State-Dependent CNN–GRU Reinforcement Framework for Robust EEG-Based Sleep Stage Classification
Abstract
1. Introduction
2. Materials and Methods
2.1. Participants, Experimental Setup, and Protocol
2.2. Data Recording Protocol
2.3. EEG Data
2.4. Statistical Analysis
2.5. Procedural Framework
2.6. Biomimetic Inspiration and Algorithmic Parallels
3. Simulation Results and Discussion
3.1. Power Spectral Density (PSD) Analysis
3.2. EEG Microstate (MS)
3.3. Lempel–Ziv Complexity (LZC)
3.4. Reinforcement Learning Classifier
4. Experimental Design
4.1. Experimental Setup
4.2. Evaluation Metrics
5. Results and Analysis
5.1. Statistical Analysis
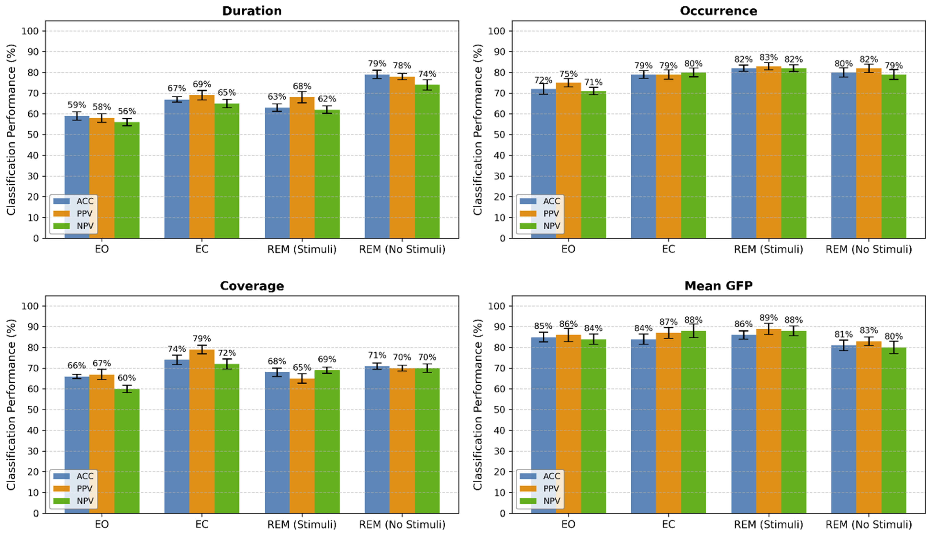
5.2. Classification Performance
5.3. Limitations and Future Work
6. Conclusions
Author Contributions
Funding
Institutional Review Board Statement
Informed Consent Statement
Data Availability Statement
Acknowledgments
Conflicts of Interest
Appendix A
| # Step 1: Pseudocode for raw EEG data analysis Input: EEG data as time series (19 channels × time) Output: Feature matrix for RL model Pre-process EEG time series t; Filter (0.5–70 Hz) Remove artifacts Segment into time windows For each channel ch and each time window ws: Compute PSD using the Welch method Compute microstate features Compute Lempel-Ziv complexity Concatenate features into a feature matrix Perform significant analysis to identify significant sub-bands/features Final output: feature matrix (2×19 D) # Step 2: Training of CNN + GRU_RL model Input: feature matrix (2 × 19 D features), Labels Output: Trained CNN + GRU_RL model Split the training set into training and validation sets # Model architecture: Input layer: feature matrix with shape (1,38,1) Convolutional layers: Conv1: 256 filters, kernel size 7, ReLU activation Conv2: 64 filters, kernel size 5, ReLU activation Conv3: 16 filters, kernel size 3, ReLU activation Max Pooling layer: size 3×3 GRU layer: 256 units Fully connected layer: 16 neurons, SoftMax Output layer: 4 neurons, linear activation # for RL policy Optimizer: Adam with learning rate 0.001 Loss function: cross entropy Training parameters: Batch size 128, epochs 500 For each epoch = 1 to Total_Epochs (500), do Initialize model parameters: Initialize hidden state Initialize location For episode = 1 to maxEpisode do Reset environment initial location while not terminal do # Retina # Feature extraction via CNN + GRU # Attention selection # Next location # step in Environment # Store transition and update # Move to next time step if done, then break end while end for end for Evaluate the model on the validation set Save the best-performing model # Step 3: Testing and cross-subject evaluation For each subject i: Use subject i as the test set Train the model on all remaining subjects Evaluate the trained policy on the unseen EEG of subject i Compute ACC, PPV, NPV Aggregate results across subjects Return the final trained model and + cross-validation metrics |
| Signal sequence in each time step | |
| Formal representation of a signal by location network | |
| Multi-scale feature vector | |
| Parameter of the multi-scale neural network | |
| Hidden unit | |
| Parameter of the hidden neural network | |
| Parameterized distribution | |
| and | Position the neural network and the parameters of the neural network |
