Cam-Based Simple Design of Constant-Force Suspension Backpack to Isolate Dynamic Load
Abstract
1. Introduction
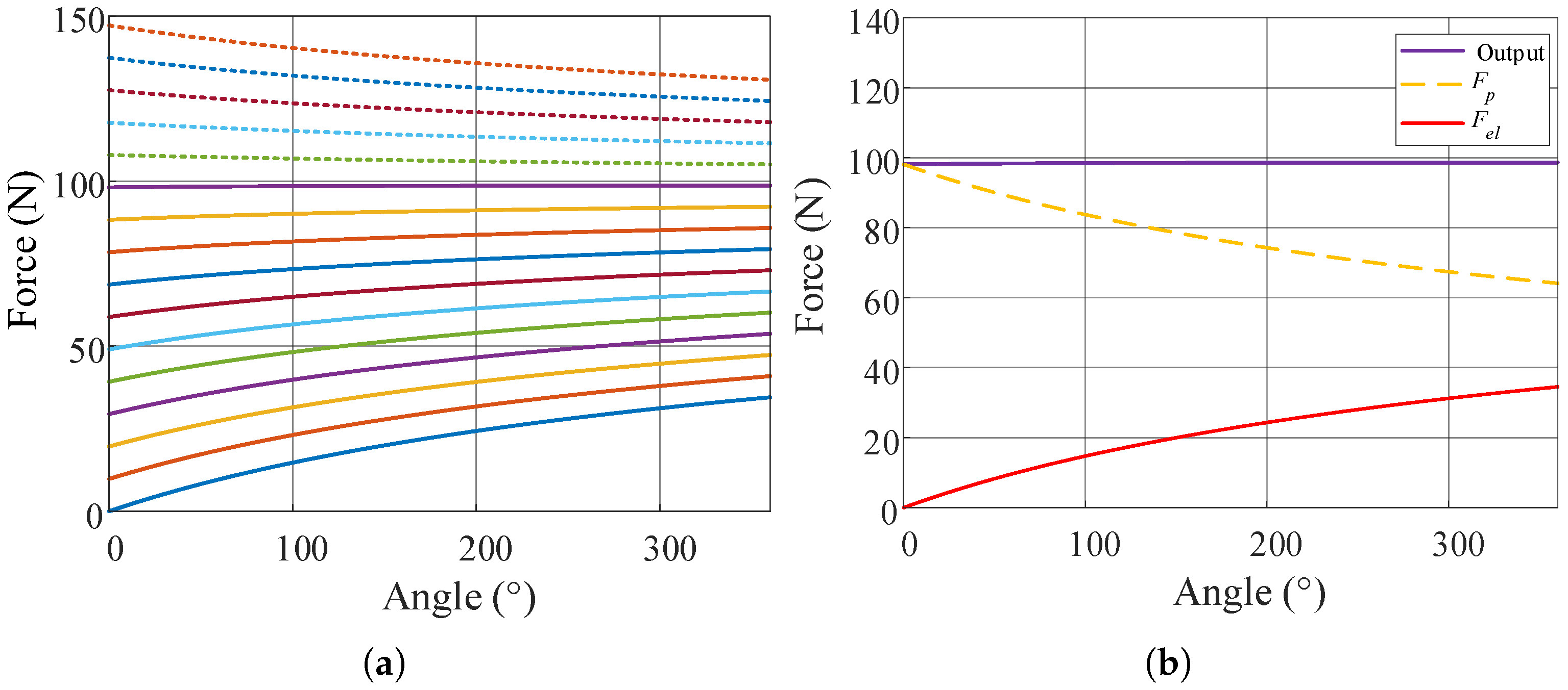
2. Dynamical Modeling and Analysis
3. Structural Design
4. Experimental Performance Evaluation
4.1. Constant-Force Mechanism Experiments
4.2. Human Experiment
4.2.1. Experimental Methods
4.2.2. Experimental Results and Analysis
5. Conclusions
Author Contributions
Funding
Institutional Review Board Statement
Informed Consent Statement
Data Availability Statement
Acknowledgments
Conflicts of Interest
Abbreviations
| OB | Ordinary Backpack |
| CCSB | Cam-based Constant-force Suspension Backpack |
References
- Sakamoto, S.I.; Hutabarat, Y.; Owaki, D.; Hayashibe, M. Ground reaction force and moment estimation through EMG sensing using long short-term memory network during posture coordination. Cyborg Bionic Syst. 2023, 4, 0016. [Google Scholar] [CrossRef] [PubMed]
- Chen, Z.; Yan, J.; Song, X.; Qiao, Y.; Loh, Y.J.; Xie, Q.; Niu, C.M. Heavier load alters upper limb muscle synergy with correlated fnirs responses in ba4 and ba6. Cyborg Bionic Syst. 2023, 4, 0033. [Google Scholar] [CrossRef] [PubMed]
- Guo, X.; Zhou, Z.; Gao, Y.; Mai, J.; Wang, Q. Serial–parallel mechanism and controller design of a robotic brace for dynamic trunk support. IEEE/ASME Trans. Mechatronics 2022, 27, 4518–4529. [Google Scholar] [CrossRef]
- Li, T.; Li, Q.; Liu, T.; Yi, J.; Gong, G. Development of a novel elastic load-carrying device: Design, modeling and analysis. In Proceedings of the 2016 IEEE International Conference on Advanced Intelligent Mechatronics (AIM), Banff, AB, Canada, 12–15 July 2016; pp. 1454–1460. [Google Scholar]
- He, L.; Xiong, C.; Zhang, Q.; Chen, W.; Fu, C.; Lee, K.M. A backpack minimizing the vertical acceleration of the load improves the economy of human walking. IEEE Trans. Neural Syst. Rehabil. Eng. 2020, 28, 1994–2004. [Google Scholar] [CrossRef] [PubMed]
- Fasihi Harandi, M.H.; Loghmani, A.; Attarilar, S. Backpack with a nonlinear suspension system designed for low walking speeds. Arch. Appl. Mech. 2023, 93, 2465–2481. [Google Scholar] [CrossRef]
- Saini, M.; Kerrigan, D.C.; Thirunarayan, M.A.; Duff-Raffaele, M. The vertical displacement of the center of mass during walking: A comparison of four measurement methods. J. Biomech. Eng. 1998, 120, 133–139. [Google Scholar] [CrossRef]
- Huang, T.W.P.; Kuo, A.D. Mechanics and energetics of load carriage during human walking. J. Exp. Biol. 2014, 217, 605–613. [Google Scholar] [CrossRef]
- Bastien, G.J.; Willems, P.A.; Schepens, B.; Heglund, N.C. Effect of load and speed on the energetic cost of human walking. Eur. J. Appl. Physiol. 2005, 94, 76–83. [Google Scholar] [CrossRef]
- Rome, L.C.; Flynn, L.; Yoo, T.D. Rubber bands reduce the cost of carrying loads. Nature 2006, 444, 1023–1024. [Google Scholar] [CrossRef]
