Incidence of Organic Acid Disorders in 13 Million Chinese Newborns: A Systematic Review and Meta-Analysis
Abstract
1. Introduction
2. Materials and Methods
2.1. Literature Search
2.2. Eligibility and Exclusion Criteria
2.3. Data Extraction
2.4. Quality Assessment
2.5. Statistical Analyses
3. Results
3.1. Study Selection
3.2. Study Characteristics
3.3. The Result of Quality Assessment
3.4. Meta-Analysis Results
3.4.1. OAD Incidence
3.4.2. Incidence of OAD Disease Spectrum
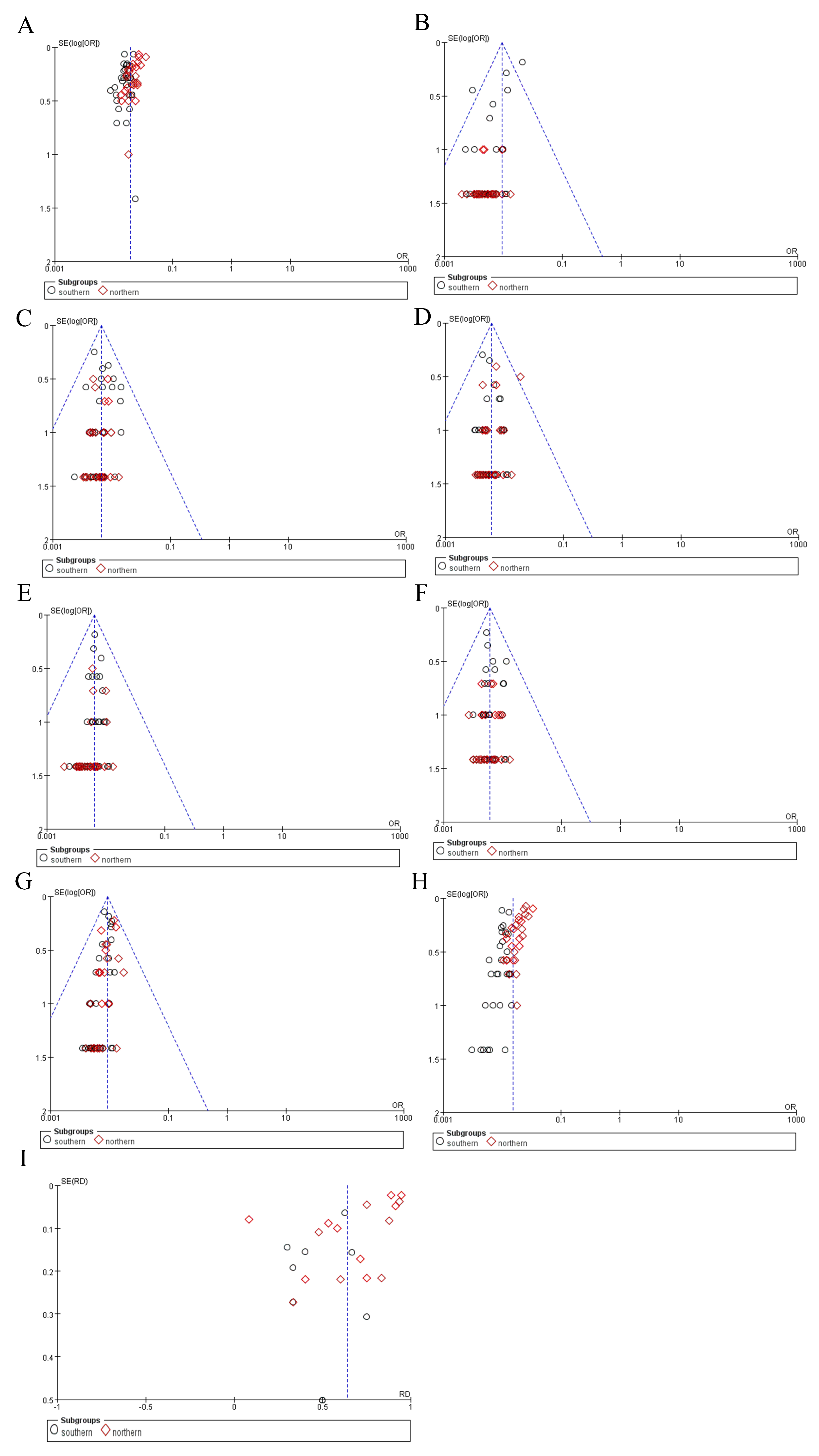
3.4.3. Publication Bias
4. Discussion
5. Conclusions
Supplementary Materials
Author Contributions
Funding
Institutional Review Board Statement
Informed Consent Statement
Data Availability Statement
Conflicts of Interest
Abbreviations
| OADs | Organic acid disorders |
| NBS | Newborn screening |
| MS/MS | Tandem mass spectrometry |
| MMA | Methylmalonic acidemia |
| MCCD | 3-methylcrotonyl-CoA carboxylase deficiency |
| GA-I | Glutaric acidemia type I |
| IBDD | Isobutyryl-CoA dehydrogenase deficiency |
| IVA | Isovaleric acidemia |
| 2-MBD | 2-methylbutyryl-CoA dehydrogenase deficiency |
| PA | Propionic acidemia |
| HCS | Holocarboxylase synthetase deficiency |
| BTD | Biotinidase deficiency |
References
- Ramsay, J.; Morton, J.; Norris, M.; Kanungo, S. Organic acid disorders. Ann. Transl. Med. 2018, 6, 472. [Google Scholar] [CrossRef] [PubMed]
- Deng, K.; Zhu, J.; Yu, E.; Xiang, L.; Yuan, X.; Yao, Y.; Li, X.; Liu, H. Incidence of inborn errors of metabolism detected by tandem mass spectrometry in China: A census of over seven million newborns between 2016 and 2017. J. Med. Screen 2021, 28, 223–229. [Google Scholar] [CrossRef]
- Yang, X.; Li, L.; Zhang, X.; Liu, X.; Tang, X. Analysis of screening results of neonatal genetic metabolic diseases by tandem masss-spectrometric technique in Guiyang Area. Chin. J. Fam. Plan. 2022, 30, 1404–1407. [Google Scholar]
- Wang, Q. Application analysis of tandem mass spectrometry in screening and diagnosis of neonatal genetic and metabolic diseases. J. Heze Med. Coll. 2021, 33, 50–52. [Google Scholar]
- Li, X.; He, L.; Sun, Y.; Huang, X.; Luo, Y.; Li, Y.; Zhou, S.; Zeng, Y.; He, J. Analysis of Screening Results for Genetic Metabolic Diseases among 352 449 Newborns from Changsha. Chin. J. Med. Genet. 2023, 40, 1075–1085. [Google Scholar] [CrossRef]
- Page, M.J.; McKenzie, J.E.; Bossuyt, P.M.; Boutron, I.; Hoffmann, T.C.; Mulrow, C.D.; Shamseer, L.; Tetzlaff, J.M.; Akl, E.A.; Brennan, S.E.; et al. The PRISMA 2020 Statement: An updated guideline for reporting systematic reviews. BMJ 2021, 372, 71. [Google Scholar] [CrossRef]
- Lan, J.; Liao, Z.; Yuan, L. Analysis on tandem mass spectrometry-based screening results for inherited metabolic diseases in neonates in Longyan City. China Med. Pharm. 2022, 12, 120–124. [Google Scholar]
- Huang, J.; Chen, M.; Lin, Q.; Fan, C.; Xue, F.; Guo, F. Analysis of newborn disease screening results from Nanping City in China. Exp. Lab. Med. 2021, 39, 1013–1016. [Google Scholar]
- Zheng, L.; Ye, S.; Song, W. Analysis of 135 148 cases of neonatal tandem mass spectrometry screening in East Fujian. Syst. Med. 2022, 7, 166–168. [Google Scholar]
- Lin, Y.; Zheng, Q.; Zheng, T.; Zheng, Z.; Lin, W.; Fu, Q. Expanded newborn screening for inherited metabolic disorders and genetic characteristics in a southern Chinese population. Clin. Chim. Acta 2019, 494, 106–111. [Google Scholar] [CrossRef] [PubMed]
- Tang, C.; Tan, M.; Xie, T.; Tang, F.; Liu, S.; Wei, Q.; Liu, J.; Huang, Y. Screening for neonatal inherited metabolic disorders by tandem mass spectrometry in Guangzhou. J. Zhejiang Univ. (Med. Sci.) 2021, 50, 463–471. [Google Scholar] [CrossRef]
- Zhang, Z.; Long, Y.; Zhong, J.; Zeng, Y. Expanded newborn screening for inherited metabolic disorders by tandem mass spectrometry in Huizhou City in China. Lab. Med. Clin. 2020, 17, 411–413. [Google Scholar]
