An Enhanced Educational Competition Optimizer Integrating Multiple Mechanisms for Global Optimization Problems
Abstract
1. Introduction
- (1)
- This study introduces an enhanced version of ECO, referred to as EECO, which incorporates the regenerative population strategy, Powell mechanism, and trend-driven update framework.
- (2)
- This study systematically verified the comprehensive advantages of EECO in convergence, robustness, and dimensional scalability through rigorous comparative experiments.
- (3)
- Multiple statistical tests, such as the Wilcoxon rank sum test, the Friedman test, and the Nemenyi post hoc test, were used to analyze the data obtained from the EECO and comparison algorithms.
2. Educational Competition Optimizer
2.1. Population Initialization
2.2. Primary School Stage
2.3. Middle School Stage
2.4. High School Stage
2.5. Selection and Greed Mechanisms
3. Proposed Enhanced Educational Competition Optimizer
3.1. Regenerative Population Strategy
3.2. Powell Mechanism
3.3. Trend-Driven Updating Framework
3.4. The Structure of EECO and Its Time Complexity
| Algorithm 1: Pseudo-code of EECO algorithm |
| 1: Initialize the ECO parameters |
| 2: Initialize the population X using Equation (1) |
| 3: While FEs < FEsMax |
| 4: Calculate the fitness function |
| 5: Find the best position and worst position |
| 6: Randomly select one strategy to update each agent |
| 7: Execute strategy according to the value of St |
| 8: For i = 1: N do |
| 9: If St = 1 Then // Stage 1: Primary school |
| 10: Update each agent using Equations (3) and (4) |
| 11: End if |
| 12: If St = 2 Then // Stage 2: Middle school |
| 13: Update each agent using Equations (8) and (9) |
| 14: End if |
| 15: If St = 3 Then // Stage 3: High school |
| 16: Update each agent using Equations (12) and (13) |
| 17: End if |
| 18: End for |
| 19: Update the St using trend-driven updating framework // TDUF |
| 20: FEs = FEs + N |
| 21: Update some agent using regenerative population strategy // RPS |
| 22: If FEs > 0.9 × FEsMax Then |
| 23: Update the best agent using Powell mechanism // PM |
| 24: FEs = FEs + mxit2 |
| 25: End if |
| 26: End while |
| 27: Return the best solution |
4. Numerical Experiments Using the CEC-2017 Test Set
4.1. Experimental Settings and Descriptions of Benchmark Functions
4.2. Parameter Sensitivity Analysis
4.2.1. The Analysis of Parameter N
4.2.2. The Analysis of Parameter a
4.3. Strategy Effectiveness Analysis
4.4. Structural Bias Analysis of EECO
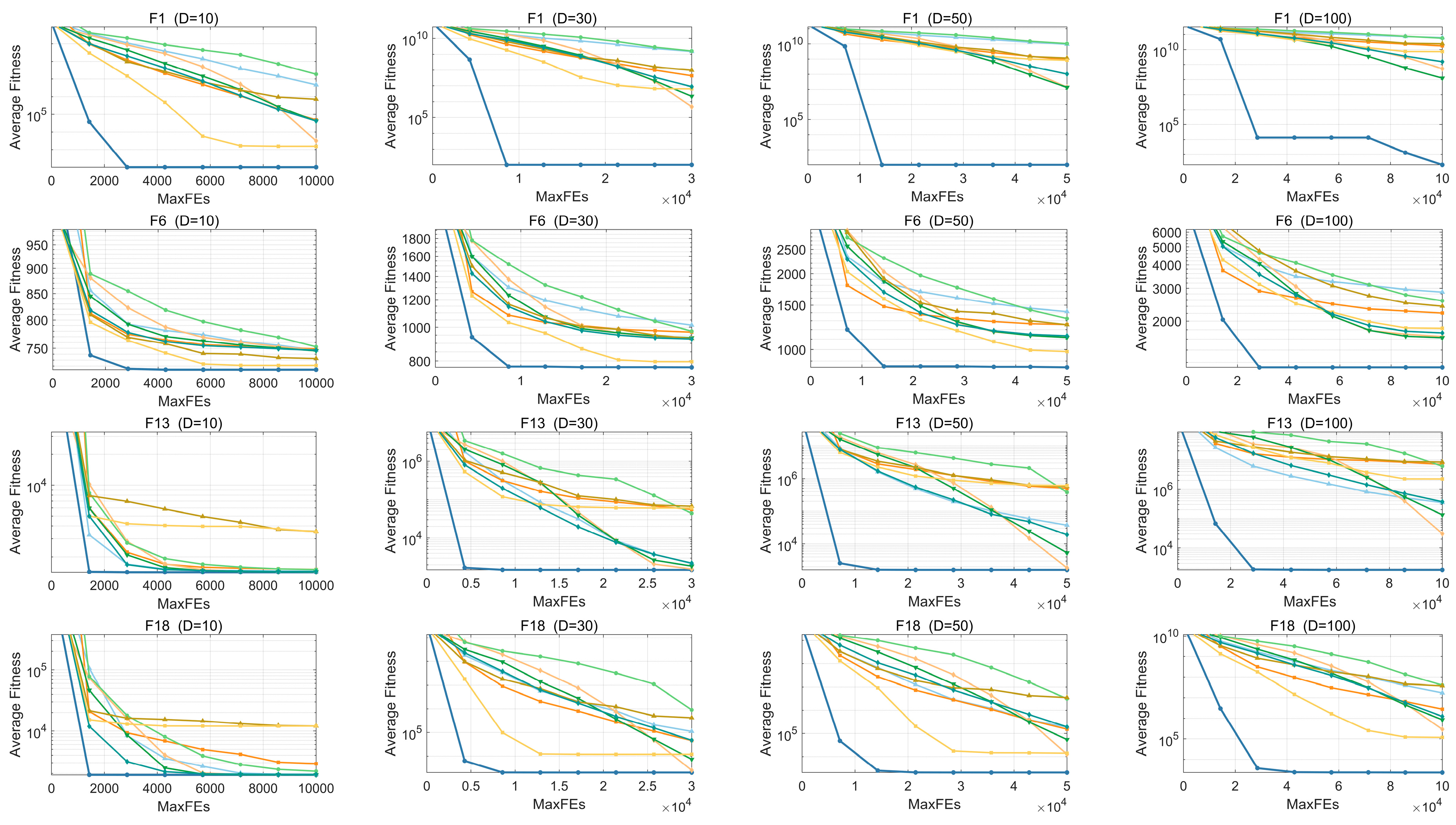
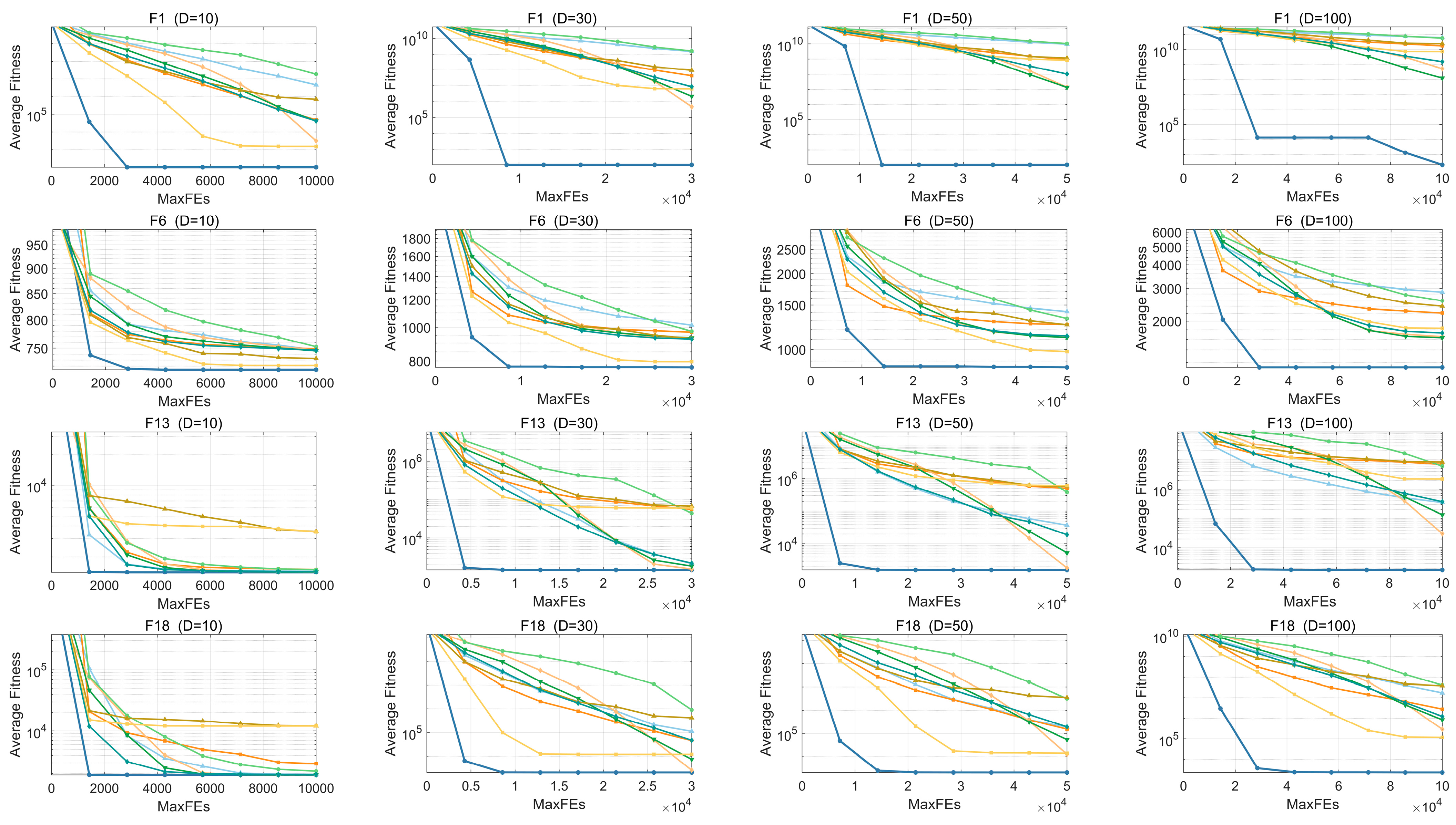
4.5. Comparative Analysis with Other Algorithms
5. Numerical Experiments Using Constrained Engineering Optimization Problems
6. Conclusions
Author Contributions
Funding
Institutional Review Board Statement
Informed Consent Statement
Data Availability Statement
Acknowledgments
Conflicts of Interest
Appendix A
| No. | Index | N = 5D | N = 10D | N = 15D | N = 20D | N = 25D | N = 30D |
|---|---|---|---|---|---|---|---|
| F1 | Best | 4.8595E+04 | 1.0763E+02 | 9.4699E+02 | 3.9914E+03 | 1.9278E+04 | 8.4037E+03 |
| Avg | 1.9123E+06 | 6.1492E+03 | 1.7517E+04 | 4.8399E+05 | 4.9668E+05 | 7.9832E+06 | |
| Std | 4.3461E+06 | 7.6330E+03 | 4.2886E+04 | 7.7810E+05 | 5.5473E+05 | 9.6802E+06 | |
| Rank | 5 | 1 | 2 | 3 | 4 | 6 | |
| F2 | Best | 3.0242E+02 | 3.0000E+02 | 3.0001E+02 | 3.0024E+02 | 3.0190E+02 | 3.0086E+02 |
| Avg | 3.0229E+03 | 4.0358E+02 | 3.0347E+02 | 7.9393E+02 | 3.5153E+02 | 3.9217E+02 | |
| Std | 3.7665E+03 | 2.3704E+02 | 1.0456E+01 | 1.8443E+03 | 1.2587E+02 | 1.4431E+02 | |
| Rank | 6 | 4 | 1 | 5 | 2 | 3 | |
| F3 | Best | 4.0058E+02 | 4.0180E+02 | 4.0346E+02 | 4.0486E+02 | 4.0285E+02 | 4.0504E+02 |
| Avg | 4.1157E+02 | 4.0516E+02 | 4.0503E+02 | 4.0560E+02 | 4.0605E+02 | 4.0717E+02 | |
| Std | 2.4411E+01 | 1.8355E+00 | 9.7697E-01 | 6.1410E-01 | 1.3397E+00 | 2.2543E+00 | |
| Rank | 6 | 2 | 1 | 3 | 4 | 5 | |
| F4 | Best | 5.0612E+02 | 5.0301E+02 | 5.1582E+02 | 5.1504E+02 | 5.0594E+02 | 5.1237E+02 |
| Avg | 5.2157E+02 | 5.1216E+02 | 5.2575E+02 | 5.2907E+02 | 5.2476E+02 | 5.2828E+02 | |
| Std | 8.6368E+00 | 6.4400E+00 | 5.6800E+00 | 7.4053E+00 | 7.5196E+00 | 9.2499E+00 | |
| Rank | 2 | 1 | 4 | 6 | 3 | 5 | |
| F5 | Best | 6.0295E+02 | 6.0001E+02 | 6.0018E+02 | 6.0081E+02 | 6.0061E+02 | 6.0202E+02 |
| Avg | 6.0909E+02 | 6.0202E+02 | 6.0043E+02 | 6.0183E+02 | 6.0218E+02 | 6.0454E+02 | |
| Std | 4.5711E+00 | 3.3227E+00 | 3.6358E-01 | 7.7587E-01 | 1.2081E+00 | 1.6609E+00 | |
| Rank | 6 | 3 | 1 | 2 | 4 | 5 | |
| F6 | Best | 7.1924E+02 | 7.1620E+02 | 7.2143E+02 | 7.3322E+02 | 7.2249E+02 | 7.2952E+02 |
| Avg | 7.3863E+02 | 7.2902E+02 | 7.3799E+02 | 7.4284E+02 | 7.4257E+02 | 7.4279E+02 | |
| Std | 1.2719E+01 | 1.0369E+01 | 7.6167E+00 | 5.5781E+00 | 8.9606E+00 | 1.0005E+01 | |
| Rank | 3 | 1 | 2 | 6 | 4 | 5 | |
| F7 | Best | 8.0340E+02 | 8.0510E+02 | 8.1230E+02 | 8.1695E+02 | 8.0941E+02 | 8.2126E+02 |
| Avg | 8.1352E+02 | 8.1147E+02 | 8.2517E+02 | 8.2651E+02 | 8.2581E+02 | 8.3387E+02 | |
| Std | 6.1569E+00 | 5.0650E+00 | 5.5161E+00 | 7.0147E+00 | 9.7016E+00 | 8.8162E+00 | |
| Rank | 2 | 1 | 3 | 5 | 4 | 6 | |
| F8 | Best | 9.1818E+02 | 9.0000E+02 | 9.0000E+02 | 9.0030E+02 | 9.0003E+02 | 9.0150E+02 |
| Avg | 1.0713E+03 | 9.0940E+02 | 9.0073E+02 | 9.1313E+02 | 9.0675E+02 | 9.0810E+02 | |
| Std | 1.5316E+02 | 2.3728E+01 | 1.8366E+00 | 4.6510E+01 | 6.5648E+00 | 9.6271E+00 | |
| Rank | 6 | 4 | 1 | 5 | 2 | 3 | |
| F9 | Best | 1.4081E+03 | 1.6475E+03 | 1.7746E+03 | 2.1070E+03 | 1.9598E+03 | 1.5376E+03 |
| Avg | 2.1563E+03 | 2.1775E+03 | 2.2668E+03 | 2.4329E+03 | 2.4066E+03 | 2.2734E+03 | |
| Std | 4.1512E+02 | 3.3064E+02 | 2.8930E+02 | 2.5572E+02 | 2.8808E+02 | 3.0560E+02 | |
| Rank | 1 | 2 | 3 | 6 | 5 | 4 | |
| F10 | Best | 1.1071E+03 | 1.1048E+03 | 1.1035E+03 | 1.1069E+03 | 1.1068E+03 | 1.1069E+03 |
| Avg | 1.1681E+03 | 1.1226E+03 | 1.1155E+03 | 1.1132E+03 | 1.1257E+03 | 1.1241E+03 | |
| Std | 5.9867E+01 | 1.3765E+01 | 1.2798E+01 | 4.7963E+00 | 4.2826E+01 | 1.3995E+01 | |
| Rank | 6 | 3 | 2 | 1 | 5 | 4 | |
| F11 | Best | 2.3525E+03 | 1.3422E+03 | 1.5929E+03 | 2.8385E+03 | 3.6268E+03 | 3.6692E+03 |
| Avg | 1.6594E+06 | 5.8179E+03 | 4.5646E+05 | 1.6254E+05 | 2.1813E+04 | 1.2329E+05 | |
| Std | 5.4052E+06 | 8.1754E+03 | 1.7416E+06 | 5.6720E+05 | 1.9068E+04 | 2.0884E+05 | |
| Rank | 6 | 1 | 5 | 4 | 2 | 3 | |
| F12 | Best | 1.3787E+03 | 1.3516E+03 | 1.3372E+03 | 1.3406E+03 | 1.3669E+03 | 1.6952E+03 |
| Avg | 2.4121E+03 | 1.6045E+03 | 1.5285E+03 | 1.5196E+03 | 1.7626E+03 | 3.2664E+03 | |
| Std | 1.1576E+03 | 3.5796E+02 | 2.2942E+02 | 2.1092E+02 | 2.6638E+02 | 2.9867E+03 | |
| Rank | 5 | 3 | 2 | 1 | 4 | 6 | |
| F13 | Best | 1.4230E+03 | 1.4041E+03 | 1.4164E+03 | 1.4192E+03 | 1.4225E+03 | 1.4245E+03 |
| Avg | 1.4371E+03 | 1.4261E+03 | 1.4281E+03 | 1.4287E+03 | 1.4290E+03 | 1.4385E+03 | |
| Std | 1.0260E+01 | 9.9050E+00 | 6.9769E+00 | 3.9787E+00 | 4.6537E+00 | 7.2611E+00 | |
| Rank | 5 | 1 | 2 | 3 | 4 | 6 | |
| F14 | Best | 1.5063E+03 | 1.5002E+03 | 1.5032E+03 | 1.5091E+03 | 1.5095E+03 | 1.5089E+03 |
| Avg | 1.6518E+03 | 1.5285E+03 | 1.5204E+03 | 1.5216E+03 | 1.5234E+03 | 1.5526E+03 | |
| Std | 1.5990E+02 | 1.7736E+01 | 1.8269E+01 | 1.0545E+01 | 9.5723E+00 | 4.2394E+01 | |
| Rank | 6 | 4 | 1 | 2 | 3 | 5 | |
| F15 | Best | 1.6023E+03 | 1.6049E+03 | 1.6176E+03 | 1.6545E+03 | 1.6148E+03 | 1.6136E+03 |
| Avg | 1.7508E+03 | 1.6427E+03 | 1.6565E+03 | 1.7184E+03 | 1.6937E+03 | 1.7261E+03 | |
| Std | 2.6290E+02 | 5.7058E+01 | 3.1351E+01 | 5.3756E+01 | 7.0774E+01 | 7.2044E+01 | |
| Rank | 6 | 1 | 2 | 4 | 3 | 5 | |
| F16 | Best | 1.7261E+03 | 1.7287E+03 | 1.7485E+03 | 1.7472E+03 | 1.7590E+03 | 1.7683E+03 |
| Avg | 1.7576E+03 | 1.7640E+03 | 1.7701E+03 | 1.7858E+03 | 1.7780E+03 | 1.7929E+03 | |
| Std | 4.0995E+01 | 1.8687E+01 | 1.4271E+01 | 2.1839E+01 | 1.4121E+01 | 2.0678E+01 | |
| Rank | 1 | 2 | 3 | 5 | 4 | 6 | |
| F17 | Best | 1.8450E+03 | 1.8279E+03 | 1.8271E+03 | 1.8555E+03 | 1.9132E+03 | 1.9449E+03 |
| Avg | 6.4087E+03 | 1.8997E+03 | 1.8840E+03 | 1.9201E+03 | 2.0905E+03 | 3.1689E+03 | |
| Std | 7.0102E+03 | 8.1512E+01 | 8.6589E+01 | 7.1315E+01 | 1.4029E+02 | 2.0460E+03 | |
| Rank | 6 | 2 | 1 | 3 | 4 | 5 | |
| F18 | Best | 1.9064E+03 | 1.9025E+03 | 1.9040E+03 | 1.9053E+03 | 1.9059E+03 | 1.9071E+03 |
| Avg | 2.0149E+03 | 1.9076E+03 | 1.9061E+03 | 1.9073E+03 | 1.9097E+03 | 1.9189E+03 | |
| Std | 3.4349E+02 | 5.3305E+00 | 2.0609E+00 | 1.3595E+00 | 2.3615E+00 | 9.3895E+00 | |
| Rank | 6 | 3 | 1 | 2 | 4 | 5 | |
| F19 | Best | 2.0227E+03 | 2.0264E+03 | 2.0591E+03 | 2.0740E+03 | 2.0266E+03 | 2.0700E+03 |
| Avg | 2.0862E+03 | 2.0718E+03 | 2.0955E+03 | 2.1293E+03 | 2.1215E+03 | 2.1232E+03 | |
| Std | 4.6870E+01 | 2.9628E+01 | 3.5544E+01 | 3.6273E+01 | 4.2822E+01 | 4.0521E+01 | |
| Rank | 2 | 1 | 3 | 6 | 4 | 5 | |
| F20 | Best | 2.2062E+03 | 2.2056E+03 | 2.2066E+03 | 2.2044E+03 | 2.2089E+03 | 2.2059E+03 |
| Avg | 2.2872E+03 | 2.3081E+03 | 2.2943E+03 | 2.2911E+03 | 2.2939E+03 | 2.2802E+03 | |
| Std | 4.8298E+01 | 2.9635E+01 | 4.1245E+01 | 5.7039E+01 | 4.7961E+01 | 5.2861E+01 | |
| Rank | 2 | 6 | 5 | 3 | 4 | 1 | |
| F21 | Best | 2.2431E+03 | 2.3000E+03 | 2.2121E+03 | 2.2265E+03 | 2.2157E+03 | 2.2172E+03 |
| Avg | 2.3085E+03 | 2.3028E+03 | 2.2846E+03 | 2.3037E+03 | 2.2876E+03 | 2.3099E+03 | |
| Std | 2.0642E+01 | 3.3049E+00 | 3.3724E+01 | 2.1425E+01 | 3.5405E+01 | 2.7207E+01 | |
| Rank | 5 | 3 | 1 | 4 | 2 | 6 | |
| F22 | Best | 2.6059E+03 | 2.6053E+03 | 2.6074E+03 | 2.6160E+03 | 2.6156E+03 | 2.6234E+03 |
| Avg | 2.6319E+03 | 2.6192E+03 | 2.6225E+03 | 2.6286E+03 | 2.6301E+03 | 2.6329E+03 | |
| Std | 2.5433E+01 | 2.4610E+01 | 1.2546E+01 | 7.2161E+00 | 1.4344E+01 | 7.2166E+00 | |
| Rank | 5 | 1 | 2 | 3 | 4 | 6 | |
| F23 | Best | 2.7347E+03 | 2.7295E+03 | 2.6808E+03 | 2.5246E+03 | 2.6111E+03 | 2.5780E+03 |
| Avg | 2.7513E+03 | 2.7385E+03 | 2.7449E+03 | 2.7381E+03 | 2.7373E+03 | 2.7449E+03 | |
| Std | 1.8318E+01 | 7.4868E+00 | 1.8709E+01 | 6.0590E+01 | 4.4556E+01 | 5.0939E+01 | |
| Rank | 6 | 3 | 4 | 2 | 1 | 5 | |
| F24 | Best | 2.8984E+03 | 2.8978E+03 | 2.8977E+03 | 2.8980E+03 | 2.8990E+03 | 2.8983E+03 |
| Avg | 2.9514E+03 | 2.9346E+03 | 2.9286E+03 | 2.9213E+03 | 2.9340E+03 | 2.9360E+03 | |
| Std | 4.2770E+01 | 2.0191E+01 | 3.5185E+01 | 3.5084E+01 | 1.9936E+01 | 1.9592E+01 | |
| Rank | 6 | 4 | 2 | 1 | 3 | 5 | |
| F25 | Best | 2.9572E+03 | 2.9000E+03 | 2.9002E+03 | 2.9027E+03 | 2.9024E+03 | 2.9113E+03 |
| Avg | 3.1784E+03 | 2.9908E+03 | 2.9230E+03 | 2.9129E+03 | 2.9270E+03 | 2.9430E+03 | |
| Std | 1.2692E+02 | 1.0853E+02 | 3.9557E+01 | 1.2724E+01 | 2.8823E+01 | 2.6207E+01 | |
| Rank | 6 | 5 | 2 | 1 | 3 | 4 | |
| F26 | Best | 3.0909E+03 | 3.0894E+03 | 3.0894E+03 | 3.0909E+03 | 3.0911E+03 | 3.0929E+03 |
| Avg | 3.1142E+03 | 3.1005E+03 | 3.0991E+03 | 3.1041E+03 | 3.0970E+03 | 3.0994E+03 | |
| Std | 2.6483E+01 | 1.5908E+01 | 1.6515E+01 | 2.4439E+01 | 4.1964E+00 | 7.7354E+00 | |
| Rank | 6 | 4 | 2 | 5 | 1 | 3 | |
| F27 | Best | 3.2654E+03 | 3.1778E+03 | 3.1687E+03 | 3.1550E+03 | 3.1859E+03 | 3.3073E+03 |
| Avg | 3.4302E+03 | 3.3868E+03 | 3.3706E+03 | 3.3722E+03 | 3.3821E+03 | 3.4074E+03 | |
| Std | 6.8223E+01 | 8.1829E+01 | 9.8072E+01 | 8.3396E+01 | 6.6498E+01 | 3.0778E+01 | |
| Rank | 6 | 4 | 1 | 2 | 3 | 5 | |
| F28 | Best | 3.1360E+03 | 3.1509E+03 | 3.1556E+03 | 3.1782E+03 | 3.1633E+03 | 3.1534E+03 |