- Potwar, K.; Ackerman, J.; Seipel, J. Design of compliant bamboo poles for carrying loads. J. Mech. Des. 2015, 137, 011404. [Google Scholar] [CrossRef]
- Foissac, M.; Millet, G.Y.; Geyssant, A.; Freychat, P.; Belli, A. Characterization of the mechanical properties of backpacks and their influence on the energetics of walking. J. Biomech. 2009, 42, 125–130. [Google Scholar] [CrossRef] [PubMed]
- Li, T.; Li, Q.; Liu, T.; Yi, J. How to carry loads economically: Analysis based on a predictive biped model. J. Biomech. Eng. 2020, 142, 041005. [Google Scholar] [CrossRef] [PubMed]
- Xu, X.; Hsiang, S.M.; Mirka, G.A. The effects of a suspended-load backpack on gait. Gait Posture 2009, 29, 151–153. [Google Scholar] [CrossRef] [PubMed][Green Version]
- Leng, Y.; Lin, X.; Yang, L.; Xu, Y.; Fu, C. Design of an elastically suspended backpack with tunable stiffness. In Proceedings of the 2020 5th International Conference on Advanced Robotics and Mechatronics (ICARM), Shenzhen, China, 18–21 December 2020; pp. 359–363. [Google Scholar]
- Hou, Z.; Zha, W.; Wang, H.; Liao, W.H.; Bowen, C.R.; Cao, J. Bistable energy harvesting backpack: Design, modeling, and experiments. Energy Convers. Manag. 2022, 259, 115441. [Google Scholar] [CrossRef]
- Huang, L.; Yang, Z.; Wang, R.; Xie, L. Physiological and biomechanical effects on the human musculoskeletal system while carrying a suspended-load backpack. J. Biomech. 2020, 108, 109894. [Google Scholar] [CrossRef]
- Hoover, J.; Meguid, S. Performance assessment of the suspended-load backpack. Int. J. Mech. Mater. Des. 2011, 7, 111–121. [Google Scholar] [CrossRef]
- Li, D.; Li, T.; Li, Q.; Liu, T.; Yi, J. A simple model for predicting walking energetics with elastically-suspended backpack. J. Biomech. 2016, 49, 4150–4153. [Google Scholar] [CrossRef]
- Hou, Z.; Liu, Q.; Zhao, H.; Xie, J.; Cao, J.; Liao, W.H.; Bowen, C.R. Biomechanical modeling and experiments of energy harvesting backpacks. Mech. Syst. Signal Process. 2023, 200, 110612. [Google Scholar] [CrossRef]
- Ackerman, J.; Seipel, J. A model of human walking energetics with an elastically-suspended load. J. Biomech. 2014, 47, 1922–1927. [Google Scholar] [CrossRef]
- Yang, Z.; Huang, L.; Zeng, Z.; Wang, R.; Hu, R.; Xie, L. Evaluation of the load reduction performance via a suspended backpack with adjustable stiffness. J. Biomech. Eng. 2022, 144, 051001. [Google Scholar] [CrossRef]
- Lin, X.; Yin, S.; Du, H.; Leng, Y.; Fu, C. Biomechanical Consequences of Walking with the Suspended Backpacks. IEEE Trans. Biomed. Eng. 2024, 71, 2001–2011. [Google Scholar] [CrossRef]
- He, Z.; Cao, Y.; Guo, Y.; Huang, J. A Time-Independent Control Method for Variable-Speed Load-Bearing Walking with Suspended Backpack. In Proceedings of the 2024 43rd Chinese Control Conference (CCC), Kunming, China, 28–31 July 2024; pp. 3078–3083. [Google Scholar]
