3D Skeletal Scaffolds of Marine Keratosan Demosponges Origin as Renewable Sources for Bioinspiration in Modern Structural Biomimetics and Tissue Engineering
Abstract
1. Introduction
2. Materials and Methods
2.1. Materials
2.2. Staining Test with a Protein-Specific Dye (Roti®Blue/Coomassie Blue)
2.3. Protein Matrix Dissolving
2.4. Liquid Absorption Capacity of Spongin
2.5. Surface Wettability of Spongin Microfibres and Capillary Effects
2.6. Creation of Spongin–Titanium 3D Composites Using Ion–Plasma (Vacuum Arc) Deposition Method (VAD)
2.7. Chromium Tanning of Spongin Scaffolds
2.8. Carbonization of 3D Spongin Scaffolds
2.9. 3D Spongin-Based Scaffolds and the Shape-Memory Phenomenon
2.10. Preparation of Ag-Spongin Scaffolds
2.10.1. Ag-Spongin Preparation—Method I
2.10.2. Ag-Spongin Preparation—Method II
2.11. Gentle Method for Isolation of 3D Flat Chitinous Scaffolds from Ianthella basta Demosponge
2.12. Natural and Graphitized 3D Spongin Scaffolds for Tissue Engineering with Human MG-63 Osteoblastic Cells
2.12.1. Preparation of Natural and Carbonized Spongin Scaffolds for Tissue Engineering Experiments
2.12.2. Cell Culture and Seeding
2.12.3. Statistical Analysis
2.13. Characterization Techniques
2.13.1. Digital Optical Microscopy
2.13.2. Scanning Electron Microscopy (SEM)
2.13.3. X-Ray Diffraction (XRD)
2.13.4. Micro X-Ray Fluorescence (MXRF)
2.13.5. Water Contact Angle (WCA)
2.13.6. Optical Microscopy
2.13.7. Live/Dead Assay
2.13.8. Immunocytochemical Staining
2.13.9. Cell Viability and Metabolic Activity Assessment
3. Results and Discussion
3.1. On Structural Architectonics of Spongin-Based Skeletons of Bath Sponges
3.2. Mineral Phases and Natural Strengthening of Spongin Microfibres
3.3. Liquid Absorption Capacity of Spongin Scaffolds
3.4. Surface Wettability of Spongin Microfibres and Capillary Effects
3.5. Advances in Metallization of Spongin Scaffolds
3.5.1. Creation of Spongin–Titanium 3D Composites Using Ion–Plasma (Vacuum Arc) Deposition Method (VAD)
3.5.2. Chromium Tanning of Spongin Scaffolds
3.6. Coating of Spongin Scaffolds with Iron Oxides
3.7. Carbonization of 3D Spongin Scaffolds
3.8. 3D Spongin-Based Scaffolds and the Shape-Memory Phenomenon
- •
- •
- •
- Filtration and sorption technologies (as 3D filtering systems) [171].
3.9. Poriferan 3D Skeletal Scaffolds and Tissue Engineering

3.10. Gentle Method for Isolation of 3D Flat Chitinous Scaffolds from Ianthella basta Demosponge
3.11. Natural and Graphitized 3D Spongin Scaffolds for Tissue Engineering with Human MG-63 Osteoblastic Cells
3.11.1. Cytocompatibility of Natural Spongin Scaffolds Assessed by Optical Microscopy
3.11.2. Cell Viability and Infiltration Within Natural Spongin Scaffolds Evaluated by Live/Dead Staining
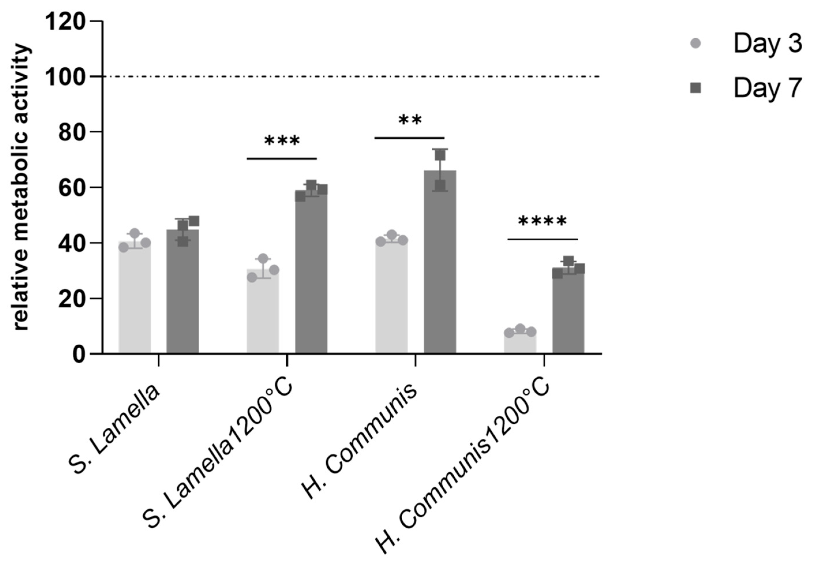
3.11.3. Metabolic Activity of Cells Cultured with Natural Spongin Scaffolds
3.11.4. Cytocompatibility of Carbonized Spongin Scaffolds Assessed by Optical Microscopy and Live/Dead Staining
3.11.5. Immunocytochemical Evaluation of Cell Morphology and Proliferation on Carbonized Spongin Scaffolds
3.11.6. Effect of Carbonization on Cellular Metabolic Activity
4. Conclusions
Supplementary Materials
Author Contributions
Funding
Institutional Review Board Statement
Informed Consent Statement
Data Availability Statement
Acknowledgments
Conflicts of Interest
References
- Tsurkan, D.; Wysokowski, M.; Petrenko, I.; Voronkina, A.; Khrunyk, Y.; Fursov, A.; Ehrlich, H. Modern scaffolding strategies based on naturally pre-fabricated 3D biomaterials of poriferan origin. Appl. Phys. A 2020, 126, 382. [Google Scholar] [CrossRef]
- Jiang, S.; Agarwal, S.; Greiner, A. Low-Density Open Cellular Sponges as Functional Materials. Angew. Chem. Int. Ed. 2017, 56, 15520–15538. [Google Scholar] [CrossRef]
- Khan, A.R.; Gholap, A.D.; Grewal, N.S.; Jun, Z.; Khalid, M.; Zhang, H.J. Advances in smart hybrid scaffolds: A strategic approach for regenerative clinical applications. Eng. Regen. 2025, 6, 85–110. [Google Scholar] [CrossRef]
- Peluso, V.; De Santis, R.; Gloria, A.; Castagliuolo, G.; Zanfardino, A.; Varcamonti, M.; Russo, T. Design of 3D Additive Manufactured Hybrid Scaffolds for Periodontal Repair Strategies. ACS Appl. Bio Mater. 2025, 8, 6817–6829. [Google Scholar] [CrossRef]
- Barbalinardo, M.; Falini, G.; Montroni, D. Sustainable 3D Scaffolds Based on β-Chitin and Collagen I for Wound Dressing Applications. Polymers 2025, 17, 140. [Google Scholar] [CrossRef]
- Naumann, J.; Singer, K.; Shukla, S.; Maurya, A.; Schlichter, S.; Szenti, I.; Kukovecz, A.; Rawal, A.; Zink, M. Sustainable Nonwoven Scaffolds Engineered with Recycled Carbon Fiber for Enhanced Biocompatibility and Cell Interaction: From Waste to Health. ACS Appl. Bio Mater. 2025, 8, 1984–1996. [Google Scholar] [CrossRef] [PubMed]
- Mohammed, M.R. Recent Advances in Fish Scale-Based Polymer Biocomposite Scaffolds for Tissue Engineering. Biomed. Mater. Devices 2025, 1–19. [Google Scholar] [CrossRef]
- Dukle, A.; Ravi Sankar, M. Sustainable 3D printing of bone scaffolds using animal biowaste feedstocks. Next Sustain. 2025, 5, 100099. [Google Scholar] [CrossRef]
- Hutmacher, D.W.; Tandon, B.; Dalton, P.D. Scaffold design and fabrication. In Tissue Engineering, de Boer, J., van Blitterswijk, C.A., Uquillas, J.A., Malik, N., Eds.; 3rd ed.; Academic Press: London, UK, 2023; pp. 355–385. [Google Scholar]
- Alam, A.N.; Kim, C.J.; Kim, S.H.; Kumari, S.; Lee, E.Y.; Hwang, Y.H.; Joo, S.T. Scaffolding fundamentals and recent advances in sustainable scaffolding techniques for cultured meat development. Food Res. Int. 2024, 189, 114549. [Google Scholar] [CrossRef] [PubMed]
- Sultana, N.; Cole, A.; Strachan, F. Biocomposite Scaffolds for Tissue Engineering: Materials, Fabrication Techniques and Future Directions. Materials 2024, 17, 5577. [Google Scholar] [CrossRef] [PubMed]
- Kumar, A.; Mir, T.H.; Mursaleen, M.; Shah, M.A. Innovative scaffold design in biomedical: A comprehensive review of biomaterial integration and 3D printing techniques with emphasis on fused filament fabrication. Int. J. Pharm. 2025, 685, 126250. [Google Scholar] [CrossRef]
- Picado-Tejero, D.; Mendoza-Cerezo, L.; Rodríguez-Rego, J.M.; Carrasco-Amador, J.P.; Marcos-Romero, A.C. Recent Advances in 3D Bioprinting of Porous Scaffolds for Tissue Engineering: A Narrative and Critical Review. J. Funct. Biomater. 2025, 16, 328. [Google Scholar] [CrossRef]
- Mohanty, S.S.; Pati, S.; Samal, S.K. Recent Advancement of Sustainable Scaffolds in Regenerative Medicine. In Sustainable Scaffolds-Based Strategies in Tissue Engineering and Regenerative Medicine; Oliveira, J.M., Silva-Correia, J., Reis, R.L., Eds.; Springer: Cham, Switzerland, 2025; pp. 3–45, Biomaterials, Bioengineering and Sustainability. [Google Scholar]
- Gibson, L.J.; Ashby, M.F.; Harley, B.A. Cellular Materials in Nature and Medicine; Cambridge University Press: Cambridge, UK, 2010. [Google Scholar]