- Liu, X.; Wu, W.; Shi, L. Analysis of tandem mass spectrometry screening and follow-up results of neonatal genetic metabolic disorders in Meizhou. Youjiang Med. J. 2021, 49, 834–838. [Google Scholar]
- Huang, L.; Liao, J.; Yan, X.; Chen, X.; Wang, L.; Tang, J. Retrospective analysis of screening status, genes and clinical phenotypes of genetic metabolic diseases in 220,000 newborns in Zhongshan City. Chin. J. Birth Health Hered. 2024, 32, 597–602. [Google Scholar]
- Tan, J.; Chen, D.; Chang, R.; Pan, L.; Yang, J.; Yuan, D.; Huang, L.; Yan, T.; Ning, H.; Wei, J.; et al. Tandem mass spectrometry screening for inborn errors of metabolism in newborns and high-risk infants in southern China: Disease spectrum and genetic characteristics in a Chinese population. Front. Genet. 2021, 12, 631688. [Google Scholar] [CrossRef] [PubMed]
- Tan, X.; Kuang, J.; Lan, G.; Zeng, G.; Gu, Y.; Shi, X. Disease spectrum and genetic profiles of neonatal inborn errors of metabolism in selected areas of Nanning City. Chin. J. Neonatol. 2023, 38, 289–293. [Google Scholar]
- Xie, M.; Luo, H.; Hu, L.; Yang, C. Analysis of diagnostic value of blood tandem mass spectrometry in neonatal hereditary metabolic diseases. Chin. J. Birth Health Hered. 2020, 28, 729–731. [Google Scholar]
- Xiao, G.; Feng, Z.; Xu, C.; Huang, X.; Chen, M.; Zhao, M.; Li, Y.; Gao, Y.; Wu, S.; Shen, Y.; et al. 206,977 Newborn screening results reveal the ethnic differences in the spectrum of inborn errors of metabolism in Huaihua, China. Front. Genet. 2024, 15, 1387423. [Google Scholar] [CrossRef] [PubMed]
- Li, X.; He, J.; He, L.; Zeng, Y.; Huang, X.; Luo, Y.; Li, Y. Spectrum analysis of inherited metabolic disorders for expanded newborn screening in a central chinese population. Front. Genet. 2022, 12, 763222. [Google Scholar] [CrossRef]
- Luo, H.; Wang, J.; Chen, J.; Yi, H.; Yang, X.; Peng, Y.; Ni, L.; Yang, Y.Q.; Zhang, X.M.; Huang, H. Prevalence of inherited metabolic disorders among newborns in Zhuzhou, a southern city in China. Front. Genet. 2024, 15, 1197151. [Google Scholar] [CrossRef]
- Liu, H.; Zhu, Z.; Yu, B.; Yang, Y.; Qin, Z.; Ji, X.; Qin, W.; Cao, A. Combined application of tandem mass spectrometry and high-throughput sequencing in neonatal screening. Mod. Prev. Med. 2020, 47, 115–118. [Google Scholar]
- Huang, B.; Gu, H. retrospective analysis of tandem mass spectrometry screening for newborn genetic metabolic diseases in 41058 Newborns. Guide China Med. 2024, 22, 130–133. [Google Scholar]
- Yang, Y.; Wang, L.; Wang, B.; Liu, S.; Yu, B.; Wang, T. Application of next-generation sequencing following tandem mass spectrometry to expand newborn screening for inborn errors of metabolism: A multicenter study. Front. Genet. 2019, 10, 86. [Google Scholar] [CrossRef]
- Zhang, H.; Wang, Y.; Qiu, Y.; Zhang, C. Expanded newborn screening for inherited metabolic disorders by tandem mass spectrometry in a northern Chinese population. Front. Genet. 2022, 13, 801447. [Google Scholar] [CrossRef]
- Wang, T.; Ma, J.; Zhang, Q.; Gao, A.; Wang, Q.; Li, H.; Xiang, J.; Wang, B. Expanded newborn screening for inborn errors of metabolism by tandem mass spectrometry in Suzhou, China: Disease spectrum, prevalence, genetic characteristics in a Chinese population. Front. Genet. 2019, 10, 1052. [Google Scholar] [CrossRef] [PubMed]
- Wang, X.; Liu, Y.; Guan, H.; Wang, F.; Huang, S.; Yang, B. 126,111 Newborn screening results of inborn errors of metabolism in Jiangxi, China. Jiangxi Med. J. 2022, 57, 707–710. [Google Scholar]
- Yang, Y.; Su, X.; Pan, S. Newborn screening and diagnosis of inborn errors of metabolism A 2-year study in Shangrao City, China. Lab. Med. Clin. 2021, 18, 3030–3033. [Google Scholar]