- Zhang, Q.; Chen, W.; Zhang, H.; Lin, S.; Xiong, C. A Bipedal Walking Model Considering Trunk Pitch Angle for Estimating the Influence of Suspension Load on Human Biomechanics. IEEE Trans. Biomed. Eng. 2024, 72, 1097–1107. [Google Scholar] [CrossRef] [PubMed]
- Lin, X.; Yin, S.; Du, H.; Leng, Y.; Fu, C. Improving Energetic Efficiency and Practicality With a Suspended Backpack During Load Carriage. IEEE/ASME Trans. Mechatronics 2025. [Google Scholar] [CrossRef]
- Pete, A.E.; Kress, D.; Dimitrov, M.A.; Lentink, D. The role of passive avian head stabilization in flapping flight. J. R. Soc. Interface 2015, 12, 20150508. [Google Scholar] [CrossRef] [PubMed]
- Xia, S.; Wang, N.; Chen, B.; Zhang, X.; Chen, W. Nonlinear stiffness mechanism designed by topology optimization reduces backpack vibration. Int. J. Mech. Sci. 2023, 252, 108345. [Google Scholar] [CrossRef]
- Leng, Y.; Lin, X.; Yang, L.; Zhang, K.; Chen, X.; Fu, C. A model for estimating the leg mechanical work required to walk with an elastically suspended backpack. IEEE Trans. Hum.-Mach. Syst. 2022, 52, 1303–1312. [Google Scholar] [CrossRef]
- Ju, H.; Gao, L.; Li, H.; Sui, D.; Zhang, Q.; Zhu, Y.; Zhao, J. Development of a constant force suspended backpack for variable load and variable speed locomotion. J. Mech. Robot. 2023, 15, 051006. [Google Scholar] [CrossRef]
- Huang, L.; Wang, R.; Yang, Z.; Xie, L. Energy harvesting backpacks for human load carriage: Modelling and performance evaluation. Electronics 2020, 9, 1061. [Google Scholar] [CrossRef]
- Yang, L.; Zhang, J.; Xu, Y.; Chen, K.; Fu, C. Energy performance analysis of a suspended backpack with an optimally controlled variable damper for human load carriage. Mech. Mach. Theory 2020, 146, 103738. [Google Scholar] [CrossRef]
- Margaria, R. Biomechanics and Energetics of Muscular Exercise; Clarendon Press: Oxford, UK, 1976. [Google Scholar]
- Donelan, J.M.; Kram, R.; Kuo, A.D. Simultaneous positive and negative external mechanical work in human walking. J. Biomech. 2002, 35, 117–124. [Google Scholar] [CrossRef]
- Peng, Y.; Bu, W.; Chen, J. Design of the wearable spatial gravity balance mechanism. J. Mech. Robot. 2022, 14, 031006. [Google Scholar] [CrossRef]
- Endo, G.; Yamada, H.; Yajima, A.; Ogata, M.; Hirose, S. A passive weight compensation mechanism with a non-circular pulley and a spring. In Proceedings of the 2010 IEEE International Conference on Robotics and Automation, Anchorage, AK, USA, 3–7 May 2010; pp. 3843–3848. [Google Scholar]
- Ludovico, D.; Guardiani, P.; Lasagni, F.; Lee, J.; Cannella, F.; Caldwell, D.G. Design of non-circular pulleys for torque generation: A convex optimisation approach. IEEE Robot. Autom. Lett. 2021, 6, 958–965. [Google Scholar] [CrossRef]
- Brockway, J. Derivation of formulae used to calculate energy expenditure in man. Hum. Nutr. Clin. Nutr. 1987, 41, 463–471. [Google Scholar] [PubMed]
