Effects of Scout Direction, Off-Centering, and Scout Imaging Parameters on Radiation Dose Modulation in CT
Simple Summary
Abstract
1. Introduction
2. Materials and Methods
2.1. Instruments
2.2. Effects of Vertical Positioning in Imaging the Cylindrical Phantom
2.3. Effects of Vertical Positioning in Imaging the Anthropomorphic Phantom
2.4. Effects of Scout Imaging Parameters
3. Results
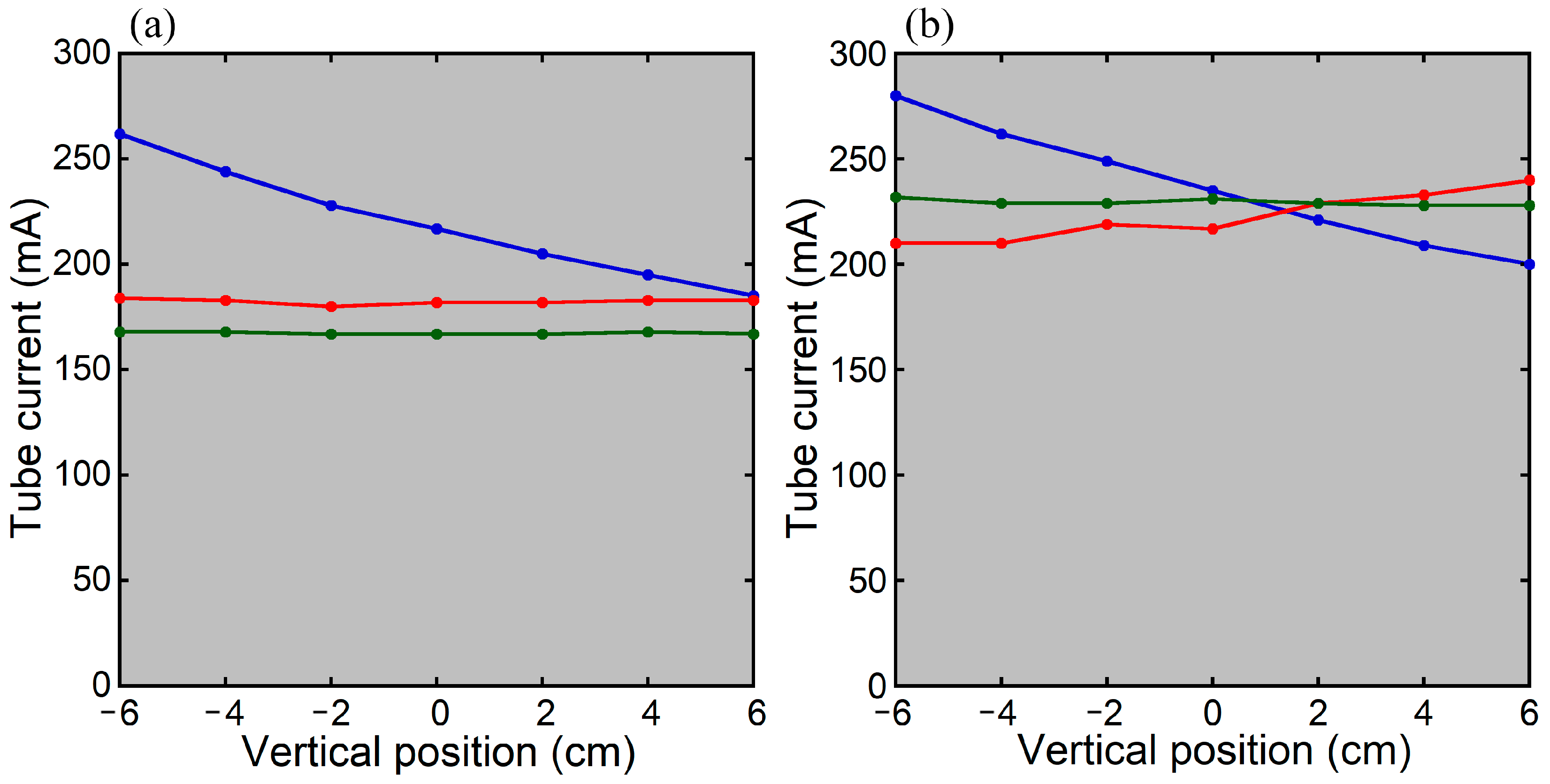
3.1. Effects of Vertical Positioning in Imaging the Cylindrical Phantom
3.2. Effects of Vertical Positioning in Imaging the Anthropomorphic Phantom
3.3. Effects of Scout Imaging Parameters
4. Discussion
5. Conclusions
Author Contributions
Funding
Institutional Review Board Statement
Informed Consent Statement
Data Availability Statement
Conflicts of Interest
References
- Pearce, M.S.; Salotti, J.A.; Little, M.P.; McHugh, K.; Lee, C.; Kim, K.P.; Howe, N.L.; Ronckers, C.M.; Rajaraman, P.; Craft, A.W.; et al. Radiation exposure from CT scans in childhood and subsequent risk of leukaemia and brain tumours: A retrospective cohort study. Lancet 2012, 380, 499–505. [Google Scholar] [CrossRef] [PubMed]
- Meulepas, J.M.; Ronckers, C.M.; Smets, A.M.J.B.; Nievelstein, R.A.J.; Gradowska, P.; Lee, C.; Jahnen, A.; van Straten, M.; de Wit, M.Y.; Zonnenberg, B.; et al. Radiation exposure from pediatric CT scans and subsequent cancer risk in The Netherlands. J. Natl. Cancer Inst. 2019, 111, 256–263. [Google Scholar] [CrossRef] [PubMed]
- Hauptmann, M.; Byrnes, G.; Cardis, E.; Bernier, M.O.; Blettner, M.; Dabin, J.; Engels, H.; Istad, T.S.; Johansen, C.; Kaijser, M.; et al. Brain cancer after radiation exposure from CT examinations of children and young adults: Results from the EPI-CT cohort study. Lancet Oncol. 2023, 24, 45–53. [Google Scholar] [CrossRef] [PubMed]
- Smith-Bindman, R.; Alber, S.A.; Kwan, M.L.; Pequeno, P.; Bolch, W.E.; Bowles, E.J.A.; Greenlee, R.T.; Stout, N.K.; Weinmann, S.; Moy, L.M.; et al. Medical imaging and pediatric and adolescent hematologic cancer risk. N. Engl. J. Med. 2025, 393, 1269–1278. [Google Scholar] [CrossRef] [PubMed]
- Kalra, M.K.; Maher, M.M.; Toth, T.L.; Schmidt, B.; Westerman, B.L.; Morgan, H.T.; Saini, S. Techniques and applications of automatic tube current modulation for CT. Radiology 2004, 233, 649–657. [Google Scholar] [CrossRef] [PubMed]
- Lee, C.H.; Goo, J.M.; Ye, H.J.; Ye, S.J.; Park, C.M.; Chun, E.J.; Im, J.G. Radiation dose modulation techniques in the multidetector CT era: From basics to practice. Radiographics 2008, 28, 1451–1459. [Google Scholar] [CrossRef] [PubMed]