| , , and | Action generated by the neural network, the parameter of the neural network, and the generated action at time formulated by the SoftMax function |
| and | Reward and cumulative reward |
| Stochastic strategy | |
| Mapping the interaction between agent and environment | |
| Optimization function | |
| State of CNN + GRU hidden unit in interaction with the environment | |
| Gradient of CNN + GRU (standard gradient backpropagation) | |
| State value function |
References
- Wade, A.; Zisapel, N.; Lemoine, P. Prolonged-release melatonin for the treatment of insomnia: Targeting quality of sleep and morning alertness. Aging Health 2008, 4, 11–21. [Google Scholar] [CrossRef]
- Bollu, P.C.; Kaur, H. Sleep medicine: Insomnia and sleep. Mo. Med. 2019, 116, 68. [Google Scholar] [PubMed]
- Buscemi, N.; Vandermeer, B.; Friesen, C.; Bialy, L.; Tubman, M.; Ospina, M.; Klassen, T.P.; Witmans, M. The efficacy and safety of drug treatments for chronic insomnia in adults: A meta-analysis of RCTs. J. Gen. Intern. Med. 2007, 22, 1335–1350. [Google Scholar] [CrossRef] [PubMed]
- Miletínová, E.; Bušková, J. Functions of sleep. Physiol. Res. 2021, 70, 177. [Google Scholar] [CrossRef]
- MacDonald, K.J.; Cote, K.A. Contributions of post-learning REM and NREM sleep to memory retrieval. Sleep Med. Rev. 2021, 59, 101453. [Google Scholar] [CrossRef]
- Zaatar, M.T.; Alhakim, K.; Enayeh, M.; Tamer, R. The transformative power of music: Insights into neuroplasticity, health, and disease. Brain Behav. Immun. Health 2024, 35, 100716. [Google Scholar] [CrossRef]
- Schouten, D.I.; Pereira, S.I.; Tops, M.; Louzada, F.M. State of the art on targeted memory reactivation: Sleep your way to enhanced cognition. Sleep. Med. Rev. 2017, 32, 123–131. [Google Scholar] [CrossRef] [PubMed]
- Fogel, S.; Ray, L.; Fang, Z.; Silverbrook, M.; Naci, L.; Owen, A.M. While you were sleeping: Evidence for high-level executive processing of an auditory narrative during sleep. Conscious. Cogn. 2022, 100, 103306. [Google Scholar] [CrossRef]
- Dang-Vu, T.T.; Bonjean, M.; Schabus, M.; Boly, M.; Darsaud, A.; Desseilles, M.; Degueldre, C.; Balteau, E.; Phillips, C.; Luxen, A. Interplay between spontaneous and induced brain activity during human non-rapid eye movement sleep. Proc. Natl. Acad. Sci. USA 2011, 108, 15438–15443. [Google Scholar] [CrossRef]
- Portas, C.M.; Krakow, K.; Allen, P.; Josephs, O.; Armony, J.L.; Frith, C.D. Auditory processing across the sleep-wake cycle: Simultaneous EEG and fMRI monitoring in humans. Neuron 2000, 28, 991–999. [Google Scholar] [CrossRef]
- Nir, Y.; de Lecea, L. Sleep and vigilance states: Embracing spatiotemporal dynamics. Neuron 2023, 111, 1998–2011. [Google Scholar] [CrossRef]
- Vakalopoulos, C. The EEG as an index of neuromodulator balance in memory and mental illness. Front. Neurosci. 2014, 8, 63. [Google Scholar] [CrossRef] [PubMed]
- Brancaccio, A.; Tabarelli, D.; Bigica, M.; Baldauf, D. Cortical source localization of sleep-stage specific oscillatory activity. Sci. Rep. 2020, 10, 6976, Erratum in Sci. Rep. 2020, 1, 8636. [Google Scholar] [CrossRef] [PubMed] [PubMed Central]
