Composite Materials and Films Based on Melanins, Polydopamine, and Other Catecholamine-Based Materials
Abstract
:1. Introduction
2. Composites of Polydopamine and Inorganic Materials
2.1. Carbon-Based Composites
2.2. Composites with Ions and Nanoparticles
2.3. Composites with Clays and Zeolites
3. Composites of Polydopamine with Organic Materials
3.1. Interactions between Melanins and Porphyrins
3.2. Layer-by-Layer Deposition of Polydopamine-Based Materials
3.3. Dopamine Grafted on Polymers and Gels
3.4. Polydopamine–-Protein Composites
3.5. Polydopamine–Polymer Composites
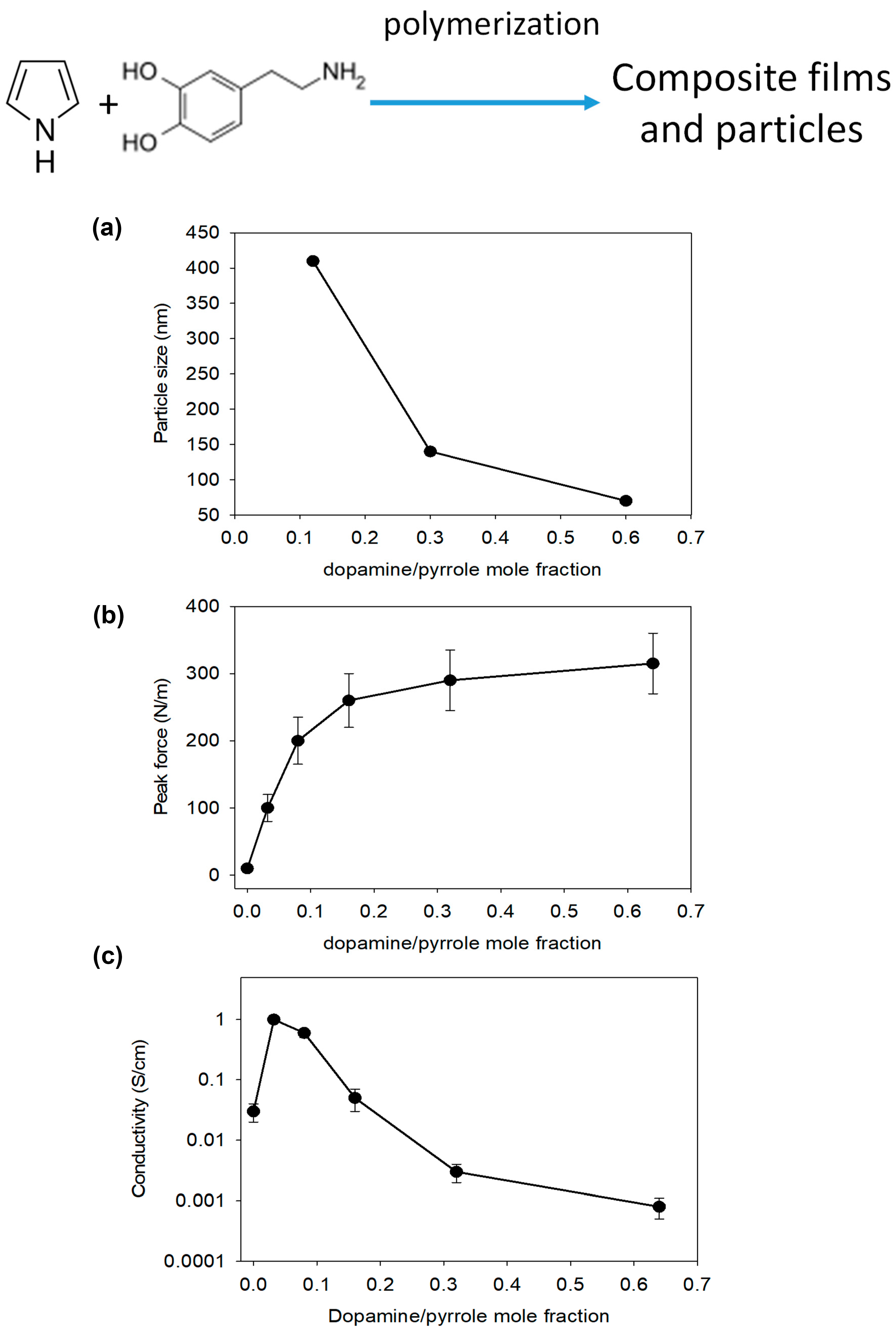
3.6. Polydopamine and Conductive Polymers
3.7. Polydopamine-Based Composites for Improved Sensing
4. Future Perspectives of Polydopamine-Based Composites
Conflicts of Interest
References
- Lee, B.P.; Messersmith, P.B.; Israelachvili, J.N.; Waite, J.H. Mussel-inspired adhesives and coatings. Ann. Rev. Mater. Sci. 2011, 41, 99–132. [Google Scholar] [CrossRef] [PubMed]
- Miserez, A.; Schneberk, T.; Sun, C.; Zok, F.W. Role of melanin in mechanical properties of Glycera jaws. Science 2008, 319, 1816–1819. [Google Scholar] [CrossRef] [PubMed]
- Lichtenegger, H.C.; Schoberl, T.; Bartl, M.H.; Waite, J.H.; Stucky, G.D. High abrasion resistance with sparse mineralization: Copper biomineral in worm jaws. Science 2002, 298, 389–392. [Google Scholar] [CrossRef] [PubMed]
- Hwang, D.S.; Masic, A.; Prajatelistia, E.; Iordachescu, M.; Waite, J.H. Marine hydroid perisarc: A chitin-and melanin-reinforced composite with DOPA-iron(II) complexes. Acta Biomater. 2013, 9, 8110–8117. [Google Scholar] [CrossRef] [PubMed]
- Krogsgaard, M.; Nue, V.; Birkedal, H. Mussel-inspired materials: Self-healing through coordination chemistry. Chem. Eur. J. 2016, 22, 844–857. [Google Scholar] [CrossRef] [PubMed]
- Sedo, J.; Saiz-Poseu, J.; Busque, F.; Ruiz-Molina, D. Catechol-based biomimetic functional materials. Adv. Mater. 2013, 25, 653–701. [Google Scholar] [CrossRef] [PubMed]
- Lee, H.; Dellatore, S.M.; Miller, W.M.; Messersmith, P.B. Mussel-inspired surface chemistry for multifunctional coatings. Science 2007, 318, 426–430. [Google Scholar] [CrossRef] [PubMed]
- Wei, Q.; Zhang, F.; Li, J.; Li, B.; Zhao, C. Oxidant-induced dopamine polymerization for multifunctional coatings. Polym. Chem. 2010, 1, 1430–1433. [Google Scholar] [CrossRef]
- Hong, S.; Kim, J.; Na, Y.S.; Park, J.; Kim, S.; Singha, K.; Im, G.-I.; Han, D.-K.; Kim, W.J.; Lee, H. Poly(norepinephrine): Ultrasmooth material-independent surface chemistry and nanodepot for nitric oxide. Angew. Chem. Int. Ed. 2013, 52, 9187–9191. [Google Scholar] [CrossRef] [PubMed]