- Zhang, Y.; Su, X.; Li, T.; Hu, Q.; Zhou, J.; Zhang, Y. Analysis of screening for neonatal inherited metabolic disorders by tandem mass spectrometry in parts of Sichuan Province. Chin. J. Child Health Care 2020, 28, 809–812. [Google Scholar]
- Shi, A.; Long, Q.; Yang, S.; He, D. Newborn screening for inborn errors of metabolism in Yibin City from 2019 to 2021, China. Pract. Prev. Med. 2024, 31, 207–210. [Google Scholar]
- Yu, X.; Meng, C.; Chen, Y. Newborn screening for inborn errors of metabolism in Ningbo City from 2014 to 2023, China. Mod. Pract. Med. 2024, 36, 763–766. [Google Scholar]
- Zhao, Z.; Chen, C.; Sun, X.; Zhou, D.; Huang, X.; Dong, H. Newborn screening for inherited metabolic diseases using tandem mass spectrometry in China: Outcome and cost–utility analysis. J. Med. Screen 2021, 29, 12–20. [Google Scholar] [CrossRef]
- Hao, L.; Liang, L.; Gao, X.; Zhan, X.; Ji, W.; Chen, T.; Xu, F.; Qiu, W.; Zhang, H.; Gu, X.; et al. Screening of 1.17 million newborns for inborn errors of metabolism using tandem mass spectrometry in Shanghai, China: A 19-year report. Mol. Genet. Metab. 2024, 141, 108098. [Google Scholar] [CrossRef]
- Zhang, X.; Ji, W.; Wang, Y.; Zhou, Z.; Guo, J.; Tian, G. Comparative analysis of inherited metabolic diseases in normal newborns and high-risk children: Insights from a 10-year study in Shanghai. Clin. Chim. Acta 2024, 558, 117893. [Google Scholar] [CrossRef]
- Lee, H.C.H.; Mak, C.M.; Lam, C.W.; Yuen, Y.P.; Chen, A.O.K.; Shek, C.C.; Siu, T.S.; Lai, C.K.; Ching, C.K.; Siu, W.K.; et al. Analysis of inborn errors of metabolism: Disease spectrum for expanded newborn screening in Hong Kong. Chin. Med. J. 2011, 124, 983–989. [Google Scholar] [CrossRef]
- Belaramani, K.M.; Chan, T.C.H.; Hau, E.W.L.; Yeung, M.C.W.; Kwok, A.M.K.; Lo, I.F.M.; Law, T.H.F.; Wu, H.; Wong, S.S.N.; Lam, S.W.; et al. Expanded newborn screening for inborn errors of metabolism in Hong Kong: Results and outcome of a 7 year journey. Int. J. Neonatal Screen 2024, 10, 23. [Google Scholar] [CrossRef]
- Men, S.; Liu, S.; Zheng, Q.; Yang, S.; Mao, H.; Wang, Z.; Gu, Y.; Tang, X.; Wang, L. Incidence and genetic variants of inborn errors of metabolism identified through newborn screening: A 7-year study in eastern coastal areas of China. Mol. Genet. Genom. Med. 2023, 11, e2152. [Google Scholar] [CrossRef] [PubMed]
- Zhou, W.; Wang, C.; Li, H.; Gu, M. The clinical application of tandem mass spectrometry for newborn screening in Xuzhou. Int. J. Genet. 2018, 41, 119–123. [Google Scholar]
- Wang, X.; Sun, X.; Yan, Y.; Zheng, L.; Liu, F.; Hao, S. Application of tandem mass spectrometry in expanded newborn screening for inborn errors of metabolism in Gansu Province, China. Matern. Child Health Care China 2018, 33, 861–863. [Google Scholar]
- Liu, F.; Wang, X.; Li, Y.; Zhang, C.; Guo, Y.; Hui, L.; Hao, S. Disease spectrum and gene variation analysis of neonatal inherited metabolic diseases in Gansu region. J. Int. Reprod. Health/Fam. Plan. 2024, 43, 378–383. [Google Scholar]
- Zhang, C.; Hui, L.; Zhou, B.; Zheng, L.; Wang, Y.; Hao, S.; Da, Z.; Ma, Y.; Guo, J.; Cao, Z.; et al. Disease spectrum and pathogenic genes of inherited metabolic disorder in gansu province of China. Zhongguo Dang Dai Er Ke Za Zhi 2024, 26, 67–71. [Google Scholar]
- Feng, J.; Jia, L.; Wang, X.; Ma, C.; Feng, L. Screening results of 128,399 cases of neonatal genetic metabolic diseases in Shijiazhuang by tandem mass spectrometry. Chin. J. Clin. Lab. Sci. 2020, 38, 344–349. [Google Scholar]
- Ma, S.; Zhao, D.; Ma, K.; Ni, M.; Wang, L.; Ouyang, Y.; Zhang, L.; Zhang, X. Retrospective analysis on screening of neonates inherited metabolic diseases from 2013 to 2019 in Henan Province. Lab. Med. Clin. 2020, 17, 1965–1968. [Google Scholar]
