Experimental Study on a “Snake-Type” Vibration Cutting Method for Cutting Force and Cutting Heat Reductions
Abstract
1. Introduction
2. Materials and Methods
2.1. Design and Principle of the SVC Method
2.2. Experimental Design and Setup
3. Results and Discussion
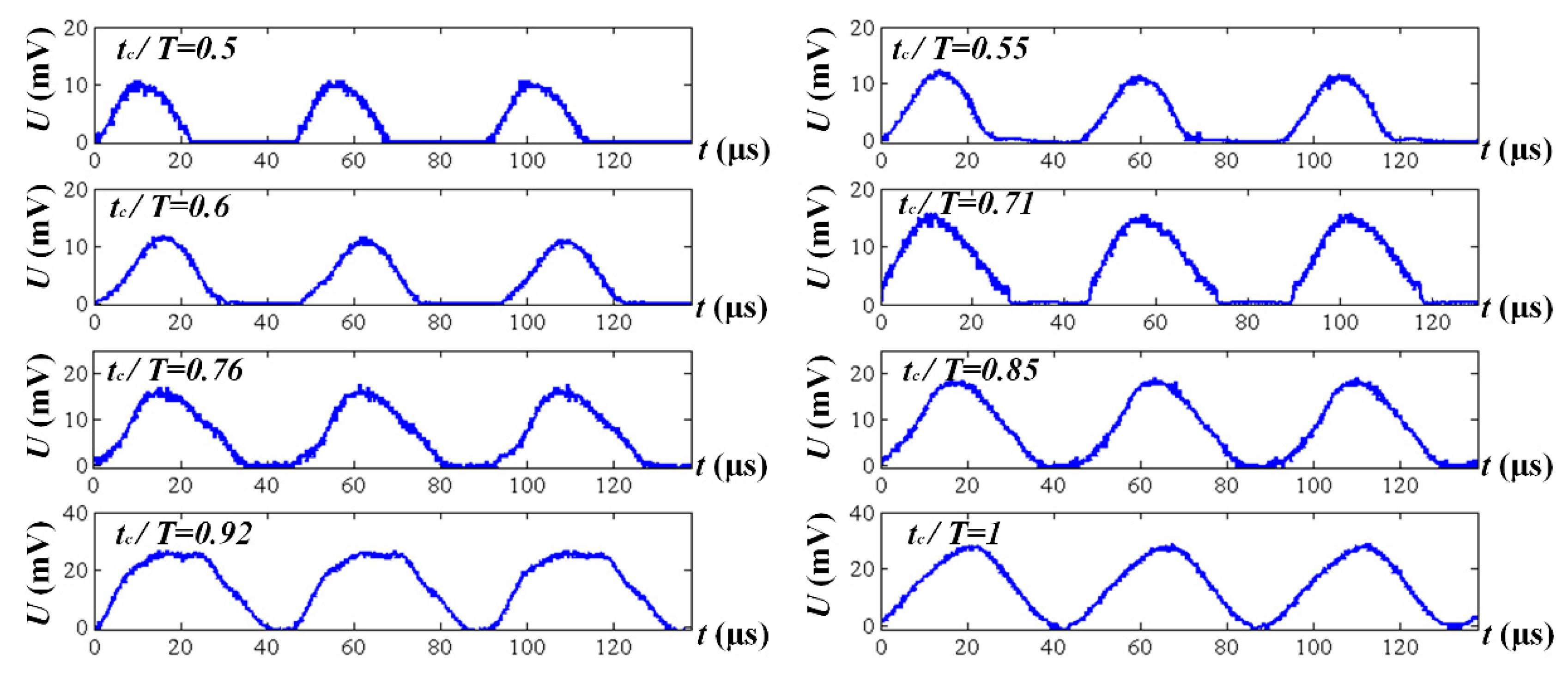
3.1. Cutting Force
3.2. Cutting Temperature
3.3. Surface Integrity
4. Conclusions
- (1)
- A high cutting speed (200–400 m/min) can be achieved compared to traditional vibration cutting methods (<60 m/min).
- (2)
- A maximum cutting force and cutting temperature reduction of about 50% can be achieved compared to CC when the cutting speed is 200 m/min.
- (3)
- SVC can achieve a compressive surface residual stress (347 MPa) and same surface roughness level as that of CC (Ra < 0.4 μm).