- van den Berg, N.H.; Benoit, A.; Toor, B.; Fogel, S. Sleep stages and neural oscillations: A window into sleep’s role in memory consolidation and cognitive abilities. In Handbook of Behavioral Neuroscience; Elsevier: Amsterdam, The Netherlands, 2019; Volume 30, pp. 455–470. [Google Scholar]
- Vu, M.-A.T.; Adalı, T.; Ba, D.; Buzsáki, G.; Carlson, D.; Heller, K.; Liston, C.; Rudin, C.; Sohal, V.S.; Widge, A.S. A shared vision for machine learning in neuroscience. J. Neurosci. 2018, 38, 1601–1607. [Google Scholar] [CrossRef]
- Badrulhisham, F.; Pogatzki-Zahn, E.; Segelcke, D.; Spisak, T.; Vollert, J. Machine learning and artificial intelligence in neuroscience: A primer for researchers. Brain Behav. Immun. 2024, 115, 470–479. [Google Scholar] [CrossRef] [PubMed]
- Fraiwan, L.; Lweesy, K.; Khasawneh, N.; Wenz, H.; Dickhaus, H. Automated sleep stage identification system based on time–frequency analysis of a single EEG channel and random forest classifier. Comput. Methods Progr. Biomed. 2012, 108, 10–19. [Google Scholar] [CrossRef]
- Gurrala, V.; Yarlagadda, P.; Koppireddi, P. A novel single channel EEG-based sleep stage classification using SVM. Int. J. Biomed. Eng. Technol. 2021, 36, 119–132. [Google Scholar] [CrossRef]
- Lajnef, T.; Chaibi, S.; Ruby, P.; Aguera, P.-E.; Eichenlaub, J.-B.; Samet, M.; Kachouri, A.; Jerbi, K. Learning machines and sleeping brains: Automatic sleep stage classification using decision-tree multi-class support vector machines. J. Neurosci. Methods 2015, 250, 94–105. [Google Scholar] [CrossRef] [PubMed]
- Wen, W. Sleep quality detection based on EEG signals using transfer support vector machine algorithm. Front. Neurosci. 2021, 15, 670745. [Google Scholar] [CrossRef]
- Aydoğan, O.; Öter, A.; Kıymık, M.K.; Tuncel, D. Automatic classification of sleep stages with artificial neural networks according to visual scoring rules. In Proceedings of the 2015 23nd Signal Processing and Communications Applications Conference (SIU), Malatya, Turkey, 16–19 May 2015; pp. 399–402. [Google Scholar]
- Khalili, E.; Asl, B.M. Automatic sleep stage classification using temporal convolutional neural network and new data augmentation technique from raw single-channel EEG. Comput. Methods Progr. Biomed. 2021, 204, 106063. [Google Scholar] [CrossRef]
- Hu, Y.; Shi, W.; Yeh, C.-H. Spatiotemporal convolution sleep network based on graph attention mechanism with automatic feature extraction. Comput. Methods Progr. Biomed. 2024, 244, 107930. [Google Scholar] [CrossRef]
- Mostafaei, S.H.; Tanha, J.; Sharafkhaneh, A. A novel deep learning model based on transformer and cross modality attention for classification of sleep stages. J. Biomed. Inform. 2024, 157, 104689. [Google Scholar] [CrossRef]
- Ma, Y.J.; Zschocke, J.; Glos, M.; Kluge, M.; Penzel, T.; Kantelhardt, J.W.; Bartsch, R.P. Automatic sleep-stage classification of heart rate and actigraphy data using deep and transfer learning approaches. Comput. Biol. Med. 2023, 163, 107193. [Google Scholar] [CrossRef]
- Michielli, N.; Acharya, U.R.; Molinari, F. Cascaded LSTM recurrent neural network for automated sleep stage classification using single-channel EEG signals. Comput. Biol. Med. 2019, 106, 71–81. [Google Scholar] [CrossRef]
- Moctezuma, L.A.; Suzuki, Y.; Furuki, J.; Molinas, M.; Abe, T. GRU-powered sleep stage classification with permutation-based EEG channel selection. Sci. Rep. 2024, 14, 17952. [Google Scholar]