- Xie, Y.; Bai, H.; Liu, Z.; Chen, N. A Novel Bionic Structure Inspired by Luffa Sponge and Its Cushion Properties. Appl. Sci. 2020, 10, 2584. [Google Scholar] [CrossRef]
- Lin, Y.; Yang, C.; Pei, Z.; Xu, H.; Zhang, Y.; Ma, J.; Ukrainczyk, N.; Zhang, Y.; Koenders, E.; Xie, W.; et al. Luffa sponge as a sustainable reinforcement for impact-resistant cementitious composites. Commun. Mater. 2025, 6, 253. [Google Scholar] [CrossRef]
- Chen, J.P.; Yu, S.C.; Hsu, B.R.; Fu, S.H.; Liu, H.S. Loofa sponge as a scaffold for the culture of human hepatocyte cell line. Biotechnol. Prog. 2003, 19, 522–527. [Google Scholar] [CrossRef] [PubMed]
- Iravani, S.; Varma, R.S. Plants and plant-based polymers as scaffolds for tissue engineering. Green. Chem. 2019, 21, 4839–4867. [Google Scholar] [CrossRef]
- Gundu, S.; Sahi, A.K.; Kumari, P.; Tekam, C.S.; Allu, I.; Singh, R.; Mahto, S.K. In vivo characterization of a luffa-based composite scaffold for subcutaneous implantation in rats. J. Biomater. Sci. Polym. Ed. 2024, 35, 1922–1946. [Google Scholar] [CrossRef]
- Gui, X.; Song, P.; Zhang, B.; Lei, H.; Wu, L.; Sun, J.; Tang, R.; Zhang, H.; Qin, Y.; Su, Z.; et al. Natural Loofah Sponge Inspired 3D Printed Bionic Scaffolds Promote Personalized Bone Defect Regeneration. Compos. B Eng. 2025, 288, 111920. [Google Scholar] [CrossRef]
- Baysan, G.; Akdogan, E.K.; Gunes, O.C.; Yilmaz, P.A.; Ozenler, A.K.; Husemoglu, R.B.; Perpelek, M.; Albayrak, A.Z.; Ergur, B.U.; Havitcioglu, H. In vitro and in vivo evaluations of Loofah (Luffa cylindrica) micro- and PHBV nanofiber-integrated hydrogel scaffolds for meniscus regeneration. J. Mater. Sci. 2025, 60, 11499–11516. [Google Scholar] [CrossRef]
- Steenwyk, J.L.; King, N. Integrative phylogenomic positions sponges at the root of the animal tree. Science 2025, 390, 751–756. [Google Scholar] [CrossRef]
- Turner, E.C. Possible poriferan body fossils in early Neoproterozoic microbial reefs. Nature 2021, 596, 87–91. [Google Scholar] [CrossRef]
- Ehrlich, H.; Wysokowski, M.; Żółtowska–Aksamitowska, S.; Petrenko, I.; Jesionowski, T. Collagens of poriferan origin. Mar. Drugs 2018, 16, 79. [Google Scholar] [CrossRef]
- Ehrlich, H.; Miksik, I.; Tsurkan, M.; Simon, P.; Porzucek, F.; Rybka, J.D.; Mankowska, M.; Galli, R.; Viehweger, C.; Brendler, E.; et al. Discovery of mammalian collagens I and III within ancient poriferan biopolymer spongin. Nat. Commun. 2025, 16, 2515. [Google Scholar] [CrossRef]
- Ehrlich, H. Enigmatic Structural Protein Spongin. In Marine Biological Materials of Invertebrate Origin; Springer: Cham, Switzerland, 2019; pp. 161–172. [Google Scholar]
- Ehrlich, H. Sponges as Sources of Nanostructured Biomaterials. In Marine Sponge Bio-Technology and Bioproducts; Zhang, W., Newman, D.J., Eds.; Springer: Cham, Switzerland, 2025; pp. 171–211, Advances in Marine Bioprocesses and Bioproducts. [Google Scholar]
- Schönberg, C.H.L. No taxonomy needed: Sponge functional morphologies inform about environmental conditions. Ecol. Indic. 2021, 129, 107806. [Google Scholar] [CrossRef]
- Ogawa, T.; Koyama, S.; Omori, T.; Kikuchi, K.; De Maleprade, H.; Goldstein, R.E.; Ishikawa, T. The architecture of sponge choanocyte chambers is well adapted to mechanical pumping functions. Proc. Natl. Acad. Sci. USA 2025, 122, e2421296122. [Google Scholar] [CrossRef] [PubMed]
- Jesionowski, T.; Norman, M.; Żółtowska-Aksamitowska, S.; Petrenko, I.; Joseph, Y.; Ehrlich, H. Marine Spongin: Naturally Prefabricated 3D Scaffold-Based Biomaterial. Mar. Drugs 2018, 16, 88. [Google Scholar] [CrossRef]
- Petrenko, I.; Summers, A.P.; Simon, P.; Żółtowska-Aksamitowska, S.; Motylenko, M.; Schimpf, C.; Rafaja, D.; Roth, F.; Kummer, K.; Brendler, E.; et al. Extreme Biomimetics: Preservation of molecular detail in centimetre scale samples of biological meshes laid down by sponges. Sci. Adv. 2019, 5, eaax2805. [Google Scholar] [CrossRef]
- Tsurkan, D.; Simon, P.; Schimpf, C.; Motylenko, M.; Rafaja, D.; Roth, F.; Inosov, D.; Makarova, A.A.; Stepniak, I.; Petrenko, I.; et al. Extreme Biomimetics: Designing of the first nanostructured 3D spongin-atacamite composite and its application. Adv. Mater. 2021, 33, 2101682. [Google Scholar] [CrossRef]
- Semitela, Â.; Carvalho, S.; Fernandes, C.; Pinto, S.; Fateixa, S.; Nogueira, H.I.S.; Bdikin, I.; Completo, A.; Marques, P.A.A.P.; Gonçalves, G. Biomimetic Graphene/Spongin Scaffolds for Improved Osteoblasts Bioactivity via Dynamic Mechanical Stimulation. Macromol. Biosci. 2022, 22, 2100311. [Google Scholar] [CrossRef] [PubMed]
- Kubiak, A.; Pajewska-Szmyt, M.; Kotula, M.; Leśniewski, B.; Voronkina, A.; Rahimi, P.; Falahi, S.; Heimler, K.; Rogoll, A.; Vogt, C.; et al. Spongin as a Unique 3D Template for the Development of Functional Iron-Based Composites Using Biomimetic Approach In Vitro. Mar. Drugs 2023, 21, 460. [Google Scholar] [CrossRef]
- Granito, R.N.; Custódio, M.R.; Rennó, A.C.M. Natural Marine Sponges for Bone Tissue Engineering: The State of Art and Future Perspectives. J. Biomed. Mater. Res. Part B Appl. Biomater. 2017, 105, 1717–1727. [Google Scholar] [CrossRef]
- Wang, Q.; Chen, J.; Wang, D.; Shen, M.; Ou, H.; Zhao, J.; Chen, M.; Yan, G.; Chen, J. Rapid Hemostatic Biomaterial from a Natural Bath Sponge Skeleton. Mar. Drugs 2021, 19, 220. [Google Scholar] [CrossRef]
- Çakır, D.; Erkut, T.S.; Irmak, Y.; Çalış, M.; Yavaş, E.; Çaylı, S.; Gümüşderelioğlu, M. Comprehensive in vitro and in vivo assessment of spongin/hydroxyapatite biohybrid scaffolds for bone regeneration. Biomater. Adv. 2026, 180, 214532. [Google Scholar] [CrossRef]
- Kertmen, A.; Petrenko, I.; Schimpf, C.; Rafaja, D.; Petrova, O.; Sivkov, V.; Nekipelov, S.; Fursov, A.; Stelling, A.L.; Heimler, K.; et al. Calcite Nanotuned Chitinous Skeletons of Giant Ianthella basta Marine Demosponge. Int. J. Mol. Sci. 2021, 22, 12588. [Google Scholar] [CrossRef]
- Duminis, T.; Heljak, M.; Święszkowski, W.; Ereskovsky, A.; Dziedzic, I.; Nowicki, M.; Pajewska-Szmyt, M.; Voronkina, A.; Bornstein, S.R.; Ehrlich, H. On the Mechanical Properties of Microfibre-Based 3D Chitinous Scaffolds from Selected Verongiida Sponges. Mar. Drugs 2023, 21, 463. [Google Scholar] [CrossRef] [PubMed]
- Ehrlich, H.; Wysokowski, M.; Jesionowski, T. The Philosophy of Extreme Biomimetics. Sust. Mater. Technol. 2022, 32, e00447. [Google Scholar] [CrossRef]
- Mutsenko, V.; Gryshkov, O.; Rogulska, O.; Lode, A.; Petrenko, A.Y.; Gelinsky, M.; Glasmacher, B.; Ehrlich, H. Chitinous scaffolds from marine sponges for tissue engineering. In Marine-Derived Biomaterials for Tissue Engineering Applications; Choi, A., Ben-Nissan, B., Eds.; Springer: Singapore, 2019; pp. 285–307, Springer Series in Biomaterials Science and Engineering. [Google Scholar]
