An Underactuated Adaptive Microspines Gripper for Rough Wall
Abstract
1. Introduction
2. Materials and Methods
2.1. Design of the Microspines Grippers
2.1.1. Overall Design of the Microspines Grippers
2.1.2. Spine Design
2.1.3. Compliant Structure Design
- (1)
- Distributing the overall tangential and normal force evenly to avoid damaging individual spines and avoid “peeling” failures, in which stress concentrations cause a local failure that then propagates across the array;
- (2)
- Provides enough independence between adjacent spines such that each spine can find and settle on its own asperity without influencing or being influenced by its neighbors;
- (3)
- Maintaining the orientation of each spine so that it does not slip off its asperity as loads are increased;
- (4)
- Accommodating errors in alignment between the spine array and the wall and accommodating local curvature in the wall surface.
- (1)
- Kxx should be moderate, so that the flexible structure can not only meet the requirement that the deformation is greater than the average rough peak spacing of the wall surface in the horizontal tension direction but also withstand large loads;
- (2)
- Kyy should be smaller to meet the adaptability of microspine to the millimeter level of wall geometry;
- (3)
- Kxy should be less than zero. At the attachment stage, after anchoring the rough peak, give the remaining microspine a force to continue to approach the wall, so that as many microspines as possible can contact the wall well and anchor the appropriate rough peak.
2.2. Rigid-Flexible Coupling Simulation Analysis
2.3. Test of Microspines Gripper
3. Results and Discussion
3.1. Results of Rigid-Flexible Coupling Analysys
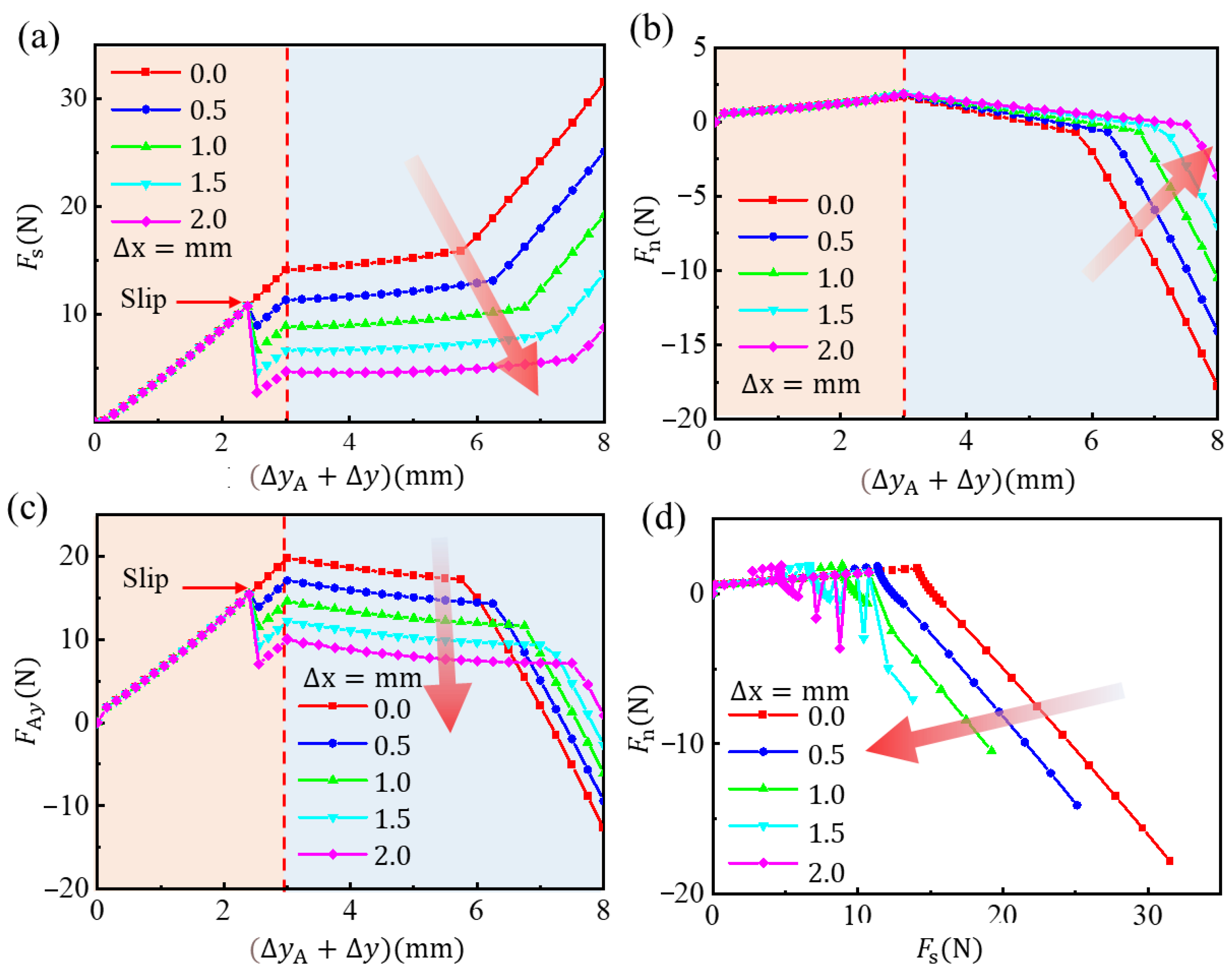
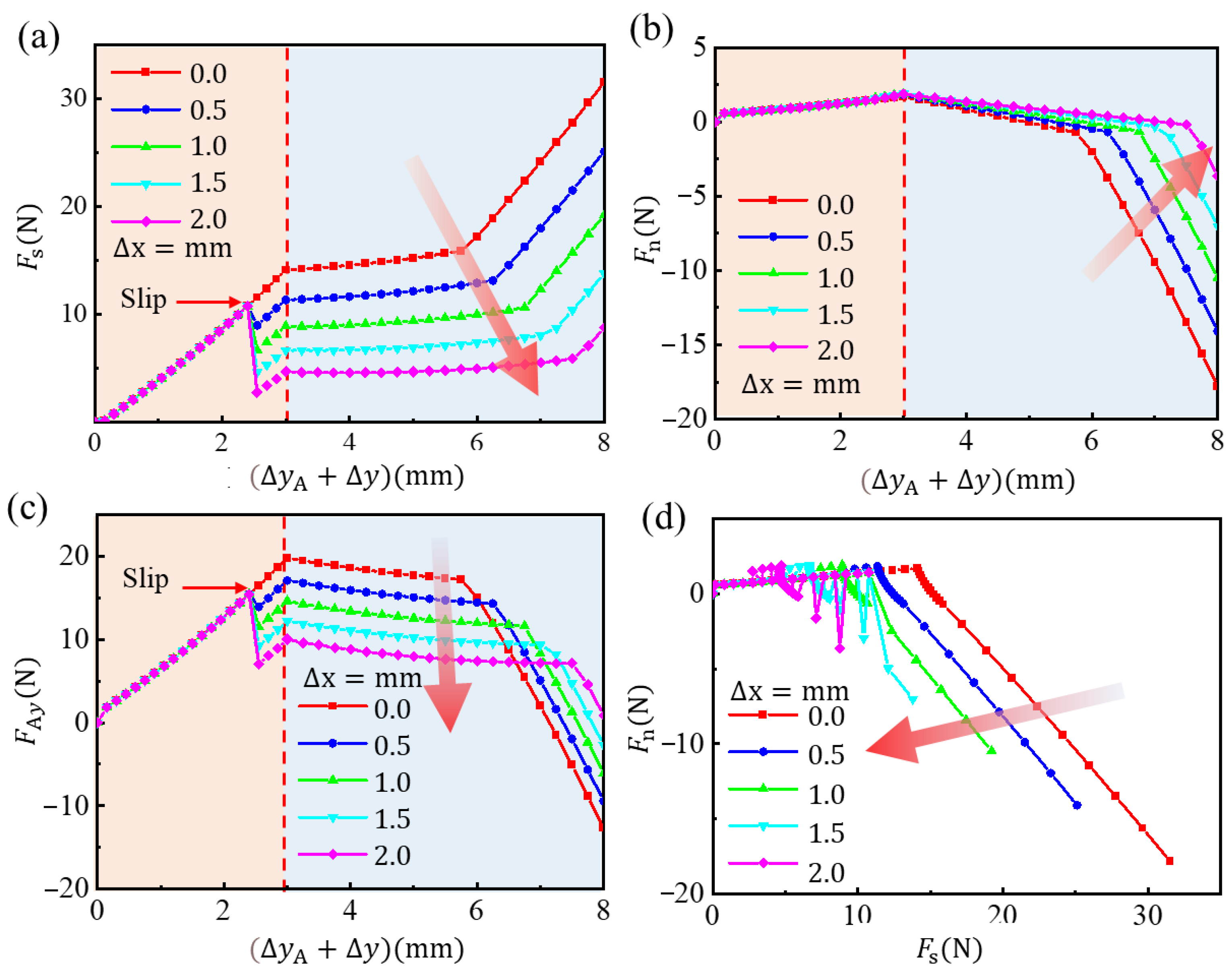
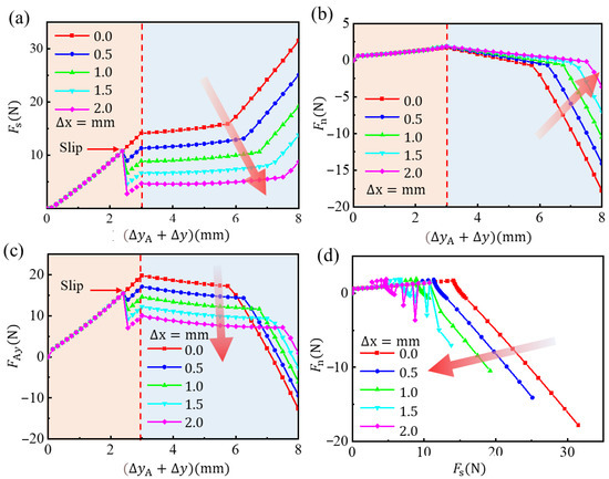
3.2. Performance of Microspines Gripper
3.3. Grasping Demonstration of Microspines Gripper
4. Conclusions
Supplementary Materials
Author Contributions
Funding
Institutional Review Board Statement
Data Availability Statement
Conflicts of Interest
References
- Han, L.; Wang, Z.; Ji, A.; Dai, Z. Grip and detachment of locusts on inverted sandpaper substrates. Bioinspir. Biomim. 2011, 6, 046005. [Google Scholar] [CrossRef] [PubMed]