- Ma, S.; Guo, Q.; Zhang, Z.; He, Z.; Yue, A.; Song, Z.; Zhao, Q.; Wang, X.; Sun, R. Expanded newborn screening for inborn errors of metabolism by tandem mass spectrometry in newborns from Xinxiang City in China. J. Clin. Lab. Anal. 2020, 34, e23159. [Google Scholar] [CrossRef] [PubMed]
- Zhu, Y.; Zhang, W.; Song, P.; Hao, P.; Zheng, C. The results of 105,437 newborn screening for inborn errors of metabolism. Matern. Child Health Care China 2020, 35, 3837–3839. [Google Scholar]
- Liu, J.; Wang, X.; Lian, H. Retrospective analysis of inherited metabolic diseases screening in Liaoyuan area from 2011 to 2016. China Health Stand. Manag. 2017, 8, 9–10. [Google Scholar]
- Mao, X.; Li, S.; Ma, Y.; Jing, M.; Wang, Y.; Wang, F.; Yang, M.; Miao, T.; Liu, J. Ethnic preference distribution of inborn errors of metabolism: A 4-Year study in a multi-ethnic region of China. Clin. Chim. Acta 2020, 511, 160–166. [Google Scholar] [CrossRef]
- Duan, N.; Chen, X.; Yang, C. Analysis of tandem mass spectrometry screening results of neonatal genetic metabolic diseases in Jining City. Med. Lab. Sci. Clin. 2024, 35, 5–8. [Google Scholar]
- Yang, C.; Zhou, C.; Xu, P.; Jin, X.; Liu, W.; Wang, W.; Huang, C.; Jiang, M.; Chen, X. Newborn screening and diagnosis of inborn errors of metabolism: A 5-year study in an Eastern Chinese population. Clin. Chim. Acta 2020, 502, 133–138. [Google Scholar] [CrossRef]
- Zhao, N.; Wang, J.; Li, X. The Results of 41,062 newborn screening for inborn errors of metabolism in Langfang City, China. Chin. J. Birth Health Hered. 2022, 33, 503–507. [Google Scholar]
- Zhang, J.; Guo, Y.; Yu, X.; Dong, W.; Liu, X.; Zhang, H.; Hou, H. Application value of tandem mass spectrometry combined with high-throughput 22 457 neonates in Liaocheng Region. Matern. Child Health Care China 2024, 39, 1329–1332. [Google Scholar]
- Xia, F. Analysis of the role and significance of tandem mass spectrometry in the screening and diagnosis of neonatal inherited metabolic diseases. Chin. J. Birth Health Hered. 2018, 26, 77–79. [Google Scholar]
- Yin, F. Analysis of the incidence rate and gene mutation status of neonatal genetic metabolic diseases in the Tai’an Region, China. Matern. Child Health Care China 2022, 37, 4516–4520. [Google Scholar]
- Ju, C.; Lan, X. Application analysis of tandem mass spectrometry in neonatal inherited metabolic diseases in Weihai Region, China. Med. Lab. Sci. Clin. 2020, 31, 43–45. [Google Scholar]
- Pei, W.; Lu, X.; Tian, W.; Zhang, L.; Zhang, X. Analysis of screening results of tandem mass spectrometry for neonatal genetic metabolic diseases in Weifang Region. Chin. Pediatr. Integr. Tradit. West. Med. 2018, 10, 452–455. [Google Scholar]
- Zhao, Y.; Shen, J.; Zhang, L.; Gan, X. Screening results of tandem mass spectrometry for neonatal genetic metabolic diseases in Zaozhuang. Chin. J. Birth Health Hered. 2024, 32, 2659–2662. [Google Scholar]
- Mou, K.; Xu, J.; Li, Y.; Li, H.; Dong, L.; Liu, N. Screening Results of 223 368 Cases of Neonatal Genetic Metabolic Diseases in Zibo by Tandem Mass Spectrometry. J. Clin. Med. Pract. 2023, 27, 64–69. [Google Scholar]
- Liu, G.; Liu, X.; Lin, Y. Newborn Screening for Inborn Errors of Metabolism in a Northern Chinese Population. J. Pediatr. Endocrinol. Metab. 2023, 36, 278–282. [Google Scholar] [CrossRef]
- Zhang, X.; Yang, J.; Yan, Y.; Mu, W.; Yu, J.; Yu, L.; Liang, Q. Retrospective analysis on screening of 81,138 neonates inherited metabolic diseases. J. Chin. Physician 2019, 21, 1081–1082. [Google Scholar]
- Zhang, R.; Qiang, R.; Song, C.; Ma, X.; Zhang, Y.; Li, F.; Wang, R.; Yu, W.; Feng, M.; Yang, L.; et al. Spectrum analysis of inborn errors of metabolism for expanded newborn screening in a northwestern Chinese population. Sci. Rep. 2021, 11, 2699. [Google Scholar] [CrossRef] [PubMed]