| Avg | 3.2112E+03 | 3.1934E+03 | 3.2025E+03 | 3.2137E+03 | 3.2209E+03 | 3.2122E+03 | |
| Std | 6.0581E+01 | 3.3077E+01 | 3.2331E+01 | 2.1876E+01 | 3.3264E+01 | 3.2422E+01 | |
| Rank | 3 | 1 | 2 | 5 | 6 | 4 | |
| F29 | Best | 6.2676E+03 | 3.6511E+03 | 3.7610E+03 | 3.7521E+03 | 3.6571E+03 | 4.0333E+03 |
| Avg | 4.1484E+05 | 3.2335E+05 | 6.3152E+05 | 5.8273E+05 | 2.8142E+05 | 3.4140E+05 | |
| Std | 3.5198E+05 | 4.9806E+05 | 1.0372E+06 | 1.1270E+06 | 4.6953E+05 | 5.1143E+05 | |
| Rank | 4 | 2 | 6 | 5 | 1 | 3 |
| No. | Index | N = 5D | N = 10D | N = 15D | N = 20D | N = 25D | N = 30D |
|---|---|---|---|---|---|---|---|
| F1 | Best | 1.5604E+08 | 1.3040E+08 | 2.8527E+07 | 8.0355E+07 | 2.2776E+07 | 1.8340E+08 |
| Avg | 5.8038E+08 | 8.7446E+08 | 1.0271E+09 | 1.5151E+09 | 1.1717E+09 | 1.0333E+09 | |
| Std | 5.0604E+08 | 9.6859E+08 | 1.7790E+09 | 3.7248E+09 | 1.5368E+09 | 8.7883E+08 | |
| Rank | 1 | 2 | 3 | 6 | 5 | 4 | |
| F2 | Best | 1.1317E+04 | 1.4841E+03 | 1.9051E+03 | 2.7909E+03 | 2.4060E+03 | 4.3986E+03 |
| Avg | 2.3386E+04 | 1.0503E+04 | 6.8564E+03 | 7.6498E+03 | 1.3168E+04 | 2.0606E+04 | |
| Std | 7.4206E+03 | 6.1297E+03 | 4.0857E+03 | 3.4909E+03 | 9.7080E+03 | 1.1551E+04 | |
| Rank | 6 | 3 | 1 | 2 | 4 | 5 | |
| F3 | Best | 5.4119E+02 | 5.1888E+02 | 4.9059E+02 | 5.1834E+02 | 5.3091E+02 | 5.7505E+02 |
| Avg | 6.1301E+02 | 5.8922E+02 | 6.0134E+02 | 6.6104E+02 | 5.7188E+02 | 6.3798E+02 | |
| Std | 4.6609E+01 | 5.0844E+01 | 1.6387E+02 | 3.3517E+02 | 2.2214E+01 | 4.7859E+01 | |
| Rank | 4 | 2 | 3 | 6 | 1 | 5 | |
| F4 | Best | 5.4283E+02 | 5.8542E+02 | 6.4876E+02 | 6.4931E+02 | 5.6765E+02 | 6.0920E+02 |
| Avg | 6.1443E+02 | 6.3281E+02 | 6.8004E+02 | 6.9432E+02 | 6.7135E+02 | 6.9280E+02 | |
| Std | 7.9029E+01 | 3.0437E+01 | 1.9930E+01 | 3.1447E+01 | 4.2186E+01 | 3.6702E+01 | |
| Rank | 1 | 2 | 4 | 6 | 3 | 5 | |
| F5 | Best | 6.1392E+02 | 6.0406E+02 | 6.0684E+02 | 6.0732E+02 | 6.0933E+02 | 6.1060E+02 |
| Avg | 6.2299E+02 | 6.1523E+02 | 6.1264E+02 | 6.1410E+02 | 6.1672E+02 | 6.1775E+02 | |
| Std | 5.0377E+00 | 8.1328E+00 | 5.4919E+00 | 4.0379E+00 | 5.5846E+00 | 4.3634E+00 | |
| Rank | 6 | 3 | 1 | 2 | 4 | 5 | |
| F6 | Best | 8.5511E+02 | 8.8794E+02 | 8.8462E+02 | 9.0581E+02 | 8.4331E+02 | 8.4672E+02 |
| Avg | 9.9101E+02 | 9.7510E+02 | 9.2254E+02 | 9.4390E+02 | 9.5705E+02 | 9.5618E+02 | |
| Std | 6.8207E+01 | 8.3866E+01 | 2.8961E+01 | 1.7563E+01 | 4.3010E+01 | 7.8214E+01 | |
| Rank | 6 | 5 | 1 | 2 | 4 | 3 | |
| F7 | Best | 8.4591E+02 | 8.6841E+02 | 9.3928E+02 | 9.6960E+02 | 9.3160E+02 | 8.8010E+02 |
| Avg | 8.8813E+02 | 9.3524E+02 | 9.8227E+02 | 9.9258E+02 | 9.9147E+02 | 9.8928E+02 | |
| Std | 2.5532E+01 | 3.9806E+01 | 2.3951E+01 | 1.6915E+01 | 2.9661E+01 | 3.6585E+01 | |
| Rank | 1 | 2 | 3 | 6 | 5 | 4 | |
| F8 | Best | 1.6977E+03 | 9.2417E+02 | 9.7128E+02 | 1.0698E+03 | 9.6668E+02 | 1.0217E+03 |
| Avg | 2.5489E+03 | 1.5250E+03 | 1.2863E+03 | 1.5792E+03 | 1.4166E+03 | 1.6933E+03 | |
| Std | 6.2017E+02 | 5.3642E+02 | 2.7043E+02 | 9.1685E+02 | 2.9582E+02 | 6.9480E+02 | |
| Rank | 6 | 3 | 1 | 4 | 2 | 5 | |
| F9 | Best | 5.3758E+03 | 5.2068E+03 | 7.0759E+03 | 6.8100E+03 | 6.0362E+03 | 6.6660E+03 |
| Avg | 7.0225E+03 | 7.6316E+03 | 8.0889E+03 | 8.1154E+03 | 8.1760E+03 | 7.9800E+03 | |
| Std | 8.6244E+02 | 1.0318E+03 | 5.5973E+02 | 6.6878E+02 | 8.0857E+02 | 6.8917E+02 | |
| Rank | 1 | 2 | 4 | 5 | 6 | 3 | |
| F10 | Best | 1.2490E+03 | 1.1509E+03 | 1.2037E+03 | 1.2156E+03 | 1.2694E+03 | 1.3064E+03 |
| Avg | 1.3188E+03 | 1.2248E+03 | 1.2827E+03 | 1.3098E+03 | 1.3486E+03 | 1.4151E+03 | |
| Std | 6.7948E+01 | 5.2918E+01 | 1.0807E+02 | 4.4154E+01 | 6.3011E+01 | 8.5768E+01 | |
| Rank | 4 | 1 | 2 | 3 | 5 | 6 | |
| F11 | Best | 3.0107E+06 | 4.6772E+04 | 3.5878E+05 | 1.4575E+06 | 3.9047E+06 | 1.9433E+06 |
| Avg | 1.0593E+07 | 9.9443E+06 | 7.7752E+06 | 1.0803E+07 | 2.0711E+07 | 2.7741E+07 | |
| Std | 6.7296E+06 | 2.1709E+07 | 1.5554E+07 | 7.0419E+06 | 1.7790E+07 | 2.5011E+07 | |
| Rank | 3 | 2 | 1 | 4 | 5 | 6 | |
| F12 | Best | 1.7214E+04 | 7.9647E+03 | 2.4240E+04 | 5.0770E+04 | 2.6545E+04 | 4.0316E+04 |
| Avg | 5.4048E+04 | 2.1485E+04 | 5.4911E+04 | 2.7292E+05 | 2.8330E+05 | 7.4577E+05 | |
| Std | 2.7645E+04 | 8.1477E+03 | 2.0264E+04 | 2.6970E+05 | 2.7192E+05 | 1.4089E+06 | |
| Rank | 2 | 1 | 3 | 4 | 5 | 6 | |
| F13 | Best | 1.4808E+03 | 1.4743E+03 | 1.5180E+03 | 1.5915E+03 | 1.6267E+03 | 1.6892E+03 |
| Avg | 2.0138E+03 | 1.5108E+03 | 1.5740E+03 | 1.7817E+03 | 1.9262E+03 | 3.9942E+03 | |
| Std | 1.6235E+03 | 2.5961E+01 | 3.4393E+01 | 1.4430E+02 | 2.1465E+02 | 3.0659E+03 | |
| Rank | 5 | 1 | 2 | 3 | 4 | 6 | |
| F14 | Best | 2.7911E+03 | 1.9056E+03 | 2.1998E+03 | 1.3694E+04 | 2.2146E+04 | 2.2301E+04 |
| Avg | 7.9350E+03 | 7.1264E+03 | 8.8400E+03 | 3.6136E+04 | 5.2094E+04 | 2.4587E+05 | |
| Std | 5.0792E+03 | 1.1887E+04 | 8.6126E+03 | 1.9553E+04 | 2.4432E+04 | 5.6188E+05 | |
| Rank | 2 | 1 | 3 | 4 | 5 | 6 | |
| F15 | Best | 1.8317E+03 | 2.0407E+03 | 2.4629E+03 | 2.6047E+03 | 2.6467E+03 | 2.2475E+03 |
| Avg | 2.1995E+03 | 2.4978E+03 | 2.9451E+03 | 3.0294E+03 | 3.1000E+03 | 2.9671E+03 | |
| Std | 1.9949E+02 | 3.0874E+02 | 2.8682E+02 | 2.2533E+02 | 2.7303E+02 | 3.3334E+02 | |
| Rank | 1 | 2 | 3 | 5 | 6 | 4 | |
| F16 | Best | 1.7740E+03 | 1.8379E+03 | 1.8650E+03 | 1.9674E+03 | 1.8358E+03 | 1.8888E+03 |
| Avg | 1.8564E+03 | 1.9268E+03 | 2.1045E+03 | 2.1453E+03 | 2.1486E+03 | 2.1424E+03 | |
| Std | 8.2958E+01 | 3.8987E+01 | 1.8707E+02 | 1.2063E+02 | 1.5134E+02 | 1.9424E+02 | |
| Rank | 1 | 2 | 3 | 5 | 6 | 4 | |
| F17 | Best | 5.9045E+03 | 2.0245E+03 | 2.3376E+03 | 3.8728E+03 | 2.2364E+04 | 6.1198E+04 |
| Avg | 1.5561E+05 | 8.5094E+03 | 5.4309E+03 | 1.7540E+04 | 8.9240E+04 | 1.3365E+05 | |
| Std | 4.7033E+05 | 9.7862E+03 | 3.2327E+03 | 9.5388E+03 | 1.1937E+05 | 1.1395E+05 | |
| Rank | 6 | 2 | 1 | 3 | 4 | 5 | |
| F18 | Best | 2.0851E+03 | 1.9795E+03 | 2.2630E+03 | 3.7107E+03 | 2.0000E+04 | 6.0360E+03 |
| Avg | 1.3088E+04 | 5.4627E+03 | 3.7883E+03 | 2.9988E+04 | 1.4128E+05 | 2.5832E+05 | |
| Std | 1.2913E+04 | 9.4141E+03 | 1.7637E+03 | 3.7110E+04 | 2.5631E+05 | 2.8918E+05 | |
| Rank | 3 | 2 | 1 | 4 | 5 | 6 | |
| F19 | Best | 2.0986E+03 | 2.1835E+03 | 2.3893E+03 | 2.4547E+03 | 2.3678E+03 | 2.3740E+03 |
| Avg | 2.2323E+03 | 2.4538E+03 | 2.6138E+03 | 2.6426E+03 | 2.6682E+03 | 2.6826E+03 | |
| Std | 1.1902E+02 | 1.8509E+02 | 1.2031E+02 | 1.3946E+02 | 1.7310E+02 | 1.3974E+02 | |
| Rank | 1 | 2 | 3 | 4 | 5 | 6 | |
| F20 | Best | 2.3508E+03 | 2.3851E+03 | 2.3928E+03 | 2.4391E+03 | 2.3831E+03 | 2.3854E+03 |
| Avg | 2.3800E+03 | 2.4509E+03 | 2.4557E+03 | 2.4746E+03 | 2.4768E+03 | 2.4716E+03 | |
| Std | 2.1028E+01 | 3.6727E+01 | 2.8925E+01 | 2.0134E+01 | 3.5183E+01 | 3.8136E+01 | |
| Rank | 1 | 2 | 3 | 5 | 6 | 4 | |
| F21 | Best | 2.5081E+03 | 2.4322E+03 | 2.4519E+03 | 2.3823E+03 | 2.6968E+03 | 2.6734E+03 |
| Avg | 3.3833E+03 | 2.9802E+03 | 3.7365E+03 | 3.5237E+03 | 5.6600E+03 | 4.8598E+03 | |
| Std | 1.3608E+03 | 4.8885E+02 | 1.4409E+03 | 1.7393E+03 | 2.3060E+03 | 2.8346E+03 | |
| Rank | 2 | 1 | 4 | 3 | 6 | 5 | |
| F22 | Best | 2.7286E+03 | 2.7267E+03 | 2.7939E+03 | 2.8104E+03 | 2.7720E+03 | 2.7831E+03 |
| Avg | 2.7927E+03 | 2.8003E+03 | 2.8377E+03 | 2.8542E+03 | 2.8638E+03 | 2.8540E+03 | |
| Std | 7.3466E+01 | 8.7791E+01 | 2.8745E+01 | 3.2981E+01 | 3.6222E+01 | 3.4499E+01 | |
| Rank | 1 | 2 | 3 | 5 | 6 | 4 | |
| F23 | Best | 2.8550E+03 | 2.8849E+03 | 2.9748E+03 | 2.9894E+03 | 2.8951E+03 | 2.9191E+03 |
| Avg | 2.9284E+03 | 2.9820E+03 | 3.0171E+03 | 3.0391E+03 | 3.0465E+03 | 3.0710E+03 | |
| Std | 6.1813E+01 | 9.4234E+01 | 4.6858E+01 | 6.5024E+01 | 7.3058E+01 | 9.9490E+01 | |
| Rank | 1 | 2 | 3 | 4 | 5 | 6 | |
| F24 | Best | 2.9071E+03 | 2.9027E+03 | 2.9100E+03 | 2.9039E+03 | 2.9194E+03 | 2.9204E+03 |
| Avg | 2.9996E+03 | 2.9605E+03 | 2.9345E+03 | 2.9589E+03 | 2.9643E+03 | 2.9796E+03 | |
| Std | 1.3307E+02 | 5.2971E+01 | 4.7959E+01 | 6.9244E+01 | 4.2420E+01 | 6.4235E+01 | |
| Rank | 6 | 3 | 1 | 2 | 4 | 5 | |
| F25 | Best | 3.9323E+03 | 3.4467E+03 | 3.3116E+03 | 3.2177E+03 | 3.7531E+03 | 3.9780E+03 |
| Avg | 5.0752E+03 | 4.3811E+03 | 5.2204E+03 | 5.5065E+03 | 5.3894E+03 | 5.8562E+03 | |
| Std | 8.4249E+02 | 4.2678E+02 | 7.6924E+02 | 1.1569E+03 | 8.0678E+02 | 1.1979E+03 | |
| Rank | 2 | 1 | 3 | 5 | 4 | 6 | |
| F26 | Best | 3.2091E+03 | 3.2122E+03 | 3.2233E+03 | 3.2225E+03 | 3.2484E+03 | 3.2339E+03 |
| Avg | 3.2535E+03 | 3.2563E+03 | 3.2488E+03 | 3.2629E+03 | 3.2798E+03 | 3.3005E+03 | |
| Std | 2.4776E+01 | 3.1958E+01 | 2.5436E+01 | 2.9647E+01 | 3.0476E+01 | 3.5567E+01 | |
| Rank | 2 | 3 | 1 | 4 | 5 | 6 | |
| F27 | Best | 3.2944E+03 | 3.2924E+03 | 3.2752E+03 | 3.2582E+03 | 3.3172E+03 | 3.2883E+03 |
| Avg | 3.4422E+03 | 3.3908E+03 | 3.3592E+03 | 3.3613E+03 | 3.4108E+03 | 3.4209E+03 | |
| Std | 1.6191E+02 | 6.6476E+01 | 8.3898E+01 | 6.2604E+01 | 9.2250E+01 | 6.9247E+01 | |
| Rank | 6 | 3 | 1 | 2 | 4 | 5 | |
| F28 | Best | 3.4629E+03 | 3.6460E+03 | 3.6488E+03 | 3.6903E+03 | 3.9916E+03 | 3.9825E+03 |
| Avg | 3.9013E+03 | 3.9208E+03 | 4.0779E+03 | 4.0993E+03 | 4.1891E+03 | 4.2964E+03 | |
| Std | 4.2733E+02 | 2.5566E+02 | 3.8359E+02 | 2.3003E+02 | 1.5830E+02 | 2.1895E+02 | |
| Rank | 1 | 2 | 3 | 4 | 5 | 6 | |
| F29 | Best | 4.1986E+04 | 1.1403E+04 | 3.0712E+04 | 1.7256E+05 | 1.6194E+05 | 2.4405E+05 |
| Avg | 5.7659E+05 | 3.4796E+05 | 1.3357E+05 | 4.4427E+05 | 8.6013E+05 | 1.9325E+06 | |
| Std | 1.0967E+06 | 8.0472E+05 | 1.9060E+05 | 2.3675E+05 | 8.2743E+05 | 1.4268E+06 | |
| Rank | 4 | 2 | 1 | 3 | 5 | 6 |
| No. | Index | N = 5D | N = 10D | N = 15D | N = 20D | N = 25D | N = 30D |
|---|---|---|---|---|---|---|---|
| F1 | Best | 1.0464E+09 | 3.0916E+09 | 3.0551E+09 | 3.4913E+09 | 2.9233E+09 | 3.5045E+09 |
| Avg | 5.3003E+09 | 1.0807E+10 | 7.7470E+09 | 8.0086E+09 | 6.5863E+09 | 1.1258E+10 | |
| Std | 3.3646E+09 | 1.1003E+10 | 4.5052E+09 | 4.0377E+09 | 3.7751E+09 | 1.4812E+10 | |
| Rank | 1 | 5 | 3 | 4 | 2 | 6 | |
| F2 | Best | 9.3818E+03 | 1.5159E+04 | 3.7782E+04 | 3.1256E+04 | 2.9531E+04 | 3.6406E+04 |
| Avg | 2.4396E+04 | 3.1732E+04 | 6.3519E+04 | 4.6336E+04 | 6.1068E+04 | 7.0945E+04 | |
| Std | 1.0754E+04 | 7.5513E+03 | 1.0586E+04 | 1.3716E+04 | 1.8353E+04 | 2.5185E+04 | |
| Rank | 1 | 2 | 5 | 3 | 4 | 6 | |
| F3 | Best | 6.7676E+02 | 7.6014E+02 | 9.2967E+02 | 8.8521E+02 | 8.1978E+02 | 9.1823E+02 |
| Avg | 1.0692E+03 | 1.1221E+03 | 1.2453E+03 | 1.4739E+03 | 1.3279E+03 | 2.2201E+03 | |
| Std | 6.1460E+02 | 3.8068E+02 | 3.3289E+02 | 8.4955E+02 | 6.0864E+02 | 1.7009E+03 | |
| Rank | 1 | 2 | 3 | 5 | 4 | 6 | |
| F4 | Best | 7.9446E+02 | 7.6121E+02 | 6.6515E+02 | 8.5128E+02 | 7.8145E+02 | 7.8113E+02 |
| Avg | 8.8007E+02 | 8.5906E+02 | 7.2696E+02 | 9.0908E+02 | 9.1426E+02 | 8.8905E+02 | |
| Std | 4.2654E+01 | 3.8750E+01 | 4.0949E+01 | 3.5782E+01 | 5.6573E+01 | 5.7904E+01 | |
| Rank | 3 | 2 | 1 | 5 | 6 | 4 | |
| F5 | Best | 6.1612E+02 | 6.1310E+02 | 6.2326E+02 | 6.2206E+02 | 6.2159E+02 | 6.2574E+02 |
| Avg | 6.2510E+02 | 6.2827E+02 | 6.3251E+02 | 6.3263E+02 | 6.3366E+02 | 6.3677E+02 | |
| Std | 4.1335E+00 | 1.2796E+01 | 6.3796E+00 | 9.7574E+00 | 8.5906E+00 | 1.0287E+01 | |
| Rank | 1 | 2 | 3 | 4 | 5 | 6 | |
| F6 | Best | 1.0281E+03 | 1.1373E+03 | 1.1504E+03 | 1.0759E+03 | 1.0770E+03 | 9.3922E+02 |
| Avg | 1.2091E+03 | 1.2487E+03 | 1.2743E+03 | 1.2334E+03 | 1.2226E+03 | 1.2671E+03 | |