- Liu, Y.; Ai, K.; Lu, L. Polydopamine and its derivative materials: Synthesis and promising applications in energy, Eenvironmental, and biomedical fields. Chem. Rev. 2014, 114, 5057–5115. [Google Scholar] [CrossRef] [PubMed]
- Ball, V.; Del Frari, D.; Michel, M.; Buehler, M.J.; Toniazzo, V.; Singh, M.K.; Gracio, J.; Ruch, D. Deposition mechanism and properties of thin polydopamine films for high added value applications in surface science at the nanoscale. Bionanoscience 2012, 2, 16–34. [Google Scholar] [CrossRef]
- Lynge, M.E.; van der Westen, R.; Postma, A.; Stadler, B. Polydopamine—A nature-inspired polymer coating for biomedical science. Nanoscale 2012, 3, 4916–4928. [Google Scholar] [CrossRef] [PubMed]
- D’Ischia, M.; Napolitano, A.; Ball, V.; Chen, C.-T.; Buehler, M.-J. Polydopamine and eumelanin: From structure–property relationships to a unified tailoring strategy. Acc. Chem. Res. 2014, 47, 3541–3550. [Google Scholar] [CrossRef] [PubMed]
- D’Ischia, M.; Wakamatsu, K.; Napolitano, A.; Briganti, S.; Garcia-Borron, J.-C.; Kovacs, D.; Meredith, P.; Pezzella, A.; Picardo, M.; et al. Melanins and melanogenesis: Methods, standards, protocols. Pig. Cell Melanoma Res. 2013, 26, 616–633. [Google Scholar] [CrossRef] [PubMed]
- Simon, J.D.; Peles, D.N. The red and the black. Acc. Chem. Res. 2010, 43, 1452–1460. [Google Scholar] [CrossRef] [PubMed]
- Kang, S.M.; Park, S.; Kim, D.; Park, S.S.; Ruoff, R.S.; Lee, H. Simultaneous reduction and surface functionalization of graphene oxide by mussel-inspired chemistry. Adv. Funct. Mater. 2011, 21, 108–112. [Google Scholar] [CrossRef]
- Kaminska, I.; Das, M.R.; Coffinier, Y.; Niedziolka-Jonsson, J.; Sobczak, J.; Woisel, P.; Lyskawa, J.; Opallo, M.; Boukherroub, R.; Szunerits, S. Reduction and functionalization of graphene oxide sheets using biomimetic dopamine derivatives in one step. ACS Mater. Interfaces 2012, 4, 1016–1020. [Google Scholar] [CrossRef] [PubMed]
- Zhou, L.; Zong, Y.; Liu, Z.; Yu, A. A polydopamine coating ultralight graphene matrix as a highly effective polysulfide adsorbent for high energy Li–S batteries. Renew. Energy 2016, 96, 333–340. [Google Scholar] [CrossRef]
- Hu, H.; Yu, B.; Ye, Q.; Gu, Y.; Zhou, F. Modification of carbon nanotubes with a nanothin polydopamine layer and polydimethylamino-ethyl mathacrylate brushes. Carbon 2010, 48, 2347–2353. [Google Scholar] [CrossRef]
- Li, R.; Parvez, K.; Hinkel, F.; Feng, X.; Müllen, K. Bioinspired wafer-scale production of highly stretchable carbon films for transparent conductive electrodes. Angew. Chem. Int. Ed. 2013, 52, 5535–5538. [Google Scholar] [CrossRef] [PubMed]
- Zhou, R.; Guo, H.; Yang, Y.; Wang, Z.; Li, X.; Zhou, Y. N-doped carbon layer derived from polydopamine to improve the electrochemical performance of spray-dried Si/graphite composite anode material for Li ion batteries. J. Alloys Compd. 2016, 689, 130–137. [Google Scholar] [CrossRef]