- Zakeri, S.; Makouei, S.; Danishvar, S. Graph-informed convolutional autoencoder to classify brain responses during sleep. Front. Neurosci. 2025, 19, 1525417, Erratum in Front. Neurosci. 2025, 19, 1627975. https://doi.org/10.3389/fnins.2025.1627975. [Google Scholar] [CrossRef] [PubMed] [PubMed Central]
- Bento, N.; Rebelo, J.; Barandas, M.; Carreiro, A.V.; Campagner, A.; Cabitza, F.; Gamboa, H. Comparing handcrafted features and deep neural representations for domain generalization in human activity recognition. Sensors 2022, 12, 7324. [Google Scholar] [CrossRef]
- Kim, S.-W.; Lee, K.; Yeom, J.; Lee, T.-H.; Kim, D.-H.; Kim, J.J. Wearable multi-biosignal analysis integrated interface with direct sleep-stage classification. IEEE Access 2020, 8, 46131–46140. [Google Scholar]
- Jadhav, P.; Rajguru, G.; Datta, D.; Mukhopadhyay, S. Automatic sleep stage classification using time–frequency images of CWT and transfer learning using convolution neural network. Biocybern. Biomed. Eng. 2020, 40, 494–504. [Google Scholar] [CrossRef]
- Zhu, T.; Luo, W.; Yu, F. Convolution-and attention-based neural network for automated sleep stage classification. Int. J. Environ. Res. Public Health 2020, 17, 4152. [Google Scholar] [CrossRef] [PubMed]
- Choi, I.; Kim, W.C. A Transparent Single Financial Asset Trading Framework via Reinforcement Learning. In Proceedings of the International Conference on E-Business and Applications, Singapore, 26–28 February 2024; pp. 72–79. [Google Scholar]
- Jayaraman, P.; Desman, J.; Sabounchi, M.; Nadkarni, G.N.; Sakhuja, A. A primer on reinforcement learning in medicine for clinicians. NPJ Digit. Med. 2024, 7, 337. [Google Scholar] [PubMed]
- Genkin, M.; McArthur, J. A transfer learning approach to minimize reinforcement learning risks in energy optimization for automated and smart buildings. Energy Build. 2024, 303, 113760. [Google Scholar] [CrossRef]
- Girdler, B.; Caldbeck, W.; Bae, J. Neural decoders using reinforcement learning in brain machine interfaces: A technical review. Front. Syst. Neurosci. 2022, 16, 836778. [Google Scholar] [CrossRef] [PubMed]
- Aung, H.W.; Li, J.J.; An, Y.; Su, S.W. EEG_RL-Net: Enhancing EEG MI classification through reinforcement learning-optimised graph neural networks. arXiv 2024, arXiv:2405.00723. [Google Scholar]
- Zhang, W.; Tang, X.; Wang, M. Attention model of EEG signals based on reinforcement learning. Front. Human Neurosci. 2024, 18, 1442398. [Google Scholar] [CrossRef]
- Xavier Fidêncio, A.; Grün, F.; Klaes, C.; Iossifidis, I. Hybrid brain-computer interface using error-related potential and reinforcement learning. Front. Human Neurosci. 2025, 19, 1569411. [Google Scholar]
- Höhn, C.; Hahn, M.A.; Lendner, J.D.; Hoedlmoser, K. Spectral slope and Lempel–Ziv complexity as robust markers of brain states during sleep and wakefulness. eneuro 2024, 11, 1–17. [Google Scholar] [CrossRef]
- Garcia-Molina, G.; Tsoneva, T.; Jasko, J.; Steele, B.; Aquino, A.; Baher, K.; Pastoor, S.; Pfundtner, S.; Ostrowski, L.; Miller, B. Closed-loop system to enhance slow-wave activity. J. Neural Eng. 2018, 15, 066018. [Google Scholar] [CrossRef]
- Software, N. WavePad Audio Editing Software. Available online: https://www.nch.com.au/wavepad/index.html (accessed on 22 October 2025).