| Std | 1.2049E+02 | 9.7427E+01 | 7.8379E+01 | 9.3537E+01 | 7.2183E+01 | 1.6243E+02 | |
| Rank | 1 | 4 | 6 | 3 | 2 | 5 | |
| F7 | Best | 1.0680E+03 | 1.0602E+03 | 9.2196E+02 | 1.1466E+03 | 1.1100E+03 | 9.7816E+02 |
| Avg | 1.1722E+03 | 1.1593E+03 | 1.0525E+03 | 1.2239E+03 | 1.2077E+03 | 1.2231E+03 | |
| Std | 5.0224E+01 | 5.8248E+01 | 7.7442E+01 | 6.8215E+01 | 4.8648E+01 | 8.7720E+01 | |
| Rank | 3 | 2 | 1 | 6 | 4 | 5 | |
| F8 | Best | 3.4203E+03 | 3.3504E+03 | 4.3891E+03 | 3.2046E+03 | 2.9019E+03 | 2.2207E+03 |
| Avg | 6.0036E+03 | 5.3840E+03 | 1.1629E+04 | 6.3592E+03 | 6.0796E+03 | 6.4834E+03 | |
| Std | 3.4545E+03 | 2.3850E+03 | 3.8736E+03 | 4.3122E+03 | 3.0466E+03 | 2.8936E+03 | |
| Rank | 2 | 1 | 6 | 4 | 3 | 5 | |
| F9 | Best | 9.2837E+03 | 9.3511E+03 | 9.0986E+03 | 1.3835E+04 | 1.1737E+04 | 8.2585E+03 |
| Avg | 1.3580E+04 | 1.2659E+04 | 1.2253E+04 | 1.4623E+04 | 1.3777E+04 | 1.3716E+04 | |
| Std | 1.5399E+03 | 1.3701E+03 | 1.7768E+03 | 5.3864E+02 | 1.1344E+03 | 2.0576E+03 | |
| Rank | 3 | 2 | 1 | 6 | 5 | 4 | |
| F10 | Best | 1.3938E+03 | 1.3416E+03 | 1.5074E+03 | 1.4966E+03 | 1.3672E+03 | 1.4306E+03 |
| Avg | 1.4900E+03 | 1.7548E+03 | 1.6914E+03 | 1.7216E+03 | 1.6999E+03 | 1.7913E+03 | |
| Std | 6.1770E+01 | 5.3185E+02 | 1.8264E+02 | 3.5154E+02 | 1.8644E+02 | 1.9036E+02 | |
| Rank | 1 | 5 | 2 | 4 | 3 | 6 | |
| F11 | Best | 9.2151E+06 | 2.0131E+07 | 2.6027E+07 | 1.2509E+07 | 7.2572E+07 | 9.8213E+07 |
| Avg | 4.5971E+07 | 1.3835E+08 | 1.2548E+08 | 1.7365E+08 | 2.2453E+08 | 8.4313E+08 | |
| Std | 2.4595E+07 | 1.7825E+08 | 1.1190E+08 | 1.2774E+08 | 1.0895E+08 | 1.9636E+09 | |
| Rank | 1 | 3 | 2 | 4 | 5 | 6 | |
| F12 | Best | 5.3806E+04 | 1.6819E+04 | 2.6321E+04 | 2.7742E+05 | 1.1725E+05 | 7.0723E+04 |
| Avg | 2.1842E+05 | 5.2744E+04 | 1.7059E+05 | 5.6583E+06 | 5.5632E+06 | 1.4207E+07 | |
| Std | 1.5405E+05 | 2.2185E+04 | 4.2624E+05 | 6.5812E+06 | 6.0665E+06 | 1.9591E+07 | |
| Rank | 3 | 1 | 2 | 5 | 4 | 6 | |
| F13 | Best | 1.6787E+03 | 1.6482E+03 | 1.6296E+03 | 1.9081E+03 | 4.8425E+03 | 4.0291E+03 |
| Avg | 2.3773E+03 | 1.0836E+04 | 7.6438E+03 | 7.3343E+03 | 3.9322E+04 | 6.1703E+04 | |
| Std | 1.5488E+03 | 3.5310E+04 | 1.2179E+04 | 5.3973E+03 | 3.3461E+04 | 6.0806E+04 | |
| Rank | 1 | 4 | 3 | 2 | 5 | 6 | |
| F14 | Best | 4.6681E+03 | 3.0440E+03 | 2.8158E+03 | 1.7606E+04 | 1.4419E+04 | 8.3681E+03 |
| Avg | 2.7817E+04 | 6.8582E+03 | 1.1374E+04 | 7.0331E+05 | 6.2676E+05 | 6.0336E+05 | |
| Std | 2.2540E+04 | 3.4194E+03 | 7.5199E+03 | 7.9233E+05 | 9.6788E+05 | 1.5888E+06 | |
| Rank | 3 | 1 | 2 | 6 | 5 | 4 | |
| F15 | Best | 3.3297E+03 | 2.3292E+03 | 2.1006E+03 | 3.1098E+03 | 3.3113E+03 | 4.2440E+03 |
| Avg | 4.0126E+03 | 3.2417E+03 | 2.5834E+03 | 4.3022E+03 | 4.2646E+03 | 4.6942E+03 | |
| Std | 4.7291E+02 | 6.0733E+02 | 2.6591E+02 | 4.7459E+02 | 6.2150E+02 | 3.2460E+02 | |
| Rank | 3 | 2 | 1 | 5 | 4 | 6 | |
| F16 | Best | 2.8939E+03 | 2.5164E+03 | 2.1418E+03 | 2.7366E+03 | 2.9775E+03 | 3.1205E+03 |
| Avg | 3.4015E+03 | 3.2039E+03 | 2.5893E+03 | 3.6512E+03 | 3.6385E+03 | 3.8370E+03 | |
| Std | 2.7264E+02 | 3.7580E+02 | 2.3182E+02 | 3.8490E+02 | 2.8816E+02 | 3.4040E+02 | |
| Rank | 3 | 2 | 1 | 5 | 4 | 6 | |
| F17 | Best | 9.8506E+03 | 3.3850E+03 | 1.2409E+04 | 4.6311E+04 | 6.4508E+04 | 7.8028E+04 |
| Avg | 3.2867E+04 | 1.2764E+06 | 2.0844E+05 | 1.2440E+05 | 2.5216E+05 | 3.7391E+05 | |
| Std | 1.9536E+04 | 4.3526E+06 | 3.7748E+05 | 5.0930E+04 | 1.5727E+05 | 1.8865E+05 | |
| Rank | 1 | 6 | 3 | 2 | 4 | 5 | |
| F18 | Best | 1.1956E+04 | 2.1591E+03 | 5.8497E+03 | 3.0800E+04 | 3.0345E+04 | 2.6560E+04 |
| Avg | 3.5456E+04 | 1.9431E+04 | 1.6560E+04 | 2.2830E+05 | 3.9427E+05 | 4.4979E+05 | |
| Std | 3.9304E+04 | 4.4321E+04 | 8.2289E+03 | 2.3759E+05 | 5.9353E+05 | 7.5544E+05 | |
| Rank | 3 | 2 | 1 | 4 | 5 | 6 | |
| F19 | Best | 3.3973E+03 | 2.6651E+03 | 2.1819E+03 | 3.3636E+03 | 2.9016E+03 | 3.0525E+03 |
| Avg | 3.6828E+03 | 3.3172E+03 | 2.5859E+03 | 3.7605E+03 | 3.5540E+03 | 3.6115E+03 | |
| Std | 1.7216E+02 | 3.0118E+02 | 3.0101E+02 | 2.0677E+02 | 4.0841E+02 | 3.7600E+02 | |
| Rank | 5 | 2 | 1 | 6 | 3 | 4 | |
| F20 | Best | 2.4986E+03 | 2.5207E+03 | 2.4348E+03 | 2.4586E+03 | 2.5492E+03 | 2.5202E+03 |
| Avg | 2.6460E+03 | 2.5923E+03 | 2.5007E+03 | 2.6611E+03 | 2.6698E+03 | 2.6835E+03 | |
| Std | 4.9408E+01 | 3.8341E+01 | 3.8190E+01 | 6.5735E+01 | 5.1278E+01 | 5.8277E+01 | |
| Rank | 3 | 2 | 1 | 4 | 5 | 6 | |
| F21 | Best | 3.6946E+03 | 1.2033E+04 | 9.1883E+03 | 1.4486E+04 | 1.3422E+04 | 1.2342E+04 |
| Avg | 1.4801E+04 | 1.4784E+04 | 1.2171E+04 | 1.5646E+04 | 1.5295E+04 | 1.5147E+04 | |
| Std | 3.1531E+03 | 1.3040E+03 | 2.1954E+03 | 8.0426E+02 | 9.4400E+02 | 1.3927E+03 | |
| Rank | 3 | 2 | 1 | 6 | 5 | 4 | |
| F22 | Best | 3.0688E+03 | 3.0165E+03 | 2.9311E+03 | 3.0711E+03 | 3.0468E+03 | 3.0746E+03 |
| Avg | 3.1764E+03 | 3.1404E+03 | 3.0365E+03 | 3.1847E+03 | 3.2301E+03 | 3.2644E+03 | |
| Std | 9.3939E+01 | 9.6981E+01 | 6.4226E+01 | 5.6424E+01 | 7.9354E+01 | 8.8665E+01 | |
| Rank | 3 | 2 | 1 | 4 | 5 | 6 | |
| F23 | Best | 3.1152E+03 | 3.1493E+03 | 3.0572E+03 | 3.2403E+03 | 3.2102E+03 | 3.3183E+03 |
| Avg | 3.2956E+03 | 3.2853E+03 | 3.3328E+03 | 3.3968E+03 | 3.3820E+03 | 3.5209E+03 | |
| Std | 1.4672E+02 | 1.0366E+02 | 3.0120E+02 | 1.7779E+02 | 1.1968E+02 | 2.3534E+02 | |
| Rank | 2 | 1 | 3 | 5 | 4 | 6 | |
| F24 | Best | 3.1664E+03 | 3.1706E+03 | 3.1268E+03 | 3.2322E+03 | 3.2895E+03 | 3.3186E+03 |
| Avg | 3.7473E+03 | 3.4845E+03 | 3.4524E+03 | 3.6424E+03 | 3.6854E+03 | 3.5727E+03 | |
| Std | 9.9627E+02 | 3.3974E+02 | 1.9600E+02 | 8.0083E+02 | 9.6101E+02 | 1.9396E+02 | |
| Rank | 6 | 2 | 1 | 4 | 5 | 3 | |
| F25 | Best | 5.0901E+03 | 4.8387E+03 | 4.8268E+03 | 4.5970E+03 | 6.7452E+03 | 6.5360E+03 |
| Avg | 7.6361E+03 | 7.6369E+03 | 7.6120E+03 | 7.6965E+03 | 8.5982E+03 | 8.6682E+03 | |
| Std | 2.0392E+03 | 1.7365E+03 | 1.8050E+03 | 1.4762E+03 | 1.7689E+03 | 1.1779E+03 | |
| Rank | 2 | 3 | 1 | 4 | 5 | 6 | |
| F26 | Best | 3.5313E+03 | 3.3750E+03 | 3.5478E+03 | 3.5080E+03 | 3.5229E+03 | 3.6488E+03 |
| Avg | 3.7563E+03 | 3.7340E+03 | 3.8769E+03 | 3.6937E+03 | 3.8525E+03 | 3.9255E+03 | |
| Std | 2.2633E+02 | 2.5745E+02 | 2.4764E+02 | 1.4404E+02 | 2.3954E+02 | 2.1873E+02 | |
| Rank | 3 | 2 | 5 | 1 | 4 | 6 | |
| F27 | Best | 3.4811E+03 | 3.6121E+03 | 3.7378E+03 | 3.6171E+03 | 3.5609E+03 | 3.7847E+03 |
| Avg | 3.9157E+03 | 4.0797E+03 | 4.3366E+03 | 4.2002E+03 | 4.2898E+03 | 4.4358E+03 | |
| Std | 4.4185E+02 | 5.7788E+02 | 9.4325E+02 | 7.3072E+02 | 5.8283E+02 | 4.6252E+02 | |
| Rank | 1 | 2 | 5 | 3 | 4 | 6 | |
| F28 | Best | 4.3194E+03 | 4.0313E+03 | 3.7405E+03 | 4.5073E+03 | 4.4327E+03 | 4.8778E+03 |
| Avg | 4.9161E+03 | 4.4880E+03 | 4.4059E+03 | 5.0906E+03 | 5.0526E+03 | 5.3316E+03 | |
| Std | 2.7640E+02 | 3.8673E+02 | 5.4027E+02 | 3.2549E+02 | 3.8052E+02 | 4.0370E+02 | |
| Rank | 3 | 2 | 1 | 5 | 4 | 6 | |
| F29 | Best | 1.2056E+07 | 4.6847E+06 | 3.7770E+06 | 1.9966E+07 | 2.0389E+07 | 2.8353E+07 |
| Avg | 1.6003E+07 | 1.3920E+07 | 1.2476E+07 | 2.8806E+07 | 3.4954E+07 | 5.7312E+07 | |
| Std | 4.7722E+06 | 8.5395E+06 | 5.1979E+06 | 6.9741E+06 | 1.0557E+07 | 1.6429E+07 | |
| Rank | 3 | 2 | 1 | 4 | 5 | 6 |
| No. | Index | N = 5D | N = 10D | N = 15D | N = 20D | N = 25D | N = 30D |
|---|---|---|---|---|---|---|---|
| F1 | Best | 2.7424E+10 | 3.0968E+10 | 2.7495E+10 | 2.3895E+10 | 2.4130E+10 | 3.1645E+10 |
| Avg | 4.4130E+10 | 5.8942E+10 | 4.1016E+10 | 6.0823E+10 | 4.2234E+10 | 4.7684E+10 | |
| Std | 1.4819E+10 | 2.9826E+10 | 9.9627E+09 | 3.5880E+10 | 1.3624E+10 | 1.1848E+10 | |
| Rank | 3 | 5 | 1 | 6 | 2 | 4 | |
| F2 | Best | 6.7138E+04 | 8.6366E+04 | 1.3358E+05 | 8.0065E+04 | 1.2236E+05 | 1.0682E+05 |
| Avg | 1.1729E+05 | 1.1374E+05 | 1.6201E+05 | 1.7541E+05 | 2.2434E+05 | 1.9414E+05 | |
| Std | 2.3725E+04 | 1.3889E+04 | 1.5676E+04 | 4.2043E+04 | 5.0457E+04 | 6.0866E+04 | |
| Rank | 2 | 1 | 3 | 4 | 6 | 5 | |
| F3 | Best | 2.8108E+03 | 3.0741E+03 | 3.0844E+03 | 3.4000E+03 | 2.9105E+03 | 2.9078E+03 |
| Avg | 5.4631E+03 | 5.5275E+03 | 4.6179E+03 | 5.3604E+03 | 5.0295E+03 | 5.3793E+03 | |
| Std | 3.5381E+03 | 4.9257E+03 | 1.3133E+03 | 2.0167E+03 | 2.4151E+03 | 1.4562E+03 | |
| Rank | 5 | 6 | 1 | 3 | 2 | 4 | |
| F4 | Best | 1.3154E+03 | 1.1481E+03 | 1.0068E+03 | 1.2614E+03 | 1.1603E+03 | 9.4633E+02 |
| Avg | 1.4464E+03 | 1.4168E+03 | 1.1181E+03 | 1.5260E+03 | 1.4750E+03 | 1.4546E+03 | |
| Std | 6.7499E+01 | 1.3672E+02 | 9.0432E+01 | 1.0989E+02 | 1.2540E+02 | 2.0673E+02 | |
| Rank | 3 | 2 | 1 | 6 | 5 | 4 | |
| F5 | Best | 6.2727E+02 | 6.3656E+02 | 6.3700E+02 | 6.3902E+02 | 6.4173E+02 | 6.3622E+02 |
| Avg | 6.4468E+02 | 6.4664E+02 | 6.4812E+02 | 6.5393E+02 | 6.5107E+02 | 6.5735E+02 | |
| Std | 1.2014E+01 | 6.6575E+00 | 9.1135E+00 | 1.0088E+01 | 5.8974E+00 | 1.0451E+01 | |
| Rank | 1 | 2 | 3 | 5 | 4 | 6 | |
| F6 | Best | 1.8813E+03 | 1.8761E+03 | 2.1588E+03 | 1.8276E+03 | 1.7677E+03 | 1.8381E+03 |
| Avg | 2.0754E+03 | 2.3754E+03 | 2.4122E+03 | 2.2432E+03 | 2.1310E+03 | 2.1230E+03 | |
| Std | 1.3942E+02 | 4.5267E+02 | 1.6876E+02 | 4.1488E+02 | 1.9126E+02 | 2.0851E+02 | |
| Rank | 1 | 5 | 6 | 4 | 3 | 2 | |
| F7 | Best | 1.5475E+03 | 1.6299E+03 | 1.4184E+03 | 1.7225E+03 | 1.5943E+03 | 1.3741E+03 |
| Avg | 1.7774E+03 | 1.7349E+03 | 1.6069E+03 | 1.8639E+03 | 1.8652E+03 | 1.8136E+03 | |
| Std | 1.1006E+02 | 7.6319E+01 | 1.4096E+02 | 1.2829E+02 | 1.1927E+02 | 1.7620E+02 | |
| Rank | 3 | 2 | 1 | 5 | 6 | 4 | |
| F8 | Best | 1.1040E+04 | 1.3008E+04 | 2.0610E+04 | 1.4648E+04 | 1.7776E+04 | 1.5389E+04 |
| Avg | 1.8543E+04 | 2.1323E+04 | 3.2922E+04 | 2.0647E+04 | 2.3444E+04 | 2.7835E+04 | |
| Std | 8.9386E+03 | 5.9535E+03 | 9.9816E+03 | 3.0739E+03 | 4.3438E+03 | 1.0002E+04 | |
| Rank | 1 | 3 | 6 | 2 | 4 | 5 | |
| F9 | Best | 2.7277E+04 | 2.4461E+04 | 1.9896E+04 | 2.6308E+04 | 2.0836E+04 | 2.3208E+04 |
| Avg | 2.9595E+04 | 2.8976E+04 | 2.6372E+04 | 3.0256E+04 | 2.9536E+04 | 2.9939E+04 | |
| Std | 1.0632E+03 | 1.5836E+03 | 3.2734E+03 | 1.2940E+03 | 2.8161E+03 | 2.2931E+03 | |
| Rank | 4 | 2 | 1 | 6 | 3 | 5 | |
| F10 | Best | 3.8263E+03 | 4.7783E+03 | 9.0616E+03 | 7.7991E+03 | 7.3580E+03 | 9.9601E+03 |
| Avg | 5.5642E+03 | 7.2523E+03 | 1.3501E+04 | 1.0857E+04 | 1.2398E+04 | 1.7791E+04 | |
| Std | 1.2877E+03 | 2.3123E+03 | 3.6198E+03 | 2.3240E+03 | 3.1906E+03 | 5.1209E+03 | |
| Rank | 1 | 2 | 5 | 3 | 4 | 6 | |
| F11 | Best | 3.5322E+08 | 3.0289E+08 | 9.9015E+08 | 1.3562E+09 | 1.3291E+09 | 1.8839E+09 |
| Avg | 1.7146E+09 | 2.0433E+09 | 2.0248E+09 | 6.0440E+09 | 2.8868E+09 | 8.5157E+09 | |
| Std | 7.5608E+08 | 1.8903E+09 | 7.5303E+08 | 1.0686E+10 | 1.2851E+09 | 1.0470E+10 | |
| Rank | 1 | 3 | 2 | 5 | 4 | 6 | |
| F12 | Best | 1.7646E+05 | 4.4467E+04 | 4.7572E+05 | 3.3105E+05 | 2.2444E+06 | 6.0832E+06 |
| Avg | 6.2341E+07 | 8.9911E+05 | 5.5354E+06 | 1.2441E+08 | 3.7394E+07 | 2.5383E+08 | |
| Std | 2.2817E+08 | 2.8723E+06 | 7.2221E+06 | 2.0676E+08 | 3.8052E+07 | 5.9431E+08 | |
| Rank | 4 | 1 | 2 | 5 | 3 | 6 | |
| F13 | Best | 6.4071E+03 | 1.9937E+03 | 2.0940E+03 | 7.0230E+04 | 8.2505E+04 | 1.6272E+05 |
| Avg | 2.9614E+05 | 9.0557E+03 | 3.5874E+04 | 3.1959E+05 | 5.4612E+05 | 7.6278E+05 | |
| Std | 9.1873E+05 | 1.8196E+04 | 1.0303E+05 | 3.4296E+05 | 4.0678E+05 | 5.5985E+05 | |
| Rank | 3 | 1 | 2 | 4 | 5 | 6 | |
| F14 | Best | 3.0459E+04 | 2.3567E+04 | 1.6075E+04 | 5.4906E+04 | 1.5094E+05 | 4.4770E+04 |