- Long, H.; Del Frari, D.; Martin, A.; Didierjean, J.; Ball, V.; Michel, M.; Ibn El Ahrach, H. Polydopamine as a promising candidate for the design of high performance and corrosion tolerant polymer electrolyte fuel cell electrodes. J. Power Sources 2016, 307, 569–577. [Google Scholar] [CrossRef]
- Kim, Y.J.; Wu, W.; Chun, S.-E.; Whitacre, J.F.; Bettinger, C.J. Biologically derived melanin electrodes in aqueous sodium-ion energy storage devices. Proc. Nat. Acad. Sci. USA 2013, 110, 20912–20917. [Google Scholar] [CrossRef] [PubMed]
- Xu, H.; Shi, X.; Ma, H.; Lv, Y.; Zhang, L.; Mao, Z. The preparation and antibacterial effects of dopa-cotton/AgNPs. Appl. Surf. Sci. 2011, 257, 6799–6803. [Google Scholar] [CrossRef]
- Ball, V.; Nguyen, I.; Haupt, M.; Oehr, C.; Arnoult, C.; Toniazzo, V.; Ruch, D. The reduction of Ag+ in metallic silver on pseudomelanin films allows for antibacterial activity but does not imply unpaired electrons. J. Colloid Interface Sci. 2011, 364, 359–365. [Google Scholar] [CrossRef] [PubMed]
- Si, J.; Yang, H. Preparation and characterization of bio-compatible Fe3O4@polydopamine spheres with core/shell nanostructure. Mater. Chem. Phys. 2011, 128, 519–524. [Google Scholar] [CrossRef]
- González Orive, A.; Dip, P.; Gimeno, Y.; Díaz, P.; Carro, P.; Hernández Creuz, A.; Benítez, G.; Schilardi, P.L.; Andrini, L.; Requejo, F.; et al. Electroctalytic and magnetic properties of ultrathin nanostructured iron-melanin films on Au(111). Chem. Eur. J. 2007, 13, 473–482. [Google Scholar] [CrossRef] [PubMed]
- Chen, H.; Zhao, L.; Chen, D.; Hu, W. Stabilization of gold nanoparticles on glass surface with polydopamine thin film for reliable LSPR sensing. J. Colloid Interface Sci. 2015, 460, 258–263. [Google Scholar] [CrossRef] [PubMed]
- Zhou, J.; Wang, C.; Wang, P.; Messersmith, P.B.; Duan, H. Multifunctional magnetic nanochains: Exploiting self-polymerization and versatile reactivity of mussel-inspired polydopamine. Chem. Mater. 2015, 27, 3071–3076. [Google Scholar] [CrossRef]
- Fan, X.; Lin, L.; Messersmith, P.B. Surface-initiated polymerization from TiO2 nanoparticle surfaces through a biomimetic initiator: A new route toward polymer-matrix nanocomposites. Compos. Sci. Technol. 2006, 66, 1198–1204. [Google Scholar] [CrossRef]
- Jaber, M.; Lambert, J.-F. A new nanocomposite: l-DOPA/Laponite. J. Phys. Chem. Lett. 2010, 1, 85–88. [Google Scholar] [CrossRef]
- Jaber, M.; Bouchoucha, M.; Delmotte, L.; Méthivier, C.; Lambert, J.-F. Fate of l-DOPA in the presence of inorganic matrices: Vectorization or composite material formation? J. Phys. Chem. C 2011, 115, 19216–19225. [Google Scholar] [CrossRef]