- Zhu, J.; Han, L.; Yang, P.; Feng, Z.; Xue, S. Spectrum analysis of inborn errors of metabolism for expanded newborn screening in Xinjiang, China. PeerJ 2024, 12, e18173. [Google Scholar] [CrossRef]
- Yang, N.; Gong, L.F.; Zhao, J.Q.; Yang, H.H.; Ma, Z.J.; Liu, W.; Wan, Z.H.; Kong, Y.Y. Inborn errors of metabolism detectable by tandem mass spectrometry in Beijing. J. Pediatr. Endocrinol. Metab. 2020, 33, 639–645. [Google Scholar] [CrossRef]
- Frazier, D.M.; Millington, D.S.; McCandless, S.E.; Koeberl, D.D.; Weavil, S.D.; Chaing, S.H.; Muenzer, J. The tandem mass spectrometry newborn screening experience in North Carolina: 1997–2005. J. Inherit. Metab. Dis. 2006, 29, 76–85. [Google Scholar] [CrossRef]
- Sanderson, S.; Green, A.; Preece, M.A.; Burton, H. The incidence of inherited metabolic disorders in the West Midlands, UK. Arch. Dis. Child. 2006, 91, 896–899. [Google Scholar] [CrossRef] [PubMed]
- Shibata, N.; Hasegawa, Y.; Yamada, K.; Kobayashi, H.; Purevsuren, J.; Yang, Y.; Dung, V.C.; Khanh, N.N.; Verma, I.C.; Bijarnia-Mahay, S.; et al. Diversity in the incidence and spectrum of organic acidemias, fatty acid oxidation disorders, and amino acid disorders in Asian countries: Selective screening vs. expanded newborn screening. Mol. Genet. Metab. Rep. 2018, 16, 5–10. [Google Scholar] [CrossRef] [PubMed]
- Moammar, H.; Cheriyan, G.; Mathew, R.; Al-Sannaa, N. Incidence and patterns of inborn errors of metabolism in the Eastern Province of Saudi Arabia, 1983–2008. Ann. Saudi Med. 2010, 30, 271–277. [Google Scholar] [CrossRef]
- Salarian, L.; Ilkhanipoor, H.; Amirhakimi, A.; Afshar, Z.; Nahid, S.; Moradi Ardekani, F.; Rahimi, N.; Yazdani, N.; Nikravesh, A.; Beyzaei, Z.; et al. Epidemiology of inherited metabolic disorders in newborn screening: Insights from three years of experience in southern Iran. Orphanet. J. Rare Dis. 2025, 20, 84. [Google Scholar] [CrossRef] [PubMed]
- Chiang, C.W.K.; Mangul, S.; Robles, C.; Sankararaman, S. A comprehensive map of genetic variation in the world’s largest ethnic group-Han Chinese. Mol. Biol. Evol. 2018, 35, 2736–2750. [Google Scholar] [CrossRef]
- Chen, J.; Zheng, H.; Bei, J.-X.; Sun, L.; Jia, W.; Li, T.; Zhang, F.; Seielstad, M.; Zeng, Y.-X.; Zhang, X.; et al. Genetic structure of the Han Chinese Population revealed by genome-wide SNP variation. Am. J. Hum. Genet. 2009, 85, 775–785. [Google Scholar] [CrossRef]
- Zhang, X.; Wu, J.; Peng, Y.; Luo, L.; Zhang, L.; Huang, X.; Chen, G.; Li, Y.; Yi, H. Human genetic variations conferring resistance to malaria. J. Transl. Med. 2025, 23, 997. [Google Scholar] [CrossRef]
- Al Hosani, H.; Salah, M.; Osman, H.M.; Farag, H.M.; El-Assiouty, L.; Saade, D.; Hertecant, J. Expanding the comprehensive national neonatal screening programme in the United Arab Emirates from 1995 to 2011. East. Mediterr. Health J. 2014, 20, 17–23. [Google Scholar] [CrossRef]
- Kasper, D.C.; Ratschmann, R.; Metz, T.F.; Mechtler, T.P.; Möslinger, D.; Konstantopoulou, V.; Item, C.B.; Pollak, A.; Herkner, K.R. The National Austrian Newborn Screening Program—Eight years experience with mass spectrometry. Past, present, and future goals. Wien. Klin. Wochenschr. 2010, 122, 607–613. [Google Scholar] [CrossRef]
- Lim, J.S.; Tan, E.S.; John, C.M.; Poh, S.; Yeo, S.J.; Ang, J.S.M.; Adakalaisamy, P.; Rozalli, R.A.; Hart, C.; Tan, E.T.; et al. Inborn error of metabolism (IEM) screening in Singapore by electrospray ionization-tandem mass spectrometry (ESI/MS/MS): An 8 Year journey from pilot to current program. Mol. Genet. Metab. 2014, 113, 53–61. [Google Scholar] [CrossRef]
- Forny, P.; Hörster, F.; Ballhausen, D.; Chakrapani, A.; Chapman, K.A.; Dionisi-Vici, C.; Dixon, M.; Grünert, S.C.; Grunewald, S.; Haliloglu, G.; et al. Guidelines for the diagnosis and management of methylmalonic acidaemia and propionic acidaemia: First revision. J. Inherit. Metab. Dis. 2021, 44, 566–592. [Google Scholar] [CrossRef] [PubMed]