| Avg | 9.5486E+06 | 4.3846E+04 | 1.5619E+05 | 8.7603E+06 | 8.2069E+06 | 7.5711E+07 | |
| Std | 3.4679E+07 | 1.3152E+04 | 2.5901E+05 | 7.4531E+06 | 1.3201E+07 | 2.2572E+08 | |
| Rank | 5 | 1 | 2 | 4 | 3 | 6 | |
| F15 | Best | 7.4498E+03 | 5.8129E+03 | 4.0486E+03 | 8.4723E+03 | 7.1670E+03 | 7.2910E+03 |
| Avg | 8.7536E+03 | 7.3314E+03 | 4.9125E+03 | 9.4798E+03 | 9.1767E+03 | 9.1983E+03 | |
| Std | 6.2581E+02 | 9.5695E+02 | 1.1495E+03 | 6.4022E+02 | 9.4374E+02 | 1.0226E+03 | |
| Rank | 3 | 2 | 1 | 6 | 4 | 5 | |
| F16 | Best | 5.8807E+03 | 4.5149E+03 | 2.9141E+03 | 6.3810E+03 | 5.2269E+03 | 5.2125E+03 |
| Avg | 6.6045E+03 | 5.8587E+03 | 3.7514E+03 | 6.8512E+03 | 6.9234E+03 | 6.9761E+03 | |
| Std | 4.2444E+02 | 6.0854E+02 | 4.2169E+02 | 3.7580E+02 | 5.9571E+02 | 1.0512E+03 | |
| Rank | 3 | 2 | 1 | 4 | 5 | 6 | |
| F17 | Best | 7.0872E+04 | 2.3135E+04 | 4.5388E+04 | 6.3515E+04 | 2.5016E+05 | 3.8803E+05 |
| Avg | 1.2727E+05 | 2.0645E+05 | 3.3767E+05 | 1.6586E+06 | 5.1464E+05 | 9.9208E+05 | |
| Std | 5.6413E+04 | 5.0653E+05 | 7.6165E+05 | 4.3100E+06 | 2.0929E+05 | 6.1496E+05 | |
| Rank | 1 | 2 | 3 | 6 | 4 | 5 | |
| F18 | Best | 4.6670E+05 | 4.1251E+04 | 4.9532E+04 | 3.5587E+06 | 6.5170E+05 | 3.0289E+06 |
| Avg | 2.2325E+06 | 3.6478E+05 | 4.7194E+05 | 8.5298E+07 | 1.5612E+07 | 3.2480E+07 | |
| Std | 2.5526E+06 | 3.8973E+05 | 4.9518E+05 | 2.8740E+08 | 1.7119E+07 | 2.1318E+07 | |
| Rank | 3 | 1 | 2 | 6 | 4 | 5 | |
| F19 | Best | 4.7946E+03 | 4.9490E+03 | 3.5711E+03 | 6.1426E+03 | 5.5446E+03 | 5.1262E+03 |
| Avg | 6.1535E+03 | 6.3453E+03 | 5.6038E+03 | 6.8657E+03 | 6.5441E+03 | 6.5858E+03 | |
| Std | 7.8239E+02 | 6.1734E+02 | 8.0650E+02 | 4.1745E+02 | 5.8776E+02 | 8.3253E+02 | |
| Rank | 2 | 3 | 1 | 6 | 4 | 5 | |
| F20 | Best | 3.0644E+03 | 2.9418E+03 | 2.9295E+03 | 3.2837E+03 | 3.1794E+03 | 3.1473E+03 |
| Avg | 3.2476E+03 | 3.2312E+03 | 3.0014E+03 | 3.3643E+03 | 3.3496E+03 | 3.3877E+03 | |
| Std | 8.7357E+01 | 1.0565E+02 | 6.1309E+01 | 4.3471E+01 | 8.5855E+01 | 1.1763E+02 | |
| Rank | 3 | 2 | 1 | 5 | 4 | 6 | |
| F21 | Best | 2.9361E+04 | 2.8697E+04 | 2.4900E+04 | 3.2012E+04 | 2.9016E+04 | 2.5937E+04 |
| Avg | 3.2480E+04 | 3.1661E+04 | 2.9452E+04 | 3.3402E+04 | 3.3101E+04 | 3.1812E+04 | |
| Std | 1.2865E+03 | 1.6274E+03 | 2.7142E+03 | 9.0638E+02 | 1.3543E+03 | 2.2313E+03 | |
| Rank | 4 | 2 | 1 | 6 | 5 | 3 | |
| F22 | Best | 3.4921E+03 | 3.5301E+03 | 3.4506E+03 | 3.8355E+03 | 3.8621E+03 | 3.7367E+03 |
| Avg | 3.9566E+03 | 4.0000E+03 | 3.8616E+03 | 4.0799E+03 | 4.1848E+03 | 4.2368E+03 | |
| Std | 1.7212E+02 | 3.3333E+02 | 3.9590E+02 | 1.6790E+02 | 1.5746E+02 | 3.3100E+02 | |
| Rank | 2 | 3 | 1 | 4 | 5 | 6 | |
| F23 | Best | 4.2560E+03 | 4.2306E+03 | 3.9076E+03 | 4.3594E+03 | 4.3743E+03 | 4.4600E+03 |
| Avg | 5.1306E+03 | 4.7821E+03 | 4.5290E+03 | 4.7587E+03 | 4.9304E+03 | 5.3968E+03 | |
| Std | 7.6657E+02 | 5.9035E+02 | 3.5939E+02 | 3.0000E+02 | 3.6679E+02 | 7.5880E+02 | |
| Rank | 5 | 3 | 1 | 2 | 4 | 6 | |
| F24 | Best | 4.1692E+03 | 5.2789E+03 | 5.3113E+03 | 4.9554E+03 | 4.8405E+03 | 5.1824E+03 |
| Avg | 5.6078E+03 | 5.8588E+03 | 6.0214E+03 | 6.7563E+03 | 5.7237E+03 | 6.1900E+03 | |
| Std | 1.8595E+03 | 5.0606E+02 | 4.7341E+02 | 2.7107E+03 | 5.8016E+02 | 7.0538E+02 | |
| Rank | 1 | 3 | 4 | 6 | 2 | 5 | |
| F25 | Best | 1.3059E+04 | 1.3291E+04 | 1.0277E+04 | 9.2088E+03 | 1.6261E+04 | 1.5577E+04 |
| Avg | 2.0002E+04 | 1.9832E+04 | 1.6042E+04 | 1.9631E+04 | 2.2143E+04 | 2.1181E+04 | |
| Std | 5.2108E+03 | 5.7504E+03 | 2.2874E+03 | 6.3450E+03 | 6.7575E+03 | 5.0131E+03 | |
| Rank | 4 | 3 | 1 | 2 | 6 | 5 | |
| F26 | Best | 3.7274E+03 | 3.7020E+03 | 3.9083E+03 | 4.1078E+03 | 4.2458E+03 | 3.9833E+03 |
| Avg | 4.2223E+03 | 4.1909E+03 | 4.1651E+03 | 4.5435E+03 | 4.7845E+03 | 4.6682E+03 | |
| Std | 4.0082E+02 | 3.6374E+02 | 2.6607E+02 | 4.7865E+02 | 4.7883E+02 | 3.4158E+02 | |
| Rank | 3 | 2 | 1 | 4 | 6 | 5 | |
| F27 | Best | 4.5786E+03 | 5.9173E+03 | 5.9007E+03 | 6.3944E+03 | 5.5418E+03 | 7.2794E+03 |
| Avg | 8.1156E+03 | 8.7979E+03 | 7.4144E+03 | 8.7920E+03 | 9.2086E+03 | 1.0376E+04 | |
| Std | 2.5880E+03 | 3.0476E+03 | 8.6071E+02 | 1.6567E+03 | 4.1532E+03 | 3.0861E+03 | |
| Rank | 2 | 4 | 1 | 3 | 5 | 6 | |
| F28 | Best | 7.9974E+03 | 7.0598E+03 | 6.6154E+03 | 8.9851E+03 | 8.9387E+03 | 9.8518E+03 |
| Avg | 9.0509E+03 | 8.6145E+03 | 7.2790E+03 | 1.0078E+04 | 1.0372E+04 | 1.1322E+04 | |
| Std | 7.6525E+02 | 8.3251E+02 | 4.3452E+02 | 6.4818E+02 | 6.9294E+02 | 7.9124E+02 | |
| Rank | 3 | 2 | 1 | 4 | 5 | 6 | |
| F29 | Best | 1.1347E+07 | 3.8130E+06 | 5.3980E+06 | 6.7692E+07 | 1.3742E+08 | 1.2327E+08 |
| Avg | 4.6708E+07 | 6.3340E+07 | 2.4786E+07 | 3.4457E+08 | 2.5812E+08 | 2.6304E+08 | |
| Std | 2.7969E+07 | 1.7160E+08 | 1.8235E+07 | 5.6307E+08 | 1.3436E+08 | 1.1693E+08 | |
| Rank | 2 | 3 | 1 | 6 | 4 | 5 |
| No. | Index | ECO | a = 0.5 | a = 0.6 | a = 0.7 | a = 0.8 | a = 0.9 |
|---|---|---|---|---|---|---|---|
| F1 | Best | 6.3568E+06 | 1.0000E+02 | 1.0000E+02 | 1.0000E+02 | 1.0000E+02 | 1.0000E+02 |
| Avg | 1.5632E+08 | 1.0004E+02 | 1.0000E+02 | 1.0015E+02 | 1.0000E+02 | 1.0000E+02 | |
| Std | 3.1359E+08 | 1.3750E-01 | 2.3854E-07 | 5.8681E-01 | 2.1836E-07 | 2.0234E-07 | |
| Rank | 6 | 4 | 1 | 5 | 3 | 2 | |
| F2 | Best | 7.2490E+02 | 3.0000E+02 | 3.0000E+02 | 3.0000E+02 | 3.0000E+02 | 3.0000E+02 |
| Avg | 3.1268E+03 | 3.0000E+02 | 3.0000E+02 | 3.0000E+02 | 3.0000E+02 | 3.0000E+02 | |
| Std | 2.1573E+03 | 1.8695E-11 | 1.0756E-11 | 2.4836E-11 | 7.4740E-12 | 2.7136E-11 | |
| Rank | 6 | 3 | 2 | 4 | 1 | 5 | |
| F3 | Best | 4.0663E+02 | 4.0000E+02 | 4.0000E+02 | 4.0000E+02 | 4.0000E+02 | 4.0000E+02 |
| Avg | 4.2652E+02 | 4.0000E+02 | 4.0000E+02 | 4.0000E+02 | 4.0000E+02 | 4.0000E+02 | |
| Std | 2.3682E+01 | 1.4492E-13 | 8.9440E-13 | 4.5829E-13 | 1.2855E-12 | 2.4948E-12 | |
| Rank | 6 | 1 | 4 | 2 | 3 | 5 | |
| F4 | Best | 5.1504E+02 | 5.1492E+02 | 5.0895E+02 | 5.0696E+02 | 5.0696E+02 | 5.0696E+02 |
| Avg | 5.4079E+02 | 5.3098E+02 | 5.2972E+02 | 5.2978E+02 | 5.2912E+02 | 5.2680E+02 | |
| Std | 1.4548E+01 | 1.9987E+01 | 1.7686E+01 | 1.8452E+01 | 1.8853E+01 | 1.8017E+01 | |
| Rank | 6 | 5 | 3 | 4 | 2 | 1 | |
| F5 | Best | 6.0731E+02 | 6.0995E+02 | 6.0694E+02 | 6.0643E+02 | 6.0516E+02 | 6.0578E+02 |
| Avg | 6.2141E+02 | 6.1782E+02 | 6.1501E+02 | 6.1395E+02 | 6.1352E+02 | 6.1254E+02 | |
| Std | 9.6906E+00 | 5.9686E+00 | 5.8454E+00 | 4.7690E+00 | 5.9790E+00 | 5.8255E+00 | |
| Rank | 6 | 5 | 4 | 3 | 2 | 1 | |
| F6 | Best | 7.2950E+02 | 7.1403E+02 | 7.1403E+02 | 7.1789E+02 | 7.1789E+02 | 7.1789E+02 |
| Avg | 7.6287E+02 | 7.5129E+02 | 7.4851E+02 | 7.4684E+02 | 7.4524E+02 | 7.4411E+02 | |
| Std | 1.8573E+01 | 1.7442E+01 | 1.6104E+01 | 1.4205E+01 | 1.3200E+01 | 1.3109E+01 | |
| Rank | 6 | 5 | 4 | 3 | 2 | 1 | |
| F7 | Best | 8.1459E+02 | 8.0995E+02 | 8.0995E+02 | 8.0995E+02 | 8.0995E+02 | 8.0995E+02 |
| Avg | 8.3687E+02 | 8.2229E+02 | 8.2295E+02 | 8.2235E+02 | 8.2235E+02 | 8.2235E+02 | |
| Std | 9.3431E+00 | 8.6803E+00 | 9.0993E+00 | 9.1874E+00 | 9.1874E+00 | 9.1874E+00 | |
| Rank | 6 | 1 | 5 | 2 | 2 | 4 | |
| F8 | Best | 9.2354E+02 | 9.1561E+02 | 9.1540E+02 | 9.0486E+02 | 9.1734E+02 | 9.0961E+02 |
| Avg | 1.0787E+03 | 1.1089E+03 | 1.0707E+03 | 1.0544E+03 | 1.0789E+03 | 1.0680E+03 | |
| Std | 1.2133E+02 | 1.6866E+02 | 1.1160E+02 | 1.1246E+02 | 1.4738E+02 | 1.4369E+02 | |
| Rank | 4 | 6 | 3 | 1 | 5 | 2 | |
| F9 | Best | 1.6251E+03 | 1.5237E+03 | 1.2540E+03 | 1.2540E+03 | 1.2540E+03 | 1.2540E+03 |
| Avg | 2.0675E+03 | 1.9178E+03 | 1.7884E+03 | 1.7925E+03 | 1.7952E+03 | 1.8071E+03 | |
| Std | 3.3508E+02 | 2.1044E+02 | 2.8604E+02 | 2.9603E+02 | 2.6213E+02 | 2.6405E+02 | |
| Rank | 6 | 5 | 1 | 2 | 3 | 4 | |
| F10 | Best | 1.1602E+03 | 1.1216E+03 | 1.1216E+03 | 1.1209E+03 | 1.1209E+03 | 1.1216E+03 |
| Avg | 1.2608E+03 | 1.1836E+03 | 1.1737E+03 | 1.1757E+03 | 1.1761E+03 | 1.1746E+03 | |
| Std | 9.8558E+01 | 4.9742E+01 | 4.5508E+01 | 4.6263E+01 | 4.5928E+01 | 4.0861E+01 | |
| Rank | 6 | 5 | 1 | 3 | 4 | 2 | |
| F11 | Best | 9.6759E+04 | 1.3460E+03 | 1.2112E+03 | 1.3585E+03 | 1.3186E+03 | 1.3186E+03 |
| Avg | 4.9010E+06 | 1.7013E+03 | 1.5941E+03 | 1.6350E+03 | 2.1391E+03 | 2.0787E+03 | |
| Std | 6.3820E+06 | 1.8958E+02 | 2.2521E+02 | 1.0398E+02 | 1.5224E+03 | 6.7431E+02 | |
| Rank | 6 | 3 | 1 | 2 | 5 | 4 | |
| F12 | Best | 1.9964E+03 | 1.3853E+03 | 1.3248E+03 | 1.5295E+03 | 1.4370E+03 | 1.5049E+03 |
| Avg | 1.5972E+04 | 1.8783E+03 | 1.7995E+03 | 1.8864E+03 | 1.8507E+03 | 1.9453E+03 | |
| Std | 1.8296E+04 | 3.0653E+02 | 2.9808E+02 | 3.0359E+02 | 3.1223E+02 | 2.3976E+02 | |
| Rank | 6 | 3 | 1 | 4 | 2 | 5 | |
| F13 | Best | 1.4708E+03 | 1.4339E+03 | 1.4315E+03 | 1.4348E+03 | 1.4341E+03 | 1.4352E+03 |
| Avg | 1.5422E+03 | 1.4802E+03 | 1.5067E+03 | 1.4912E+03 | 1.4893E+03 | 1.4892E+03 | |
| Std | 8.5245E+01 | 3.2990E+01 | 8.1397E+01 | 5.2430E+01 | 3.9156E+01 | 3.4019E+01 | |
| Rank | 6 | 1 | 5 | 4 | 3 | 2 | |
| F14 | Best | 1.6616E+03 | 1.5022E+03 | 1.5015E+03 | 1.5035E+03 | 1.5035E+03 | 1.5052E+03 |
| Avg | 2.5911E+03 | 1.5958E+03 | 1.6046E+03 | 1.5968E+03 | 1.6003E+03 | 1.6116E+03 | |
| Std | 1.0180E+03 | 9.5218E+01 | 9.8870E+01 | 9.0882E+01 | 6.0997E+01 | 6.6745E+01 | |
| Rank | 6 | 1 | 4 | 2 | 3 | 5 | |
| F15 | Best | 1.6103E+03 | 1.6012E+03 | 1.6012E+03 | 1.6014E+03 | 1.6014E+03 | 1.6014E+03 |
| Avg | 1.7834E+03 | 1.6853E+03 | 1.6906E+03 | 1.6918E+03 | 1.6999E+03 | 1.6927E+03 | |
| Std | 1.0502E+02 | 8.2294E+01 | 8.5838E+01 | 7.6911E+01 | 8.5837E+01 | 7.7187E+01 | |
| Rank | 6 | 1 | 2 | 3 | 5 | 4 | |
| F16 | Best | 1.7553E+03 | 1.7301E+03 | 1.7286E+03 | 1.7286E+03 | 1.7308E+03 | 1.7286E+03 |
| Avg | 1.7989E+03 | 1.7643E+03 | 1.7635E+03 | 1.7612E+03 | 1.7631E+03 | 1.7633E+03 | |
| Std | 4.2116E+01 | 4.1763E+01 | 3.0504E+01 | 2.9553E+01 | 3.0365E+01 | 3.0083E+01 | |
| Rank | 6 | 5 | 4 | 1 | 2 | 3 | |
| F17 | Best | 2.8667E+03 | 1.8346E+03 | 1.8263E+03 | 1.8231E+03 | 1.8265E+03 | 1.8265E+03 |
| Avg | 2.0116E+04 | 1.8813E+03 | 1.8956E+03 | 1.8755E+03 | 1.8945E+03 | 1.8899E+03 | |
| Std | 1.5720E+04 | 3.8931E+01 | 5.4760E+01 | 5.3272E+01 | 7.5361E+01 | 8.2343E+01 | |
| Rank | 6 | 2 | 5 | 1 | 4 | 3 | |
| F18 | Best | 1.9546E+03 | 1.9086E+03 | 1.9173E+03 | 1.9179E+03 | 1.9150E+03 | 1.9132E+03 |
| Avg | 3.0823E+03 | 1.9760E+03 | 1.9733E+03 | 1.9860E+03 | 1.9786E+03 | 1.9762E+03 | |
| Std | 1.8128E+03 | 4.7324E+01 | 4.0777E+01 | 4.5941E+01 | 4.0846E+01 | 5.2675E+01 | |
| Rank | 6 | 2 | 1 | 5 | 4 | 3 | |
| F19 | Best | 2.0621E+03 | 2.0375E+03 | 2.0379E+03 | 2.0393E+03 | 2.0390E+03 | 2.0395E+03 |
| Avg | 2.1270E+03 | 2.1068E+03 | 2.0896E+03 | 2.0858E+03 | 2.0841E+03 | 2.0808E+03 | |
| Std | 4.6113E+01 | 4.5178E+01 | 3.3625E+01 | 3.1574E+01 | 3.6869E+01 | 3.2887E+01 | |
| Rank | 6 | 5 | 4 | 3 | 2 | 1 | |
| F20 | Best | 2.2086E+03 | 2.2000E+03 | 2.2000E+03 | 2.2000E+03 | 2.2024E+03 | 2.2000E+03 |
| Avg | 2.2536E+03 | 2.2602E+03 | 2.2618E+03 | 2.2597E+03 | 2.2599E+03 | 2.2598E+03 | |
| Std | 5.2251E+01 | 6.4014E+01 | 6.6419E+01 | 6.3548E+01 | 6.3311E+01 | 6.3435E+01 | |
| Rank | 1 | 5 | 6 | 2 | 4 | 3 | |
| F21 | Best | 2.2577E+03 | 2.2261E+03 | 2.2261E+03 | 2.2116E+03 | 2.2116E+03 | 2.2261E+03 |
| Avg | 2.3184E+03 | 2.2991E+03 | 2.2948E+03 | 2.2956E+03 | 2.2966E+03 | 2.2928E+03 | |
| Std | 2.8828E+01 | 2.4555E+01 | 3.2214E+01 | 3.2918E+01 | 3.6065E+01 | 2.7818E+01 | |
| Rank | 6 | 5 | 2 | 3 | 4 | 1 | |
