Design and Optimization of Lower Limb Rehabilitation Exoskeleton with a Multiaxial Knee Joint
Abstract
1. Introduction
- Analyze the physiological structure of human lower limb joints and measure the corresponding movement.
- Propose a novel approach for designing lower limb exoskeletons and conduct a multi-objective optimization on dimension parameters.
- Establish an exoskeleton prototype and conduct relevant experimental tests to verify the validation of the proposed approach.
2. Mechanical Design and Kinematic Analysis of Lower Limb Rehabilitation Exoskeleton
2.1. The Physiology Analysis of Human Lower Extremity Joints
2.2. The Mechanical Design of Lower Limb Rehabilitation Exoskeleton
2.3. Kinematic Analysis of Lower Limb Exoskeleton
3. Gait Collection and Analysis of Human Lower Limb Movement
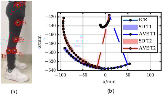
3.1. Collection of ICR of the Knee Joint
3.2. Acquisition of Human Lower Limb Walking Gait
4. Multi-Objective Optimization of Lower Limb Rehabilitation Exoskeleton
- Geometric characteristic: every part had a specific size, and there was no interference between the components.
- Kinematical characteristic: every point on the device had a specific position, velocity, and acceleration in its movements.
4.1. Variables Determination
4.2. Objective Functions and Constraints
4.3. The Comparison between the Uniaxial and the Multiaxial Joints
5. Exoskeleton Prototype Design and Test
5.1. Exoskeleton Prototype Design
5.2. Experimental Validation of Designed Exoskeleton
- Figure 12 shows that while the DC turned around, the gait angle hardly changed for a while. This suggested the presence of clearance in the motor shaft and hole fit due to machining inaccuracies.
- Stepper motors were used in the experiment, and they might lose pulses due to their open loop system, resulting in a slightly smaller measurement angle than the settings.
6. Conclusions
Author Contributions
Funding
Institutional Review Board Statement
Data Availability Statement
Conflicts of Interest
References
- Feigin, V.L.; Brainin, M.; Norrving, B.; Martins, S.; Sacco, R.L.; Hacke, W.; Fisher, M.; Pandian, J.; Lindsay, P. World Stroke Organization (WSO): Global stroke fact sheet 2022. Int. J. Stroke 2022, 17, 18–29. [Google Scholar] [CrossRef]
- Norrving, B.; Barrick, J.; Davalos, A.; Dichgans, M.; Cordonnier, C.; Guekht, A.; Kutluk, K.; Mikulik, R.; Wardlaw, J.; Richard, E. Action plan for stroke in Europe 2018–2030. Eur. Stroke J. 2018, 3, 309–336. [Google Scholar] [CrossRef] [PubMed]
- Mitzner, T.L.; Sanford, J.A.; Rogers, W.A. Closing the capacity-ability gap: Using technology to support aging with disability. Innov. Aging 2018, 2, igy008. [Google Scholar] [CrossRef]
- Tang, X.; Wang, X.; Ji, X.; Zhou, Y.; Yang, J.; Wei, Y.; Zhang, W. A wearable lower limb exoskeleton: Reducing the energy cost of human movement. Micromachines 2022, 13, 900. [Google Scholar] [CrossRef] [PubMed]
- Wang, T.; Zhang, B.; Liu, C.; Liu, T.; Han, Y.; Wang, S.; Ferreira, J.P.; Dong, W.; Zhang, X. A Review on the Rehabilitation Exoskeletons for the Lower Limbs of the Elderly and the Disabled. Electronics 2022, 11, 388. [Google Scholar] [CrossRef]
- Wijegunawardana, I.; Ranaweera, R.; Gopura, R. Lower Extremity Posture Assistive Wearable Devices: A Review. IEEE Trans. Hum. Mach. Syst. 2022, 53, 98–112. [Google Scholar] [CrossRef]
- Jansen, O.; Grasmuecke, D.; Meindl, R.C.; Tegenthoff, M.; Schwenkreis, P.; Sczesny-Kaiser, M.; Wessling, M.; Schildhauer, T.A.; Fisahn, C.; Aach, M. Hybrid assistive limb exoskeleton HAL in the rehabilitation of chronic spinal cord injury: Proof of concept; the results in 21 patients. World Neurosurg. 2018, 110, e73–e78. [Google Scholar] [CrossRef]
- Kawamoto, H.; Kamibayashi, K.; Nakata, Y.; Yamawaki, K.; Ariyasu, R.; Sankai, Y.; Sakane, M.; Eguchi, K.; Ochiai, N. Pilot study of locomotion improvement using hybrid assistive limb in chronic stroke patients. BMC Neurol. 2013, 13, 141. [Google Scholar] [CrossRef]