- Dziedzic, I.; Dydek, K.; Voronkina, A.; Kovalchuk, V.; Jesionowski, T.; Ehrlich, H. The Chitinous Skeleton of Ianthella basta Marine Demosponge as a Renewable Scaffold-Based Carrier of Antiseptics. Polysaccharides 2024, 5, 540–551. [Google Scholar] [CrossRef]
- Dziedzic, I.; Dydek, K.; Trzciński, J.; Boczkowska, A.; Voronkina, A.; Jesionowski, T.; Ehrlich, H. Creation of 3D chitin/chitosan composite scaffold from naturally pre-structured verongiid sponge skeleton. Carbohydr. Polym. Technol. Appl. 2024, 8, 100587. [Google Scholar] [CrossRef]
- Camper, P. Naauwkeurige Afbelding en Beschryving van Eene Geheel en al Verloorene, Maar Door Konst Herstelde Neus en Verhemelte; Seep–Boekverkooper: Amsterdam, The Netherlands, 1771. [Google Scholar]
- Hamilton, D.J. Note on the Practical Application of Sponge-Grafting. Br. Med. J. 1883, 1, 7. [Google Scholar] [CrossRef]
- Ellis, R. Carbolized sponge tents- on the defects of ordinary sponge tents; and on an improved method for their manufacture. Obstet. Trans. 1868, 9, 121–129. [Google Scholar]
- Hough, J.B. Sponge tents. Am. J. Pharm. 1869, 41, 446. [Google Scholar]
- Young, J. Sponge-Tent in Epistaxis. Brit Med. J. 1873, 1, 552. [Google Scholar]
- Sanctuary, T. Three Successful Cases of Sponge Grafting; with Remarks. Br. Med. J. 1882, 2, 1202. [Google Scholar] [CrossRef]
- Porritt, N. A Case of Successful Sponge-Grafting. Edinb. Med. J. 1882, 27, 975–976. [Google Scholar] [PubMed]
- Clark, H.E. Hospital and surgical practice in the hospitals and asylums of Great Britain and Ireland: Compound fracture of skull: Trephining, sponge- grafting. Br. Med. J. 1883, 767–768. [Google Scholar]
- Briggs, E.C. Sponge-grafting. JAMA 1885, 4, 120–122. [Google Scholar] [CrossRef]
- Ferguson, J. On A Modification of Sponge-Grafting. Br. Med. J. 1882, 2, 1202–1203. [Google Scholar] [CrossRef] [PubMed]
- Franks, K.; Abraham, P.S. On So-Called Sponge-Grafting. J. Anat. Physiol. 1883, 17, 348–362. [Google Scholar]
- Thompson, W.G. A successful case of sponge-grafting. Med. Rec. 1883, 23, 567. [Google Scholar]
- Acland, T.D. Two cases of sponge grafting. Br. Med. J. 1888, 1, 205–206. [Google Scholar]
- Schwarzett, W. Der Gebrauch Des Pressschwammes (Spongia praeparata) in Wundblutungen. In Beobachtungen und Abhaandlungen aus dem Gebiete der Gesammten Praktischen Heilkunde; Band, D., Ed.; Verlage bei Carl Gerold: Wien, Austria, 1815; pp. 308–311. [Google Scholar]
- Ostadi, Y.; Khanali, J.; Tehrani, F.A.; Yazdanpanah, G.; Bahrami, S.; Niazi, F.; Niknejad, H. Decellularized Extracellular Matrix Scaffolds for Soft Tissue Augmentation: From Host-Scaffold Interactions to Bottlenecks in Clinical Translation. Biomater. Res. 2024, 28, 0071. [Google Scholar] [CrossRef] [PubMed]
- Sun, A.R.; Ramli, M.F.H.; Shen, X.; Ramakanth, K.K.; Chen, D.; Hu, Y.; Vidyasekar, P.; Foo, R.S.; Long, Y.; Zhu, J.; et al. Hybrid hydrogel–extracellular matrix scaffolds identify biochemical and mechanical signatures of cardiac ageing. Nat. Mater. 2025, 24, 1489–1501. [Google Scholar] [CrossRef] [PubMed]
- Saleh, T.; Caciolli, L.; Giobbe, G.G.; De Coppi, P. Ex vivo organ engineering using decellularized tissue scaffolds. Nat. Rev. Bioeng. 2025, 3, 761–774. [Google Scholar] [CrossRef]
- Li, J.; Chen, X.; Hu, M.; Wei, J.; Nie, M.; Chen, J.; Liu, X. The application of composite scaffold materials based on decellularized vascular matrix in tissue engineering: A review. BioMed Eng. OnLine 2023, 22, 62. [Google Scholar] [CrossRef]
- Tzavellas, N.P.; Simos, Y.V.; Tsamis, K.I.; Markopoulos, G.S.; Lekkas, P.; Peschos, D.; Lakkas, L. Decellularized scaffolds and heart valve treatment: Present techniques, long-standing hurdles and the challenging future. Biomater. Adv. 2025, 177, 214367. [Google Scholar] [CrossRef]
- Binnewerg, B.; Schubert, M.; Voronkina, A.; Muzychka, L.; Wysokowski, M.; Petrenko, I.; Djurović, M.; Kovalchuk, V.; Tsurkan, M.; Martinovic, R.; et al. Marine biomaterials: Biomimetic and pharmacological potential of cultivated Aplysina aerophoba marine demosponge. Mater. Sci. Eng. C 2020, 109, 110566. [Google Scholar] [CrossRef]
- Kumar, A.; Prakash Alla, J.; Arathanaikotti, D.; Raj, J.A.; K, C.N. Role of Anionic Chromium Species in Leather Tanning. J. Am. Leather Chem. Assoc. 2021, 116, 368–373. [Google Scholar] [CrossRef]
- Yorgancioglu, A.; Onem, E.; Yilmaz, O.; Karavana, H.A. Interactions Between Collagen and Alternative Leather Tanning Systems to Chromium Salts by Comparative Thermal Analysis Methods. Johns. Matthey Technol. Rev. 2022, 66, 215–226. [Google Scholar] [CrossRef]
- Allen, H.W. Tanned Sponge. U.S. Patent 1,336,806 A, 13 April 1920. [Google Scholar]
- Machałowski, T.; Czajka, M.; Petrenko, I.; Meissner, H.; Schimpf, C.; Rafaja, D.; Ziętek, J.; Dzięgiel, B.; Adaszek, Ł.; Voronkina, A.; et al. Functionalization of 3D Chitinous Skeletal Scaffolds of Sponge Origin Using Silver Nanoparticles and Their Antibacterial Properties. Mar. Drugs 2020, 18, 304. [Google Scholar] [CrossRef]
- Hamed, M.R.; Givianrad, M.H.; Moradi, A.M. Biosynthesis of Silver Nanoparticles Using Marine Sponge Haliclona. Orient. J. Chem. 2015, 31, 1961–1967. [Google Scholar] [CrossRef]
- Muzychka, L.; Voronkina, A.; Kovalchuk, V.; Smolii, O.B.; Wysokowski, M.; Petrenko, I.; Youssef, D.T.A.; Ehrlich, I.; Ehrlich, H. Marine Biomimetics: Bromotyrosines Loaded Chitinous Skeleton as Source of Antibacterial Agents. Appl. Phys. A 2021, 127, 15. [Google Scholar] [CrossRef]
- Litowczenko, J.; Richter, Y.; Ismael, H.; Popenda, Ł.; Ostrowski, A.; Fiedorowicz, K.; Rodriguez-Cabello, J.C.; Wychowaniec, J.K.; Tadyszak, K. 3D bioprinted cell-laden GrooveNeuroTube: A multifunctional platform for ex vivo neural cell migration and growth studies. Biofabrication 2025, 17, 045018. [Google Scholar] [CrossRef]
- Rath, S.N.; Strobel, L.A.; Arkudas, A.; Beier, J.P.; Maier, A.K.; Greil, P.; Horch, R.E.; Kneser, U. Osteoinduction and survival of osteoblasts and bone-marrow stromal cells in 3D biphasic calcium phosphate scaffolds under static and dynamic culture conditions. J. Cell. Mol. Med. 2012, 16, 2350–2361. [Google Scholar] [CrossRef] [PubMed]
- Fischetti, T.; Graziani, G.; Borciani, G.; Pitton, M.; Boanini, E.; Baldini, N.; Farè, S. Development of novel organic/inorganic osteomimetic inks for 3D bioprinted in vitro bone models. Biomater. Adv. 2026, 180, 214608. [Google Scholar] [CrossRef]
- Miles, C.E.; Fung, S.L.; Sanjeeva Murthy, N.; Gormley, A.J. Polymer texture influences cell responses in osteogenic microparticles. Cel. Mol. Bioeng. 2022, 15, 409–423. [Google Scholar] [CrossRef]
- Li, W.; Zhou, J.; Xu, Y. Study of the in vitro cytotoxicity testing of medical devices. Biomed Rep. 2015, 3(5), 617–620. [Google Scholar] [CrossRef] [PubMed] [PubMed Central]
- de Laubenfels, M.W.; Storr, J.F. The taxonomy of American commercial sponges. Bull. Mar. Sci. Gulf Caribb. 1958, 8, 99–117. [Google Scholar]