| F22 | Best | 2.6198E+03 | 2.6149E+03 | 2.6121E+03 | 2.6115E+03 | 2.6115E+03 | 2.6115E+03 |
| Avg | 2.6346E+03 | 2.6264E+03 | 2.6248E+03 | 2.6245E+03 | 2.6239E+03 | 2.6239E+03 | |
| Std | 1.9097E+01 | 9.6911E+00 | 9.7082E+00 | 1.0282E+01 | 9.8880E+00 | 9.8901E+00 | |
| Rank | 6 | 5 | 4 | 3 | 1 | 2 | |
| F23 | Best | 2.5475E+03 | 2.5000E+03 | 2.5000E+03 | 2.5000E+03 | 2.5000E+03 | 2.5000E+03 |
| Avg | 2.7375E+03 | 2.7221E+03 | 2.7186E+03 | 2.7204E+03 | 2.7204E+03 | 2.7204E+03 | |
| Std | 6.7204E+01 | 9.2320E+01 | 8.9605E+01 | 9.1787E+01 | 9.1787E+01 | 9.1787E+01 | |
| Rank | 6 | 5 | 1 | 4 | 3 | 2 | |
| F24 | Best | 2.9133E+03 | 2.8980E+03 | 2.8980E+03 | 2.8977E+03 | 2.8978E+03 | 2.8980E+03 |
| Avg | 2.9530E+03 | 2.9352E+03 | 2.9358E+03 | 2.9364E+03 | 2.9363E+03 | 2.9363E+03 | |
| Std | 2.3641E+01 | 2.2379E+01 | 2.2636E+01 | 2.1658E+01 | 2.3095E+01 | 2.3348E+01 | |
| Rank | 6 | 1 | 2 | 5 | 4 | 3 | |
| F25 | Best | 2.9206E+03 | 2.6000E+03 | 2.6000E+03 | 2.6000E+03 | 2.6000E+03 | 2.6000E+03 |
| Avg | 3.1026E+03 | 3.0497E+03 | 3.0374E+03 | 3.0345E+03 | 3.0110E+03 | 3.0121E+03 | |
| Std | 1.0755E+02 | 1.8396E+02 | 1.8157E+02 | 1.9442E+02 | 1.8356E+02 | 1.8422E+02 | |
| Rank | 6 | 5 | 4 | 3 | 1 | 2 | |
| F26 | Best | 3.0914E+03 | 3.0889E+03 | 3.0838E+03 | 3.0880E+03 | 3.0884E+03 | 3.0841E+03 |
| Avg | 3.1013E+03 | 3.0980E+03 | 3.0962E+03 | 3.0949E+03 | 3.0945E+03 | 3.0928E+03 | |
| Std | 1.1701E+01 | 1.8074E+01 | 1.0668E+01 | 4.7820E+00 | 4.9097E+00 | 4.8664E+00 | |
| Rank | 6 | 5 | 4 | 3 | 2 | 1 | |
| F27 | Best | 3.1801E+03 | 3.1000E+03 | 3.1000E+03 | 3.1000E+03 | 3.1000E+03 | 3.1000E+03 |
| Avg | 3.4163E+03 | 3.2662E+03 | 3.2643E+03 | 3.2566E+03 | 3.2530E+03 | 3.2588E+03 | |
| Std | 1.3588E+02 | 5.4372E+01 | 5.3608E+01 | 5.6318E+01 | 5.4080E+01 | 5.0822E+01 | |
| Rank | 6 | 5 | 4 | 2 | 1 | 3 | |
| F28 | Best | 3.1753E+03 | 3.1555E+03 | 3.1477E+03 | 3.1472E+03 | 3.1488E+03 | 3.1488E+03 |
| Avg | 3.2381E+03 | 3.2308E+03 | 3.2357E+03 | 3.2287E+03 | 3.2309E+03 | 3.2265E+03 | |
| Std | 4.2469E+01 | 7.0588E+01 | 7.1072E+01 | 6.1748E+01 | 7.1347E+01 | 6.2751E+01 | |
| Rank | 6 | 3 | 5 | 2 | 4 | 1 | |
| F29 | Best | 1.9416E+04 | 3.3158E+03 | 3.2318E+03 | 3.2658E+03 | 3.2322E+03 | 3.2737E+03 |
| Avg | 8.0401E+05 | 3.7135E+03 | 3.4197E+03 | 3.3965E+03 | 3.4133E+03 | 3.3686E+03 | |
| Std | 7.4313E+05 | 1.0255E+03 | 2.2074E+02 | 1.4140E+02 | 1.3867E+02 | 8.6409E+01 | |
| Rank | 6 | 5 | 4 | 2 | 3 | 1 |
| No. | Index | ECO | a = 0.5 | a = 0.6 | a = 0.7 | a = 0.8 | a = 0.9 |
|---|---|---|---|---|---|---|---|
| F1 | Best | 1.4202E+09 | 1.0000E+02 | 1.0000E+02 | 1.0000E+02 | 1.0000E+02 | 1.0000E+02 |
| Avg | 5.2751E+09 | 1.0000E+02 | 1.0000E+02 | 1.0023E+02 | 1.0000E+02 | 1.0000E+02 | |
| Std | 3.8240E+09 | 4.0702E-07 | 5.4950E-06 | 7.4310E-01 | 6.4302E-07 | 1.8528E-05 | |
| Rank | 6 | 2 | 3 | 5 | 1 | 4 | |
| F2 | Best | 3.8187E+04 | 3.0000E+02 | 3.0000E+02 | 3.0000E+02 | 3.0000E+02 | 3.0000E+02 |
| Avg | 5.3594E+04 | 3.0000E+02 | 3.0000E+02 | 3.0000E+02 | 3.0000E+02 | 3.0000E+02 | |
| Std | 1.1290E+04 | 8.6284E-07 | 5.3625E-07 | 9.9798E-07 | 1.0239E-06 | 1.3597E-06 | |
| Rank | 6 | 4 | 1 | 5 | 3 | 2 | |
| F3 | Best | 9.1908E+02 | 4.0000E+02 | 4.0000E+02 | 4.0000E+02 | 4.0000E+02 | 4.0000E+02 |
| Avg | 1.2338E+03 | 4.0239E+02 | 4.0319E+02 | 4.0279E+02 | 4.0279E+02 | 4.0319E+02 | |
| Std | 2.7164E+02 | 2.0587E+00 | 1.6809E+00 | 1.9257E+00 | 1.9257E+00 | 1.6809E+00 | |
| Rank | 6 | 1 | 5 | 3 | 2 | 4 | |
| F4 | Best | 6.7284E+02 | 5.6766E+02 | 5.7562E+02 | 5.7462E+02 | 5.7263E+02 | 5.7562E+02 |
| Avg | 7.4774E+02 | 6.6954E+02 | 6.6825E+02 | 6.6994E+02 | 6.6775E+02 | 6.6894E+02 | |
| Std | 4.4218E+01 | 6.2440E+01 | 6.1067E+01 | 6.0381E+01 | 6.1221E+01 | 6.0235E+01 | |
| Rank | 6 | 4 | 2 | 5 | 1 | 3 | |
| F5 | Best | 6.3203E+02 | 6.3027E+02 | 6.3028E+02 | 6.2677E+02 | 6.1978E+02 | 6.1952E+02 |
| Avg | 6.5026E+02 | 6.4077E+02 | 6.4029E+02 | 6.3998E+02 | 6.3838E+02 | 6.3744E+02 | |
| Std | 1.1109E+01 | 6.9300E+00 | 6.7559E+00 | 7.1047E+00 | 8.0791E+00 | 8.3091E+00 | |
| Rank | 6 | 5 | 4 | 3 | 2 | 1 | |
| F6 | Best | 1.0318E+03 | 8.9463E+02 | 8.9993E+02 | 9.0147E+02 | 8.9855E+02 | 8.4193E+02 |
| Avg | 1.1395E+03 | 1.0182E+03 | 9.9774E+02 | 9.9754E+02 | 9.9667E+02 | 9.8756E+02 | |
| Std | 6.9933E+01 | 1.2117E+02 | 1.2158E+02 | 1.2146E+02 | 1.2113E+02 | 1.2815E+02 | |
| Rank | 6 | 5 | 4 | 3 | 2 | 1 | |
| F7 | Best | 9.4569E+02 | 8.9950E+02 | 8.9751E+02 | 8.9751E+02 | 8.9054E+02 | 8.9154E+02 |
| Avg | 1.0338E+03 | 9.4994E+02 | 9.4715E+02 | 9.4745E+02 | 9.4556E+02 | 9.4616E+02 | |
| Std | 4.1974E+01 | 3.3172E+01 | 3.0989E+01 | 3.1090E+01 | 3.2468E+01 | 3.2364E+01 | |
| Rank | 6 | 5 | 3 | 4 | 1 | 2 | |
| F8 | Best | 4.0687E+03 | 1.8912E+03 | 1.9147E+03 | 1.8923E+03 | 1.8841E+03 | 1.8940E+03 |
| Avg | 7.1373E+03 | 3.7637E+03 | 3.7640E+03 | 3.7625E+03 | 3.7536E+03 | 3.7692E+03 | |
| Std | 1.7726E+03 | 1.2705E+03 | 1.2663E+03 | 1.2667E+03 | 1.2724E+03 | 1.2570E+03 | |
| Rank | 6 | 3 | 4 | 2 | 1 | 5 | |
| F9 | Best | 7.0669E+03 | 3.9684E+03 | 3.9684E+03 | 3.7607E+03 | 3.7607E+03 | 3.6619E+03 |
| Avg | 7.6756E+03 | 5.1046E+03 | 5.1429E+03 | 4.9384E+03 | 5.0141E+03 | 4.9202E+03 | |
| Std | 4.9056E+02 | 5.4236E+02 | 7.2399E+02 | 7.9556E+02 | 8.6859E+02 | 7.3501E+02 | |
| Rank | 6 | 4 | 5 | 2 | 3 | 1 | |
| F10 | Best | 1.5595E+03 | 1.1716E+03 | 1.1677E+03 | 1.1677E+03 | 1.1677E+03 | 1.1677E+03 |
| Avg | 2.7350E+03 | 1.2293E+03 | 1.2296E+03 | 1.2193E+03 | 1.2307E+03 | 1.2279E+03 | |
| Std | 1.0929E+03 | 4.2976E+01 | 5.3487E+01 | 3.7497E+01 | 4.9668E+01 | 4.4332E+01 | |
| Rank | 6 | 3 | 4 | 1 | 5 | 2 | |
| F11 | Best | 4.4269E+07 | 1.8633E+03 | 1.6415E+03 | 1.6425E+03 | 2.3723E+03 | 2.0319E+03 |
| Avg | 2.6305E+08 | 2.5424E+03 | 2.5355E+03 | 2.6446E+03 | 2.9599E+03 | 3.8274E+03 | |
| Std | 3.3804E+08 | 4.0659E+02 | 7.4483E+02 | 6.2040E+02 | 6.9366E+02 | 3.7652E+03 | |
| Rank | 6 | 2 | 1 | 3 | 4 | 5 | |
| F12 | Best | 1.4244E+05 | 1.7569E+03 | 2.0335E+03 | 2.3438E+03 | 2.1797E+03 | 2.5039E+03 |
| Avg | 4.3495E+06 | 2.8663E+03 | 2.9544E+03 | 3.5312E+03 | 3.6218E+03 | 3.1982E+03 | |
| Std | 5.1856E+06 | 6.1828E+02 | 8.4343E+02 | 8.6897E+02 | 9.9961E+02 | 6.1612E+02 | |
| Rank | 6 | 1 | 2 | 4 | 5 | 3 | |
| F13 | Best | 9.6618E+03 | 1.5030E+03 | 1.5357E+03 | 1.5073E+03 | 1.4920E+03 | 1.5603E+03 |
| Avg | 2.0121E+05 | 1.6108E+03 | 1.5946E+03 | 1.6030E+03 | 1.6636E+03 | 1.6369E+03 | |
| Std | 4.8201E+05 | 8.3032E+01 | 5.8757E+01 | 6.9870E+01 | 7.5948E+01 | 5.1682E+01 | |
| Rank | 6 | 3 | 1 | 2 | 5 | 4 | |
| F14 | Best | 2.5911E+04 | 1.6496E+03 | 1.5781E+03 | 1.6266E+03 | 1.6336E+03 | 1.5711E+03 |
| Avg | 1.2174E+06 | 1.7182E+03 | 1.8883E+03 | 1.7263E+03 | 1.7574E+03 | 1.8400E+03 | |
| Std | 1.9415E+06 | 5.3115E+01 | 3.0372E+02 | 1.1643E+02 | 1.1380E+02 | 2.1117E+02 | |
| Rank | 6 | 1 | 5 | 2 | 3 | 4 | |
| F15 | Best | 2.8693E+03 | 2.2821E+03 | 2.1648E+03 | 2.1815E+03 | 2.0428E+03 | 2.0428E+03 |
| Avg | 3.4525E+03 | 2.7600E+03 | 2.6854E+03 | 2.6362E+03 | 2.6322E+03 | 2.6366E+03 | |
| Std | 3.6857E+02 | 2.9890E+02 | 3.7439E+02 | 2.9228E+02 | 3.1478E+02 | 3.1501E+02 | |
| Rank | 6 | 5 | 4 | 2 | 1 | 3 | |
| F16 | Best | 2.1880E+03 | 1.8460E+03 | 1.7884E+03 | 1.7877E+03 | 1.7872E+03 | 1.7833E+03 |
| Avg | 2.3653E+03 | 2.1876E+03 | 2.1556E+03 | 2.1624E+03 | 2.0865E+03 | 2.0799E+03 | |
| Std | 1.6112E+02 | 3.6427E+02 | 3.4803E+02 | 3.5899E+02 | 2.4206E+02 | 2.4010E+02 | |
| Rank | 6 | 5 | 3 | 4 | 2 | 1 | |
| F17 | Best | 8.3824E+04 | 1.8749E+03 | 1.8352E+03 | 1.9304E+03 | 1.8740E+03 | 1.8847E+03 |
| Avg | 8.5969E+05 | 1.9670E+03 | 1.9808E+03 | 1.9890E+03 | 1.9645E+03 | 2.8078E+03 | |
| Std | 1.1545E+06 | 7.8074E+01 | 1.0036E+02 | 6.0686E+01 | 7.7551E+01 | 1.3783E+03 | |
| Rank | 6 | 2 | 3 | 4 | 1 | 5 | |
| F18 | Best | 1.0096E+04 | 2.0982E+03 | 2.0194E+03 | 2.1319E+03 | 2.0294E+03 | 2.1536E+03 |
| Avg | 8.0005E+05 | 2.2583E+03 | 2.2231E+03 | 2.3355E+03 | 2.2744E+03 | 3.2714E+03 | |
| Std | 1.5036E+06 | 1.1587E+02 | 1.4100E+02 | 2.1651E+02 | 2.2885E+02 | 1.7664E+03 | |
| Rank | 6 | 2 | 1 | 4 | 3 | 5 | |
| F19 | Best | 2.4491E+03 | 2.3036E+03 | 2.3046E+03 | 2.4117E+03 | 2.3846E+03 | 2.4027E+03 |
| Avg | 2.6652E+03 | 2.5553E+03 | 2.5454E+03 | 2.5620E+03 | 2.5587E+03 | 2.5562E+03 | |
| Std | 1.7671E+02 | 1.4506E+02 | 1.2500E+02 | 1.0097E+02 | 1.0561E+02 | 9.6848E+01 | |
| Rank | 6 | 2 | 1 | 5 | 4 | 3 | |
| F20 | Best | 2.4608E+03 | 2.3552E+03 | 2.3552E+03 | 2.3424E+03 | 2.3459E+03 | 2.3444E+03 |
| Avg | 2.5290E+03 | 2.4273E+03 | 2.4197E+03 | 2.4149E+03 | 2.4159E+03 | 2.4155E+03 | |
| Std | 4.7807E+01 | 5.3818E+01 | 4.8297E+01 | 4.9075E+01 | 4.7729E+01 | 4.8298E+01 | |
| Rank | 6 | 5 | 4 | 1 | 3 | 2 | |
| F21 | Best | 2.5992E+03 | 2.3000E+03 | 2.3000E+03 | 2.3000E+03 | 2.3000E+03 | 2.3000E+03 |
| Avg | 5.5979E+03 | 5.1563E+03 | 5.2025E+03 | 5.2412E+03 | 5.1948E+03 | 5.1970E+03 | |
| Std | 2.6890E+03 | 2.5159E+03 | 2.5502E+03 | 2.5864E+03 | 2.5404E+03 | 2.5433E+03 | |
| Rank | 6 | 1 | 4 | 5 | 2 | 3 | |
| F22 | Best | 2.8342E+03 | 2.7769E+03 | 2.7669E+03 | 2.7771E+03 | 2.7771E+03 | 2.7771E+03 |
| Avg | 2.9360E+03 | 2.8413E+03 | 2.8270E+03 | 2.8285E+03 | 2.8223E+03 | 2.8221E+03 | |
| Std | 6.8458E+01 | 4.2575E+01 | 4.2612E+01 | 3.8588E+01 | 4.1651E+01 | 4.1427E+01 | |
| Rank | 6 | 5 | 3 | 4 | 2 | 1 | |
| F23 | Best | 2.9924E+03 | 2.9348E+03 | 2.9260E+03 | 2.9147E+03 | 2.9123E+03 | 2.9109E+03 |
| Avg | 3.0454E+03 | 3.0422E+03 | 3.0241E+03 | 3.0179E+03 | 3.0077E+03 | 3.0060E+03 | |
| Std | 3.9001E+01 | 6.2653E+01 | 6.4212E+01 | 6.5875E+01 | 5.9665E+01 | 6.0296E+01 | |
| Rank | 6 | 5 | 4 | 3 | 2 | 1 | |
| F24 | Best | 3.0607E+03 | 2.8752E+03 | 2.8753E+03 | 2.8752E+03 | 2.8752E+03 | 2.8751E+03 |
| Avg | 3.2809E+03 | 2.8780E+03 | 2.8778E+03 | 2.8785E+03 | 2.8778E+03 | 2.8867E+03 | |
| Std | 1.3704E+02 | 3.8366E+00 | 2.8270E+00 | 3.1429E+00 | 2.9136E+00 | 1.9711E+01 | |
| Rank | 6 | 3 | 1 | 4 | 2 | 5 | |
| F25 | Best | 4.7183E+03 | 2.8000E+03 | 2.8000E+03 | 2.8000E+03 | 2.8000E+03 | 2.8000E+03 |
| Avg | 6.4322E+03 | 5.0041E+03 | 5.0160E+03 | 5.0279E+03 | 5.0357E+03 | 5.0439E+03 | |
| Std | 8.4653E+02 | 8.2847E+02 | 8.7033E+02 | 8.6496E+02 | 8.7242E+02 | 8.7179E+02 | |
| Rank | 6 | 1 | 2 | 3 | 4 | 5 | |
| F26 | Best | 3.2573E+03 | 3.2000E+03 | 3.2000E+03 | 3.1685E+03 | 3.1644E+03 | 3.1652E+03 |
| Avg | 3.3100E+03 | 3.2000E+03 | 3.2000E+03 | 3.1969E+03 | 3.1932E+03 | 3.1935E+03 | |
| Std | 3.0583E+01 | 8.3370E-05 | 1.2162E-04 | 9.9486E+00 | 1.4287E+01 | 1.3797E+01 | |
| Rank | 6 | 5 | 4 | 3 | 1 | 2 | |
| F27 | Best | 3.7060E+03 | 3.1000E+03 | 3.1000E+03 | 3.1000E+03 | 3.1000E+03 | 3.1000E+03 |
| Avg | 3.9841E+03 | 3.1964E+03 | 3.1813E+03 | 3.1207E+03 | 3.1303E+03 | 3.1309E+03 | |
| Std | 2.2522E+02 | 8.9891E+01 | 7.5969E+01 | 4.3549E+01 | 6.7882E+01 | 6.8614E+01 | |
| Rank | 6 | 5 | 4 | 1 | 2 | 3 | |
| F28 | Best | 4.0254E+03 | 3.7613E+03 | 3.8203E+03 | 3.7581E+03 | 3.7938E+03 | 3.8035E+03 |
| Avg | 4.6093E+03 | 4.2202E+03 | 4.1344E+03 | 4.0753E+03 | 4.0308E+03 | 4.0468E+03 | |
| Std | 3.0880E+02 | 2.4769E+02 | 2.6737E+02 | 2.7452E+02 | 2.1534E+02 | 2.0096E+02 | |
| Rank | 6 | 5 | 4 | 3 | 1 | 2 | |
| F29 | Best | 1.8822E+06 | 3.3487E+03 | 3.5009E+03 | 3.4737E+03 | 3.5120E+03 | 3.4586E+03 |
| Avg | 2.0801E+07 | 3.5896E+03 | 3.7655E+03 | 3.9714E+03 | 5.0017E+03 | 3.8130E+03 | |
| Std | 2.2612E+07 | 1.6874E+02 | 4.2749E+02 | 8.5721E+02 | 3.4195E+03 | 3.5703E+02 | |