- Oliveira, H.P.; Graeff, C.F.O.; Zanta, C.L.P.S.; Galina, A.C.; Gonçalves, P.J. Synthesis, characterization, and properties of a melanin-like vanadium pentoxide hybrid compound. J. Mater. Chem. 2000, 10, 371–375. [Google Scholar] [CrossRef]
- Prasetyanto, E.K.; Manini, P.; Napolitano, A.; Crescenzi, O.; D’Ischia, M.; De Cola, L. Towards eumelanin@zeolite hybrids: Pore-size-controlled 5,6-dihydroxyindole polymerization. Chem. Eur. J. 2014, 20, 1597–1601. [Google Scholar] [CrossRef] [PubMed]
- Wróbel, D.; Planner, A.; Haniz, I.; Sarna, T. Melanin-porphyrin interaction monitored by delayed luminescence and photoacoustics. J. Photochem. Photobiol. B Biol. 1997, 41, 45–52. [Google Scholar] [CrossRef]
- Ponzio, F.; Bour, J.; Ball, V. Composite films of polydopamine-Alcian Blue for colored coating with new physical properties. J. Colloid Interface Sci. 2015, 459, 29–35. [Google Scholar] [CrossRef] [PubMed]
- Decher, G. Fuzzy Nanoassemblies: Toward layered polymeric multicomposites. Science 1997, 277, 1232–1237. [Google Scholar] [CrossRef]
- Lavalle, P.; Voegel, J.-C.; Vautier, D.; Senger, B.; Schaaf, P.; Ball, V. Dynamic aspects of films prepared by a sequential deposition of species: Perspectives for smart and responsive materials. Adv. Mater. 2011, 23, 1191–1221. [Google Scholar] [CrossRef] [PubMed]
- Richardson, J.J.; Cui, J.; Björnmalm, M.; Braunger, J.A.; Ejima, H.; Caruso, F. Innovation in layer-by-layer assembly. Chem. Rev. 2016, 116, 14828–14867. [Google Scholar] [CrossRef] [PubMed]
- Bernsmann, F.; Ersen, O.; Voegel, J.-C.; Jan, E.; Kotov, N.A. Melanin-containing films: Growth from dopamine solutions versus layer-by-layer deposition. ChemPhysChem 2010, 11, 3299–3305. [Google Scholar] [CrossRef] [PubMed]
- Ball, V.; Haider, A.; Kortz, U. Composite films of poly(allylamine)-capped polydopamine nanoparticles and P8W48 polyoxometalates with electroactive properties. J. Colloid Interface Sci. 2016, 481, 125–130. [Google Scholar] [CrossRef] [PubMed]
- Bernsmann, F.; Richert, L.; Senger, B.; Lavalle, P.; Voegel, J.-C.; Schaaf, P.; Ball, V. Use of dopamine polymerization to produce free-standing membranes from (PLL-HA)n exponentially growing multilayer films. Soft Matter 2008, 4, 1621–1624. [Google Scholar] [CrossRef]
- Ball, V.; Apaydin, K.; Laachachi, A.; Toniazzo, V.; Ruch, D. Changes in permeability and in mechanical properties of layer-by-layer films made from poly(allylamine) and montmorillonite postmodified upon reaction with dopamine. Biointerphases 2012, 7, 59. [Google Scholar] [CrossRef] [PubMed]
- Ou, J.; Wang, J.; Liu, S.; Zhou, J.; Yang, S. Self-assembly and tribological property of a novel 3-layer organic film on silicon wafer with polydopamine coating as the interlayer. J. Phys. Chem. C 2009, 113, 20429–20434. [Google Scholar] [CrossRef]