- Inoue, Y.; Nagahara, K.; Kudo, H.; Itoh, H. CT dose modulation using automatic exposure control in whole-body PET/CT: Effects of scout imaging direction and arm positioning. Am. J. Nucl. Med. Mol. Imaging 2018, 8, 143–152. [Google Scholar] [PubMed]
- Franck, C.; Bacher, K. Influence of localizer and scan direction on the dose-reducing effect of automatic tube current modulation in computed tomography. Radiat. Prot. Dosim. 2016, 169, 136–142. [Google Scholar] [CrossRef] [PubMed]
- Iball, G.R.; Tout, D. Computed tomography automatic exposure control techniques in 18F-FDG oncology PET-CT scanning. Nucl. Med. Commun. 2014, 35, 372–381. [Google Scholar] [CrossRef] [PubMed]
- Inoue, Y.; Nagahara, K.; Inoki, Y.; Hara, T.; Miyatake, H. Clinical evaluation of CT radiation dose in whole-body 18F-FDG PET/CT in relation to scout imaging direction and arm position. Ann. Nucl. Med. 2019, 33, 169–176. [Google Scholar] [CrossRef] [PubMed]
- Söderberg, M. OVERVIEW, Practical tips and potential pitfalls of using automatic exposure control in CT: Siemens CARE Dose 4D. Radiat. Prot. Dosim. 2016, 169, 84–91. [Google Scholar] [CrossRef] [PubMed]
- Singh, S.; Petrovic, D.; Jamnik, E.; Aran, S.; Pourjabbar, S.; Kave, M.L.; Bradley, S.E.; Choy, G.; Kalra, M.K. Effect of localizer radiograph on radiation dose associated with automatic exposure control: Human cadaver and patient study. J. Comput. Assist. Tomogr. 2014, 38, 293–298. [Google Scholar] [CrossRef] [PubMed]
- Papadakis, A.E.; Perisinakis, K.; Damilakis, J. Automatic exposure control in pediatric and adult multidetector CT examinations: A phantom study on dose reduction and image quality. Med. Phys. 2008, 35, 4567–4576. [Google Scholar] [CrossRef] [PubMed]
- Lambert, J.W.; Kumar, S.; Chen, J.S.; Wang, Z.J.; Gould, R.G.; Yeh, B.M. Investigating the CT localizer radiograph: Acquisition parameters, patient centring and their combined influence on radiation dose. Br. J. Radiol. 2015, 88, 20140730. [Google Scholar] [CrossRef] [PubMed]
- Paolicchi, F.; Bastiani, L.; Negri, J.; Caramella, D. Effect of CT localizer radiographs on radiation dose associated with automatic tube current modulation: A multivendor study. Curr. Probl. Diagn. Radiol. 2020, 49, 34–41. [Google Scholar] [CrossRef] [PubMed]
- Kaasalainen, T.; Palmu, K.; Reijonen, V.; Kortesniemi, M. Effect of patient centering on patient dose and image noise in chest CT. AJR Am. J. Roentgenol. 2014, 203, 123–130. [Google Scholar] [CrossRef] [PubMed]