| Rank | 6 | 1 | 2 | 4 | 5 | 3 |
| No. | Index | ECO | a = 0.5 | a = 0.6 | a = 0.7 | a = 0.8 | a = 0.9 |
|---|---|---|---|---|---|---|---|
| F1 | Best | 1.3982E+10 | 1.0000E+02 | 1.0000E+02 | 1.0000E+02 | 1.0000E+02 | 1.0000E+02 |
| Avg | 2.7507E+10 | 1.0143E+02 | 1.0000E+02 | 1.0000E+02 | 1.0000E+02 | 1.0000E+02 | |
| Std | 1.2295E+10 | 3.3546E+00 | 3.5315E-04 | 1.1651E-06 | 4.1379E-06 | 8.7994E-06 | |
| Rank | 6 | 5 | 4 | 1 | 2 | 3 | |
| F2 | Best | 6.4697E+04 | 3.0000E+02 | 3.0000E+02 | 3.0000E+02 | 3.0000E+02 | 3.0000E+02 |
| Avg | 1.0822E+05 | 3.0000E+02 | 3.0000E+02 | 3.0000E+02 | 3.0000E+02 | 3.0000E+02 | |
| Std | 3.8466E+04 | 2.6790E-05 | 2.2644E-05 | 2.4328E-05 | 2.4194E-05 | 3.3586E-03 | |
| Rank | 6 | 2 | 1 | 3 | 4 | 5 | |
| F3 | Best | 2.2968E+03 | 4.0000E+02 | 4.0000E+02 | 4.0000E+02 | 4.0000E+02 | 4.0000E+02 |
| Avg | 4.6065E+03 | 4.0120E+02 | 4.0040E+02 | 4.0120E+02 | 4.0120E+02 | 4.0177E+02 | |
| Std | 2.4371E+03 | 1.9257E+00 | 1.2607E+00 | 1.9257E+00 | 1.9257E+00 | 1.9810E+00 | |
| Rank | 6 | 2 | 1 | 4 | 3 | 5 | |
| F4 | Best | 8.5796E+02 | 7.4277E+02 | 7.2287E+02 | 7.4078E+02 | 7.3779E+02 | 7.3083E+02 |
| Avg | 9.9192E+02 | 8.0356E+02 | 7.9759E+02 | 7.9600E+02 | 7.9550E+02 | 7.9351E+02 | |
| Std | 9.4684E+01 | 4.3602E+01 | 5.1335E+01 | 4.5307E+01 | 4.4688E+01 | 4.7362E+01 | |
| Rank | 6 | 5 | 4 | 3 | 2 | 1 | |
| F5 | Best | 6.5862E+02 | 6.4217E+02 | 6.4148E+02 | 6.4148E+02 | 6.4132E+02 | 6.4074E+02 |
| Avg | 6.6684E+02 | 6.5081E+02 | 6.5000E+02 | 6.5021E+02 | 6.4969E+02 | 6.4974E+02 | |
| Std | 5.5643E+00 | 5.1802E+00 | 5.5751E+00 | 5.6253E+00 | 5.8729E+00 | 5.7551E+00 | |
| Rank | 6 | 5 | 3 | 4 | 1 | 2 | |
| F6 | Best | 1.4736E+03 | 1.0846E+03 | 1.0827E+03 | 1.0745E+03 | 1.0835E+03 | 1.0835E+03 |
| Avg | 1.5961E+03 | 1.3883E+03 | 1.3649E+03 | 1.3545E+03 | 1.3414E+03 | 1.3453E+03 | |
| Std | 7.0588E+01 | 1.6236E+02 | 1.4387E+02 | 1.4172E+02 | 1.3758E+02 | 1.3872E+02 | |
| Rank | 6 | 5 | 4 | 3 | 1 | 2 | |
| F7 | Best | 1.2522E+03 | 1.0189E+03 | 1.0179E+03 | 1.0179E+03 | 1.0179E+03 | 1.0149E+03 |
| Avg | 1.3018E+03 | 1.0951E+03 | 1.0945E+03 | 1.0928E+03 | 1.0900E+03 | 1.0890E+03 | |
| Std | 4.1265E+01 | 5.1674E+01 | 5.2721E+01 | 5.0550E+01 | 4.9384E+01 | 5.0054E+01 | |
| Rank | 6 | 5 | 4 | 3 | 2 | 1 | |
| F8 | Best | 1.7076E+04 | 6.1237E+03 | 6.2360E+03 | 6.2498E+03 | 6.2687E+03 | 6.2408E+03 |
| Avg | 2.3943E+04 | 9.2604E+03 | 9.1744E+03 | 9.1777E+03 | 8.8459E+03 | 8.8528E+03 | |
| Std | 4.7473E+03 | 1.7466E+03 | 1.7814E+03 | 1.7938E+03 | 1.9677E+03 | 1.9827E+03 | |
| Rank | 6 | 5 | 3 | 4 | 1 | 2 | |
| F9 | Best | 9.4499E+03 | 6.7913E+03 | 6.6107E+03 | 6.2585E+03 | 6.6329E+03 | 6.2913E+03 |
| Avg | 1.2865E+04 | 8.2946E+03 | 8.2973E+03 | 8.2658E+03 | 8.1524E+03 | 8.0868E+03 | |
| Std | 1.4205E+03 | 7.3038E+02 | 9.3217E+02 | 1.0069E+03 | 9.0067E+02 | 9.7949E+02 | |
| Rank | 6 | 4 | 5 | 3 | 2 | 1 | |
| F10 | Best | 2.6975E+03 | 1.1915E+03 | 1.2005E+03 | 1.2075E+03 | 1.2293E+03 | 1.2383E+03 |
| Avg | 7.5828E+03 | 1.2857E+03 | 1.2942E+03 | 1.2936E+03 | 1.3034E+03 | 1.3032E+03 | |
| Std | 4.1000E+03 | 5.8890E+01 | 6.5701E+01 | 6.4788E+01 | 4.8903E+01 | 5.4899E+01 | |
| Rank | 6 | 1 | 3 | 2 | 5 | 4 | |
| F11 | Best | 9.4040E+08 | 2.6603E+03 | 3.4740E+03 | 3.7836E+03 | 2.7355E+03 | 3.2915E+03 |
| Avg | 3.1306E+09 | 4.5399E+03 | 4.5065E+03 | 5.0763E+03 | 6.4612E+03 | 8.1929E+03 | |
| Std | 1.6180E+09 | 1.0631E+03 | 8.1147E+02 | 7.7520E+02 | 6.1899E+03 | 7.0498E+03 | |
| Rank | 6 | 2 | 1 | 3 | 4 | 5 | |
| F12 | Best | 3.0077E+07 | 2.7646E+03 | 2.3687E+03 | 2.6882E+03 | 2.4087E+03 | 2.7124E+03 |
| Avg | 2.9633E+08 | 3.8901E+03 | 3.4318E+03 | 4.4038E+03 | 3.8809E+03 | 5.7969E+03 | |
| Std | 3.3853E+08 | 7.9627E+02 | 7.1599E+02 | 2.0553E+03 | 1.0482E+03 | 3.8287E+03 | |
| Rank | 6 | 3 | 1 | 4 | 2 | 5 | |
| F13 | Best | 3.4667E+04 | 1.6472E+03 | 1.6149E+03 | 1.6205E+03 | 1.6794E+03 | 1.5158E+03 |
| Avg | 7.6567E+05 | 1.7621E+03 | 1.7951E+03 | 1.7619E+03 | 1.8328E+03 | 2.2929E+03 | |
| Std | 9.8799E+05 | 1.1382E+02 | 1.2679E+02 | 1.0739E+02 | 1.1478E+02 | 8.5012E+02 | |
| Rank | 6 | 2 | 3 | 1 | 4 | 5 | |
| F14 | Best | 7.2450E+05 | 1.7850E+03 | 1.6544E+03 | 1.7091E+03 | 1.6747E+03 | 1.9018E+03 |
| Avg | 4.9169E+07 | 1.9577E+03 | 2.0519E+03 | 2.0958E+03 | 2.2319E+03 | 2.6003E+03 | |
| Std | 8.5723E+07 | 1.9572E+02 | 4.8844E+02 | 4.7568E+02 | 4.1193E+02 | 1.1742E+03 | |
| Rank | 6 | 1 | 2 | 3 | 4 | 5 | |
| F15 | Best | 3.6363E+03 | 2.6617E+03 | 2.6616E+03 | 2.6616E+03 | 2.6617E+03 | 2.6616E+03 |
| Avg | 4.4666E+03 | 3.6028E+03 | 3.5435E+03 | 3.4762E+03 | 3.4990E+03 | 3.5221E+03 | |
| Std | 6.9770E+02 | 5.3232E+02 | 5.7077E+02 | 5.7146E+02 | 5.7047E+02 | 5.6806E+02 | |
| Rank | 6 | 5 | 4 | 1 | 2 | 3 | |
| F16 | Best | 3.3004E+03 | 3.0542E+03 | 3.0266E+03 | 3.0247E+03 | 3.0066E+03 | 3.0525E+03 |
| Avg | 3.9210E+03 | 3.4643E+03 | 3.4666E+03 | 3.4245E+03 | 3.4492E+03 | 3.4575E+03 | |
| Std | 5.2555E+02 | 2.8083E+02 | 2.8539E+02 | 2.2888E+02 | 2.6341E+02 | 2.4386E+02 | |
| Rank | 6 | 4 | 5 | 1 | 2 | 3 | |
| F17 | Best | 4.7151E+05 | 1.8750E+03 | 1.9655E+03 | 1.8931E+03 | 1.8912E+03 | 3.2855E+03 |
| Avg | 6.7951E+06 | 2.0366E+03 | 2.0383E+03 | 1.9959E+03 | 2.3766E+03 | 6.9861E+03 | |
| Std | 6.2519E+06 | 1.3461E+02 | 5.3906E+01 | 7.2524E+01 | 3.9751E+02 | 3.9086E+03 | |
| Rank | 6 | 2 | 3 | 1 | 4 | 5 | |
| F18 | Best | 2.8826E+05 | 2.0910E+03 | 2.0533E+03 | 2.2315E+03 | 2.3956E+03 | 2.3188E+03 |
| Avg | 2.3034E+07 | 2.3706E+03 | 2.4029E+03 | 2.7873E+03 | 3.6576E+03 | 8.0225E+03 | |
| Std | 5.1801E+07 | 2.7348E+02 | 2.6305E+02 | 6.1208E+02 | 1.6342E+03 | 5.9731E+03 | |
| Rank | 6 | 1 | 2 | 3 | 4 | 5 | |
| F19 | Best | 3.0192E+03 | 2.5548E+03 | 2.5459E+03 | 2.5669E+03 | 2.5479E+03 | 2.5469E+03 |
| Avg | 3.5627E+03 | 3.1917E+03 | 3.1320E+03 | 3.1304E+03 | 3.1251E+03 | 3.1297E+03 | |
| Std | 3.1123E+02 | 4.2055E+02 | 4.0493E+02 | 4.2369E+02 | 4.2248E+02 | 4.1809E+02 | |
| Rank | 6 | 5 | 4 | 3 | 1 | 2 | |
| F20 | Best | 2.6066E+03 | 2.4536E+03 | 2.4540E+03 | 2.4566E+03 | 2.4566E+03 | 2.4585E+03 |
| Avg | 2.7480E+03 | 2.5709E+03 | 2.5729E+03 | 2.5726E+03 | 2.5715E+03 | 2.5716E+03 | |
| Std | 9.5071E+01 | 6.2980E+01 | 6.3498E+01 | 6.2273E+01 | 6.3547E+01 | 6.2944E+01 | |
| Rank | 6 | 1 | 5 | 4 | 2 | 3 | |
| F21 | Best | 1.3152E+04 | 8.3074E+03 | 8.1761E+03 | 8.3607E+03 | 8.3586E+03 | 8.1970E+03 |
| Avg | 1.4535E+04 | 9.4961E+03 | 9.4112E+03 | 9.3560E+03 | 9.4815E+03 | 9.6024E+03 | |
| Std | 8.9691E+02 | 7.6530E+02 | 7.4955E+02 | 6.5483E+02 | 8.0954E+02 | 8.7011E+02 | |
| Rank | 6 | 4 | 2 | 1 | 3 | 5 | |
| F22 | Best | 3.3001E+03 | 3.0622E+03 | 3.0162E+03 | 3.0471E+03 | 3.0050E+03 | 3.0087E+03 |
| Avg | 3.3894E+03 | 3.1991E+03 | 3.1847E+03 | 3.1749E+03 | 3.1461E+03 | 3.1415E+03 | |
| Std | 8.4934E+01 | 1.0798E+02 | 1.1520E+02 | 1.1480E+02 | 1.2839E+02 | 1.3008E+02 | |
| Rank | 6 | 5 | 4 | 3 | 2 | 1 | |
| F23 | Best | 3.4416E+03 | 3.1810E+03 | 3.1482E+03 | 3.1462E+03 | 3.0585E+03 | 3.0920E+03 |
| Avg | 3.5253E+03 | 3.3530E+03 | 3.2986E+03 | 3.2880E+03 | 3.2715E+03 | 3.2577E+03 | |
| Std | 7.0905E+01 | 1.2242E+02 | 1.2132E+02 | 1.2895E+02 | 1.4544E+02 | 1.4702E+02 | |
| Rank | 6 | 5 | 4 | 3 | 2 | 1 | |
| F24 | Best | 4.5928E+03 | 2.9312E+03 | 2.9313E+03 | 2.9313E+03 | 2.9313E+03 | 2.9313E+03 |
| Avg | 6.1549E+03 | 2.9656E+03 | 2.9703E+03 | 2.9766E+03 | 2.9557E+03 | 2.9596E+03 | |
| Std | 1.1810E+03 | 3.1874E+01 | 1.9223E+01 | 3.0393E+01 | 2.8872E+01 | 1.9907E+01 | |
| Rank | 6 | 3 | 4 | 5 | 1 | 2 | |
| F25 | Best | 9.3476E+03 | 2.9000E+03 | 2.9000E+03 | 2.9000E+03 | 2.9000E+03 | 2.9000E+03 |
| Avg | 1.1153E+04 | 8.0455E+03 | 8.2574E+03 | 8.1936E+03 | 7.7180E+03 | 7.9819E+03 | |
| Std | 1.2482E+03 | 2.0987E+03 | 2.1142E+03 | 2.1338E+03 | 2.6686E+03 | 2.2444E+03 | |
| Rank | 6 | 3 | 5 | 4 | 1 | 2 | |
| F26 | Best | 3.5181E+03 | 3.2000E+03 | 3.2000E+03 | 3.2000E+03 | 3.2000E+03 | 3.2000E+03 |
| Avg | 3.8122E+03 | 3.2000E+03 | 3.2000E+03 | 3.2000E+03 | 3.2171E+03 | 3.2000E+03 | |
| Std | 2.4505E+02 | 1.5786E-04 | 2.4357E-04 | 1.6338E-04 | 5.4060E+01 | 1.2729E-04 | |
| Rank | 6 | 2 | 1 | 3 | 5 | 4 | |
| F27 | Best | 5.2264E+03 | 3.3000E+03 | 3.3000E+03 | 3.3000E+03 | 3.3000E+03 | 3.3000E+03 |
| Avg | 6.7929E+03 | 3.3000E+03 | 3.3000E+03 | 3.3000E+03 | 3.3000E+03 | 3.3000E+03 | |
| Std | 1.5797E+03 | 3.2608E-04 | 4.0006E-04 | 3.2784E-04 | 2.5321E-04 | 2.7928E-04 | |
| Rank | 6 | 1 | 5 | 3 | 4 | 2 | |
| F28 | Best | 5.3623E+03 | 4.1821E+03 | 4.3256E+03 | 4.1128E+03 | 4.0205E+03 | 3.9143E+03 |
| Avg | 6.6733E+03 | 4.7937E+03 | 4.7995E+03 | 4.7584E+03 | 4.6540E+03 | 4.6277E+03 | |
| Std | 8.6922E+02 | 3.3154E+02 | 3.0021E+02 | 3.5240E+02 | 3.6891E+02 | 4.5449E+02 | |
| Rank | 6 | 4 | 5 | 3 | 2 | 1 | |
| F29 | Best | 6.0193E+07 | 3.7396E+03 | 3.8566E+03 | 3.6930E+03 | 3.4871E+03 | 3.9225E+03 |
| Avg | 1.8378E+08 | 5.7981E+03 | 6.9528E+03 | 4.6114E+03 | 4.6278E+03 | 8.5123E+03 | |
| Std | 1.7870E+08 | 4.4484E+03 | 4.8510E+03 | 1.0670E+03 | 1.0772E+03 | 6.5112E+03 | |
| Rank | 6 | 3 | 4 | 1 | 2 | 5 |
| No. | Index | ECO | a = 0.5 | a = 0.6 | a = 0.7 | a = 0.8 | a = 0.9 |
|---|---|---|---|---|---|---|---|
| F1 | Best | 1.0516E+11 | 2.7355E+03 | 2.0362E+03 | 2.0566E+03 | 1.2195E+02 | 1.9212E+02 |
| Avg | 1.1103E+11 | 9.8305E+03 | 7.2179E+03 | 8.1565E+03 | 9.1249E+03 | 8.7906E+03 | |
| Std | 4.9348E+09 | 4.8534E+03 | 3.9671E+03 | 4.6948E+03 | 8.5787E+03 | 9.8954E+03 | |
| Rank | 6 | 5 | 1 | 2 | 4 | 3 | |
| F2 | Best | 2.5917E+05 | 3.9492E+04 | 5.1115E+04 | 3.1963E+04 | 3.7096E+04 | 4.9098E+04 |
| Avg | 2.8050E+05 | 5.7541E+04 | 5.4596E+04 | 5.0453E+04 | 5.7097E+04 | 6.0791E+04 | |
| Std | 2.5113E+04 | 3.0564E+04 | 2.8414E+03 | 1.6305E+04 | 1.7974E+04 | 1.2574E+04 | |
| Rank | 6 | 4 | 2 | 1 | 3 | 5 | |
| F3 | Best | 1.1491E+04 | 5.8216E+02 | 5.6703E+02 | 5.7384E+02 | 5.7172E+02 | 5.7646E+02 |
| Avg | 1.6719E+04 | 6.0899E+02 | 5.9268E+02 | 6.0577E+02 | 6.0567E+02 | 6.2239E+02 | |
| Std | 8.1866E+03 | 2.7027E+01 | 3.5782E+01 | 3.3935E+01 | 3.5256E+01 | 3.0835E+01 | |
| Rank | 6 | 4 | 1 | 3 | 2 | 5 | |
| F4 | Best | 1.5748E+03 | 1.1686E+03 | 1.1626E+03 | 1.1746E+03 | 1.1666E+03 | 1.1696E+03 |
| Avg | 1.6415E+03 | 1.2064E+03 | 1.2069E+03 | 1.2134E+03 | 1.2034E+03 | 1.2044E+03 | |
| Std | 4.5651E+01 | 4.0152E+01 | 4.8535E+01 | 4.5135E+01 | 4.4628E+01 | 4.3754E+01 | |
| Rank | 6 | 3 | 4 | 5 | 1 | 2 | |
| F5 | Best | 6.7534E+02 | 6.5439E+02 | 6.5321E+02 | 6.5284E+02 | 6.5310E+02 | 6.5332E+02 |
| Avg | 6.7727E+02 | 6.5835E+02 | 6.5808E+02 | 6.5779E+02 | 6.5799E+02 | 6.5814E+02 | |
| Std | 1.9568E+00 | 4.6156E+00 | 5.1737E+00 | 5.7479E+00 | 5.6611E+00 | 5.4908E+00 | |
| Rank | 6 | 5 | 3 | 1 | 2 | 4 | |
| F6 | Best | 3.1609E+03 | 2.5121E+03 | 2.4678E+03 | 2.5250E+03 | 2.4412E+03 | 2.4539E+03 |
| Avg | 3.2687E+03 | 2.7763E+03 | 2.7505E+03 | 2.7037E+03 | 2.6838E+03 | 2.6903E+03 | |
| Std | 1.3907E+02 | 2.2560E+02 | 2.4892E+02 | 1.8362E+02 | 2.1687E+02 | 2.0897E+02 | |
| Rank | 6 | 5 | 4 | 3 | 1 | 2 | |
| F7 | Best | 1.8844E+03 | 1.4955E+03 | 1.5074E+03 | 1.5074E+03 | 1.5134E+03 | 1.5114E+03 |
| Avg | 2.0902E+03 | 1.5517E+03 | 1.5402E+03 | 1.5502E+03 | 1.5502E+03 | 1.5502E+03 | |
| Std | 1.5760E+02 | 5.5990E+01 | 4.6310E+01 | 4.3130E+01 | 4.4397E+01 | 4.9924E+01 | |
| Rank | 6 | 5 | 1 | 3 | 4 | 2 | |
| F8 | Best | 4.8102E+04 | 1.6571E+04 | 1.6601E+04 | 1.6599E+04 | 1.6582E+04 | 1.6612E+04 |