- Lin, W.; Wang, K.; Chen, Y.; Zheng, Z.; Lin, Y. Newborn screening and genetic diagnosis of 3-methylcrotonyl-coa carboxylase deficiency in Quanzhou, China. Mol. Genet. Metab. Rep. 2024, 40, 101127. [Google Scholar] [CrossRef] [PubMed]
- Feng, J.; Yang, C.; Zhu, L.; Zhang, Y.; Zhao, X.; Chen, C.; Chen, Q.X.; Shu, Q.; Jiang, P.; Tong, F. phenotype, genotype and long-term prognosis of 40 Chinese patients with isobutyryl-coa dehydrogenase deficiency and a review of variant spectra in ACAD8. Orphanet. J. Rare Dis. 2021, 16, 392. [Google Scholar] [CrossRef] [PubMed]
- Liu, X.; Liu, X.; Fan, W.; Zhang, Z.; Zhang, P.; Liu, X.; Lei, M.; Li, Q.; Yu, X.; Li, D. Analysis of the genotype-phenotype correlation in isovaleric acidaemia: A case report of long-term follow-up of a Chinese patient and literature review. Front. Neurol. 2022, 13, 928334. [Google Scholar] [CrossRef] [PubMed]
- Ensenauer, R.; Niederhoff, H.; Ruiter, J.P.N.; Wanders, R.J.A.; Schwab, K.O.; Brandis, M.; Lehnert, W. Clinical variability in 3-hydroxy-2-methylbutyryl-coa dehydrogenase deficiency. Ann. Neurol. 2002, 51, 656–659. [Google Scholar] [CrossRef]








| South or North of China | Reference (Author/ Year) | Area | Years | Screening Cases | OADs Cases | Prevalence | Disease Spectrum of OADs | AHRQ Scores | ||||||||||
|---|---|---|---|---|---|---|---|---|---|---|---|---|---|---|---|---|---|---|
| Province | City | MMA | Isolated MMA | MMA Combined with Homocystinuria | PA | GA-I | IVA | MCCD | 2-MBD | IBBD | Other Disease | |||||||
| South | Lan et al., 2022 [7] | Fujian | Longyan | 2018–2020 | 58,934 | 5 | 1/11,786 | N/A | N/A | N/A | 1 | 1 | N/A | 1 | 1 | 1 | N/A | 9 |
| Huang et al., 2021 [8] | Fujian | Nanping | 2016–2019 | 74,673 | 10 | 1/7467 | 3 | 2 | 1 | N/A | 1 | 2 | 2 | 1 | 1 | N/A | 8 | |
| Zheng et al., 2022 [9] | Fujian | Ningde | 2016–2020 | 135,148 | 12 | 1/11,262 | N/A | N/A | N/A | N/A | 4 | 1 | 1 | 5 | 1 | N/A | 8 | |
| Lin et al., 2019 [10] | Fujian | Quanzhou | 2014–2018 | 364,545 | 39 | 1/9347 | 3 | N/A | N/A | 2 | 7 | 4 | 5 | 12 | 6 | N/A | 9 | |
| Tang et al., 2021 [11] | Guangdong | Guangzhou | 2015–2010 | 272,117 | 22 | 1/12,369 | 10 | 6 | 4 | 1 | 3 | N/A | 2 | 2 | 3 | 1 | 8 | |
| Zhang et al., 2020 [12] | Guangdong | Huizhou | 2017–2019 | 34,689 | 4 | 1/8672 | 2 | N/A | N/A | N/A | 2 | N/A | N/A | N/A | N/A | N/A | 7 | |
| Liu et al., 2021 [13] | Guangdong | Meizhou | 2019–2021 | 47,145 | 3 | 1/15,715 | 1 | N/A | 1 | 1 | N/A | N/A | N/A | N/A | 1 | N/A | 7 | |
| Huang et al., 2024 [14] | Guangdong | Zhongshan | 2014–2023 | 221,731 | 7 | 1/31,675 | 6 | 4 | 2 | N/A | N/A | 1 | N/A | N/A | N/A | N/A | 8 | |
| Tan et al., 2021 [15] | Guangxi | Liuzhou | 2012–2020 | 111,986 | 12 | 1/9332 | 2 | N/A | N/A | 2 | 3 | 4 | N/A | N/A | N/A | 1 | 8 | |
| Tan et al., 2023 [16] | Guangxi | Nanning | 2019–2021 | 16,207 | 2 | 1/8103 | 1 | 1 | N/A | N/A | 1 | N/A | N/A | N/A | N/A | N/A | 7 | |
| Yang et al., 2022 [3] | Guizhou | Guiyang | 2015–2019 | 105,742 | 2 | 1/52,871 | N/A | N/A | N/A | N/A | N/A | N/A | N/A | N/A | 2 | N/A | 7 | |
| Xie et al., 2020 [17] | Hainan | Haikou | 2014–2019 | 100,158 | 8 | 1/12,519 | 4 | N/A | N/A | N/A | N/A | N/A | N/A | N/A | 1 | 3 | 7 | |
| Xiao et al., 2024 [18] | Hunan | Huaihua | 2015–2021 | 206,977 | 36 | 1/5749 | 2 | N/A | N/A | N/A | 1 | 1 | 1 | 29 | 1 | 1 | 9 | |
| Li et al., 2022 [19] | Hunan | Changsha | 2016–2020 | 300,849 | 12 | 1/25,070 | N/A | N/A | N/A | 3 | 1 | 2 | 3 | 3 | N/A | N/A | 8 | |
| Luo et al., 2024 [20] | Hunan | Zhuzhou | 2019–2022 | 90,829 | 3 | 1/30,276 | 1 | N/A | N/A | N/A | 1 | N/A | N/A | N/A | N/A | 1 | 8 | |
| Liu et al., 2020 [21] | Jiangsu | Changzhou | 2019–2022 | 50,844 | 7 | 1/7263 | 2 | N/A | N/A | N/A | 3 | N/A | 2 | N/A | N/A | N/A | 7 | |