- Ryu, J.H.; Lee, Y.; Kong, W.H.; Kim, T.G.; Park, T.G.; Lee, H. Catechol-functionalized chitosan/Pluronic hydrogels for tissue adhesives and hemostatic materials. Biomacromolecules 2011, 12, 2653–2659. [Google Scholar] [CrossRef] [PubMed]
- Kim, K.; Ryu, J.H.; Lee, D.H.; Lee, H. Bio-inspired catechol conjugation converts water-insoluble chitosan into a highly water-soluble, adhesive chitosan derivative for hydrogels and LbL assembly. Biomater. Sci. 2013, 1, 783–790. [Google Scholar] [CrossRef]
- Park, J.P.; Song, I.T.; Lee, J.; Ryu, J.H.; Lee, Y.; Lee, H. Vanadyl–catecholamine hydrogels inspired by ascidians and mussels. Chem. Mater. 2015, 27, 105–111. [Google Scholar] [CrossRef]
- Mateescu, M.; Baixe, S.; Garnier, T.; Jierry, L.; Ball, V.; Haikel, Y.; Metz-Boutigue, M.-H.; Nardin, M.; Schaaf, P.; Etienne, O.; et al. Antibacterial peptide-based gel for prevention of medical implanted-device infection. PLoS ONE 2015, 10, e0145143. [Google Scholar] [CrossRef] [PubMed]
- Kushimoto, T.; Basrur, V.; Valencia, J.; Matsunaga, J.; Vieira, W.D.; Ferrans, V.J.; Muller, J.; Appella, E.; Hearing, V.J. A model for melanosome biogenesis based on the purification analysis of early melanosomes. Proc. Natl. Acad. Sci. USA 2001, 98, 10698–10703. [Google Scholar] [CrossRef] [PubMed]
- Lee, H.; Rho, J.; Messersmith, P.B. Facile conjugation of biomolecules onto surfaces via mussel adhesive protein inspired coatings. Adv. Mater. 2009, 21, 431–435. [Google Scholar] [CrossRef] [PubMed]
- Ball, V. Activity of alkaline phosphatase adsorbed and grafted on “polydopamine” films. J. Colloid Interface Sci. 2014, 429, 1–7. [Google Scholar] [CrossRef] [PubMed]
- Chassepot, A.; Ball, V. Human serum albumin and other proteins as templating agents for the synthesis of nanosized dopamine-eumelanin. J. Colloid Interface Sci. 2014, 414, 97–102. [Google Scholar] [CrossRef] [PubMed]
- Della Vecchia, N.F.; Cerruti, P.; Gentile, G.; Errico, M.E.; Ambrogi, V.; D’Errico, G.; Longobardi, S.; Napolitano, A.; Paduano, L.; Carfagna, C.; et al. Artificial biomelanin: Highly light-absorbing nano-sized eumelanin by biomimetic synthesis in chicken egg white. Biomacromolecules 2014, 15, 3811–3816. [Google Scholar] [CrossRef] [PubMed]
- Arzillo, M.; Mangiapia, G.; Pezella, A.; Heenan, R.K.; Radulescu, A.; Paduano, L.; d’Ischia, M. Eumelanin buildup on the nanoscale: Aggregate growth/assembly and visible absorption development in biomimetic 5,6-dihydroxyindole polymerization. Biomacromolecules 2012, 13, 2379–2390. [Google Scholar] [CrossRef] [PubMed]
- Zhang, Y.; Thingholm, B.; Goldie, K.N.; Ogaki, R.; Städler, B. Assembly of poly(dopamine) films mixed with a nonionic polymer. Langmuir 2012, 28, 17585–17592. [Google Scholar] [CrossRef] [PubMed]