| Avg | 5.6594E+04 | 1.9584E+04 | 2.1672E+04 | 2.1686E+04 | 1.9625E+04 | 1.9724E+04 | |
| Std | 6.9367E+03 | 2.0606E+03 | 5.3329E+03 | 5.3668E+03 | 2.0735E+03 | 2.1294E+03 | |
| Rank | 6 | 1 | 4 | 5 | 2 | 3 | |
| F9 | Best | 2.5800E+04 | 1.5260E+04 | 1.5136E+04 | 1.5334E+04 | 1.5201E+04 | 1.5195E+04 |
| Avg | 2.7131E+04 | 1.6361E+04 | 1.5928E+04 | 1.6271E+04 | 1.6417E+04 | 1.6592E+04 | |
| Std | 1.5785E+03 | 1.1549E+03 | 8.6530E+02 | 8.8180E+02 | 1.1921E+03 | 1.3406E+03 | |
| Rank | 6 | 3 | 1 | 2 | 4 | 5 | |
| F10 | Best | 5.0265E+04 | 2.2440E+03 | 2.2198E+03 | 2.1987E+03 | 2.1024E+03 | 2.1668E+03 |
| Avg | 8.1274E+04 | 2.2856E+03 | 2.2876E+03 | 2.3552E+03 | 2.3643E+03 | 2.3560E+03 | |
| Std | 3.9368E+04 | 5.4685E+01 | 9.2419E+01 | 1.7630E+02 | 3.5223E+02 | 1.8517E+02 | |
| Rank | 6 | 1 | 2 | 3 | 5 | 4 | |
| F11 | Best | 1.9040E+10 | 6.1180E+05 | 6.0306E+05 | 6.6267E+05 | 3.7465E+05 | 6.2566E+05 |
| Avg | 2.7304E+10 | 1.0551E+06 | 9.0999E+05 | 8.1703E+05 | 9.2509E+05 | 1.0787E+06 | |
| Std | 6.5837E+09 | 3.3217E+05 | 3.0758E+05 | 2.0875E+05 | 5.4639E+05 | 7.6097E+05 | |
| Rank | 6 | 4 | 2 | 1 | 3 | 5 | |
| F12 | Best | 4.4658E+08 | 6.6312E+03 | 6.4242E+03 | 6.6649E+03 | 6.4993E+03 | 6.7171E+03 |
| Avg | 1.7600E+09 | 8.8200E+03 | 8.7041E+03 | 8.6476E+03 | 8.4896E+03 | 8.5395E+03 | |
| Std | 1.0977E+09 | 3.1820E+03 | 3.2192E+03 | 3.1393E+03 | 2.9186E+03 | 3.0369E+03 | |
| Rank | 6 | 5 | 4 | 3 | 1 | 2 | |
| F13 | Best | 2.4685E+06 | 2.5915E+04 | 2.7599E+04 | 3.4168E+04 | 2.7228E+04 | 2.4253E+04 |
| Avg | 9.9605E+06 | 3.9322E+04 | 4.3286E+04 | 4.4772E+04 | 4.3829E+04 | 3.9653E+04 | |
| Std | 1.1653E+07 | 2.3415E+04 | 1.7869E+04 | 1.3445E+04 | 1.7946E+04 | 1.1935E+04 | |
| Rank | 6 | 1 | 3 | 5 | 4 | 2 | |
| F14 | Best | 8.5045E+07 | 2.5813E+03 | 2.3992E+03 | 2.2810E+03 | 2.4414E+03 | 2.3055E+03 |
| Avg | 1.4398E+08 | 1.1474E+04 | 1.2266E+04 | 1.2489E+04 | 1.2269E+04 | 1.2220E+04 | |
| Std | 6.2725E+07 | 1.3058E+04 | 1.5074E+04 | 1.5458E+04 | 1.5243E+04 | 1.5061E+04 | |
| Rank | 6 | 1 | 3 | 5 | 4 | 2 | |
| F15 | Best | 8.9502E+03 | 5.0165E+03 | 4.9661E+03 | 5.0544E+03 | 5.0358E+03 | 4.9132E+03 |
| Avg | 9.3818E+03 | 5.4519E+03 | 5.4298E+03 | 5.4858E+03 | 5.4801E+03 | 5.4861E+03 | |
| Std | 4.4861E+02 | 4.2214E+02 | 3.9786E+02 | 4.4746E+02 | 3.9855E+02 | 4.4726E+02 | |
| Rank | 6 | 2 | 1 | 4 | 3 | 5 | |
| F16 | Best | 6.3541E+03 | 5.3851E+03 | 5.3515E+03 | 5.5186E+03 | 5.3938E+03 | 5.5299E+03 |
| Avg | 8.3109E+03 | 6.3625E+03 | 6.2110E+03 | 6.7242E+03 | 6.3913E+03 | 6.4490E+03 | |
| Std | 2.3441E+03 | 7.6691E+02 | 7.6225E+02 | 1.0471E+03 | 7.5598E+02 | 6.9518E+02 | |
| Rank | 6 | 2 | 1 | 5 | 3 | 4 | |
| F17 | Best | 1.8859E+06 | 3.5457E+04 | 1.7800E+04 | 4.4354E+04 | 4.2100E+04 | 3.9002E+04 |
| Avg | 7.1368E+06 | 5.4331E+04 | 5.5221E+04 | 7.1847E+04 | 5.1266E+04 | 6.4633E+04 | |
| Std | 4.2842E+06 | 2.0149E+04 | 2.7475E+04 | 2.8583E+04 | 1.0155E+04 | 1.8453E+04 | |
| Rank | 6 | 2 | 3 | 5 | 1 | 4 | |
| F18 | Best | 1.6028E+08 | 3.9116E+03 | 3.2475E+03 | 3.2101E+03 | 3.1791E+03 | 2.8712E+03 |
| Avg | 4.5686E+08 | 6.8990E+03 | 6.5667E+03 | 6.8000E+03 | 6.6747E+03 | 5.9845E+03 | |
| Std | 3.6604E+08 | 5.3093E+03 | 6.1591E+03 | 5.9971E+03 | 5.4749E+03 | 5.5463E+03 | |
| Rank | 6 | 5 | 2 | 4 | 3 | 1 | |
| F19 | Best | 4.7506E+03 | 4.5373E+03 | 4.5213E+03 | 4.5196E+03 | 4.5386E+03 | 4.5325E+03 |
| Avg | 5.9860E+03 | 5.0542E+03 | 4.9895E+03 | 5.0466E+03 | 5.0555E+03 | 4.9888E+03 | |
| Std | 8.9336E+02 | 6.2926E+02 | 5.3692E+02 | 5.9563E+02 | 5.9846E+02 | 5.8615E+02 | |
| Rank | 6 | 4 | 2 | 3 | 5 | 1 | |
| F20 | Best | 3.5372E+03 | 3.0067E+03 | 2.9870E+03 | 2.9957E+03 | 3.0169E+03 | 2.9867E+03 |
| Avg | 3.6555E+03 | 3.1283E+03 | 3.1281E+03 | 3.1226E+03 | 3.1317E+03 | 3.1161E+03 | |
| Std | 9.5124E+01 | 8.2571E+01 | 9.5133E+01 | 8.8523E+01 | 7.6772E+01 | 8.8214E+01 | |
| Rank | 6 | 4 | 3 | 2 | 5 | 1 | |
| F21 | Best | 2.8975E+04 | 1.7786E+04 | 1.8288E+04 | 1.7665E+04 | 1.7295E+04 | 1.6959E+04 |
| Avg | 3.0308E+04 | 1.9765E+04 | 1.9873E+04 | 1.9803E+04 | 1.9320E+04 | 1.9476E+04 | |
| Std | 1.1579E+03 | 1.6795E+03 | 1.5984E+03 | 1.8522E+03 | 1.6695E+03 | 2.0595E+03 | |
| Rank | 6 | 3 | 5 | 4 | 1 | 2 | |
| F22 | Best | 4.0146E+03 | 3.8719E+03 | 3.8307E+03 | 3.8316E+03 | 3.8335E+03 | 3.8422E+03 |
| Avg | 4.4003E+03 | 4.0090E+03 | 3.9492E+03 | 3.9820E+03 | 3.9667E+03 | 3.9331E+03 | |
| Std | 2.7683E+02 | 1.4931E+02 | 1.3990E+02 | 1.6874E+02 | 1.7394E+02 | 1.3387E+02 | |
| Rank | 6 | 5 | 2 | 4 | 3 | 1 | |
| F23 | Best | 4.8007E+03 | 4.4830E+03 | 4.3510E+03 | 4.4365E+03 | 4.3493E+03 | 4.3611E+03 |
| Avg | 5.1692E+03 | 5.0090E+03 | 4.7597E+03 | 4.7822E+03 | 4.7365E+03 | 4.6987E+03 | |
| Std | 2.7420E+02 | 4.6767E+02 | 3.1209E+02 | 3.6610E+02 | 3.8043E+02 | 3.7742E+02 | |
| Rank | 6 | 5 | 3 | 4 | 2 | 1 | |
| F24 | Best | 9.5292E+03 | 3.1168E+03 | 3.0618E+03 | 3.2057E+03 | 3.1789E+03 | 3.1984E+03 |
| Avg | 1.1884E+04 | 3.2610E+03 | 3.2253E+03 | 3.2862E+03 | 3.2670E+03 | 3.2563E+03 | |
| Std | 2.4724E+03 | 1.2330E+02 | 1.2207E+02 | 8.8634E+01 | 1.0082E+02 | 4.3313E+01 | |
| Rank | 6 | 3 | 1 | 5 | 4 | 2 | |
| F25 | Best | 2.0470E+04 | 1.4903E+04 | 1.4342E+04 | 1.4437E+04 | 1.4539E+04 | 1.4504E+04 |
| Avg | 2.5238E+04 | 2.0051E+04 | 2.0261E+04 | 2.0388E+04 | 2.0108E+04 | 2.0188E+04 | |
| Std | 3.9562E+03 | 4.6741E+03 | 5.3808E+03 | 5.5320E+03 | 5.2042E+03 | 5.3760E+03 | |
| Rank | 6 | 1 | 4 | 5 | 2 | 3 | |
| F26 | Best | 4.0171E+03 | 3.2000E+03 | 3.2000E+03 | 3.2000E+03 | 3.2000E+03 | 3.3814E+03 |
| Avg | 4.4848E+03 | 3.7430E+03 | 3.3981E+03 | 3.4600E+03 | 3.6156E+03 | 3.7416E+03 | |
| Std | 6.6520E+02 | 6.4311E+02 | 3.9622E+02 | 3.0224E+02 | 4.9520E+02 | 3.2470E+02 | |
| Rank | 6 | 5 | 1 | 2 | 3 | 4 | |
| F27 | Best | 1.0026E+04 | 3.2951E+03 | 3.2951E+03 | 3.2951E+03 | 3.3164E+03 | 3.3173E+03 |
| Avg | 1.7443E+04 | 3.2990E+03 | 3.3028E+03 | 3.3297E+03 | 3.3379E+03 | 3.3287E+03 | |
| Std | 5.0251E+03 | 6.5512E+00 | 1.4984E+01 | 2.6586E+01 | 2.0147E+01 | 9.3743E+00 | |
| Rank | 6 | 1 | 2 | 4 | 5 | 3 | |
| F28 | Best | 1.2195E+04 | 6.3031E+03 | 6.2190E+03 | 6.2987E+03 | 5.9239E+03 | 5.6597E+03 |
| Avg | 1.4170E+04 | 7.2658E+03 | 7.0021E+03 | 7.0854E+03 | 6.8564E+03 | 6.9274E+03 | |
| Std | 2.8708E+03 | 9.0276E+02 | 6.3775E+02 | 9.4837E+02 | 1.1374E+03 | 1.1567E+03 | |
| Rank | 6 | 5 | 3 | 4 | 1 | 2 | |
| F29 | Best | 5.5469E+08 | 4.3864E+03 | 4.6825E+03 | 4.7552E+03 | 5.5174E+03 | 5.0398E+03 |
| Avg | 7.5685E+08 | 7.8931E+03 | 8.1504E+03 | 8.0196E+03 | 8.7649E+03 | 8.5681E+03 | |
| Std | 1.6456E+08 | 4.4293E+03 | 4.9147E+03 | 5.7282E+03 | 5.7765E+03 | 5.7726E+03 | |
| Rank | 6 | 1 | 3 | 2 | 5 | 4 |
| No. | Index | ECO | ECO-R | ECO-P | ECO-T | ECO-RP | ECO-RT | ECO-PT | EECO |
|---|---|---|---|---|---|---|---|---|---|
| F1 | Best | 6.3568E+06 | 3.4081E+02 | 9.4699E+02 | 6.6813E+04 | 1.0000E+02 | 1.0000E+02 | 1.0000E+02 | 1.0000E+02 |
| Avg | 1.5632E+08 | 8.6949E+04 | 1.7517E+04 | 4.1678E+06 | 5.7070E+02 | 1.0000E+02 | 1.0019E+02 | 1.0000E+02 | |
| Std | 3.1359E+08 | 2.0888E+05 | 4.2886E+04 | 6.2632E+06 | 1.3967E+03 | 2.1836E-07 | 7.2283E-01 | 0.0000E+00 | |
| Rank | 8 | 6 | 5 | 7 | 4 | 2 | 3 | 1 | |
| F2 | Best | 7.2490E+02 | 3.0000E+02 | 3.0001E+02 | 3.7683E+02 | 3.0000E+02 | 3.0000E+02 | 3.0000E+02 | 3.0000E+02 |
| Avg | 3.1268E+03 | 3.0342E+02 | 3.0347E+02 | 1.0111E+03 | 3.0000E+02 | 3.0000E+02 | 3.0000E+02 | 3.0000E+02 | |
| Std | 2.1573E+03 | 1.0140E+01 | 1.0456E+01 | 5.8115E+02 | 9.0236E-06 | 7.4740E-12 | 9.9336E-11 | 0.0000E+00 | |
| Rank | 8 | 5 | 6 | 7 | 4 | 2 | 3 | 1 | |
| F3 | Best | 4.0663E+02 | 4.0270E+02 | 4.0346E+02 | 4.0175E+02 | 4.0000E+02 | 4.0000E+02 | 4.0000E+02 | 4.0000E+02 |
| Avg | 4.2652E+02 | 4.0478E+02 | 4.0503E+02 | 4.0841E+02 | 4.0300E+02 | 4.0000E+02 | 4.0000E+02 | 4.0000E+02 | |
| Std | 2.3682E+01 | 1.2658E+00 | 9.7697E-01 | 7.0677E+00 | 1.4796E+00 | 1.2855E-12 | 1.7717E-13 | 4.1355E-13 | |
| Rank | 8 | 5 | 6 | 7 | 4 | 3 | 1 | 1 | |
| F4 | Best | 5.1504E+02 | 5.0873E+02 | 5.1582E+02 | 5.1087E+02 | 5.0106E+02 | 5.0696E+02 | 5.0995E+02 | 5.0199E+02 |
| Avg | 5.4079E+02 | 5.1957E+02 | 5.2575E+02 | 5.2398E+02 | 5.0561E+02 | 5.2912E+02 | 5.2136E+02 | 5.0451E+02 | |
| Std | 1.4548E+01 | 8.1612E+00 | 5.6800E+00 | 7.1122E+00 | 3.2460E+00 | 1.8853E+01 | 7.4253E+00 | 1.7983E+00 | |
| Rank | 8 | 3 | 6 | 5 | 2 | 7 | 4 | 1 | |
| F5 | Best | 6.0731E+02 | 6.0007E+02 | 6.0018E+02 | 6.0852E+02 | 6.0000E+02 | 6.0516E+02 | 6.0720E+02 | 6.0000E+02 |
| Avg | 6.2141E+02 | 6.0133E+02 | 6.0043E+02 | 6.1743E+02 | 6.0003E+02 | 6.1352E+02 | 6.1785E+02 | 6.0001E+02 | |
| Std | 9.6906E+00 | 3.4964E+00 | 3.6358E-01 | 8.0170E+00 | 7.1318E-02 | 5.9790E+00 | 7.3533E+00 | 3.7882E-02 | |
| Rank | 8 | 4 | 3 | 6 | 2 | 5 | 7 | 1 | |
| F6 | Best | 7.2950E+02 | 7.1901E+02 | 7.2143E+02 | 7.3110E+02 | 7.1208E+02 | 7.1789E+02 | 7.2024E+02 | 7.1089E+02 |
| Avg | 7.6287E+02 | 7.3210E+02 | 7.3799E+02 | 7.5131E+02 | 7.1841E+02 | 7.4524E+02 | 7.4477E+02 | 7.1422E+02 | |
| Std | 1.8573E+01 | 7.9956E+00 | 7.6167E+00 | 1.3791E+01 | 5.0688E+00 | 1.3200E+01 | 1.3906E+01 | 3.3408E+00 | |
| Rank | 8 | 3 | 4 | 7 | 2 | 6 | 5 | 1 | |
| F7 | Best | 8.1459E+02 | 8.1186E+02 | 8.1230E+02 | 8.1247E+02 | 8.0100E+02 | 8.0995E+02 | 8.0995E+02 | 8.0199E+02 |
| Avg | 8.3687E+02 | 8.2398E+02 | 8.2517E+02 | 8.2672E+02 | 8.0576E+02 | 8.2235E+02 | 8.2341E+02 | 8.0829E+02 | |
| Std | 9.3431E+00 | 8.1097E+00 | 5.5161E+00 | 8.4988E+00 | 3.8371E+00 | 9.1874E+00 | 9.6601E+00 | 4.8839E+00 | |
| Rank | 8 | 5 | 6 | 7 | 1 | 3 | 4 | 2 | |
| F8 | Best | 9.2354E+02 | 9.0001E+02 | 9.0000E+02 | 9.2033E+02 | 9.0000E+02 | 9.1734E+02 | 9.2501E+02 | 9.0000E+02 |
| Avg | 1.0787E+03 | 9.0008E+02 | 9.0073E+02 | 1.0804E+03 | 9.0000E+02 | 1.0789E+03 | 1.0750E+03 | 9.0000E+02 | |
| Std | 1.2133E+02 | 1.2950E-01 | 1.8366E+00 | 1.4999E+02 | 4.7727E-08 | 1.4738E+02 | 1.3488E+02 | 0.0000E+00 | |
| Rank | 6 | 3 | 4 | 8 | 2 | 7 | 5 | 1 | |
| F9 | Best | 1.6251E+03 | 1.9746E+03 | 1.7746E+03 | 1.5390E+03 | 1.1735E+03 | 1.2540E+03 | 1.4894E+03 | 1.3769E+03 |
| Avg | 2.0675E+03 | 2.2216E+03 | 2.2668E+03 | 2.0639E+03 | 2.0169E+03 | 1.7952E+03 | 1.9113E+03 | 1.6773E+03 | |
| Std | 3.3508E+02 | 2.1401E+02 | 2.8930E+02 | 2.4145E+02 | 3.4517E+02 | 2.6213E+02 | 1.7724E+02 | 1.9887E+02 | |
| Rank | 6 | 7 | 8 | 5 | 4 | 2 | 3 | 1 | |
| F10 | Best | 1.1602E+03 | 1.1055E+03 | 1.1035E+03 | 1.1269E+03 | 1.1008E+03 | 1.1209E+03 | 1.1249E+03 | 1.1010E+03 |
| Avg | 1.2608E+03 | 1.1149E+03 | 1.1155E+03 | 1.1905E+03 | 1.1074E+03 | 1.1761E+03 | 1.1517E+03 | 1.1069E+03 | |
| Std | 9.8558E+01 | 9.8691E+00 | 1.2798E+01 | 1.1368E+02 | 4.5889E+00 | 4.5928E+01 | 3.4474E+01 | 6.5809E+00 | |
| Rank | 8 | 3 | 4 | 7 | 2 | 6 | 5 | 1 | |
| F11 | Best | 9.6759E+04 | 1.5531E+03 | 1.5929E+03 | 7.8112E+03 | 1.3209E+03 | 1.3186E+03 | 1.3186E+03 | 1.3186E+03 |
| Avg | 4.9010E+06 | 6.5012E+03 | 4.5646E+05 | 5.2419E+05 | 2.7239E+05 | 2.1391E+03 | 1.5788E+03 | 1.5028E+03 | |
| Std | 6.3820E+06 | 1.0932E+04 | 1.7416E+06 | 6.3214E+05 | 1.0482E+06 | 1.5224E+03 | 1.9574E+02 | 2.0539E+02 | |
| Rank | 8 | 4 | 6 | 7 | 5 | 3 | 2 | 1 | |
| F12 | Best | 1.9964E+03 | 1.3197E+03 | 1.3372E+03 | 1.9635E+03 | 1.3068E+03 | 1.4370E+03 | 1.3984E+03 | 1.3054E+03 |
| Avg | 1.5972E+04 | 1.4547E+03 | 1.5285E+03 | 5.1567E+03 | 1.4662E+03 | 1.8507E+03 | 1.8035E+03 | 1.4125E+03 | |