| Huang et al., 2024 [22] | Jiangsu | Jiangyin | 2019–2022 | 41,058 | 5 | 1/8211 | 2 | N/A | 2 | 1 | N/A | N/A | N/A | 1 | 1 | N/A | 7 | |
| Yang et al., 2019 [23] | Jiangsu | Nanjing and Yangzhou | 2014–2028 | 536,008 | 42 | 1/12,762 | 15 | N/A | N/A | 1 | 6 | 3 | 15 | 1 | N/A | 1 | 9 | |
| Zhang et al., 2022 [24] | Jiangsu | Suqian | 2019–2022 | 204,604 | 20 | 1/10,230 | 9 | 3 | 6 | 1 | 1 | N/A | 6 | N/A | 3 | N/A | 8 | |
| Wang et al., 2019 [25] | Jiangsu | Suzhou | 2014–2018 | 401,660 | 33 | 1/12,171 | 10 | 7 | 3 | 1 | 4 | 2 | 12 | N/A | 3 | 1 | 9 | |
| Wang et al., 2022 [26] | Jiangxi | Nanchang | 2016–2021 | 126,111 | 7 | 1/18,105 | 3 | N/A | N/A | N/A | N/A | 1 | 2 | N/A | 1 | N/A | 7 | |
| Yang et al., 2021 [27] | Jiangxi | Shangrao | 2016–2021 | 15,207 | 1 | 1/15,207 | N/A | N/A | N/A | N/A | N/A | N/A | 1 | N/A | N/A | N/A | 7 | |
| Zhang et al., 2020 [28] | Sichuan | Chengdou | 2017–2018 | 39,648 | 6 | 1/6608 | 2 | N/A | N/A | 1 | N/A | 1 | 1 | 1 | N/A | N/A | 7 | |
| Shi et al., 2024 [29] | Sichuan | Yibin | 2019–2021 | 71,572 | 5 | 1/14,314 | N/A | N/A | N/A | N/A | N/A | 2 | N/A | N/A | 1 | 2 | 7 | |
| Yu et al., 2024 [30] | Zhejiang | Ningbo | 2014–2023 | 555,129 | 36 | 1/15,402 | 13 | N/A | N/A | 1 | N/A | 1 | 18 | N/A | 3 | N/A | 9 | |
| Zhao et al., 2021 [31] | Zhejiang | Except Ningbo | 2009–2018 | 3,040,815 | 208 | 1/14,619 | 78 | N/A | N/A | 11 | 16 | 18 | 48 | 5 | 29 | 3 | 9 | |
| Hao et al., 2024 [32] | Shanghai | 2003–2022 | 1,176,073 | 115 | 1/10,226 | 56 | 21 | 35 | 8 | 3 | 8 | 28 | 1 | 10 | 1 | 9 | ||
| Zhang et al., 2024 [33] | Shanghai | 2010–2020 | 232,561 | 12 | 1/19,308 | 5 | N/A | N/A | 1 | 2 | 3 | 1 | N/A | N/A | N/A | 8 | ||
| Lee et al., 2011 [34] | Hongkong | 2005–2009 | 177,246 | 5 | 1/35,449 | 1 | N/A | N/A | N/A | 1 | 1 | N/A | N/A | N/A | 2 | 7 | ||
| Belaramani et al., 2024 [35] | Hongkong | 2015–2022 | 125,688 | 7 | 1/17,955 | 2 | N/A | N/A | 2 | N/A | 1 | N/A | N/A | N/A | 2 | 6 | ||
| North | Men et al., 2023 [36] | Jiangsu | Lianyungang | 2015–2021 | 245,194 | 22 | 1/11,145 | 9 | N/A | N/A | 3 | N/A | 1 | 5 | 1 | 2 | 1 | 8 |
| Zhou et al., 2018 [37] | Jiangsu | Xuzhou | 2015–2017 | 165,262 | 13 | 1/12,712 | 12 | 11 | 1 | N/A | 1 | N/A | N/A | N/A | N/A | N/A | 7 | |
| Wang et al., 2018 [38] | Gansu | 2015–2016 | 77,957 | 4 | 1/19,489 | 3 | N/A | N/A | N/A | N/A | 1 | N/A | N/A | N/A | N/A | 7 | ||
| Liu et al., 2024 [39] | Gansu | 2021–2023 | 213,786 | 28 | 1/7635 | 24 | 10 | 14 | 1 | N/A | N/A | 2 | N/A | N/A | 1 | 8 | ||
| Zhang et al., 2024 [40] | Gansu | 2017–2020 | 286,682 | 41 | 1/6992 | 32 | 15 | 17 | 1 | 1 | N/A | 5 | N/A | N/A | 2 | 9 | ||
| Feng et al., 2020 [41] | Hebei | Shijiazhuang | 2014–2018 | 128,399 | 36 | 1/3566 | 34 | 3 | 31 | N/A | N/A | N/A | 2 | N/A | N/A | N/A | 9 | |
| Ma et al., 2020 [42] | Henan | 2013–2019 | 850,486 | 200 | 1/4252 | 182 | 21 | 161 | 3 | 4 | 1 | 10 | N/A | N/A | N/A | 9 | ||
| Ma et al., 2020 [43] | Henan | Xinxiang | 2015–2018 | 50,112 | 9 | 1/5568 | 8 | N/A | N/A | N/A | N/A | 1 | N/A | N/A | N/A | N/A | 7 | |
| Zhu et al., 2020 [44] | Jilin | Changchun | 2015–2018 | 105,437 | 5 | 1/21,087 | 3 | N/A | N/A | N/A | 2 | N/A | N/A | N/A | N/A | N/A | 7 | |
| Liu et al., 2017 [45] | Jilin | Liaoyuan | 2011–2016 | 10,503 | 1 | 1/10,503 | 1 | N/A | N/A | N/A | N/A | N/A | N/A | N/A | N/A | N/A | 6 | |
| Mao et al., 2020 [46] | Xingxia | 2016–2019 | 189,354 | 15 | 1/12,623 | 7 | N/A | N/A | 1 | N/A | 2 | 2 | N/A | N/A | 3 | 7 | ||
| Wang. 2021 [4] | Shandong | Heze | 2015–2020 | 266,609 | 120 | 1/2221 | 106 | 6 | 100 | N/A | 1 | 1 | 12 | N/A | N/A | N/A | 9 | |
| Duan et al., 2024 [47] | Shandong | Jining | 2022 | 52,192 | 8 | 1/6524 | 4 | 1 | 3 | 1 | N/A | N/A | 3 | N/A | N/A | N/A | 7 | |