- Grenier, M.; Simmler, C.; Chevaldonné, P.; Callizot, N.; Pérez, T. Searching for Mediterranean bath sponges (Demospongiae: Dictyoceratida: Spongiidae) in the Northeast Atlantic reveals a new species: An integrative taxonomic approach. Zool. J. Linn. Soc. 2024, 202, zlad166. [Google Scholar] [CrossRef]
- Maylard, A.E.I. Sponges and Their Use in Surgery. Ann. Surg. 1891, 13, 321–332. [Google Scholar] [CrossRef] [PubMed]
- De Cook, S.C.; Bergquist, P.R. Family Spongiidae Gray, 1867. In Systema Porifera: A Guide to the Classification of Sponges; Springer: Boston, MA, USA, 2002; pp. 1051–1060. [Google Scholar]
- Brown, F.; Schmidt, A.T. Improvement in Bleaching, Tanning, and Coloring Sponges. Letters Patent No. 102,760, 10 May 1870. [Google Scholar]
- Hampel, C.A. Method of Bleaching. Patent US2433661A, 11 November 1947. [Google Scholar]
- Mattews, J.M. Bleaching and Related Processes as Applied to Textile Fibers and Other Materials; The Chemical Catalogue Company: New York, NY, USA, 1921; Volume 41, pp. 543–544. [Google Scholar]
- Deprit, A. The Lissajous transformation I. Basics. Celest. Mech. Dyn. Astron. 1991, 51, 201–225. [Google Scholar] [CrossRef]
- Von Ledenfeld, R. A monograph of the horny sponges. Ann. Mag. Nat. Hist. 1889, 6, 418–423. [Google Scholar]
- Louden, D.J. Bath Sponge Aquaculture: Aspects of Culture and Quality. Master’s Thesis, James Cook University, Douglas, Australia, 2006; pp. 1–104. [Google Scholar]
- Louden, D.; Inderbitzin, S.; Peng, Z.; de Nys, R. Development of a new protocol for testing bath sponge quality. Aquaculture 2007, 271, 275–285. [Google Scholar] [CrossRef]
- Castritsi-Catharios, J.; Magli, M.; Vacelet, J. Evaluation of the quality of two commercial sponges by tensile strength measurement. J. Mar. Biol. Assoc. 2007, 87, 1765–1771. [Google Scholar] [CrossRef]
- Cerrano, C.; Calcinai, B.; Gioia, C.; Camillo, D.; Valisano, L. How and why do sponges incorporate foreign material? Strategies in Porifera. Porifera Res. Biodivers. Innov. Sustain. 2007, 28, 239–246. [Google Scholar]
- Ehrlich, H. Meeresbiologisches Materialien wirbellosen Ursprungs; Springer Nature: Cham, Switzerland, 2024. [Google Scholar]
- Amato, A.; Esposito, R.; Federico, S.; Pozzolini, M.; Giovine, M.; Bertolino, M.; Guida, M.; Manfra, L.; Libralato, G.; Zupo, V.; et al. Marine sponges as promising candidates for integrated aquaculture combining biomass increase and bioremediation: An updated review. Front. Mar. Sci. 2024, 10, 1234225. [Google Scholar] [CrossRef]
- Girard, E.B.; Fuchs, A.; Kaliwoda, M.; Lasut, M.; Ploetz, E.; Schmahl, W.W.; Wörheide, G. Sponges as bioindicators for microparticulate pollutants? Environ. Pollut. 2021, 268, 115851. [Google Scholar] [CrossRef] [PubMed]
- Aguiló-Arce, J.; Compa, M.; Corriero, G.; Mastrodonato, M.; Savino, I.; Semeraro, D.; Sureda, A.; Trani, R.; Longo, C. Microplastic filtering and its physiological effects on the Mediterranean bath sponge Spongia officinalis (Porifera, Demospongiae). Mar. Pollut. Bull. 2025, 215, 117849. [Google Scholar] [CrossRef]
- Zdarta, J.; Norman, M.; Smułek, W.; Moszyński, D.; Kaczorek, E.; Stelling, A.L.; Ehrlich, H.; Jesionowski, T. Spongin-Based Scaffolds from Hippospongia communis Demosponge as an Effective Support for Lipase Immobilization. Catalysts 2017, 7, 147. [Google Scholar] [CrossRef]
- d’Amour, H.; Denner, W.; Schulz, H. Structure determination of α-quartz up to 68 × 108 Pa. Acta Cryst. 1979, 35, 550–555. [Google Scholar] [CrossRef]
- Angel, R.J.; Shaw, C.S.J.; Gibbs, G.V. Compression mechanisms of coesite. Phys. Chem. Miner. 2003, 30, 167–176. [Google Scholar] [CrossRef]
- Pluth, J.J.; Smith, J.V.; Faber, J. Crystal structure of low cristobalite at 10, 293, and 473 K: Variation of framework geometry with temperature. J. Appl. Phys. 1985, 57, 1045–1049. [Google Scholar] [CrossRef]
- Kihara, K.; Matsumoto, T.; Imamura, M. High-order thermal-motion tensor analyses of tridymite. Z. Kristallogr. Cryst. Mater. 1986, 177, 39–52. [Google Scholar]
- Kubiak, A.; Voronkina, A.; Pajewska-Szmyt, M.; Kotula, M.; Leśniewski, B.; Ereskovsky, A.; Heimler, K.; Rogoll, A.; Vogt, C.; Rahimi, P.; et al. Creation of a 3D Goethite–Spongin Composite Using an Extreme Biomimetics Approach. Biomimetics 2023, 8, 533. [Google Scholar] [CrossRef]
- Kubiak, A.; Kotula, M.; Leśniewski, B.; Pajewska-Szmyt, M. Iron-sponges Interrelations: From Biocorrosion to Nanostructured Biocomposites. Lett. Appl. NanoBioSci 2022, 12, 64. [Google Scholar]
- Low, E.M. Halogenated amino acids of the bath sponge. J. Mar. Res. 1952, 10, 239-245. [Google Scholar]
- Corti, A.; Pagano, G.; Lo Giudice, A.; Papale, M.; Rizzo, C.; Azzaro, M.; Vinciguerra, V.; Castelvetro, V.; Giannarelli, S. Marine sponges as bioindicators of pollution by synthetic microfibers in Antarctica. Sci. Total Environ. 2023, 902, 166043. [Google Scholar] [CrossRef]
- Lin, Z.; Solomon, K.L.; Zhang, X.; Pavlos, N.J.; Abel, T.; Willers, C.; Dai, K.; Xu, J.; Zheng, Q.; Zheng, M. In vitro evaluation of natural marine sponge collagen as a scaffold for bone tissue engineering. Int. J. Biol. Sci. 2011, 7, 968–977. [Google Scholar] [CrossRef] [PubMed]
- Cresswell, E. Sponges: Their Nature, History, Modes of Fishing, Varieties, Cultivation, etc.; Sir Isaac Pitman & Sons Ltd.: London, UK, 1922; pp. 1–126. [Google Scholar]
- Ha, J.; Kim, J.; Jung, Y.; Yun, G.; Kim, D.N.; Kim, H.Y. Poro-elasto-capillary wicking of cellulose sponges. Sci. Adv. 2018, 4, eaao7051. [Google Scholar] [CrossRef]
- Cui, Y.; Wang, Y.; Shao, Z.; Mao, A.; Gao, W.; Bai, H. Smart Sponge for Fast Liquid Absorption and Thermal Responsive Self-Squeezing. Adv. Mater. 2020, 32, 1908249. [Google Scholar] [CrossRef] [PubMed]
- Tang, F.; Yang, J.; Lin, L.; Liu, Z.; Wang, Q.; Ma, W.; Shang, H.; Wu, H.; He, A. A capillary effect-inspired sponge-structured carboxymethyl cellulose aerogel layer-modified membrane for efficient separation of dye/salt under ultra-low-pressure. Int. J. Biol. Macromol. 2024, 282, 137516. [Google Scholar] [CrossRef]
- Guo, B.; Dong, R.; Liang, Y.; Li, M. Haemostatic materials for wound healing applications. Nat. Rev. Chem. 2021, 5, 773–791. [Google Scholar] [CrossRef] [PubMed]
- Nepal, A.; Tran, H.D.N.; Nguyen, N.T.; Ta, H.T. Advances in haemostatic sponges: Characteristics and the underlying mechanisms for rapid haemostasis. Bioact. Mater. 2023, 27, 231–256. [Google Scholar] [CrossRef] [PubMed]
- Zhang, Y.; Wang, X.; Li, J.; Sun, Z.; Yang, X.; Guo, X.; Fan, H.; Shi, J.; Hou, S.; Lv, Q. Double-Layer Multifunctional Sponge Constructed by Gel-Spray System and the Application in Rapid Hemostasis of Non-Compressible Hemorrhage. Adv. Health. Mater. 2025, e02910. [Google Scholar] [CrossRef]
- Zou, C.Y.; Han, C.; Xing, F.; Jiang, Y.L.; Xiong, M.; Li-Ling, J.; Xie, H.Q. Smart design in biopolymer-based hemostatic sponges: From hemostasis to multiple functions. Bioact. Mater. 2025, 45, 459–478. [Google Scholar] [CrossRef]
