Zeileis, A. Conditional variable importance for random forests. BMC Bioinform. 2008, 9, 307. [Google Scholar] [CrossRef] [PubMed]
- Levshina, N. Conditional inference trees and random forests. In Practical Handbook of Corpus Linguistics; Paquot, M., Gries, T., Eds.; Springer: New York, NY, USA, 2021; pp. 611–643. [Google Scholar]
- Steinberg, D. Chapter 10: CART: Classification and Regression Trees. In The Top Ten Algorithms in Data Mining; Wu, X., Kumar, V., Eds.; Chapman and Hall/CRC: New York, NY, USA, 2009; pp. 179–197. [Google Scholar]
- Breiman, L. Random Forests. Mach. Learn. 2001, 45, 5–32. [Google Scholar] [CrossRef]
- Cutler, D.R.; Edwards, T.C.; Beard, K.H., Jr.; Cutler, A.; Hess, K.T.; Gibson, J.; Lawler, J.J. Random Forests For Classification in Ecology. Ecology 2007, 88, 2783–2792. [Google Scholar] [CrossRef]
- Hothorn, T.; Zeileis, A. partykit: A Modular Toolkit for Recursive Partytioning in R. J. Mach. Learn. Res. 2015, 16, 3905–3909. [Google Scholar]
- Hothorn, T.; Hornik, K.; Zeileis, A. Unbiased Recursive Partitioning: A Conditional Inference Framework. J. Comput. Graph. Stat. 2006, 15, 651–674. [Google Scholar] [CrossRef]
- Duffy, W.G. Protocols for Monitoring the Response of Anadromous Salmon and Steelhead to Watershed Restoration in California; California Cooperative Fish Research Unit, Humboldt State University: Arcata, CA, USA, 2005. [Google Scholar]
- Johnson, J.H.; Nack, C.C.; McKenna, J.E. Migratory salmonid redd habitat characteristics in the Salmon River, New York. J. Great Lakes Res. 2010, 36, 387–392. [Google Scholar] [CrossRef]
- Bjornn, T.C.; Reiser, D.W. Habitat requirements of salmonids in streams. In Influences of Forest and Rangeland Management on Salmonid Fishes and Their Habitats; Special Publication 19; Meehan, W.R., Ed.; American Fisheries Society: Bethesda, MD, USA, 1991; pp. 83–138. [Google Scholar]
- Greeley, J. The Spawning Habits of Brook, Brown, and Rainbow Trout and The Problem of Egg Predators. Institute of Fisheries Research, University of Michigan. 1932. Available online: https://deepblue.lib.umich.edu/bitstream/handle/2027.42/141891/tafs0239.pdf?sequence=1 (accessed on 15 April 2023).
- Witzel, L.D.; Maccrimmon, H.R. Redd-Site Selection by Brook Trout and Brown Trout in Southwestern Ontario Streams. Trans. Am. Fish. Soc. 1983, 112, 760–771. [Google Scholar] [CrossRef]
- Workman, R.D.; Hayes, D.B.; Coon, T.G. Spawning Habitat Selection by Rainbow Trout in the Pere Marquette River, Michigan. J. Great Lakes Res. 2004, 30, 397–406. [Google Scholar] [CrossRef]
- Armstrong, J.B.; Takimoto, G.; Schindler, D.E.; Hayes, M.M.; Kauffman, M.J. Resource waves: Phenological diversity enhances foraging opportunities for mobile consumers. Ecology 2016, 97, 1099–1112. [Google Scholar] [CrossRef] [PubMed]
- Curry, R.A.; van de Sande, J.; Whoriskey, F.G., Jr. Temporal and spatial habitats of anadromous brook charr in the Laval River and its estuary. Environ. Biol. Fishes 2006, 76, 361–370. [Google Scholar] [CrossRef]
- Jardine, T.D.; Cartwright, D.F.; Dietrich, J.F.; Cunjak, R.A. Resource use by salmonids in riverine, lacustrine and marine environments: Evidence from stable isotope analysis. Environ. Biol. Fish 2005, 73, 309–319. [Google Scholar] [CrossRef]