Author Contributions
Funding
Conflicts of Interest
References
- Honnarat, Y. Issues and breakthrough in the manufacture of turbo engine titanium parts. Mater. Sci. Eng. A-Struct. 1996, 213, 115–123. [Google Scholar] [CrossRef]
- Jawaid, A.; Sharif, S.; Koksal, S. Evaluation of wear mechanisms of coated carbide tools when milling titanium alloy. J. Mater. Process. Technol. 2000, 99, 266–274. [Google Scholar] [CrossRef]
- Nouari, M.; Ginting, A. Wear characteristics and performance of multi-layer CVD-coated carbide tool in dry end milling of titanium alloy. Surf. Coat. Technol. 2006, 200, 5663–5676. [Google Scholar]
- Nagi, E.; Che, H.C.H.; Jaharah, A.G.; Shuaeib, F.M. High speed milling of Ti-6Al-4V using coated carbide tools. Eur. J. Sci. Res. 2008, 22, 153–162. [Google Scholar]
- Kuram, E.; Ozcelik, B. Optimization of machining parameters during micro-milling of Ti6Al4V titanium alloy and Inconel 718 materials using Taguchi method. Proc. Inst. Mech. Eng. Part B J. Eng. Manuf. 2017, 231, 228–242. [Google Scholar] [CrossRef]
- Ramesh, S.; Karunamoorthy, L.; Palanikumar, K. Measurement and analysis of surface roughness in turning of aerospace titanium alloy (gr5). Measurement 2012, 45, 1266–1276. [Google Scholar] [CrossRef]
- Zoya, Z.A.; Krishnamurthy, R. The performance of CBN tools in the machining of Ti-alloys. J. Mater. Process. Technol. 2000, 100, 80–86. [Google Scholar] [CrossRef]
- Ezugwu, E.O.; Bonney, J.; Da Silva, R.B.; Çakir, O. Surface integrity of finished turned Ti-6Al-4V alloy with PCD tools using conventional and high pressure coolant supplies. Int. J. Mach. Tools Manuf. 2007, 47, 884–891. [Google Scholar]
- Polini, W.; Turchetta, S.P. Cutting force, tool life and surface roughness integrity in milling of titanium alloy Ti-6Al-4V with coated carbide tools. Proc. Inst. Mech. Eng. Part B J. Eng. Manuf. 2014, 230, 694–700. [Google Scholar] [CrossRef]
- Thepsonthi, T.; Ozel, T. Experimental and finite element simulation based investigations on micro-milling Ti-6Al-4V titanium alloy: Effects of CBN coating on tool wear. J. Mater. Process. Technol. 2013, 213, 532–542. [Google Scholar] [CrossRef]
- Khanna, N.; Sangwan, K.S. Interrupted machining analysis for Ti-6Al-4V and Ti5553 titanium alloys using physical vapor deposition (PVD)–coated carbide inserts. Proc. Inst. Mech. Eng. Part B J. Eng. Manuf. 2013, 227, 465–470. [Google Scholar]
- Okada, M.; Hosokawa, A.; Asakawa, N.; Ueda, T. End milling of stainless steel and titanium alloy in an oil mist environment. Int. J. Adv. Manuf. Technol. 2014, 74, 1255–1266. [Google Scholar]
- Strano, M.; Chiappini, E.; Tirelli, S.; Albertelli, P.; Monno, M. Comparison of Ti6Al4V machining forces and tool life for cryogenic versus conventional cooling. Proc. Inst. Mech. Eng. Part B J. Eng. Manuf. 2013, 227, 1403–1408. [Google Scholar] [CrossRef]
- Klocke, F.; Lung, D.; Arft, M.; Priarone, P.C.; Settineri, L. On high-speed turning of a third-generation gamma titanium aluminide. Int. J. Adv. Manuf. Technol. 2013, 65, 155–163. [Google Scholar]
- Brehl, D.E.; Dow, T.A. Review of vibration-assisted machining. Precis. Eng. 2008, 32, 153–172. [Google Scholar] [CrossRef]
- Dhananchezian, M.; Kumar, P.M. Cryogenic turning of the Ti–6Al–4V alloy with modified cutting tool inserts. Cryogenics 2011, 51, 34–40. [Google Scholar] [CrossRef]
- Maruda, R.W.; Krolczyk, G.M.; Michalski, M.; Nieslony, P.; Wojciechowski, S. Structural and Microhardness Changes After Turning of the AISI 1045 Steel for Minimum Quantity Cooling Lubrication. J. Mater. Eng. Perform. 2017, 26, 431–438. [Google Scholar]
- Krolczyk, G.M.; Legutko, S. Experimental analysis by measurement of surface roughness variations in turning process of duplex stainless steel. Metrol. Meas. Syst. 2014, 21, 759–770. [Google Scholar] [CrossRef]
- Babitsky, V.I.; Astashev, V.K.; Kalashnikov, A.N. Ultrasonic cutting as a nonlinear (vibro-impact) process. Ultrasonics 2004, 42, 29–35. [Google Scholar]
- Ma, C.X.; Shamoto, E.; Moriwaki, T. Study of machining accuracy in ultrasonic elliptical vibration cutting. Int. J. Mach. Tools Manuf. 2004, 44, 1305–1310. [Google Scholar] [CrossRef]