- Guo, Y.; Xie, X.; Li, J.; Yao, S. Recent Advances in Natural Polysaccharide-Based Hemostatic Sponges: A Review. Polysaccharides 2025, 6, 25. [Google Scholar] [CrossRef]
- Zhou, M.; Yuan, T.; Shang, L. 3D Printing of Naturally Derived Adhesive Hemostatic Sponge. Research 2024, 7, 0446. [Google Scholar] [CrossRef]
- Macko, J.; Podrojková, N.; Oriňaková, R.; Oriňak, A. New Insights into Hydrophobicity at Nanostructured Surfaces: Experiments and Computational Models. Nanomater. Nanotechnol. 2022, 12, 184798042110623. [Google Scholar] [CrossRef]
- Mikaeili, F.; Gouma, P.I. Super Water-Repellent Cellulose Acetate Mats. Sci. Rep. 2018, 8, 12472. [Google Scholar] [CrossRef]
- Rodríguez-Fabià, S.; Torstensen, J.; Johansson, L.; Syverud, K. Hydrophobisation of Lignocellulosic Materials Part I: Physical Modification. Cellulose 2022, 29, 5375–5393. [Google Scholar] [CrossRef]
- Birzu, M.; Frunza, L.; Zgura, I.; Cotorobai, F.; Ganea, P.; Preda, N.; Enculescu, M. Wettability by water contact angle upon the surface of wool fabrics covered with oxide nanoparticles. Dig. J. Nanomater. Biostruct. 2017, 12, 921–931. [Google Scholar]
- Ems, H.; Ndao, S. Microstructure-Alone Induced Transition from Hydrophilic to Hydrophobic Wetting State on Silicon. Appl. Surf. Sci. 2015, 339, 137–143. [Google Scholar] [CrossRef]
- Yoon, H.; Kim, J.H.; Kim, J.Q.; Bae, J.W.; Sohn, E.-H.; Kang, H.S. Stretchable Polymeric-Gel-Based Sponge with Tunable Wettability via Segmented Network Design. Mater. Horiz. 2025, 12, 5666–5676. [Google Scholar] [CrossRef]
- Domingues, E.M.; Gonçalves, G.; Henriques, B.; Pereira, E.; Marques, P.A.A.P. High affinity of 3D spongin scaffold towards Hg(II) in real waters. J. Hazard. Mater. 2021, 407, 124807. [Google Scholar] [CrossRef]
- Falahi, S.; Zarejousheghani, M.; Ehrlich, H.; Joseph, Y.; Rahimi, P. Electrochemical Sensing of Gallic Acid in Beverages Using a 3D Bio-Nanocomposite Based on Carbon Nanotubes/Spongin-Atacamite. Biosensors 2023, 13, 262. [Google Scholar] [CrossRef]
- Falahi, S.; Kubiak, A.; Voronkina, A.; Ehrlich, H.; Joseph, Y.; Rahimi, P. Simultaneous Electrochemical Detection of Dopamine and Tryptophan Using 3D Goethite–Spongin Composites. Biomimetics 2024, 9, 357. [Google Scholar] [CrossRef]
- Leśniewski, B.; Kopani, M.; Szczurek, A.; Matczak, M.; Dubowik, J.; Kotula, M.; Kubiak, A.; Tsurkan, D.; Romańczuk-Ruszuk, E.; Nowicki, M.; et al. Development of Magnetic Sponges Using Steel Melting on 3D Carbonized Spongin Scaffolds Under Extreme Biomimetics Conditions. Biomimetics 2025, 10, 350. [Google Scholar] [CrossRef] [PubMed]
- Shademani, A. Magnetic Sponges for Localized and Controlled Drug Delivery with Drug Combination Therapy. Ph.D. Thesis, University of British Columbia, Vancouver, BC, Canada, 2021. [Google Scholar]
- Li, H.; Kim, I.; Goh, T.S.; Lee, J.I.; Kim, D. Multimodal magnetic sponge-based triboelectric nanogenerator for energy harvesting, force sensing, and controlled drug delivery. Nano Energy 2025, 138, 110899. [Google Scholar] [CrossRef]
- Öztürk, E.E.; Gürsoy, S.; Bakırdere, S. Equilibrium modelling and kinetic studies on adsorption of cadmium from lake water by a magnetic covalent organic framework. Sci. Rep. 2026, 16, 4838. [Google Scholar] [CrossRef] [PubMed]
- Giannelli, M.; Barbalinardo, M.; Riminucci, A.; Belvedere, K.; Boccalon, E.; Sotgiu, G.; Corticelli, F.; Ruani, G.; Zamboni, R.; Aluigi, A.; et al. Magnetic keratin/hydrotalcites sponges as potential scaffolds for tissue regeneration. Appl. Clay Sci. 2021, 207, 106090. [Google Scholar] [CrossRef]
- Nagesh, C.R.V.S.; Brahmendra Kumar, G.V.S.; Saha, B.; Gokhale, A.A. Titanium Sponge Production and Processing for Aerospace Applications. In Aerospace Materials and Material Technologies; Prasad, N., Wanhill, R., Eds.; Springer: Singapore, 2017; pp. 73–89, Indian Institute of Metals Series. [Google Scholar]
- Barthes, J.; Cazzola, M.; Muller, C.; Dollinger, C.; Debry, C.; Ferraris, S.; Spriano, S.; Vrana, N.E. Controlling Porous Titanium/Soft Tissue Interactions with an Innovative Surface Chemical Treatment: Responses of Macrophages and Fibroblasts. Mater. Sci. Eng. C 2020, 112, 110845. [Google Scholar] [CrossRef] [PubMed]
- Marin, E.; Lanzutti, A. Biomedical Applications of Titanium Alloys: A Comprehensive Review. Materials 2024, 17, 114. [Google Scholar] [CrossRef]
- Yadav, M.K.; Yarlapati, A.; Aditya, Y.N.; Kesavan, P.; Pandey, V.; Perugu, C.S.; Nain, A.; Chatterjee, K.; Suwas, S.; Jayaraj, J.; et al. Processing and Development of Porous Titanium for Biomedical Applications: A Comprehensive Review. J. Manuf. Mater. Process 2025, 9, 401. [Google Scholar] [CrossRef]
- Ho, K.; Shiba, T.; Chen, C.Y.; Kim, D.M. Plasma Treatment to Remove Titanium Surface Contaminants and Improve Implant Biocompatibility: An In Vitro Study. Biomimetics 2025, 10, 571. [Google Scholar] [CrossRef]
- Tigani, D.; Lamattina, L.; Puteo, N.; Donadono, C.; Banci, L.; Colombo, M.; Pizzo, A.; Assenza, A. Novel Clinical Applications of 3D-Printed Highly Porous Titanium for Off-the-Shelf Cementless Joint Replacement Prostheses. Biomimetics 2025, 10, 634. [Google Scholar] [CrossRef]
- Müller, U.; Imwinkelried, T.; Horst, M.; Sievers, M.; Graf-Hausner, U. Do Human Osteoblasts Grow into Open-Porous Titanium? Eur. Cell Mater. 2006, 11, 8–15. [Google Scholar] [CrossRef]
- Ichou, H.; Arrousse, N.; Berdimurodov, E.; Aliev, N. Exploring the Advancements in Physical Vapor Deposition Coating: A Review. J. Bio Tribocorros 2024, 10, 3. [Google Scholar] [CrossRef]
- Roy, A.; Wang, S.; Komvopoulos, K. A Review of Plasma-Assisted Deposition Methods for Amorphous Carbon Thin and Ultrathin Films with a Focus on the Cathodic Vacuum Arc Technique. J. Mater. Res. 2023, 38, 586–616. [Google Scholar] [CrossRef]
- Straumal, B.; Gust, W.; Vershinin, N.; Dimitriou, R.; Rabkin, E. Vacuum Arc Deposition of Ti Coatings. Surf. Coat. Technol. 2000, 125, 157–160. [Google Scholar] [CrossRef]
- Smirnov, I.V.; Furman, V.K.; Chornyi, A.V.; Dolgov, N.A.; Andreytsev, A.Y. Nanostructured PVD Film-Coated Alumina Powders for Thermal Spraying Technologies. In Proceedings of the 7th International Conference on Nanomaterials: Applications and Properties (NAP), Zatoka, Ukraine, 10–15 September 2017; IEEE: New York, NY, USA; p. 01FNC04-1. [Google Scholar]
- Garrone, R. Nature, Genèse et Fonctions Des Formations Conjonctives Chez Les Spongiaires. Ph.D. Thesis, Universitè Claude Bernard, Lyon, France, 1975. [Google Scholar]
- Vacelet, J.; Verdenal, B.; Perinet, G. The Iron Mineralization of Spongia officinalis L. (Porifera, Dictyoceratida) and Its Relationships with the Collagen Skeleton. Biol. Cell 1988, 62, 189–198. [Google Scholar] [CrossRef]
- Wojcieszak, D.; Mazur, M.; Kalisz, M.; Grobelny, M. Influence of Cu, Au and Ag on Structural and Surface Properties of Bioactive Coatings Based on Titanium. Mater. Sci. Eng. C 2017, 71, 1115–1121. [Google Scholar] [CrossRef]