- Curry, R.A.; Devito, K.J. Hydrogeology of brook trout (Salvelinus fontinalis) spawning and incubation habitats: Implications for forestry and land use development. Can. J. For. Res. 1996, 26, 767–772. [Google Scholar] [CrossRef]
- Schleppenbach, B.T.; Mohr, Z.P.; Raabe, J.K. Brook trout movement, survival and spawning redd sites in a central Wisconsin headwater stream vulnerable to low streamflow. Ecol. Freshw. Fish 2022, 31, 208–223. [Google Scholar] [CrossRef]
- Hartmann, K.J.; Hakala, J.P. Relationships between Fine Sediment and Brook Trout Recruitment in Forested Headwater Streams. J. Freshw. Ecol. 2006, 21, 215–230. [Google Scholar] [CrossRef]
- Kazyak, D.C.; Hilderbrand, R.H.; King, T.L.; Keller, S.R.; Chhatre, V.E. Hiding in Plain Sight: A Case for Cryptic Metapopulations in Brook Trout (Salvelinus fontinalis). PLoS ONE 2016, 11, e0146295. [Google Scholar] [CrossRef]
- White, S.L.; Wagner, T. Behavior at short temporal scales drives dispersal dynamics and survival in a metapopulation of brook trout (Salvelinus fontinalis). Freshw. Biol. 2020, 66, 278–285. [Google Scholar] [CrossRef]
- Eliot, A.; Haynes, M. Assessing Threats to Coldwater Habitat in Wisconsin’s Brule River; Lake Superior Research Institute: Superior, WI, USA, 2023. [Google Scholar]







| Survey Date | Redds | Mean Daily Discharge (m3/s) | Mean Water Temp. (°C) | Daily Photoperiod (h) |
|---|---|---|---|---|
| 1 April 2021 | 32 rainbow trout | 6.99 | 5.66 | 12.76 |
| 15 April 2021 | 15 rainbow trout | 7.87 | 7.56 | 13.52 |
| 4 October 2021 | 6 chinook salmon 2 brown trout | 4.53 | 12.23 | 11.59 |
| 18 October 2021 | 2 coho salmon | 3.91 | 8.25 | 10.84 |
| 24 October 2021 | 4 coho salmon | 3.79 | 5.60 | 10.52 |
| 8 November 2021 | 66 coho salmon | 3.71 | 6.91 | 9.77 |
| 15 November 2021 | 115 brook trout | 5.27 | 3.13 | 9.46 |
| 2 April 2022 | 10 rainbow trout | 5.27 | 5.08 | 12.82 |
| 9 April 2022 | 1 rainbow trout | 7.45 | 3.70 | 13.20 |
| 22 April 2022 | 3 rainbow trout | 9.88 | 4.83 | 13.89 |
| 29 April 2022 | 2 rainbow trout | 8.04 | 7.2 | 14.24 |
| 6 May 2022 | 5 rainbow trout | 7.90 | 9.94 | 14.58 |
| 16 October 2022 | 5 chinook salmon 4 brown trout 3 coho salmon | 3.65 | 5.93 | 10.94 |
| 23 Ocbober 2022 | 6 chinook salmon 4 brown trout 14 coho salmon | 3.45 | 7.66 | 10.57 |
| 30 October 2022 | 2 chinook salmon 4 brown trout 4 coho salmon | 3.45 | 6.96 | 10.21 |
| 6 November 2022 | 2 brown trout 162 brook trout 12 coho salmon 1 chinook | 3.57 | 6.86 | 9.87 |
| 13 November 2022 | 8 brook trout 3 coho salmon | 5.47 | 2.0 | 9.55 |
| Species | Number of Redds | Season | Redd Diameter (cm) (Mean ± SD, Range) | Water Depth (cm) (Mean ± SD, Range) | Water Velocity (m/s) (Mean ± SD, Range) | Water Temperature (°C) (Mean ± SD, Range) |
|---|---|---|---|---|---|---|
| Brook Trout | 80 | Fall | 29.35 ± 2.51, 24–37 | 54.58 ± 23.36, 14–124 | 0.055 ± 0.03, 0.012–0.149 | 5.95 ± 1.71, 2.8–7.5 |
| Brown Trout | 16 | Fall | 54.56 ± 7.74, 42–67 | 48.44 ± 15.62, 24–79 | 0.279 ± 0.060, 0.128–0.424 | 7.22 ± 2.24, 5.6–12.8 |
| Chinook Salmon | 20 | Fall | 104.30 ± 14.50, 75–126 | 69.35 ± 15.73, 41–94 | 0.308 ± 0.098, 0.128–0.469 | 8.9 ± 2.52, 5.7–12.8 |
| Coho Salmon | 77 | Fall | 77.12 ± 12.07, 53–103 | 52.92 ± 14.15, 28–86 | 0.347 ± 0.106, 0.130–0.760 | 6.99 ± 0.59, 5.6–8.3 |
| Rainbow Trout | 68 | Spring | 88.47 ± 23.02, 40–157 | 43.00 ± 12.05, 23–97 | 0.370 ± 0.114, 0.131–0.58 | 6.39 ± 1.68, 3.7–11.8 |