- Feige, B.; Baglioni, C.; Boehm, P.; Heinrich, A.; Trumm, S.; Benz, F.; Nissen, C.; Domschke, K.; Frase, L.; Riemann, D. Event-related potentials in insomnia reflect altered perception of sleep. Sleep 2021, 44, zsab137. [Google Scholar] [CrossRef]
- Rudzik, F.; Thiesse, L.; Pieren, R.; Wunderli, J.M.; Brink, M.; Foraster, M.; Héritier, H.; Eze, I.C.; Garbazza, C.; Vienneau, D. Sleep spindle characteristics and arousability from nighttime transportation noise exposure in healthy young and older individuals. Sleep 2018, 41, zsy077. [Google Scholar] [CrossRef] [PubMed]
- Wagner, U.; Gais, S.; Born, J. Emotional memory formation is enhanced across sleep intervals with high amounts of rapid eye movement sleep. Learn. Mem. 2001, 8, 112–119. [Google Scholar] [CrossRef]
- Rasch, B.; Born, J. About sleep’s role in memory. Physiol. Rev. 2013, 93. [Google Scholar] [CrossRef]
- Siegel, J.M. The REM sleep-memory consolidation hypothesis. Science 2001, 294, 1058–1063. [Google Scholar] [CrossRef]
- Navarrete, M.; Greco, V.; Rakowska, M.; Bellesi, M.; Lewis, P.A. Auditory stimulation during REM sleep modulates REM electrophysiology and cognitive performance. Commun. Biol. 2024, 7, 193. [Google Scholar] [CrossRef]
- Sallinen, M.; Kaartinen, J.; Lyytinen, H. Processing of auditory stimuli during tonic and phasic periods of REM sleep as revealed by event-related brain potentials. J. Sleep Res. 1996, 5, 220–228. [Google Scholar] [CrossRef] [PubMed]
- Dang-Vu, T.T.; Schabus, M.; Desseilles, M.; Sterpenich, V.; Bonjean, M.; Maquet, P. Functional neuroimaging insights into the physiology of human sleep. Sleep 2010, 33, 1589–1603. [Google Scholar] [CrossRef]
- MTD, M. Electroencephalograph-Analyzer EEGA-21/26 “Encephalan-131-03”. Available online: https://medicom-mtd.com/en/products/eega.html (accessed on 22 October 2025).
- Tadel, F.; Baillet, S.; Mosher, J.C.; Pantazis, D.; Leahy, R.M. Brainstorm: A user-friendly application for MEG/EEG analysis. Comput. Intell. Neurosci. 2011, 2011, 879716. [Google Scholar]
- Van, L.-D.; Huang, P.-Y.; Lu, T.-C. Cost-effective and variable-channel FastICA hardware architecture and implementation for EEG signal processing. J. Signal Process. Syst. 2016, 82, 91–113. [Google Scholar]
- Weiss, M. Kolmogorov-Smirnov Goodness-of-Fit Test: Corrected for Use with’EEG-Like’Data; Naval Biodynamics Laboratory: New Orleans, LA, USA, 1984. [Google Scholar]
- Maragatham, T.; Vinodhini, B.; Abineshwar, M. Reinforcement Learning Based Prediction and Classification of Sleep Disorder. In Proceedings of the 2024 International Conference on Emerging Research in Computational Science (ICERCS), Coimbatore, India, 12–14 December 2024; pp. 1–8. [Google Scholar]
- Rehman, A.U.; Shi, X.; Ullah, F.; Wang, Z.; Ma, C. Measuring student attention based on EEG brain signals using deep reinforcement learning. Expert. Syst. Appl. 2025, 269, 126426. [Google Scholar] [CrossRef]
- Andrés, E.; Cuéllar, M.P.; Navarro, G. Brain-Inspired Agents for Quantum Reinforcement Learning. Mathematics 2024, 12, 1230. [Google Scholar] [CrossRef]
- Lerner, T.N.; Holloway, A.L.; Seiler, J.L. Dopamine, updated: Reward prediction error and beyond. Curr. Opin. Neurobiol. 2021, 67, 123–130. [Google Scholar]
- Terven, J. Deep reinforcement learning: A chronological overview and methods. AI 2025, 6, 46. [Google Scholar] [CrossRef]