- Lukose, C.C.; Anestopoulos, I.; Panagiotidis, I.S.; Zoppi, G.; Black, A.M.; Dover, L.G.; Bowen, L.; Serrano-Aroca, Á.; Liu, T.X.; Mendola, L.; et al. Biocompatible Ti3Au–Ag/Cu Thin Film Coatings with Enhanced Mechanical and Antimicrobial Functionality. Biomater. Res. 2023, 27, 93. [Google Scholar] [CrossRef] [PubMed]
- Zhang, J.; Chen, W.; Gaidau, C. Chrome Tanning Process and the Leather Properties Under Microwave Irradiation. In Proceedings of the XXXV IULYCS Congress, Dresden, Germany, 25–28 June 2019. [Google Scholar]
- Karthikeyan, R.; Chandra Babu, N.K.; Sehgal, P.K.; Mandal, A.B. Chromium-Keratin Tanning Compound-Preparation, Characterization and Application in Tanning Process. J. Am. Leather Chem. Assoc. 2012, 107, 113–122. [Google Scholar]
- Abdullah, M.M.; Rajab, F.M.; Al-Abbas, S.M. Structural and Optical Characterization of Cr2O3 Nanostructures: Evaluation of Its Dielectric Properties. AIP Adv. 2014, 4, 0272121. [Google Scholar] [CrossRef]
- Loubière, S.; Laurent, C.; Bonino, J.P.; Rousset, A. Powders of Chromium and Chromium Carbides of Different Morphology and Narrow Size Distribution. Mater. Res. Bull. 1998, 33, 935–944. [Google Scholar] [CrossRef]
- Barnes, N.; Clark, S.; Seetharaman, S.; Mendez, P.F. Growth Mechanism of Primary Needles during the Solidification of Chromium Carbide Overlays. Acta Mater. 2018, 151, 356–365. [Google Scholar] [CrossRef]
- Glowacki, Z.; Kaluba, W. On Some Features of Chromium Carbide Diffusion Layer Formation. Metall. Mater. Trans. A 1982, 13A, 753–759. [Google Scholar] [CrossRef]
- Berger, L.-M.; Stolle, S.; Gruner, W.; Wetzig, K. Investigation of the Carbothermal Reduction Process of Chromium Oxide by Micro-and Lab-Scale Methods. Int. J. Refract. Met. Hard Mater. 2001, 19, 109–121. [Google Scholar] [CrossRef]
- Ponmudi, S.; Sivakumar, R.; Sanjeeviraja, C.; Gopalakrishnan, C.; Okamoto, T. Development of Room Temperature Sensor Based on High Quality Rhombohedral Al2O3:Cr2O3 (1:1) Thin Film with Bone like Morphological Feature for Ultrasensitive Detection of NH3 Gas. J. Mater. Sci. Mater. Electron. 2020, 31, 10123–10141. [Google Scholar] [CrossRef]
- Cao, Z.; Zuo, C. Cr2O3/Carbon Nanosheet Composite with Enhanced Performance for Lithium Ion Batteries. RSC Adv. 2017, 7, 40243–40248. [Google Scholar] [CrossRef]
- Schmuecker, S.M.; Clouser, D.; Kraus, T.J.; Leonard, B.M. Synthesis of Metastable Chromium Carbide Nanomaterials and Their Electrocatalytic Activity for the Hydrogen Evolution Reaction. Dalton Trans. 2017, 46, 13524–13530. [Google Scholar] [CrossRef]
- Xiong, L.; Li, Q.; Yang, C.F.; Xie, Q.S.; Zhang, J.R. A High-Pressure Study of Cr3C2 by XRD and DFT. Chin. Phys. B 2020, 29, 086401. [Google Scholar] [CrossRef]
- Nowacki, K.; Kubiak, A.; Nowicki, M.; Tsurkan, D.; Ehrlich, H.; Jesionowski, T. 3D Spongin Scaffolds as Templates for Electro-Assisted Deposition of Selected Iron Oxides. Biomimetics 2024, 9, 387. [Google Scholar] [CrossRef] [PubMed]
- Mbuyazi, T.B.; Ajibade, P.A. Magnetic Iron Oxides Nanocomposites: Synthetic Techniques and Environmental Applications for Wastewater Treatment. Discov. Nano 2024, 19, 158. [Google Scholar] [CrossRef]
- Salehirozveh, M.; Dehghani, P.; Mijakovic, I. Synthesis, Functionalization, and Biomedical Applications of Iron Oxide Nanoparticles (IONPs). J. Funct. Biomater. 2024, 15, 340. [Google Scholar] [CrossRef]
- Zhang, S.; Fan, J.; Zhang, X.; Wang, K.; Li, C.; Li, R.; Wang, X.; Ma, Q.; Zhao, T.-S.; Gao, X.; et al. The Influence of Morphologies on the Physicochemical Properties and Fischer-Tropsch Synthesis Performance of Iron Catalysts. Surf. Interfaces 2025, 62, 106218. [Google Scholar] [CrossRef]
- Gomez, M.A.; Chen, Y.; Song, M.; Li, D.; Lea, A.S.; Yao, S.; Duan, Y.; Jia, Y.; Cai, Y.; Xiao, T. The Transformation of Lepidocrocite (γ-FeOOH) with Fe(II) (aq) in Slightly Acidic Media: Intermediate Pathways and Biomimetic Behavior. Environ. Sci. Nano 2024, 11, 4730–4742. [Google Scholar] [CrossRef]
- Li, X.; Li, T.; Jin, X.; Wei, Y.; Bao, Y.; Yao, Q.; Li, F.; Xu, W.; Wu, X. Effects of L-Aspartic Acid on Cr(VI) Adsorption onto the Lepidocrocite with Different Exposed Facets: Batch Experiments and In Situ ATR-FTIR Analysis. Processes 2024, 12, 2598. [Google Scholar] [CrossRef]
- Kristoffersen, K.A.; Måge, I.; Wubshet, S.G.; Böcker, U.; Riiser Dankel, K.; Lislelid, A.; Rønningen, M.A.; Afseth, N.K. FTIR-Based Prediction of Collagen Content in Hydrolyzed Protein Samples. Spectrochim. Acta A Mol. Biomol. Spectrosc. 2023, 301, 122919. [Google Scholar] [CrossRef]
- Malea, E.; Boyatzis, S.C.; Karlis, D.; Palles, D.; Boghosian, S.; Zervos, S. The Complementary Use of Raman, ATR-FTIR Spectroscopy, and Chemometrics for Investigating the Deterioration of Artificially Aged Parchment. J. Raman Spectrosc. 2024, 55, 1266–1280. [Google Scholar] [CrossRef]
- Szatkowski, T.; Kopczyński, K.; Motylenko, M.; Borrmann, H.; Mania, B.; Graś, M.; Lota, G.; Bazhenov, V.V.; Rafaja, D.; Roth, F.; et al. Extreme Biomimetics: A Carbonized 3D Spongin Scaffold as a Novel Support for Nanostructured Manganese Oxide(IV) and Its Electrochemical Applications. Nano Res. 2018, 11, 4199–4214. [Google Scholar] [CrossRef]
- Szatkowski, T.; Wysokowski, M.; Lota, G.; Pęziak, D.; Bazhenov, V.V.; Nowaczyk, G.; Walter, J.; Molodtsov, S.L.; Stöcker, H.; Himcinschi, C.; et al. Novel Nanostructured Hematite-Spongin Composite Developed Using an Extreme Biomimetic Approach. RSC Adv. 2015, 5, 79031–79040. [Google Scholar] [CrossRef]
- Dayyoub, T.; Maksimkin, A.V.; Filippova, O.V.; Tcherdyntsev, V.V.; Telyshev, D.V. Shape Memory Polymers as Smart Materials: A Review. Polymers 2022, 14, 3511. [Google Scholar] [CrossRef]
- Rokaya, D.; Skallevold, H.E.; Srimaneepong, V.; Marya, A.; Shah, P.K.; Khurshid, Z.; Zafar, M.S.; Sapkota, J. Shape Memory Polymeric Materials for Biomedical Applications: An Update. J. Compos. Sci. 2023, 7, 24. [Google Scholar] [CrossRef]
- Xia, Y.; He, Y.; Zhang, F.; Liu, Y.; Leng, J. A Review of Shape Memory Polymers and Composites: Mechanisms, Materials, and Applications. Adv. Mater. 2020, 33, e2000713. [Google Scholar] [CrossRef] [PubMed]
- Zende, R.; Ghase, V.; Jamdar, V. A Review on Shape Memory Polymers. Polym. Plast. Technol. Mater. 2022, 62, 467–485. [Google Scholar] [CrossRef]
- You, D.; Lin, L.; Dong, M.; Wu, Y.; Hu, Y.; Hu, X.; Shao, Y.; Xie, Y.; Xu, M.; Chen, G.; et al. Recent Advances in Shape Memory Polymers for Biomedical Applications: Bridging Macro- and Micro-Scale Effects. Smart Mater. Med. 2025, 6, 240–269. [Google Scholar] [CrossRef]
- Pisani, S.; Genta, I.; Modena, T.; Dorati, R.; Benazzo, M.; Conti, B. Shape-Memory Polymers Hallmarks and Their Biomedical Applications in the Form of Nanofibers. Int. J. Mol. Sci. 2022, 23, 1290. [Google Scholar] [CrossRef]
- Peterson, G.I.; Dobrynin, A.V.; Becker, M.L. Biodegradable Shape Memory Polymers in Medicine. Adv. Healthc. Mater. 2017, 6, 1700694. [Google Scholar] [CrossRef] [PubMed]