- Zhang, Y.; Panneerselvam, K.; Ogaki, R.; Hosta-Rigau, L.; van der Westen, R.; Jensen, B.E.B.; Teo, B.M.; Zhu, M.; Städler, B. Assembly of poly(dopamine)/poly(N-isopropylacrylamide) mixed films and their temperature-dependent interaction with proteins, liposomes, and cells. Langmuir 2013, 29, 10213–10222. [Google Scholar] [CrossRef] [PubMed]
- Yang, H.-C.; Luo, J.; Lv, Y.; Shen, P.; Xu, Z.-K. Surface engineering of polymer membranes via mussel-inspired chemistry. J. Memb. Sci. 2015, 483, 42–59. [Google Scholar] [CrossRef]
- Garcia, B.; Saiz-Poseu, J.; Gras-Charles, R.; Hernando, J.; Alibés, R.; Novio, F.; Sedó, J.; Busqué, F.; Ruiz-Molina, D. Mussel-inspired hydrophobic coatings for water-repellent textiles and oil removal. ACS Appl. Mater. Interfaces 2014, 6, 17616–17625. [Google Scholar] [CrossRef] [PubMed]
- Ponzio, F.; Payamyar, P.; Schneider, A.; Winterhalter, M.; Bour, J.; Addiégo, F.; Krafft, M.-P.; Hemmerlé, J.; Ball, V. Polydopamine films from the forgotten air/water Interface. J. Phys. Chem. Lett. 2014, 5, 3436–3440. [Google Scholar] [CrossRef] [PubMed]
- Hong, S.; Schaber, C.F.; Dening, K.; Appel, E.; Gorb, S.N.; Lee, H. Air/water interfacial formation of freestanding, stimuli-responsive, self-healing catecholamine Janus-faced microfilms. Adv. Mater. 2014, 26, 7581–7587. [Google Scholar] [CrossRef] [PubMed]
- Ponzio, F.; Le Houerou, V.; Zafeiratos, S.; Gauthier, C.; Garnier, T.; Jierry, L.; Ball, V. Robust alginate-catechol@polydopamine free standing membranes obtained from the water/air interface. Langmuir 2017, 33, 2420–2426. [Google Scholar] [CrossRef] [PubMed]
- Meredith, P.; Sarna, T. The physical and chemical properties of eumelanin. Pig. Cell Res. 2006, 19, 572–594. [Google Scholar] [CrossRef] [PubMed]
- Wünsche, J.; Cicoira, F.; Graeff, C.F.O.; Santato, C. Eumelanin thin films: Solution-processing, growth, and charge transport properties. J. Mater. Chem. B 2013, 1, 3836–3842. [Google Scholar] [CrossRef]
- Wünsche, J.; Deng, Y.; Kumar, P.; Di Mauro, E.; Josberger, E.; Sayago, J.; Pezzella, A.; Soavi, F.; Cicoira, F.; Rolandi, M.; et al. Protonic and electronic transport in hydrated thin films of the pigment eumelanin. Chem. Mater. 2015, 27, 436–442. [Google Scholar]
- Kumar, P.; Di Mauro, E.; Zhang, S.; Pezzella, A.; Soavi, F.; Santato, C.; Cicoira, F. Melanin-based flexible supercapacitors. J. Mater. Chem. 2016, 4, 9516–9525. [Google Scholar] [CrossRef]
- Mihai, I.; Addiégo, F.; Del Frari, D.; Bour, J.; Ball, V. Associating oriented polyaniline and eumelanin in a reactive layer-by-layer manner: Composites with high electrical conductivity. Colloids Surfaces A Physicochem. Eng. Asp. 2013, 434, 118–125. [Google Scholar] [CrossRef]