- Busshardt, P.; Kunze, D.; Gorb, S.N. Interlocking-based attachment during locomotion in the beetle Pachnoda marginata (Coleoptera, Scarabaeidae). Sci. Rep. 2014, 4, 6998. [Google Scholar] [CrossRef] [PubMed]
- Voigt, D.; Schuppert, J.M.; Dattinger, S.; Gorb, S.N. Sexual dimorphism in the attachment ability of the Colorado potato beetle Leptinotarsa decemlineata (Coleoptera: Chrysomelidae) to rough substrates. J. Insect Physiol. 2008, 54, 765–776. [Google Scholar] [CrossRef] [PubMed]
- Roderick, W.R.; Chin, D.D.; Cutkosky, M.R.; Lentink, D. Birds land reliably on complex surfaces by adapting their foot-surface interactions upon contact. Elife 2019, 8, 46415. [Google Scholar] [CrossRef] [PubMed]
- Ditsche-Kuru, P.; Barthlott, W.; Koop, J.H.E. At which surface roughness do claws cling? Investigations with larvae of the running water mayfly Epeorus assimilis (Heptageniidae, Ephemeroptera). Zoology 2012, 115, 379–388. [Google Scholar] [CrossRef] [PubMed]
- Filippov, A.E.; Gorb, S.N. Contact Between Biological Attachment Devices and Rough Surfaces. In Combined Discrete and Continual Approaches in Biological Modelling; Springer: Cham, Switzerland, 2020; pp. 87–141. [Google Scholar]
- Dai, Z.; Gorb, S.N.; Schwarz, U. Roughness-dependent friction force of the tarsal claw system in the beetle Pachnoda marginata (Coleoptera, Scarabaeidae). J. Exp. Biol. 2002, 205, 2479–2488. [Google Scholar] [CrossRef] [PubMed]
- Asbeck, A.T.; Kim, S.; Cutkosky, M.R.; Provancher, W.R.; Lanzetta, M. Scaling hard vertical surfaces with compliant microspine arrays. Int. J. Robot. Res. 2006, 25, 1165–1179. [Google Scholar] [CrossRef]
- Parness, A.; Frost, M.; Thatte, N.; King, J.P.; Witkoe, K.; Nevarez, M.; Garrett, M.; Aghazarian, H.; Kennedy, B. Gravity-independent rock-climbing robot and a sample acquisition tool with microspine grippers. J. Field Robot. 2013, 30, 897–915. [Google Scholar] [CrossRef]
- Parness, A.; Frost, M.; Thatte, N.; King, J.P. Gravity-independent mobility and drilling on natural rock using microspines. In Proceedings of the 2012 IEEE International Conference on Robotics and Automation, St Paul, MN, USA, 14–18 May 2012; IEEE: New York, NY, USA, 2012; pp. 3437–3442. [Google Scholar]