- Brown, J.E.; Moreau, J.E.; Berman, A.M.; McSherry, H.J.; Coburn, J.M.; Schmidt, D.F.; Kaplan, D.L. Shape Memory Silk Protein Sponges for Minimally Invasive Tissue Regeneration. Adv. Healthc. Mater. 2016, 6, 1600762. [Google Scholar] [CrossRef]
- Baniasadi, M.; Yarali, E.; Foyouzat, A.; Baghani, M. Crack Self-Healing of Thermo-Responsive Shape Memory Polymers with Application to Control Valves, Filtration, and Drug Delivery Capsule. Eur. J. Mech. A-Solids 2020, 85, 104093. [Google Scholar] [CrossRef]
- Green, D.; Howard, D.; Yang, X.; Kelly, M.; Oreffo, R.O.C. Natural marine sponge fiber skeleton: A biomimetic scaffold for human osteoprogenitor cell attachment, growth, and differentiation. Tissue Eng. 2003, 9, 1159–1166. [Google Scholar] [CrossRef]
- Ehrlich, H. Biomimetic potential of chitin-based composite biomaterials of poriferan origin. In Biomimetic Biomaterials; Ruys, A.J., Ed.; Woodhead Publishing: Sawston, UK, 2013; pp. 46–66. [Google Scholar]
- Ehrlich, H. Chitin of Poriferan Origin as a Unique Biological Material. In Blue Biotechnology; John Wiley & Sons, Ltd.: Chichester, UK, 2018; pp. 821–854. [Google Scholar]
- Ehrlich, H. Marine Biological Materials of Invertebrate Origin; Springer International Publishing: Cham, Switzerland, 2019. [Google Scholar]
- Kim, M.-M.; Mendis, E.; Rajapakse, N.; Lee, S.-H.; Kim, S.-K. Effect of spongin derived from Hymeniacidon sinapium on bone mineralization. J. Biomed. Mater. Res. Part B Appl. Biomater. 2009, 90B, 540–546. [Google Scholar] [CrossRef]
- Rogulska, O.Y.; Mutsenko, V.V.; Revenko, E.B.; Petrenko, Y.A.; Ehrlich, H.; Petrenko, A.Y. Culture and Differentiation of Human Adipose Tissue Mesenchymal Stromal Cells within Carriers Based on Sea Sponge Chitin Skeletons. Probl. Cryobiol. Cryomed. 2013, 23, 267–270. [Google Scholar]
- Mutsenko, V.V.; Bazhenov, V.V.; Rogulska, O.; Tarusin, D.N.; Schütz, K.; Brüggemeier, S.; Gossla, E.; Akkineni, A.R.; Meißner, H.; Lode, A.; et al. 3D chitinous scaffolds derived from cultivated marine demosponge Aplysina aerophoba for tissue engineering approaches based on human mesenchymal stromal cells. Int. J. Biol. Macromol. 2017, 104, 1966–1974. [Google Scholar] [CrossRef]
- Machałowski, T.; Idaszek, J.; Chlanda, A.; Heljak, M.; Piasecki, A.; Święszkowski, W.; Jesionowski, T. Naturally prefabricated 3D chitinous skeletal scaffold of marine demosponge origin, biomineralized ex vivo as a functional biomaterial. Carbohydr. Polym. 2022, 275, 118750. [Google Scholar] [CrossRef] [PubMed]
- Wysokowski, M.; Machałowski, T.; Petrenko, I.; Schimpf, C.; Rafaja, D.; Galli, R.; Ziętek, J.; Pantović, S.; Voronkina, A.; Kovalchuk, V.; et al. 3D Chitin Scaffolds of Marine Demosponge Origin for Biomimetic Mollusk Hemolymph-Associated Biomineralization Ex-Vivo. Mar. Drugs 2020, 18, 123. [Google Scholar] [CrossRef]
- Ehrlich, H.; Steck, E.; Ilan, M.; Maldonado, M.; Muricy, G.; Bavestrello, G.; Kljajic, Z.; Carballo, J.L.; Schiaparelli, S.; Ereskovsky, A.; et al. Three-dimensional chitin-based scaffolds from Verongiida sponges (Demospongiae: Porifera). Part II: Biomimetic potential and applications. Int. J. Biol. Macromol. 2010, 47, 141–145. [Google Scholar] [CrossRef] [PubMed]
- Machałowski, T.; Rusak, A.; Wiatrak, B.; Haczkiewicz-Leśniak, K.; Popiel, A.; Jaroszewicz, J.; Żak, A.; Podhorska-Okołów, M.; Jesionowski, T. Naturally Formed Chitinous Skeleton Isolated from the Marine Demosponge Aplysina fistularis as a 3D Scaffold for Tissue Engineering. Materials 2021, 14, 2992. [Google Scholar] [CrossRef]
- Zawadzka-Knefel, A.; Rusak, A.; Mrozowska, M.; Machałowski, T.; Żak, A.; Haczkiewicz-Leśniak, K.; Kulus, M.; Kuropka, P.; Podhorska-Okołów, M.; Skośkiewicz-Malinowska, K. Chitin scaffolds derived from the marine demosponge Aplysina fistularis stimulate the differentiation of dental pulp stem cells. Front. Bioeng. Biotechnol. 2023, 11, 1254506. [Google Scholar] [CrossRef]
- Mutsenko, V.V.; Gryshkov, O.; Lauterboeck, L.; Rogulska, O.; Tarusin, D.N.; Bazhenov, V.V.; Schütz, K.; Brüggemeier, S.; Gossla, E.; Akkineni, A.R.; et al. Novel chitin scaffolds derived from marine sponge Ianthella basta for tissue engineering approaches based on human mesenchymal stromal cells: Biocompatibility and cryopreservation. Int. J. Biol. Macromol. 2017, 104, 1955–1965. [Google Scholar] [CrossRef]
- Staehlke, S.; Rebl, H.; Nebe, B. Phenotypic stability of the human MG-63 osteoblastic cell line at different passages. Cell Biol. Int. 2019, 43, 22–32. [Google Scholar] [CrossRef]
- Christ, T.; Wüst, M.; Matthes, J.; Jänchen, M.; Jürgens, S.; Herzig, S.; Wettwer, E.; Dobrev, D.; Matschke, K.; Mebs, D.; et al. An Aqueous Extract of the Marine Sponge Ectyoplasia ferox Stimulates L-Type Ca2+-Current by Direct Interaction with the Cav1.2 Subunit. Naunyn-Schmiedeberg’s Arch. Pharmacol. 2004, 370, 474–483. [Google Scholar] [CrossRef]
- Bari, G.D.; Gentile, E.; Latronico, T.; Corriero, G.; Fasano, A.; Marzano, C.N.; Liuzzi, G.M. Inhibitory Effect of Aqueous Extracts from Marine Sponges on the Activity and Expression of Gelatinases A (MMP-2) and B (MMP-9) in Rat Astrocyte Cultures. PLoS ONE 2015, 10, e0129322. [Google Scholar] [CrossRef]
- Piron, J.; Betzi, S.; Pastour, J.; Restouin, A.; Castellano, R.; Collette, Y.; Tysklind, N.; Smith-Ravin, J.; Priam, F. Antimicrobial and Cytotoxic Effects of Marine Sponge Extracts Agelas clathrodes, Desmapsamma anchorata and Verongula rigida from a Caribbean Island. PeerJ 2022, 10, e13955. [Google Scholar] [CrossRef]
- Brunner, E.; Ehrlich, H.; Schupp, P.; Hedrich, R.; Hunoldt, S.; Kammer, M.; Machill, S.; Paasch, S.; Bazhenov, V.V.; Kurek, D.V.; et al. Chitin-Based Scaffolds Are an Integral Part of the Skeleton of the Marine Demosponge Ianthella basta. J. Struct. Biol. 2009, 168, 539–547. [Google Scholar] [CrossRef] [PubMed]
- Ehrlich, H.; Ilan, M.; Maldonado, M.; Muricy, G.; Bavestrello, G.; Kljajic, Z.; Carballo, J.L.; Schiaparelli, S.; Ereskovsky, A.; Schupp, P.; et al. Three-Dimensional Chitin-Based Scaffolds from Verongiida Sponges (Demospongiae: Porifera). Part I. Isolation and Identification of Chitin. Int. J. Biol. Macromol. 2010, 47, 132–140. [Google Scholar] [CrossRef] [PubMed]
- Ehrlich, H.; Maldonado, M.; Spindler, K.-D.; Eckert, C.; Hanke, T.; Born, R.; Goebel, C.; Simon, P.; Heinemann, S.; Worch, H. First Evidence of Chitin as a Component of the Skeletal Fibers of Marine Sponges. Part I. Verongidae (Demospongia: Porifera). J. Exp. Zool. B Mol. Dev. Evol. 2007, 308, 347–356. [Google Scholar] [CrossRef]
- Tsurkan, M.V.; Voronkina, A.; Khrunyk, Y.; Wysokowski, M.; Petrenko, I.; Ehrlich, H. Progress in Chitin Analytics. Carbohydr. Polym. 2021, 252, 117204. [Google Scholar] [CrossRef]
- Greve, H.; Kehraus, S.; Krick, A.; Kelter, G.; Maier, A.; Fiebig, H.-H.; Wright, A.D.; König, G.M. Cytotoxic Bastadin 24 from the Australian Sponge Ianthella quadrangulata. J. Nat. Prod. 2008, 71, 309–312. [Google Scholar] [CrossRef] [PubMed]