- Martí-Climent, J.M.; Prieto, E.; Morán, V.; Sancho, L.; Rodríguez-Fraile, M.; Arbizu, J.; García-Velloso, M.J.; Richter, J.A. Effective dose estimation for oncological and neurological PET/CT procedures. EJNMMI Res. 2017, 7, 37. [Google Scholar] [CrossRef] [PubMed]
- Inoue, Y.; Itoh, H. Effects of scout radiographic imaging conditions on tube current modulation in chest computed tomography. J. Radiol. Prot. 2020, 40, 253–269. [Google Scholar] [CrossRef] [PubMed]
- Schmidt, B.T.; Hupfer, M.; Saltybaeva, N.; Kolditz, D.; Kalender, W.A. Dose optimization for computed tomography localizer radiographs for low-dose lung computed tomography examinations. Invest. Radiol. 2017, 52, 81–86. [Google Scholar] [CrossRef] [PubMed]
- Hadi, Y.H.; Keaney, L.; England, A.; Moore, N.; McEntee, M. Automatic patient centering in computed tomography: A systematic review and met a-analysis. Eur. Radiol. 2025, 35, 3486–3498. [Google Scholar] [CrossRef] [PubMed]









Disclaimer/Publisher’s Note: The statements, opinions and data contained in all publications are solely those of the individual author(s) and contributor(s) and not of MDPI and/or the editor(s). MDPI and/or the editor(s) disclaim responsibility for any injury to people or property resulting from any ideas, methods, instructions or products referred to in the content. |
© 2026 by the authors. Licensee MDPI, Basel, Switzerland. This article is an open access article distributed under the terms and conditions of the Creative Commons Attribution (CC BY) license.
Share and Cite
Inoue, Y.; Itoh, H.; Hata, H.; Kikuchi, K. Effects of Scout Direction, Off-Centering, and Scout Imaging Parameters on Radiation Dose Modulation in CT. Tomography 2026, 12, 5. https://doi.org/10.3390/tomography12010005
Inoue Y, Itoh H, Hata H, Kikuchi K. Effects of Scout Direction, Off-Centering, and Scout Imaging Parameters on Radiation Dose Modulation in CT. Tomography. 2026; 12(1):5. https://doi.org/10.3390/tomography12010005
Chicago/Turabian StyleInoue, Yusuke, Hiroyasu Itoh, Hirofumi Hata, and Kei Kikuchi. 2026. "Effects of Scout Direction, Off-Centering, and Scout Imaging Parameters on Radiation Dose Modulation in CT" Tomography 12, no. 1: 5. https://doi.org/10.3390/tomography12010005
APA StyleInoue, Y., Itoh, H., Hata, H., & Kikuchi, K. (2026). Effects of Scout Direction, Off-Centering, and Scout Imaging Parameters on Radiation Dose Modulation in CT. Tomography, 12(1), 5. https://doi.org/10.3390/tomography12010005