- Haynes, G.C.; Khripin, A.; Lynch, G.; Amory, J.; Saunders, A.; Rizzi, A.A.; Koditschek, D.E. Rapid pole climbing with a quadrupedal Robot. In Proceedings of the 2009 IEEE International Conference on Robotics and Automation (ICRA), Kobe, Japan, 12–17 May 2009; IEEE: New York, NY, USA, 2009; pp. 2767–2772. [Google Scholar]
- Kim, S.; Asbeck, A.T.; Cutkosky, M.R.; Provancher, W.R. SpinybotII: Climbing hard walls with compliant microspines. In Proceedings of the 12th International Conference on Advanced Robotics, Seattle, WA, USA, 17–20 July 2005; IEEE: New York, NY, USA, 2005; pp. 601–606. [Google Scholar]
- Spenko, M.J.; Haynes, G.C.; Saunders, J.A.; Cutkosky, M.R.; Rizzi, A.A.; Full, R.J.; Koditschek, D.E. Biologically inspired climbing with a hexapedal robot. J. Field Robot. 2008, 25, 223–242. [Google Scholar] [CrossRef]
- Birkmeyer, P.; Gillies, A.G.; Fearing, R.S. CLASH: Climbing vertical loose cloth. In Proceedings of the 2011 IEEE/RSJ International Conference on Intelligent Robots and Systems, San Francisco, CA, USA, 25–30 September 2011; IEEE: New York, NY, USA, 2011; pp. 5087–5093. [Google Scholar]
- Clark, J.E.; Goldman, D.I.; Lin, P.-C.; Lynch, G.; Chen, T.S.; Komsuoglu, H.; Full, R.J.; Koditschek, D. Design of a bio-inspired dynamical vertical climbing robot. In Robotics: Science and Systems, 3rd ed.; IEEE: New York, NY, USA, 2007. [Google Scholar]
- Dickson, J.D.; Clark, J.E. Design of a multimodal climbing and gliding robotic platform. IEEE/ASME Trans. Mechatron. 2012, 18, 494–505. [Google Scholar] [CrossRef]
- Parness, A. Anchoring foot mechanisms for sampling and mobility in microgravity. In Proceedings of the 2011 IEEE International Conference on Robotics and Automation, Shanghai, China, 9–13 May 2011; IEEE: New York, NY, USA, 2011; pp. 6596–6599. [Google Scholar]
- Liu, Y.; Lam, T.L.; Qian, H.; Xu, Y. Design and analysis of gripper with retractable spine for tree climbing robots. In Proceedings of the 2014 IEEE International Conference on Information and Automation (ICIA), Hulun Buir, China, 28–30 July 2014; pp. 350–355. [Google Scholar]