- Addicott, M.A.; Pearson, J.M.; Sweitzer, M.M.; Barack, D.L.; Platt, M.L. A primer on foraging and the explore/exploit trade-off for psychiatry research. Neuropsychopharmacology 2017, 42, 1931–1939. [Google Scholar] [CrossRef]
- Hofmann, M.; Becker, M.F.P.; Tetzlaff, C.; Mäder, P. Concept transfer of synaptic diversity from biological to artificial neural networks. Nat. Commun. 2025, 16, 5112. [Google Scholar] [CrossRef]
- Cox, R.; Fell, J. Analyzing human sleep EEG: A methodological primer with code implementation. Sleep. Med. Rev. 2020, 54, 101353. [Google Scholar] [CrossRef] [PubMed]
- Naser, D.S.; Saha, G. Influence of music liking on EEG based emotion recognition. Biomed. Signal Process. Control 2021, 64, 102251. [Google Scholar]
- Ameera, A.; Saidatul, A.; Ibrahim, Z. Analysis of EEG spectrum bands using power spectral density for pleasure and displeasure state. In Proceedings of the IOP Conference Series: Materials Science and Engineering, Hubei, China, 19–20 April 2019; p. 012030. [Google Scholar]
- Ippolito, G.; Bertaccini, R.; Tarasi, L.; Di Gregorio, F.; Trajkovic, J.; Battaglia, S.; Romei, V. The role of alpha oscillations among the main neuropsychiatric disorders in the adult and developing human brain: Evidence from the last 10 years of research. Biomedicines 2022, 10, 3189. [Google Scholar] [CrossRef]
- Xie, X.-M.; Sha, S.; Cai, H.; Liu, X.; Jiang, I.; Zhang, L.; Wang, G. Resting-State Alpha Activity in the Frontal and Occipital Lobes and Assessment of Cognitive Impairment in Depression Patients. Psychol. Res. Behav. Manag. 2024, 17, 2995–3003. [Google Scholar] [CrossRef] [PubMed]
- Foxe, J.J.; Snyder, A.C. The role of alpha-band brain oscillations as a sensory suppression mechanism during selective attention. Front. Psychol. 2011, 2, 154. [Google Scholar] [CrossRef] [PubMed]
- Ferrara, M.; De Gennaro, L. Going local: Insights from EEG and stereo-EEG studies of the human sleep-wake cycle. Curr. Top. Med. Chem. 2011, 11, 2423–2437. [Google Scholar] [CrossRef]
- Zerna, J.; Strobel, A.; Scheffel, C. EEG microstate analysis of emotion regulation reveals no sequential processing of valence and emotional arousal. Sci. Rep. 2021, 11, 21277. [Google Scholar] [CrossRef] [PubMed]
- Kim, K.; Duc, N.T.; Choi, M.; Lee, B. EEG microstate features according to performance on a mental arithmetic task. Sci. Rep. 2021, 11, 343. [Google Scholar] [CrossRef]
- Khoo, S.Y.; Lai, W.H.; On, S.H.; On, Y.Y.; Adam, B.M.; Law, W.C.; Ng, B.H.S.; Fong, A.Y.Y.; Anselm, S.T. Resting-state electroencephalography (EEG) microstates of healthy individuals following mild sleep deprivation. Sci. Rep. 2024, 14, 16820. [Google Scholar] [CrossRef]
- Hill, A.T.; Bailey, N.W.; Zomorrodi, R.; Hadas, I.; Kirkovski, M.; Das, S.; Lum, J.A.; Enticott, P.G. EEG microstates in early-to-middle childhood show associations with age, biological sex, and alpha power. Human Brain Mapp. 2023, 44, 6484–6498. [Google Scholar]
- Gramfort, A.; Luessi, M.; Larson, E.; Engemann, D.A.; Strohmeier, D.; Brodbeck, C.; Parkkonen, L.; Hämäläinen, M.S. MNE software for processing MEG and EEG data. NeuroImage Clin. 2014, 86, 446–460. [Google Scholar] [CrossRef] [PubMed]