| Yang et al., 2020 [48] | Shandong | Jining | 2014–2018 | 514,234 | 126 | 1/4081 | 91 | 23 | 68 | 6 | 3 | 2 | 20 | N/A | 4 | N/A | 9 | |
| Zhao et al., 2022 [49] | Shandong | Langfang | 2020 | 41,062 | 4 | 1/10,265 | 2 | N/A | N/A | N/A | 1 | N/A | 1 | N/A | N/A | N/A | 7 | |
| Zhang et al., 2024 [50] | Shandong | Liaocheng | 2020–2021 | 22,457 | 4 | 1/5614 | 2 | N/A | N/A | N/A | N/A | N/A | 2 | N/A | N/A | N/A | 6 | |
| Xia, 2018 [51] | Shandong | Linyi | 2014–2017 | 83,570 | 6 | 1/13,928 | 5 | 2 | 3 | N/A | 1 | N/A | N/A | N/A | N/A | N/A | 7 | |
| Yin, 2022 [52] | Shandong | Taian | 2013–2019 | 222,754 | 23 | 1/9684 | 13 | N/A | N/A | N/A | 4 | 2 | 4 | N/A | N/A | N/A | 8 | |
| Ju et al., 2020 [53] | Shandong | Weihai | 2018–2019 | 44,438 | 5 | 1/8887 | 3 | N/A | 3 | N/A | N/A | N/A | 1 | 1 | N/A | N/A | 7 | |
| Pei et al., 2018 [54] | Shandong | Weifang | 2013–2016 | 77,974 | 14 | 1/5570 | 12 | N/A | N/A | N/A | 1 | N/A | 1 | N/A | N/A | N/A | 8 | |
| Zhao et al., 2024 [55] | Shandong | Zaozhuang | 2015–2023 | 183,741 | 19 | 1/9670 | 16 | 2 | 14 | N/A | N/A | 1 | 2 | N/A | N/A | N/A | 9 | |
| Mou et al., 2023 [56] | Shandong | Zibo | 2015–2022 | 223,368 | 51 | 1/4379 | 45 | 3 | 42 | 1 | 1 | 2 | 1 | 1 | N/A | N/A | 9 | |
| Liu et al., 2023 [57] | Shandong | Rizhao | 2016–2022 | 36,590 | 8 | 1/4573 | 3 | 2 | 1 | 4 | N/A | N/A | N/A | N/A | 1 | N/A | 7 | |
| Zhang et al., 2019 [58] | Shanxi | Taiyuan | 2016–2022 | 81,138 | 7 | 1/11,591 | 3 | N/A | N/A | N/A | N/A | N/A | N/A | N/A | 2 | 2 | 7 | |
| Zhang et al., 2021 [59] | Shanxi | Xian | 2014–2019 | 146,152 | 28 | 1/5219 | 21 | 11 | 10 | N/A | 2 | N/A | 3 | N/A | 1 | 1 | 9 | |
| Zhu et al., 2024 [60] | Xinjiang | Xulumuqi | 2018–2021 | 41,690 | 9 | 1/4632 | 5 | 3 | 2 | 1 | 1 | 1 | 1 | N/A | N/A | N/A | 7 | |
| Yang et al., 2020 [61] | Beijing | 2014–2019 | 58,651 | 9 | 1/6516 | 7 | 2 | 5 | 1 | N/A | 1 | N/A | N/A | N/A | N/A | 7 | ||
Disclaimer/Publisher’s Note: The statements, opinions and data contained in all publications are solely those of the individual author(s) and contributor(s) and not of MDPI and/or the editor(s). MDPI and/or the editor(s) disclaim responsibility for any injury to people or property resulting from any ideas, methods, instructions or products referred to in the content. |
© 2025 by the authors. Published by MDPI on behalf of the International Society for Neonatal Screening. Licensee MDPI, Basel, Switzerland. This article is an open access article distributed under the terms and conditions of the Creative Commons Attribution (CC BY) license (https://creativecommons.org/licenses/by/4.0/).
Share and Cite
Huang, S.; Yao, Q.; Kong, F.; Wu, M.; Qiu, X.; Zhao, P.; Zeng, Y.; Luo, J.; Xu, L.; Zhou, J. Incidence of Organic Acid Disorders in 13 Million Chinese Newborns: A Systematic Review and Meta-Analysis. Int. J. Neonatal Screen. 2025, 11, 113. https://doi.org/10.3390/ijns11040113
Huang S, Yao Q, Kong F, Wu M, Qiu X, Zhao P, Zeng Y, Luo J, Xu L, Zhou J. Incidence of Organic Acid Disorders in 13 Million Chinese Newborns: A Systematic Review and Meta-Analysis. International Journal of Neonatal Screening. 2025; 11(4):113. https://doi.org/10.3390/ijns11040113
Chicago/Turabian StyleHuang, Shuting, Qiongfang Yao, Fei Kong, Min Wu, Xiaolong Qiu, Peiran Zhao, Yinglin Zeng, Jinying Luo, Liangpu Xu, and Jinfu Zhou. 2025. "Incidence of Organic Acid Disorders in 13 Million Chinese Newborns: A Systematic Review and Meta-Analysis" International Journal of Neonatal Screening 11, no. 4: 113. https://doi.org/10.3390/ijns11040113
APA StyleHuang, S., Yao, Q., Kong, F., Wu, M., Qiu, X., Zhao, P., Zeng, Y., Luo, J., Xu, L., & Zhou, J. (2025). Incidence of Organic Acid Disorders in 13 Million Chinese Newborns: A Systematic Review and Meta-Analysis. International Journal of Neonatal Screening, 11(4), 113. https://doi.org/10.3390/ijns11040113