- Liu, G.; Liu, Y.; Wang, X.; Wu, X.; Mei, T. Design and experiment of a bioinspired wall-climbing robot using spiny grippers. In Proceedings of the 2016 IEEE International Conference on Mechatronics and Automation, Harbin, China, 7–10 August 2016; IEEE: New York, NY, USA, 2016; pp. 665–670. [Google Scholar]
- Wang, S.; Jiang, H.; Cutkosky, M.R. A palm for a rock climbing robot based on dense arrays of micro-spines. In Proceedings of the 2016 IEEE/RSJ International Conference on Intelligent Robots and Systems (IROS), Daejeon, Republic of Korea, 9–14 October 2016; IEEE: New York, NY, USA, 2016; pp. 52–59. [Google Scholar]
- Asbeck, A.T.; Kim, S.; Mcclung, A.; Parness, A.; Cutkosky, M.R. Climbing walls with microspines. In Proceedings of the 2006 IEEE International Conference on Robotics and Automation (ICRA), Orlando, FL, USA, 15–19 May 2006; pp. 4315–4317. [Google Scholar]
- Merz, R.; Prinz, F.; Ramaswami, K.; Terk, M.; Weiss, L. Shape deposition manufacturing. In Proceedings of the 1994 International Solid Freeform Fabrication Symposium, Austin, TX, USA, 8–10 August 1994. [Google Scholar]
- Binnard, M.; Cutkosky, M.R. Design by composition for layered manufacturing. J. Mech. Des. 2000, 122, 91–101. [Google Scholar] [CrossRef]
- Asbeck, A.T.; Cutkosky, M.R. Designing compliant spine mechanisms for climbing. J. Mech. Robot. 2012, 4, 031007. [Google Scholar] [CrossRef]
- Asbeck, A.T. Compliant Directional Suspensions for Climbing with Spines and Adhesives; Stanford University: Stanford, CA, USA, 2010. [Google Scholar]
- Wang, S.; Jiang, H.; Myung Huh, T.; Sun, D.; Ruotolo, W.; Miller, M.; Roderick, W.R.T.; Stuart, H.S.; Cutkosky, M.R. SpinyHand: Contact load sharing for a human-scale climbing robot. J. Mech. Robot. 2019, 11, 031009. [Google Scholar] [CrossRef]
- Ruotolo, W.; Roig, F.S.; Cutkosky, M.R. Load-sharing in soft and spiny paws for a large climbing robot. IEEE Robot. Autom. Lett. 2019, 4, 1439–1446. [Google Scholar] [CrossRef]
- Parness, A.; Evans, T.; Raff, W.; King, J.; Carpenter, K.; Willig, A.; Grimes-York, J.; Berg, A.; Fouad, E.; Wiltsie, N. Maturing microspine grippers for space applications through test campaigns. In Proceedings of the AIAA SPACE and Astronautics Forum and Exposition, Orlando, FL, USA, 12–14 September 2017; p. 5311. [Google Scholar]