- Slade, P.; Kochenderfer, M.J.; Delp, S.L.; Collins, S.H. Personalizing exoskeleton assistance while walking in the real world. Nature 2022, 610, 277–282. [Google Scholar] [CrossRef]
- Slade, P.; Kochenderfer, M.J.; Delp, S.L.; Collins, S.H. Sensing leg movement enhances wearable monitoring of energy expenditure. Nature Commun. 2021, 12, 4312. [Google Scholar] [CrossRef] [PubMed]
- Glantz, S.A. Primer of Biostatistics; McGraw-Hill: Columbus, OH, USA, 2002. [Google Scholar]
- Wang, P.; Xu, Q. Design and modeling of constant-force mechanisms: A survey. Mech. Mach. Theory 2018, 119, 1–21. [Google Scholar] [CrossRef]
- Liu, Q.; Hou, Z.; Zhang, Y.; Jing, X.; Kerschen, G.; Cao, J. Nonlinear restoring force identification of strongly nonlinear structures by displacement measurement. J. Vib. Acoust. 2022, 144, 031002. [Google Scholar] [CrossRef]














| Parameters | Description | Values |
|---|---|---|
| M | Body mass (kg) | 74 |
| m | Load mass (kg) | 10 |
| Body height (m) | 1.78 | |
| L | Leg length (m) | 1 |
| k | Stiffness (N/m) | 0–10,000 |
| c | Damping (Ns/m) | 100 |
| v | Speed (km/h) | 4–10 |
Disclaimer/Publisher’s Note: The statements, opinions and data contained in all publications are solely those of the individual author(s) and contributor(s) and not of MDPI and/or the editor(s). MDPI and/or the editor(s) disclaim responsibility for any injury to people or property resulting from any ideas, methods, instructions or products referred to in the content. |
© 2025 by the authors. Licensee MDPI, Basel, Switzerland. This article is an open access article distributed under the terms and conditions of the Creative Commons Attribution (CC BY) license (https://creativecommons.org/licenses/by/4.0/).
Share and Cite
Ju, H.; Guan, Z.; Liu, J.; Huang, Y.; Sun, K.; Li, L.; Wang, W.; Zheng, T.; Xiong, Q.; Zhao, J.; et al. Cam-Based Simple Design of Constant-Force Suspension Backpack to Isolate Dynamic Load. Biomimetics 2025, 10, 607. https://doi.org/10.3390/biomimetics10090607
Ju H, Guan Z, Liu J, Huang Y, Sun K, Li L, Wang W, Zheng T, Xiong Q, Zhao J, et al. Cam-Based Simple Design of Constant-Force Suspension Backpack to Isolate Dynamic Load. Biomimetics. 2025; 10(9):607. https://doi.org/10.3390/biomimetics10090607
Chicago/Turabian StyleJu, Haotian, Zihang Guan, Junchen Liu, Yao Huang, Kerui Sun, Lele Li, Weimao Wang, Tianjiao Zheng, Quan Xiong, Jie Zhao, and et al. 2025. "Cam-Based Simple Design of Constant-Force Suspension Backpack to Isolate Dynamic Load" Biomimetics 10, no. 9: 607. https://doi.org/10.3390/biomimetics10090607
APA StyleJu, H., Guan, Z., Liu, J., Huang, Y., Sun, K., Li, L., Wang, W., Zheng, T., Xiong, Q., Zhao, J., & Zhu, Y. (2025). Cam-Based Simple Design of Constant-Force Suspension Backpack to Isolate Dynamic Load. Biomimetics, 10(9), 607. https://doi.org/10.3390/biomimetics10090607