- Ahmadi, N.; Pei, Y.; Carrette, E.; Aldenkamp, A.P.; Pechenizkiy, M. EEG-based classification of epilepsy and PNES: EEG microstate and functional brain network features. Brain Inform. 2020, 7, 6. [Google Scholar] [CrossRef] [PubMed]
- Chu, C.; Wang, X.; Cai, L.; Zhang, L.; Wang, J.; Liu, C.; Zhu, X. Spatiotemporal EEG microstate analysis in drug-free patients with Parkinson’s disease. NeuroImage Clin. 2020, 25, 102132. [Google Scholar] [CrossRef]
- Brodbeck, V.; Kuhn, A.; von Wegner, F.; Morzelewski, A.; Tagliazucchi, E.; Borisov, S.; Michel, C.M.; Laufs, H. EEG microstates of wakefulness and NREM sleep. Neuroimage 2012, 62, 2129–2139. [Google Scholar] [CrossRef]
- Khanna, A.; Pascual-Leone, A.; Farzan, F. Reliability of resting-state microstate features in electroencephalography. PLoS ONE 2014, 9, e114163. [Google Scholar] [CrossRef]
- Kim, K.; Duc, N.T.; Choi, M.; Lee, B. EEG microstate features for schizophrenia classification. PLoS ONE 2021, 16, e0251842. [Google Scholar]
- Koenig, T.; Lehmann, D.; Merlo, M.C.; Kochi, K.; Hell, D.; Koukkou, M. A deviant EEG brain microstate in acute, neuroleptic-naive schizophrenics at rest. Eur. Arch. Psychiatry Clin. Neurosci. 1999, 249, 205–211. [Google Scholar] [CrossRef]
- Noman, K.; Li, Y.; Si, S.; Wang, S.; Mao, G. Oscillatory Lempel–Ziv complexity calculation as a nonlinear measure for continuous monitoring of bearing health. IEEE Trans. Reliab. 2022, 72, 151–165. [Google Scholar] [CrossRef]
- Aamodt, A.; Sevenius Nilsen, A.; Markhus, R.; Kusztor, A.; HasanzadehMoghadam, F.; Kauppi, N.; Thürer, B.; Storm, J.F.; Juel, B.E. EEG Lempel-Ziv complexity varies with sleep stage, but does not seem to track dream experience. Front. Human Neurosci. 2023, 16, 987714. [Google Scholar] [CrossRef]
- Prabhakar, S.K.; Lee, S.-W. SASDL and RBATQ: Sparse autoencoder with swarm based deep learning and reinforcement based Q-learning for EEG classification. IEEE Open J. Eng. Med. Biol. 2022, 3, 58–68. [Google Scholar] [CrossRef]
- Wierstra, D.; Foerster, A.; Peters, J.; Schmidhuber, J. Solving deep memory POMDPs with recurrent policy gradients. In Proceedings of the International Conference on Artificial Neural Networks, Porto, Portugal, 9–13 September 2007; pp. 697–706. [Google Scholar]
- Ingolfsson, T.M.; Hersche, M.; Wang, X.; Kobayashi, N.; Cavigelli, L.; Benini, L. EEG-TCNet: An accurate temporal convolutional network for embedded motor-imagery brain–machine interfaces. In Proceedings of the 2020 IEEE International Conference on Systems, Man, and Cybernetics (SMC), Toronto, ON, Canada, 11–14 October 2020; pp. 2958–2965. [Google Scholar]
- Lawhern, V.J.; Solon, A.J.; Waytowich, N.R.; Gordon, S.M.; Hung, C.P.; Lance, B.J. EEGNet: A compact convolutional neural network for EEG-based brain–computer interfaces. J. Neural Eng. 2018, 15, 056013. [Google Scholar] [CrossRef]
- Zhu, W.; Zeng, N.; Wang, N. Sensitivity, specificity, accuracy, associated confidence interval and ROC analysis with practical SAS implementations. NESUG Proc. Health Care Life Sci. Baltim. Md 2010, 19, 67. [Google Scholar]
- Nachar, N. The Mann-Whitney U: A test for assessing whether two independent samples come from the same distribution. Tutor. Quant. Methods Psychol. 2008, 4, 13–20. [Google Scholar]
- Dimitriadis, S.I.; Salis, C.I.; Liparas, D. An automatic sleep disorder detection based on EEG cross-frequency coupling and random forest model. J. Neural Eng. 2021, 18, 046064. [Google Scholar] [CrossRef] [PubMed]