| Species | Number of Redds | Season | Dissolved Oxygen (mg/L) (Mean ± SD, Range) | Surface Slope of Stream Bank (%) (Mean ± SD, Range) | Tailspin Substrate Wentworth Classification | Site of Previous Gravel Addition |
| Brook Trout | 80 | Fall | 9.50 ± 1.09, 8.2–10.9 | 8.03 ± 6.28, 0.41–37.98 | 100% Medium Pebbles | 31.25% Yes, 68.75% No |
| Brown Trout | 16 | Fall | 9.33 ± 0.96, 8.3–11.6 | 1.57 ± 0.59, 0.35–2.91 | 18.75% Medium Pebbles, 68.75% Coarse Pebbles, 12.5% Very Coarse Pebbles | 100% Yes |
| Chinook Salmon | 20 | Fall | 9.62 ± 0.79, 8–10.9 | 3.16 ± 3.16, 0.35–11.97 | 90% Coarse Pebbles, 10% Very Coarse Pebbles | 95% Yes, 5% No |
| Coho Salmon | 77 | Fall | 8.86 ± 1.02, 7.8–10.8 | 3.47 ± 3.21, 0.14–11.97 | 92.2% Coarse Pebbles, 7.8% Very Coarse Pebbles | 94.8% Yes, 5.2% No |
| Rainbow Trout | 68 | Spring | 9.66 ± 0.95, 8.26–11.7 | 2.88 ± 3.22, 0.06–14.9 | 89.7% Coarse Pebbles, 10.3% Very Coarse Pebbles | 83.3% Yes, 17.7% No |
| Species | Number of Redds | Season | Coarse Sand Presence in Redd | Riparian Zone Classification | Distance from Nearest Marked Groundwater Upwelling (m) | |
| Brook Trout | 80 | Fall | 99.9% Yes, 0.01% No | 70% Coniferous Forest, 21.25% Forested Wetland, 8.75% Mixed Deciduous Conifer Forest | 43.75% within 25 m, 26.30% greater than 100 m, 25% within 50–75 m 5% within 75–100 m | |
| Brown Trout | 16 | Fall | 6.25% Yes, 93.75% No | 25% Coniferous Forest, 75% Forested Wetland | 93.75% greater than 100 m | |
| Chinook Salmon | 20 | Fall | 5% Yes, 95% No | 40% Coniferous Forest, 60% Forested Wetland | 75% greater than 100 m | |
| Coho Salmon | 77 | Fall | 13% Yes, 87% No | 53.25% Coniferous Forest, 46.75% Forested Wetland | 75.32% greater than 100 m, 22.08% within 75–100 m | |
| Rainbow Trout | 68 | Spring | 2.9% Yes, 97.1% No | 42.65% Coniferous Forest, 57.35% Forested Wetland | 80.88% greater than 100 m |
| Tree Split | Covariate Split Decision | Chi-Square | p-Value | Covariate, Node Number | Redds Classified | Percent of Total Redds |
|---|---|---|---|---|---|---|
| 1 | Season—Spring vs. Fall | 260 | p < 0.001 | Season = Spring, 15 | 68 Rainbow Trout | 100% of Rainbow Trout |
| 2 | Substrate—Medium vs. Coarse and Very Coarse Pebbles | 183.3 | p < 0.001 | |||
| 12 | Medium Pebbles, Redd Diameter—<33 cm vs. >33 cm | 61.7 | p < 0.001 | Diameter ≤ 33 cm, 13 | 75 Brook Trout | 93.75% of Brook Trout |
| Diameter ≥ 33 cm, 14 | 5 Brook Trout | 6.25% of Brook Trout | ||||
| 3 Brown Trout | 18.75% of Brown Trout | |||||
| 3 | Redd Diameter, >97 cm vs. <97 cm | 60.7 | p < 0.001 | Diameter ≥ 97 cm, 11 | 16 Chinook Salmon | 80% of Chinook Salmon |
| 2 Coho Salmon | 2.5% of Coho Salmon | |||||
| 4 | Redd Diameter ≤ 97 cm, Water Temperature—<8.2 °C vs. >8.2 °C | 52.52 | p < 0.001 | Water Temperature ≥ 8.2 °C, 10 | 4 Chinook Salmon | 20% of Chinook Salmon |
| 2 Coho Salmon | 2.5% of Coho Salmon | |||||
| 1 Brown Trout | 6.3% of Brown Trout | |||||
| 5 | Water Temperature ≤ 8.2 °C, Redd Diameter—<54 cm vs. >54 cm | 26.52 | p < 0.001 | Diameter ≤ 54 cm, 6 | 7 Brown Trout | 50% of Brown Trout |
| 2 Coho Salmon | 2.5% of Coho Salmon | |||||
| 7 | Redd Diameter ≥ 54 cm, Water Temperature—<5.6 °C vs. >5.6 °C | Water Temperature ≤ 5.6 °C, 8 | 4 Brown Trout | 25% of Brown Trout | ||
| 4 Coho Salmon | 5.2% of Coho Salmon | |||||