- Ponzio, F.; Barthès, J.; Bour, J.; Michel, M.; Bertani, P.; Hemmerlé, J.; d’Ischia, M.; Ball, V. Oxidant control of polydopamine surface chemistry in acids: A mechanism-based entry to superhydrophilic-superoleophobic coatings. Chem. Mater. 2016, 28, 4697–4705. [Google Scholar] [CrossRef]
- Zhang, W.; Pan, Z.; Yang, F.K.; Zhao, B. A facile in situ approach to polypyrrole functionalization through bioinspired catechols. Adv. Funct. Mater. 2015, 25, 1588–1597. [Google Scholar] [CrossRef]
- Wu, S.; Cai, C.; Cheng, J.; Cheng, M.; Zhou, H.; Deng, J. Polydopamine/dialdehyde starch/chitosan composite coating for in-tube solid-phase microextraction and in-situ derivation to analysis of two liver cancer biomarkers in human blood. Anal. Chim Acta 2016, 935, 113–120. [Google Scholar] [CrossRef] [PubMed]
- Dreyer, D.R.; Miller, D.J.; Freeman, B.D.; Paul, D.R.; Bielawski, C.W. Perspectives on poly(dopamine). Chem. Sci. 2013, 4, 3796–3802. [Google Scholar] [CrossRef]
- Watt, A.A.R.; Bothma, J.P.; Meredith, P. The supramolecular structure of melanin. Soft Matter 2009, 5, 3754–3760. [Google Scholar] [CrossRef]
- Chen, C.-T.; Ball, V.; de Almeida Gracio, J.; Singh, M.K.; Toniazzo, V.; Ruch, D.; Buehler, M.J. Self-assembly of tetramers of 5,6-dihydroxyindole explains the primary physical properties of eumelanin: Experiment, simulation, and design. ACS Nano 2013, 7, 1524–1532. [Google Scholar] [CrossRef] [PubMed]
- Meredith, P.; Powell, B.J.; Riesz, J.; Nighswander-Rempel, S.P.; Pederson, M.R.; Moore, E.G. Towards structure–property–function relationships for eumelanin. Soft Matter 2006, 2, 37–44. [Google Scholar] [CrossRef]






© 2017 by the author. Licensee MDPI, Basel, Switzerland. This article is an open access article distributed under the terms and conditions of the Creative Commons Attribution (CC BY) license (http://creativecommons.org/licenses/by/4.0/).
Share and Cite
Ball, V. Composite Materials and Films Based on Melanins, Polydopamine, and Other Catecholamine-Based Materials. Biomimetics 2017, 2, 12. https://doi.org/10.3390/biomimetics2030012
Ball V. Composite Materials and Films Based on Melanins, Polydopamine, and Other Catecholamine-Based Materials. Biomimetics. 2017; 2(3):12. https://doi.org/10.3390/biomimetics2030012
Chicago/Turabian StyleBall, Vincent. 2017. "Composite Materials and Films Based on Melanins, Polydopamine, and Other Catecholamine-Based Materials" Biomimetics 2, no. 3: 12. https://doi.org/10.3390/biomimetics2030012
APA StyleBall, V. (2017). Composite Materials and Films Based on Melanins, Polydopamine, and Other Catecholamine-Based Materials. Biomimetics, 2(3), 12. https://doi.org/10.3390/biomimetics2030012