- Shamoto, E.; Moriwaki, T. Ultraprecision diamond cutting of hardened steel by applying elliptical vibration cutting. CIRP Ann.-Manuf. Technol. 1999, 48, 441–444. [Google Scholar] [CrossRef]
- Xu, W.X.; Zhang, L. Ultrasonic vibration-assisted machining: Principle, design and application. Adv. Manuf. 2015, 3, 173–192. [Google Scholar]
- Pettersen, K.Y. Snake robots. Ann. Rev. Control 2017, 44, 19–44. [Google Scholar]
- Xiao, X.S.; Murphy, A.R. A review on snake robot testbeds in granular and restricted maneuverability spaces. Robot. Auton. Syst. 2018, 110, 160–172. [Google Scholar] [CrossRef]
- Yang, Y.; Zhang, M.; Li, D.; Shen, Y. Graphene-Based Light-Driven Soft Robot with Snake-Inspired Concertina and Serpentine Locomotion. Adv. Mater. Technol. 2019. [Google Scholar] [CrossRef]
- Tsairi, H.; Bouskila, A. Ambush site selection of a desert snake (Echis coloratus) at an oasis. Herpetologica 2004, 60, 13–23. [Google Scholar]
- Weaver, J.C.; Milliron, G.W.; Miserez, A.; Evans-Lutterodt, K.; Herrera, S.; Gallana, I.; Mershon, W.J.; Swanson, B.; Zavattieri, P.; DiMasi, E.; et al. The Stomatopod Dactyl Club: A Formidable Damage-Tolerant Biological Hammer. Science 2012, 336, 1275–1280. [Google Scholar] [CrossRef]
- Gronenberg, W.; Tautz, J. The sensory basis for the trap-jaw mechanismin the ant Odontomachus bauri. Comp. Physiol. A 1994, 174, 49–60. [Google Scholar]
- Patek, S.N.; Baio, J.E.; Fisher, B.L.; Suarez, A.V. Multifunctionality and mechanical origins: Ballistic jaw propulsion in trap-jaw ants. Proc. Natl. Acad. Sci. USA 2006, 103, 12787–12792. [Google Scholar] [CrossRef]
- Hao, W.T.; Yao, G.; Zhang, X.Y.; Zhang, D.Y. Kinematics and Mechanics analysis of trap-jaw ant Odontomachus monticola. IOP Conf. Ser. J. Phys. 2018, 986, 012029. [Google Scholar]
- Zhang, X.Y.; Sui, H.; Zhang, D.Y.; Jiang, X.G. Measurement of ultrasonic-frequency repetitive impulse cutting force signal. Measurement 2018, 129, 653–663. [Google Scholar] [CrossRef]
- Grossi, N. Accurate and fast measurement of specific cutting force coefficients changing with spindle speed. Int. J. Precis. Eng. Manuf. 2017, 18, 1173–1180. [Google Scholar] [CrossRef]
- Zhang, X.Y.; Lu, Z.H.; Peng, Z.L.; Sui, H.; Zhang, D.Y. Development of a tool-workpiece thermocouple system for comparative study of the cutting temperature when high-speed ultrasonic vibration cutting Ti-6Al-4V alloys with and without cutting fluids. Int. J. Adv. Manuf. Technol. 2018, 96, 237–246. [Google Scholar] [CrossRef]
- Jiang, X.G.; Zhang, X.Y.; Zhu, X.B.; Sui, H.; Zhang, D.Y. Study of phase shift control in high -speed ultrasonic vibration cutting. IEEE Trans. Ind. Electron. 2018, 65, 2467–2474. [Google Scholar] [CrossRef]
- Gao, Y.; Sun, R.L.; Leopold, J. Analysis of Cutting Stability in Vibration Assisted Machining Using an Analytical Predictive Force Model. Procedia CIRP 2015, 31, 515–520. [Google Scholar] [CrossRef]













| Parameters | Values |
|---|---|
| Cutting speed, m/min | 200, 250, 300, 350 |
| Feed rate, mm/r | 0.005, 0.007, 0.009, 0.011 |
| Depth of cut, mm | 0.025, 0.05, 0.075, 0.1 |
| Cutting fluid | Regular cooling fluid |
© 2019 by the authors. Licensee MDPI, Basel, Switzerland. This article is an open access article distributed under the terms and conditions of the Creative Commons Attribution (CC BY) license (http://creativecommons.org/licenses/by/4.0/).
Share and Cite
Zhang, X.; Peng, Z.; Zhang, D. Experimental Study on a “Snake-Type” Vibration Cutting Method for Cutting Force and Cutting Heat Reductions. Biomimetics 2019, 4, 57. https://doi.org/10.3390/biomimetics4030057
Zhang X, Peng Z, Zhang D. Experimental Study on a “Snake-Type” Vibration Cutting Method for Cutting Force and Cutting Heat Reductions. Biomimetics. 2019; 4(3):57. https://doi.org/10.3390/biomimetics4030057
Chicago/Turabian StyleZhang, Xiangyu, Zhenlong Peng, and Deyuan Zhang. 2019. "Experimental Study on a “Snake-Type” Vibration Cutting Method for Cutting Force and Cutting Heat Reductions" Biomimetics 4, no. 3: 57. https://doi.org/10.3390/biomimetics4030057
APA StyleZhang, X., Peng, Z., & Zhang, D. (2019). Experimental Study on a “Snake-Type” Vibration Cutting Method for Cutting Force and Cutting Heat Reductions. Biomimetics, 4(3), 57. https://doi.org/10.3390/biomimetics4030057