- Mataki, Y.; Kamada, H.; Mutsuzaki, H.; Shimizu, Y.; Takeuchi, R.; Mizukami, M.; Yoshikawa, K.; Takahashi, K.; Matsuda, M.; Iwasaki, N. Use of Hybrid Assistive Limb (HAL®) for a postoperative patient with cerebral palsy: A case report. BMC Res. Notes 2018, 11, 201. [Google Scholar] [CrossRef]
- Nolan, K.J.; Karunakaran, K.K.; Roberts, P.; Tefertiller, C.; Walter, A.M.; Zhang, J.; Leslie, D.; Jayaraman, A.; Francisco, G.E. Utilization of robotic exoskeleton for overground walking in acute and chronic stroke. Front. Neurorobot. 2021, 15, 689363. [Google Scholar] [CrossRef]
- Tefertiller, C.; Hays, K.; Jones, J.; Jayaraman, A.; Hartigan, C.; Bushnik, T.; Forrest, G.F. Initial outcomes from a multicenter study utilizing the indego powered exoskeleton in spinal cord injury. Top. Spinal Cord Inj. Rehabil. 2018, 24, 78–85. [Google Scholar] [CrossRef] [PubMed]
- He, Y.; Li, N.; Wang, C.; Xia, L.-q.; Yong, X.; Wu, X.-y. Development of a novel autonomous lower extremity exoskeleton robot for walking assistance. Front. Inf. Technol. Electron. Eng. 2019, 20, 318–329. [Google Scholar] [CrossRef]
- Asbeck, A.T.; Schmidt, K.; Walsh, C.J. Soft exosuit for hip assistance. Robot. Auton. Syst. 2015, 73, 102–110. [Google Scholar] [CrossRef]
- Chang, S.E.; Pesek, T.; Pote, T.R.; Hull, J.; Geissinger, J.; Simon, A.A.; Alemi, M.M.; Asbeck, A.T. Design and preliminary evaluation of a flexible exoskeleton to assist with lifting. Wearable Technol. 2020, 1, e10. [Google Scholar] [CrossRef]
- Vouga, T.; Zhuang, K.Z.; Olivier, J.; Lebedev, M.A.; Nicolelis, M.A.; Bouri, M.; Bleuler, H. EXiO—A brain-controlled lower limb exoskeleton for rhesus macaques. IEEE Trans. Neural Syst. Rehabil. Eng. 2017, 25, 131–141. [Google Scholar] [CrossRef]
- Gao, M.; Wang, Z.; Li, S.; Li, J.; Pang, Z.; Liu, S.; Duan, Z. Design and optimization of exoskeleton structure of lower limb knee joint based on cross four-bar linkage. AIP Adv. 2021, 11, 065124. [Google Scholar] [CrossRef]
- Lee, T.; Lee, D.; Song, B.; Baek, Y.S. Design and control of a polycentric knee exoskeleton using an electro-hydraulic actuator. Sensors 2019, 20, 211. [Google Scholar] [CrossRef] [PubMed]
- Zhang, Z.; Yu, H.; Cao, W.; Wang, X.; Meng, Q.; Chen, C. Design of a semi-active prosthetic knee for transfemoral amputees: Gait symmetry research by simulation. Appl. Sci. 2021, 11, 5328. [Google Scholar] [CrossRef]
- Haug, L.; Weber, D.L.; Haddad, D.; Böhm, P.; Rudert, M.; Nedopil, A. Dynamic MRI assessment of normal knee kinematics. J. Clin. Exp. Orthop. 2017, 3, 41. [Google Scholar] [CrossRef]
- Lyu, M.; Chen, W.; Ding, X.; Wang, J.; Bai, S.; Ren, H. Design of a biologically inspired lower limb exoskeleton for human gait rehabilitation. Rev. Sci. Instrum. 2016, 87, 104301. [Google Scholar] [CrossRef] [PubMed]
- de Andrade, R.M.; Fabriz Ulhoa, P.H.; Fragoso Dias, E.A.; Filho, A.B.; Vimieiro, C.B.S. Design and testing a highly backdrivable and kinematic compatible magneto-rheological knee exoskeleton. J. Intell. Mater. Syst. Struct. 2023, 34, 653–663. [Google Scholar] [CrossRef]
- Ruiz-Díaz, F.D.; Altamirano-Altamirano, A.; Valentino-Orozco, G. External knee prosthesis with four bar linkage mechanism. In Proceedings of the 2016 13th International Conference on Electrical Engineering, Computing Science and Automatic Control (CCE), Mexico City, Mexico, 26–30 September 2016; pp. 1–6. [Google Scholar]
- Brockmeyer, M.; Orth, P.; Höfer, D.; Seil, R.; Paulsen, F.; Menger, M.D.; Kohn, D.; Tschernig, T. The anatomy of the anterolateral structures of the knee—A histologic and macroscopic approach. Knee 2019, 26, 636–646. [Google Scholar] [CrossRef] [PubMed]
- Zelik, K.E.; Adamczyk, P.G. A unified perspective on ankle push-off in human walking. J. Exp. Biol. 2016, 219, 3676–3683. [Google Scholar] [CrossRef]