- Kazlauskas, R.; Lidgard, R.O.; Murphy, P.T.; Wells, R.J. Brominated Tyrosine-Derived Metabolites from the Sponge Ianthella basta. Tetrahedron Lett. 1980, 21, 2277–2280. [Google Scholar] [CrossRef]
- Calcul, L.; Inman, W.D.; Morris, A.A.; Tenney, K.; Ratnam, J.; McKerrow, J.H.; Valeriote, F.A.; Crews, P. Additional Insights on the Bastadins: Isolation of Analogues from the Sponge Ianthella Cf. reticulata and Exploration of the Oxime Configurations. J. Nat. Prod. 2010, 73, 365–372. [Google Scholar] [CrossRef]
- Greve, H.; Meis, S.; Kassack, M.U.; Kehraus, S.; Krick, A.; Wright, A.D.; König, G.M. New Iantherans from the Marine Sponge Ianthella quadrangulata: Novel Agonists of the P2Y(11) Receptor. J. Med. Chem. 2007, 50, 5600–5607. [Google Scholar] [CrossRef]
- Tian, L.-W.; Feng, Y.; Shimizu, Y.; Pfeifer, T.A.; Wellington, C.; Hooper, J.N.A.; Quinn, R.J. ApoE Secretion Modulating Bromotyrosine Derivative from the Australian Marine Sponge Callyspongia sp. Bioorg. Med. Chem. Lett. 2014, 24, 3537–3540. [Google Scholar] [CrossRef]
- Fernandes, F.; Peixoto, D.; Correia, C.; Silva, M.; Paiva, M.C.; Alves, N.M. Mussel-Inspired Hydrogels Incorporating Graphite Derivatives for Soft Tissue Regeneration. Nanomaterials 2025, 15, 276. [Google Scholar] [CrossRef]
- Lamprecht, C.; Taale, M.; Paulowicz, I.; Westerhaus, H.; Grabosch, C.; Schuchardt, A.; Mecklenburg, M.; Böttner, M.; Lucius, R.; Schulte, K.; et al. A Tunable Scaffold of Microtubular Graphite for 3D Cell Growth. ACS Appl. Mater. Interfaces 2016, 8, 14980–14985. [Google Scholar] [CrossRef]
- Wang, I.-N.E.; Robinson, J.T.; Do, G.; Hong, G.; Gould, D.R.; Dai, H.; Yang, P.C. Graphite Oxide Nanoparticles with Diameter Greater than 20 Nm Are Biocompatible with Mouse Embryonic Stem Cells and Can Be Used in a Tissue Engineering System. Small 2014, 10, 1479–1484. [Google Scholar] [CrossRef]
- Silva, M.; Pinho, I.; Gonçalves, H.; Vale, A.C.; Paiva, M.C.; Alves, N.M.; Covas, J.A. Engineering Ligament Scaffolds Based on PLA/Graphite Nanoplatelet Composites by 3D Printing or Braiding. J. Compos. Sci. 2023, 7, 104. [Google Scholar] [CrossRef]
- Dan, S.; Sah, M.K. Terminalia Arjuna Fruit-Derived Graphite: A Versatile Biomaterial Precursor for Bone Tissue Engineering Applications. Biomass Conv. Bioref. 2025, 15, 955–966. [Google Scholar] [CrossRef]
- Govindarajan, D.; Saravanan, S.; Sudhakar, S.; Vimalraj, S. Graphene: A Multifaceted Carbon-Based Material for Bone Tissue Engineering Applications. ACS Omega 2024, 9, 67–80. [Google Scholar] [CrossRef] [PubMed]
- Ławkowska, K.; Pokrywczyńska, M.; Koper, K.; Kluth, L.A.; Drewa, T.; Adamowicz, J. Application of Graphene in Tissue Engineering of the Nervous System. Int. J. Mol. Sci. 2021, 23, 33. [Google Scholar] [CrossRef] [PubMed]
- Shin, S.R.; Li, Y.-C.; Jang, H.L.; Khoshakhlagh, P.; Akbari, M.; Nasajpour, A.; Zhang, Y.S.; Tamayol, A.; Khademhosseini, A. Graphene-Based Materials for Tissue Engineering. Adv. Drug Deliv. Rev. 2016, 105, 255–274. [Google Scholar] [CrossRef] [PubMed]











































| Working Pressure, PAr, Pa | Arc Current, A | Arc Voltage, V | Bias Voltage, V | Deposition Time, min |
|---|---|---|---|---|
| 2.66 × 10−1 | 90…100 | 60…70 | 50…80 | 5…10 |
| No. | Liquid | Density * [g/mL] | Absorbed Liquid Volume per 1 g of Spongin Scaffold |
|---|---|---|---|
| 1 | tap water | 0.99 | 31.3 ± 5.8 mL |
| 2 | distilled water | 0.99 | 33.5 ± 7.7 mL |
| 3 | simulated seawater | 1.16 | 32.7 ± 6.7 mL |
| 4 | dental water | 1.00 | 29.6 ± 4.1 mL |
| 5 | sugar syrup | 1.24 | 40.9 ± 3.2 mL |
| 6 | pork blood | 1.04 | 41.6 ± 7.1 mL |
| 7 | physiological saline (0.9% NaCl) | 1.00 | 45.0 ± 6.9 mL |
| 8 | human plasma | 1.01 | 38.1 ± 7.3 mL |
| 9 | serum (FBS) | 1.01 | 34.2 ± 4.8 mL |
| 10 | cells medium (DMEM) | 1.00 | 39.5 ± 7.2 mL |
| 11 | vinegar, 10% | 1.01 | 36.4 ± 3.9 mL |
| 12 | red wine | 1.01 | 31.6 ± 1.8 mL |
| 13 | beer | 1.00 | 35.0 ± 1.8 mL |
| 14 | glycerin | 1.20 | 30.5 ± 1.2 mL |
| 15 | hyaluronic acid, 1% | 1.01 | 36.5 ± 2.2 mL |
| Sample | Water Contact Angle [°] | SD [°] |
|---|---|---|
| Spongin from S. lamella | 122.3 | 0.3 |
| Spongin from S. tampa | 122.5 | 0.5 |
| Spongin from H. communis | 132.9 | 1.3 |
| Sample | Water Contact Angle [°] | SD [°] |
|---|---|---|
| Spongin coated with PUR | 118.1 | 4.1 |
| Interior region of spongin coated with PUR | 126.9 | 3.1 |
| Spongin coated with molding silicone | 128.8 | 2.4 |
| Interior region of spongin coated with molding silicone | 125.1 | 3.8 |
Disclaimer/Publisher’s Note: The statements, opinions and data contained in all publications are solely those of the individual author(s) and contributor(s) and not of MDPI and/or the editor(s). MDPI and/or the editor(s) disclaim responsibility for any injury to people or property resulting from any ideas, methods, instructions or products referred to in the content. |
© 2026 by the authors. Licensee MDPI, Basel, Switzerland. This article is an open access article distributed under the terms and conditions of the Creative Commons Attribution (CC BY) license.
Share and Cite
Ehrlich, H.; Litowczenko, J.; Szczurek, A.; Voronkina, A.; Pakuła, D.; Frydrych, M.; Przekop, R.E.; Smirnov, I.; Petrov, S.; Sieliverstov, I.; et al. 3D Skeletal Scaffolds of Marine Keratosan Demosponges Origin as Renewable Sources for Bioinspiration in Modern Structural Biomimetics and Tissue Engineering. Biomimetics 2026, 11, 124. https://doi.org/10.3390/biomimetics11020124
Ehrlich H, Litowczenko J, Szczurek A, Voronkina A, Pakuła D, Frydrych M, Przekop RE, Smirnov I, Petrov S, Sieliverstov I, et al. 3D Skeletal Scaffolds of Marine Keratosan Demosponges Origin as Renewable Sources for Bioinspiration in Modern Structural Biomimetics and Tissue Engineering. Biomimetics. 2026; 11(2):124. https://doi.org/10.3390/biomimetics11020124
Chicago/Turabian StyleEhrlich, Hermann, Jagoda Litowczenko, Anna Szczurek, Alona Voronkina, Daria Pakuła, Miłosz Frydrych, Robert E. Przekop, Igor Smirnov, Stanislav Petrov, Ihor Sieliverstov, and et al. 2026. "3D Skeletal Scaffolds of Marine Keratosan Demosponges Origin as Renewable Sources for Bioinspiration in Modern Structural Biomimetics and Tissue Engineering" Biomimetics 11, no. 2: 124. https://doi.org/10.3390/biomimetics11020124
APA StyleEhrlich, H., Litowczenko, J., Szczurek, A., Voronkina, A., Pakuła, D., Frydrych, M., Przekop, R. E., Smirnov, I., Petrov, S., Sieliverstov, I., Kotula, M., Kubiak, A., Leśniewski, B., Dziedzic, I., Muzychka, L., Stöker, H., Souiba, Z., Springer, A., Heimler, K., ... Nowacki, K. (2026). 3D Skeletal Scaffolds of Marine Keratosan Demosponges Origin as Renewable Sources for Bioinspiration in Modern Structural Biomimetics and Tissue Engineering. Biomimetics, 11(2), 124. https://doi.org/10.3390/biomimetics11020124