- Parness, A.; Willig, A.; Berg, A.; Shekels, M.; Arutyunov, V.; Dandino, C.; Kennedy, B. A microspine tool: Grabbing and anchoring to boulders on the asteroid redirect mission. In Proceedings of the 2017 IEEE Aerospace Conference, Big Sky, MT, USA, 4–11 March 2017; IEEE: New York, NY, USA, 2017; pp. 1–10. [Google Scholar]
- Parness, A.; Abcouwer, N.; Fuller, C.; Wiltsie, N.; Nash, J.; Kennedy, B. Lemur 3: A limbed climbing robot for extreme terrain mobility in space. In Proceedings of the 2017 IEEE International Conference on Robotics and Automation (ICRA), Singapore, 29 May–3 June 2017; IEEE: New York, NY, USA, 2017; pp. 5467–5473. [Google Scholar]
- Liu, Y.; Sun, S.; Wu, X.; Mei, T. A wheeled wall-climbing robot with bio-inspired spine mechanisms. J. Bionic Eng. 2015, 12, 17–28. [Google Scholar] [CrossRef]










Disclaimer/Publisher’s Note: The statements, opinions and data contained in all publications are solely those of the individual author(s) and contributor(s) and not of MDPI and/or the editor(s). MDPI and/or the editor(s) disclaim responsibility for any injury to people or property resulting from any ideas, methods, instructions or products referred to in the content. |
© 2023 by the authors. Licensee MDPI, Basel, Switzerland. This article is an open access article distributed under the terms and conditions of the Creative Commons Attribution (CC BY) license (https://creativecommons.org/licenses/by/4.0/).
Share and Cite
Li, X.; Chen, W.; Li, X.; Hou, X.; Zhao, Q.; Meng, Y.; Tian, Y. An Underactuated Adaptive Microspines Gripper for Rough Wall. Biomimetics 2023, 8, 39. https://doi.org/10.3390/biomimetics8010039
Li X, Chen W, Li X, Hou X, Zhao Q, Meng Y, Tian Y. An Underactuated Adaptive Microspines Gripper for Rough Wall. Biomimetics. 2023; 8(1):39. https://doi.org/10.3390/biomimetics8010039
Chicago/Turabian StyleLi, Xinxin, Wenqing Chen, Xiaosong Li, Xin Hou, Qian Zhao, Yonggang Meng, and Yu Tian. 2023. "An Underactuated Adaptive Microspines Gripper for Rough Wall" Biomimetics 8, no. 1: 39. https://doi.org/10.3390/biomimetics8010039
APA StyleLi, X., Chen, W., Li, X., Hou, X., Zhao, Q., Meng, Y., & Tian, Y. (2023). An Underactuated Adaptive Microspines Gripper for Rough Wall. Biomimetics, 8(1), 39. https://doi.org/10.3390/biomimetics8010039