- Zaidi, T.F.; Farooq, O. EEG sub-bands based sleep stages classification using Fourier Synchrosqueezed transform features. Expert. Syst. Appl. 2023, 212, 118752. [Google Scholar] [CrossRef]
- Sridhar, N.; Shoeb, A.; Stephens, P.; Kharbouch, A.; Shimol, D.B.; Burkart, J.; Ghoreyshi, A.; Myers, L. Deep learning for automated sleep staging using instantaneous heart rate. NPJ Digit. Med. 2020, 3, 106. [Google Scholar] [CrossRef] [PubMed]













| Number of Microstates (N) | GEV |
|---|---|
| 2 | 0.5827 |
| 3 | 0.5858 |
| 4 | 0.6139 |
| 5 | 0.6048 |
| 6 | 0.6344 |
| 7 | 0.6787 |
| 8 | 0.7531 |
| 9 | 0.8470 |
| 10 | 0.8615 |
| MS Parameters | Duration | Occurrence | Coverage | Mean GFP |
|---|---|---|---|---|
| EO vs. EC | 0.059 | 0.137 | 0.174 | 0.305 |
| EC vs. SleepWiSt | 0.049 * | 0.023 * | 0.380 | 0.096 |
| SleepWiSt vs. SleepWoSt | 0.026 * | 0.016 * | 0.332 | 0.042 * |
| EC vs. SleepWoSt | 0.125 | 0.114 | 0.098 | 0.090 |
| MS + LZC | Duration | Occurrence | Coverage | Mean GFP |
|---|---|---|---|---|
| EO vs. EC | 0.142 | 0.051 | 0.061 | 0.034 * |
| EC vs. SleepWiSt | 0.019 * | 0.029 * | 0.078 | 0.221 |
| SleepWiSt vs. SleepWoSt | 0.038 * | 0.022 * | 0.041 * | 0.013 * |
| EC vs. SleepWoSt | 0.065 | 0.015 * | 0.020 * | 0.051 |
| Time Window | 1 s | 5 s | 10 s | 20 s | 30 s | 40 s |
|---|---|---|---|---|---|---|
| RF [88] | 58.7 | 60.1 | 64.7 | 79.1 | 82.0 | 78.3 |
| SVM [89] | 74.6 | 86.9 | 95.5 | 95.8 | 96.9 | 87.1 |
| CNN [90] | 71.2 | 74.4 | 77.6 | 81.5 | 83.7 | 74.8 |
| GRU [27] | 72.1 | 83.3 | 85.0 | 87.7 | 93.7 | 90.3 |
| Höhn et al. dataset [40] | 93.1 | 87.5 | 83.4 | 78.6 | 79.2 | 79.7 |
| EEGNet model [85] | 75.7 | 81.4 | 76.4 | 76.6 | 77.0 | 71.5 |
| Proposed model | 97.2 | 85.7 | 84.3 | 80.5 | 81.3 | 78.5 |
Disclaimer/Publisher’s Note: The statements, opinions and data contained in all publications are solely those of the individual author(s) and contributor(s) and not of MDPI and/or the editor(s). MDPI and/or the editor(s) disclaim responsibility for any injury to people or property resulting from any ideas, methods, instructions or products referred to in the content. |
© 2026 by the authors. Licensee MDPI, Basel, Switzerland. This article is an open access article distributed under the terms and conditions of the Creative Commons Attribution (CC BY) license.
Share and Cite
Zakeri, S.; Makouei, S.; Danishvar, S. State-Dependent CNN–GRU Reinforcement Framework for Robust EEG-Based Sleep Stage Classification. Biomimetics 2026, 11, 54. https://doi.org/10.3390/biomimetics11010054
Zakeri S, Makouei S, Danishvar S. State-Dependent CNN–GRU Reinforcement Framework for Robust EEG-Based Sleep Stage Classification. Biomimetics. 2026; 11(1):54. https://doi.org/10.3390/biomimetics11010054
Chicago/Turabian StyleZakeri, Sahar, Somayeh Makouei, and Sebelan Danishvar. 2026. "State-Dependent CNN–GRU Reinforcement Framework for Robust EEG-Based Sleep Stage Classification" Biomimetics 11, no. 1: 54. https://doi.org/10.3390/biomimetics11010054
APA StyleZakeri, S., Makouei, S., & Danishvar, S. (2026). State-Dependent CNN–GRU Reinforcement Framework for Robust EEG-Based Sleep Stage Classification. Biomimetics, 11(1), 54. https://doi.org/10.3390/biomimetics11010054