- Zhang, Y.; Wang, E.; Wang, M.; Liu, S.; Ge, W. Design and experimental research of knee joint prosthesis based on gait acquisition technology. Biomimetics 2021, 6, 28. [Google Scholar] [CrossRef] [PubMed]
- Wang, Y.; Li, Z.; Wang, X.; Yu, H.; Liao, W.; Arifoglu, D. Human gait data augmentation and trajectory prediction for lower-limb rehabilitation robot control using GANs and attention mechanism. Machines 2021, 9, 367. [Google Scholar] [CrossRef]
- Xiao, B.; Shao, Y.; Zhang, W. Design and optimization of single-degree-of-freedom six-bar mechanisms for knee joint of lower extremity exoskeleton robot. In Proceedings of the 2019 IEEE International Conference on Robotics and Biomimetics (ROBIO), Dali, China, 6–8 December 2019; pp. 2861–2866. [Google Scholar]
- Zeiaee, A.; Soltani-Zarrin, R.; Langari, R.; Tafreshi, R. Kinematic design optimization of an eight degree-of-freedom upper-limb exoskeleton. Robotica 2019, 37, 2073–2086. [Google Scholar] [CrossRef]
- Khemili, I.; Ben Abdallah, M.A.; Aifaoui, N. Multi-objective optimization of a flexible slider-crank mechanism synthesis, based on dynamic responses. Eng. Optim. 2019, 51, 978–999. [Google Scholar] [CrossRef]
- Reggio, A.; Greco, R.; Marano, G.C.; Ferro, G.A. Stochastic Multi-objective Optimisation of Exoskeleton Structures. J. Optim. Theory Appl. 2020, 187, 822–841. [Google Scholar] [CrossRef]
- Sánchez Manchola, M.D.; Bernal, M.J.P.; Munera, M.; Cifuentes, C.A. Gait phase detection for lower-limb exoskeletons using foot motion data from a single inertial measurement unit in hemiparetic individuals. Sensors 2019, 19, 2988. [Google Scholar] [CrossRef] [PubMed]
- Zhu, L.; Wang, Z.; Ning, Z.; Zhang, Y.; Liu, Y.; Cao, W.; Wu, X.; Chen, C. A novel motion intention recognition approach for soft exoskeleton via IMU. Electronics 2020, 9, 2176. [Google Scholar] [CrossRef]

















| Parameters | Value | Unit |
|---|---|---|
| 97.34 | mm | |
| 113.43 | mm | |
| 59.64 | mm | |
| 435.3 | mm | |
| 417.23 | mm | |
| 436.13 | mm | |
| 1000.23 | mm | |
| 1.31 | rad | |
| 91.18 | mm | |
| 8.76 | mm | |
| 0.26 | rad | |
| 40.04 | mm | |
| −1.78 | rad |
| Name | Radius/mm | Arc/rad |
|---|---|---|
| Curve1 | 19.48 | 1.55 |
| Curve2 | 23.73 | 1.42 |
| Curve3 | 29.27 | 1.09 |
Disclaimer/Publisher’s Note: The statements, opinions and data contained in all publications are solely those of the individual author(s) and contributor(s) and not of MDPI and/or the editor(s). MDPI and/or the editor(s) disclaim responsibility for any injury to people or property resulting from any ideas, methods, instructions or products referred to in the content. |
© 2023 by the authors. Licensee MDPI, Basel, Switzerland. This article is an open access article distributed under the terms and conditions of the Creative Commons Attribution (CC BY) license (https://creativecommons.org/licenses/by/4.0/).
Share and Cite
Jiang, J.; Chen, P.; Peng, J.; Qiao, X.; Zhu, F.; Zhong, J. Design and Optimization of Lower Limb Rehabilitation Exoskeleton with a Multiaxial Knee Joint. Biomimetics 2023, 8, 156. https://doi.org/10.3390/biomimetics8020156
Jiang J, Chen P, Peng J, Qiao X, Zhu F, Zhong J. Design and Optimization of Lower Limb Rehabilitation Exoskeleton with a Multiaxial Knee Joint. Biomimetics. 2023; 8(2):156. https://doi.org/10.3390/biomimetics8020156
Chicago/Turabian StyleJiang, Jiandong, Peisong Chen, Jiyu Peng, Xin Qiao, Fengle Zhu, and Jiang Zhong. 2023. "Design and Optimization of Lower Limb Rehabilitation Exoskeleton with a Multiaxial Knee Joint" Biomimetics 8, no. 2: 156. https://doi.org/10.3390/biomimetics8020156
APA StyleJiang, J., Chen, P., Peng, J., Qiao, X., Zhu, F., & Zhong, J. (2023). Design and Optimization of Lower Limb Rehabilitation Exoskeleton with a Multiaxial Knee Joint. Biomimetics, 8(2), 156. https://doi.org/10.3390/biomimetics8020156