| Water Temperature ≥ 5.6 °C, 10 | 1 Brown Trout | 6.3% of Brown Trout | ||||
| 67 Coho Salmon | 87% of Coho Salmon |
| Tree Split | Covariate Split Decision | Chi-Square | p-Value | Covariate, Node Number | Redds Classified | Percent of Total Redds |
|---|---|---|---|---|---|---|
| 1 | Substrate—Medium vs. Coarse and Very Coarse Pebbles | 249.80 | p < 0.001 | |||
| 11 | Substrate = Medium Pebbles, Velocity—<0.13 m/s vs. >0.13 m/s | 60.73 | p < 0.001 | Water Velocity ≤ 0.13 m/s, 12 Water Velocity ≥ 0.13 m/s, 13 | 76 Brook Trout 4 Brook Trout 3 Brown Trout | 95% of Brook Trout 5% of Brook Trout 18.75% of Brown Trout |
| 2 | Water Depth—<67 cm vs. >67 cm | 44.73 | p < 0.001 | Water Depth ≥ 67 cm, 10 | 13 Chinook Salmon 13 Coho Salmon 3 Brown Trout 2 Rainbow Trout | 65% of Chinook Salmon 16.88% of Coho Salmon 18.75% of Brown Trout 2.94% of Rainbow Trout |
| 3 | Water Depth ≤ 67 cm, Water Temperature—<11.3 °C vs. >11.3 °C | 38.99 | p < 0.001 | Water Temperature ≥ 11.3 °C, 9 | 7 Chinook Salmon 1 Brown Trout 1 Rainbow Trout | 35% of Chinook Salmon 6.25% of Brown Trout 1.47% of Rainbow Trout |
| 4 | Water Temperature ≤ 11.3 °C, Water Depth—<43.82 cm vs. >43.82 cm | 15.68 | p = 0.013 | Water Depth ≥ 43.82 cm, 8 | 43 Coho Salmon 24 Rainbow Trout 2 Brown Trout 2 Chinook Salmon | 55.84% of Coho Salmon 35.29% of Rainbow Trout 12.50% of Brown Trout 10% of Chinook Salmon |
| 5 | Water Depth ≤ 43.82 cm, Dissolved Oxygen—<8.2 mg/L vs. >8.2 mg/L | 16.85 | p = 0.002 | Dissolved Oxygen ≤ 8.2 mg/L, 6 Dissolved Oxygen ≥ 8.2 mg/L, 7 | 8 Coho Salmon 44 Rainbow Trout 13 Coho Salmon 4 Brown Trout | 10.39% of Coho Salmon 64.70% of Rainbow Trout 16.88% of Coho Salmon 25% of Brown Trout |
Disclaimer/Publisher’s Note: The statements, opinions and data contained in all publications are solely those of the individual author(s) and contributor(s) and not of MDPI and/or the editor(s). MDPI and/or the editor(s) disclaim responsibility for any injury to people or property resulting from any ideas, methods, instructions or products referred to in the content. |
© 2025 by the authors. Licensee MDPI, Basel, Switzerland. This article is an open access article distributed under the terms and conditions of the Creative Commons Attribution (CC BY) license (https://creativecommons.org/licenses/by/4.0/).
Share and Cite
Schleppenbach, B.T.; Hrabik, T.R.; McCann, D.D.; Gran, K.B.; Sass, G.G. Spawning Habitat Partitioning of Sympatric Salmonid Populations in the Upper Bois Brule River, Wisconsin. Fishes 2025, 10, 506. https://doi.org/10.3390/fishes10100506
Schleppenbach BT, Hrabik TR, McCann DD, Gran KB, Sass GG. Spawning Habitat Partitioning of Sympatric Salmonid Populations in the Upper Bois Brule River, Wisconsin. Fishes. 2025; 10(10):506. https://doi.org/10.3390/fishes10100506
Chicago/Turabian StyleSchleppenbach, Benjamin T., Thomas R. Hrabik, Daniel D. McCann, Karen B. Gran, and Greg G. Sass. 2025. "Spawning Habitat Partitioning of Sympatric Salmonid Populations in the Upper Bois Brule River, Wisconsin" Fishes 10, no. 10: 506. https://doi.org/10.3390/fishes10100506
APA StyleSchleppenbach, B. T., Hrabik, T. R., McCann, D. D., Gran, K. B., & Sass, G. G. (2025). Spawning Habitat Partitioning of Sympatric Salmonid Populations in the Upper Bois Brule River, Wisconsin. Fishes, 10(10), 506. https://doi.org/10.3390/fishes10100506