| Std | 1.8296E+04 | 1.2786E+02 | 2.2942E+02 | 3.9474E+03 | 1.4450E+02 | 3.1223E+02 | 3.3130E+02 | 1.3790E+02 | |
| Rank | 8 | 2 | 4 | 7 | 3 | 6 | 5 | 1 | |
| F13 | Best | 1.4708E+03 | 1.4134E+03 | 1.4164E+03 | 1.4568E+03 | 1.4031E+03 | 1.4341E+03 | 1.4255E+03 | 1.4010E+03 |
| Avg | 1.5422E+03 | 1.4266E+03 | 1.4281E+03 | 1.4852E+03 | 1.4174E+03 | 1.4893E+03 | 1.4674E+03 | 1.4181E+03 | |
| Std | 8.5245E+01 | 4.7795E+00 | 6.9769E+00 | 2.4760E+01 | 9.8792E+00 | 3.9156E+01 | 3.0306E+01 | 1.2380E+01 | |
| Rank | 8 | 3 | 4 | 6 | 1 | 7 | 5 | 2 | |
| F14 | Best | 1.6616E+03 | 1.5029E+03 | 1.5032E+03 | 1.6092E+03 | 1.5010E+03 | 1.5035E+03 | 1.5111E+03 | 1.5012E+03 |
| Avg | 2.5911E+03 | 1.5243E+03 | 1.5204E+03 | 1.8519E+03 | 1.5188E+03 | 1.6003E+03 | 1.5924E+03 | 1.5070E+03 | |
| Std | 1.0180E+03 | 2.2785E+01 | 1.8269E+01 | 2.4737E+02 | 1.8296E+01 | 6.0997E+01 | 7.2889E+01 | 7.3589E+00 | |
| Rank | 8 | 4 | 3 | 7 | 2 | 6 | 5 | 1 | |
| F15 | Best | 1.6103E+03 | 1.6081E+03 | 1.6176E+03 | 1.6546E+03 | 1.6018E+03 | 1.6014E+03 | 1.6033E+03 | 1.6006E+03 |
| Avg | 1.7834E+03 | 1.6557E+03 | 1.6565E+03 | 1.7715E+03 | 1.6153E+03 | 1.6999E+03 | 1.7159E+03 | 1.6043E+03 | |
| Std | 1.0502E+02 | 3.6519E+01 | 3.1351E+01 | 9.2316E+01 | 3.3264E+01 | 8.5837E+01 | 1.0326E+02 | 5.0260E+00 | |
| Rank | 8 | 3 | 4 | 7 | 2 | 5 | 6 | 1 | |
| F16 | Best | 1.7553E+03 | 1.7360E+03 | 1.7485E+03 | 1.7457E+03 | 1.7302E+03 | 1.7308E+03 | 1.7312E+03 | 1.7017E+03 |
| Avg | 1.7989E+03 | 1.7768E+03 | 1.7701E+03 | 1.7671E+03 | 1.7400E+03 | 1.7631E+03 | 1.7566E+03 | 1.7299E+03 | |
| Std | 4.2116E+01 | 2.2765E+01 | 1.4271E+01 | 1.4216E+01 | 1.0717E+01 | 3.0365E+01 | 1.3362E+01 | 1.9279E+01 | |
| Rank | 8 | 7 | 6 | 5 | 2 | 4 | 3 | 1 | |
| F17 | Best | 2.8667E+03 | 1.8246E+03 | 1.8271E+03 | 2.5924E+03 | 1.8212E+03 | 1.8265E+03 | 1.8252E+03 | 1.8020E+03 |
| Avg | 2.0116E+04 | 1.9457E+03 | 1.8840E+03 | 1.9664E+04 | 1.8541E+03 | 1.8945E+03 | 1.9137E+03 | 1.8248E+03 | |
| Std | 1.5720E+04 | 2.5294E+02 | 8.6589E+01 | 1.2765E+04 | 7.5336E+01 | 7.5361E+01 | 8.0518E+01 | 1.3687E+01 | |
| Rank | 8 | 6 | 3 | 7 | 2 | 4 | 5 | 1 | |
| F18 | Best | 1.9546E+03 | 1.9045E+03 | 1.9040E+03 | 1.9420E+03 | 1.9006E+03 | 1.9150E+03 | 1.9090E+03 | 1.9001E+03 |
| Avg | 3.0823E+03 | 1.9068E+03 | 1.9061E+03 | 2.1495E+03 | 1.9032E+03 | 1.9786E+03 | 1.9722E+03 | 1.9023E+03 | |
| Std | 1.8128E+03 | 2.4554E+00 | 2.0609E+00 | 2.5198E+02 | 2.2375E+00 | 4.0846E+01 | 4.6082E+01 | 1.4866E+00 | |
| Rank | 8 | 4 | 3 | 7 | 2 | 6 | 5 | 1 | |
| F19 | Best | 2.0621E+03 | 2.0468E+03 | 2.0591E+03 | 2.0313E+03 | 2.0210E+03 | 2.0390E+03 | 2.0316E+03 | 2.0003E+03 |
| Avg | 2.1270E+03 | 2.0950E+03 | 2.0955E+03 | 2.1223E+03 | 2.0391E+03 | 2.0841E+03 | 2.1185E+03 | 2.0217E+03 | |
| Std | 4.6113E+01 | 3.6929E+01 | 3.5544E+01 | 5.8736E+01 | 1.5298E+01 | 3.6869E+01 | 5.7480E+01 | 1.2913E+01 | |
| Rank | 8 | 4 | 5 | 7 | 2 | 3 | 6 | 1 | |
| F20 | Best | 2.2086E+03 | 2.2036E+03 | 2.2066E+03 | 2.2028E+03 | 2.2000E+03 | 2.2024E+03 | 2.2022E+03 | 2.2000E+03 |
| Avg | 2.2536E+03 | 2.2950E+03 | 2.2943E+03 | 2.2578E+03 | 2.2782E+03 | 2.2599E+03 | 2.2468E+03 | 2.2711E+03 | |
| Std | 5.2251E+01 | 4.6092E+01 | 4.1245E+01 | 6.1546E+01 | 4.7641E+01 | 6.3311E+01 | 6.4381E+01 | 5.0488E+01 | |
| Rank | 2 | 8 | 7 | 3 | 6 | 4 | 1 | 5 | |
| F21 | Best | 2.2577E+03 | 2.2118E+03 | 2.2121E+03 | 2.2469E+03 | 2.2116E+03 | 2.2116E+03 | 2.2457E+03 | 2.2000E+03 |
| Avg | 2.3184E+03 | 2.2907E+03 | 2.2846E+03 | 2.3068E+03 | 2.2882E+03 | 2.2966E+03 | 2.3037E+03 | 2.2882E+03 | |
| Std | 2.8828E+01 | 3.2387E+01 | 3.3724E+01 | 1.7493E+01 | 3.1126E+01 | 3.6065E+01 | 1.7765E+01 | 3.1550E+01 | |
| Rank | 8 | 4 | 1 | 7 | 2 | 5 | 6 | 3 | |
| F22 | Best | 2.6198E+03 | 2.6031E+03 | 2.6074E+03 | 2.6139E+03 | 2.6000E+03 | 2.6115E+03 | 2.6098E+03 | 2.6043E+03 |
| Avg | 2.6346E+03 | 2.6188E+03 | 2.6225E+03 | 2.6262E+03 | 2.6104E+03 | 2.6239E+03 | 2.6200E+03 | 2.6083E+03 | |
| Std | 1.9097E+01 | 8.1275E+00 | 1.2546E+01 | 9.3875E+00 | 6.1417E+00 | 9.8880E+00 | 6.8405E+00 | 2.7440E+00 | |
| Rank | 8 | 3 | 5 | 7 | 2 | 6 | 4 | 1 | |
| F23 | Best | 2.5475E+03 | 2.6093E+03 | 2.6808E+03 | 2.5317E+03 | 2.5000E+03 | 2.5000E+03 | 2.5000E+03 | 2.5000E+03 |
| Avg | 2.7375E+03 | 2.7361E+03 | 2.7449E+03 | 2.7127E+03 | 2.7120E+03 | 2.7204E+03 | 2.7009E+03 | 2.7058E+03 | |
| Std | 6.7204E+01 | 3.5875E+01 | 1.8709E+01 | 8.4827E+01 | 6.9021E+01 | 9.1787E+01 | 1.0415E+02 | 8.3745E+01 | |
| Rank | 7 | 6 | 8 | 4 | 3 | 5 | 1 | 2 | |
| F24 | Best | 2.9133E+03 | 2.8977E+03 | 2.8977E+03 | 2.8990E+03 | 2.8981E+03 | 2.8978E+03 | 2.8981E+03 | 2.8977E+03 |
| Avg | 2.9530E+03 | 2.9247E+03 | 2.9286E+03 | 2.9479E+03 | 2.9487E+03 | 2.9363E+03 | 2.9407E+03 | 2.9366E+03 | |
| Std | 2.3641E+01 | 3.4790E+01 | 3.5185E+01 | 4.4075E+01 | 3.4622E+01 | 2.3095E+01 | 4.2636E+01 | 2.9542E+01 | |
| Rank | 8 | 1 | 2 | 6 | 7 | 3 | 5 | 4 | |
| F25 | Best | 2.9206E+03 | 2.9002E+03 | 2.9002E+03 | 2.9055E+03 | 2.8000E+03 | 2.6000E+03 | 2.8000E+03 | 2.9000E+03 |
| Avg | 3.1026E+03 | 2.9436E+03 | 2.9230E+03 | 3.0276E+03 | 2.9265E+03 | 3.0110E+03 | 3.0082E+03 | 2.9230E+03 | |
| Std | 1.0755E+02 | 5.2072E+01 | 3.9557E+01 | 8.5862E+01 | 6.6434E+01 | 1.8356E+02 | 1.0894E+02 | 5.3723E+01 | |
| Rank | 8 | 4 | 1 | 7 | 3 | 6 | 5 | 2 | |
| F26 | Best | 3.0914E+03 | 3.0891E+03 | 3.0894E+03 | 3.0900E+03 | 3.0893E+03 | 3.0884E+03 | 3.0765E+03 | 3.0884E+03 |
| Avg | 3.1013E+03 | 3.0927E+03 | 3.0991E+03 | 3.0950E+03 | 3.1013E+03 | 3.0945E+03 | 3.0911E+03 | 3.0959E+03 | |
| Std | 1.1701E+01 | 3.5382E+00 | 1.6515E+01 | 3.6588E+00 | 1.8993E+01 | 4.9097E+00 | 6.5488E+00 | 1.0550E+01 | |
| Rank | 7 | 2 | 6 | 4 | 8 | 3 | 1 | 5 | |
| F27 | Best | 3.1801E+03 | 3.1647E+03 | 3.1687E+03 | 3.1968E+03 | 3.2087E+03 | 3.1000E+03 | 3.1000E+03 | 3.1000E+03 |
| Avg | 3.4163E+03 | 3.3593E+03 | 3.3706E+03 | 3.4279E+03 | 3.4421E+03 | 3.2530E+03 | 3.2478E+03 | 3.2558E+03 | |
| Std | 1.3588E+02 | 8.5758E+01 | 9.8072E+01 | 1.4533E+02 | 1.3197E+02 | 5.4080E+01 | 5.5797E+01 | 4.7561E+01 | |
| Rank | 6 | 4 | 5 | 7 | 8 | 2 | 1 | 3 | |
| F28 | Best | 3.1753E+03 | 3.1573E+03 | 3.1556E+03 | 3.1696E+03 | 3.1415E+03 | 3.1488E+03 | 3.1615E+03 | 3.1285E+03 |
| Avg | 3.2381E+03 | 3.2076E+03 | 3.2025E+03 | 3.2541E+03 | 3.1693E+03 | 3.2309E+03 | 3.2427E+03 | 3.1616E+03 | |
| Std | 4.2469E+01 | 3.7233E+01 | 3.2331E+01 | 6.4757E+01 | 3.4182E+01 | 7.1347E+01 | 6.2455E+01 | 4.3286E+01 | |
| Rank | 6 | 4 | 3 | 8 | 2 | 5 | 7 | 1 | |
| F29 | Best | 1.9416E+04 | 3.6599E+03 | 3.7610E+03 | 7.4945E+03 | 3.5050E+03 | 3.2322E+03 | 3.2439E+03 | 3.2239E+03 |
| Avg | 8.0401E+05 | 4.8655E+05 | 6.3152E+05 | 8.5133E+05 | 3.2142E+05 | 3.4133E+03 | 3.4298E+03 | 3.4510E+03 | |
| Std | 7.4313E+05 | 7.3926E+05 | 1.0372E+06 | 8.1339E+05 | 4.7485E+05 | 1.3867E+02 | 8.6260E+01 | 4.7789E+02 | |
| Rank | 7 | 5 | 6 | 8 | 4 | 1 | 2 | 3 |
| No. | Index | ECO | ECO-R | ECO-P | ECO-T | ECO-RP | ECO-RT | ECO-PT | EECO |
|---|---|---|---|---|---|---|---|---|---|
| F1 | Best | 1.5106E+09 | 1.2621E+07 | 2.8527E+07 | 1.9648E+08 | 4.3121E+05 | 1.0000E+02 | 1.0000E+02 | 1.0000E+02 |
| Avg | 7.7062E+09 | 1.4281E+09 | 1.0271E+09 | 1.5388E+09 | 2.5736E+07 | 1.0003E+02 | 1.0000E+02 | 1.0000E+02 | |
| Std | 3.5527E+09 | 2.7110E+09 | 1.7790E+09 | 1.1116E+09 | 2.2270E+07 | 1.1957E-01 | 4.0902E-07 | 5.3627E-10 | |
| Rank | 8 | 6 | 5 | 7 | 4 | 3 | 2 | 1 | |
| F2 | Best | 3.1205E+04 | 8.7174E+02 | 1.9051E+03 | 1.2223E+04 | 1.0580E+03 | 3.0000E+02 | 3.0000E+02 | 3.0000E+02 |
| Avg | 5.2052E+04 | 4.1547E+03 | 6.8564E+03 | 2.9623E+04 | 3.6491E+03 | 3.0000E+02 | 3.0000E+02 | 3.0000E+02 | |
| Std | 1.2534E+04 | 2.9907E+03 | 4.0857E+03 | 9.6754E+03 | 2.1574E+03 | 2.5582E-06 | 3.3100E-06 | 6.9834E-13 | |
| Rank | 8 | 5 | 6 | 7 | 4 | 2 | 3 | 1 | |
| F3 | Best | 7.6180E+02 | 5.1010E+02 | 4.9059E+02 | 5.6375E+02 | 4.8396E+02 | 4.0000E+02 | 4.0000E+02 | 4.0000E+02 |
| Avg | 1.1569E+03 | 5.7615E+02 | 6.0134E+02 | 6.1614E+02 | 5.1568E+02 | 4.0292E+02 | 4.0186E+02 | 4.0186E+02 | |
| Std | 3.0717E+02 | 1.1645E+02 | 1.6387E+02 | 3.4472E+01 | 2.0865E+01 | 1.8248E+00 | 2.0587E+00 | 2.0587E+00 | |
| Rank | 8 | 5 | 6 | 7 | 4 | 3 | 2 | 1 | |
| F4 | Best | 6.5226E+02 | 5.7103E+02 | 6.4876E+02 | 6.1010E+02 | 5.3872E+02 | 5.6865E+02 | 5.9751E+02 | 5.1990E+02 |
| Avg | 7.4363E+02 | 6.6984E+02 | 6.8004E+02 | 6.9766E+02 | 5.9287E+02 | 6.4029E+02 | 6.6788E+02 | 5.4245E+02 | |
| Std | 4.8611E+01 | 2.9971E+01 | 1.9930E+01 | 4.1417E+01 | 4.0202E+01 | 4.6932E+01 | 3.6561E+01 | 2.4699E+01 | |
| Rank | 8 | 5 | 6 | 7 | 2 | 3 | 4 | 1 | |
| F5 | Best | 6.2982E+02 | 6.0400E+02 | 6.0684E+02 | 6.3117E+02 | 6.0169E+02 | 6.2765E+02 | 6.2896E+02 | 6.0122E+02 |
| Avg | 6.4819E+02 | 6.1194E+02 | 6.1264E+02 | 6.4854E+02 | 6.0472E+02 | 6.4103E+02 | 6.4104E+02 | 6.0340E+02 | |
| Std | 9.6799E+00 | 5.1610E+00 | 5.4919E+00 | 1.0872E+01 | 2.9547E+00 | 8.7933E+00 | 8.3689E+00 | 1.7467E+00 | |
| Rank | 7 | 3 | 4 | 8 | 2 | 5 | 6 | 1 | |
| F6 | Best | 9.4885E+02 | 8.6284E+02 | 8.8462E+02 | 9.3392E+02 | 8.0285E+02 | 8.7394E+02 | 8.7878E+02 | 7.4415E+02 |
| Avg | 1.1363E+03 | 9.2356E+02 | 9.2254E+02 | 1.0385E+03 | 8.6304E+02 | 9.6458E+02 | 9.7754E+02 | 7.6706E+02 | |
| Std | 1.0150E+02 | 3.9180E+01 | 2.8961E+01 | 7.8808E+01 | 2.6589E+01 | 6.7735E+01 | 7.4369E+01 | 1.6126E+01 | |
| Rank | 8 | 4 | 3 | 7 | 2 | 5 | 6 | 1 | |
| F7 | Best | 9.6946E+02 | 9.3324E+02 | 9.3928E+02 | 9.0278E+02 | 8.2132E+02 | 9.0745E+02 | 8.7263E+02 | 8.1094E+02 |
| Avg | 1.0281E+03 | 9.8026E+02 | 9.8227E+02 | 9.6252E+02 | 8.9738E+02 | 9.5535E+02 | 9.3193E+02 | 8.2633E+02 | |
| Std | 3.4838E+01 | 2.8684E+01 | 2.3951E+01 | 3.5315E+01 | 3.5235E+01 | 3.2893E+01 | 3.4829E+01 | 1.0768E+01 | |
| Rank | 8 | 6 | 7 | 5 | 2 | 4 | 3 | 1 | |
| F8 | Best | 3.7868E+03 | 9.5982E+02 | 9.7128E+02 | 3.1158E+03 | 9.1764E+02 | 2.2491E+03 | 2.3138E+03 | 9.0235E+02 |
| Avg | 6.6297E+03 | 1.4558E+03 | 1.2863E+03 | 5.1900E+03 | 1.1957E+03 | 3.6962E+03 | 3.6514E+03 | 1.0753E+03 | |
| Std | 1.7678E+03 | 5.5181E+02 | 2.7043E+02 | 1.8027E+03 | 2.9774E+02 | 1.2067E+03 | 9.4916E+02 | 2.6070E+02 | |
| Rank | 8 | 4 | 3 | 7 | 2 | 6 | 5 | 1 | |
| F9 | Best | 6.5418E+03 | 6.3440E+03 | 7.0759E+03 | 5.4871E+03 | 4.8488E+03 | 4.0567E+03 | 4.0790E+03 | 4.0675E+03 |
| Avg | 7.4701E+03 | 7.4236E+03 | 8.0889E+03 | 6.7432E+03 | 7.2895E+03 | 4.8989E+03 | 5.1966E+03 | 5.0357E+03 | |
| Std | 5.0869E+02 | 6.1233E+02 | 5.5973E+02 | 7.8718E+02 | 9.3952E+02 | 5.1170E+02 | 5.9389E+02 | 5.9698E+02 | |
| Rank | 7 | 6 | 8 | 4 | 5 | 1 | 3 | 2 | |
| F10 | Best | 1.4005E+03 | 1.1892E+03 | 1.2037E+03 | 1.2586E+03 | 1.1220E+03 | 1.1667E+03 | 1.1438E+03 | 1.1318E+03 |
| Avg | 2.4572E+03 | 1.2613E+03 | 1.2827E+03 | 1.4142E+03 | 1.1802E+03 | 1.2338E+03 | 1.2346E+03 | 1.1611E+03 | |
| Std | 6.0466E+02 | 5.5683E+01 | 1.0807E+02 | 1.0508E+02 | 3.7790E+01 | 4.8871E+01 | 6.0679E+01 | 2.1430E+01 | |
| Rank | 8 | 5 | 6 | 7 | 2 | 3 | 4 | 1 | |
| F11 | Best | 4.0632E+07 | 1.0030E+05 | 3.5878E+05 | 6.5983E+06 | 5.0402E+03 | 1.6490E+03 | 1.7116E+03 | 1.6653E+03 |
| Avg | 3.7988E+08 | 3.7370E+07 | 7.7752E+06 | 2.7562E+07 | 2.8178E+05 | 2.5964E+03 | 4.9496E+03 | 2.3615E+03 | |
| Std | 2.9301E+08 | 9.4521E+07 | 1.5554E+07 | 3.0189E+07 | 4.7958E+05 | 7.3408E+02 | 6.0188E+03 | 4.0135E+02 | |
| Rank | 8 | 7 | 5 | 6 | 4 | 2 | 3 | 1 | |
| F12 | Best | 1.5773E+05 | 1.5525E+04 | 2.4240E+04 | 3.5489E+04 | 3.6691E+03 | 2.1581E+03 | 2.0606E+03 | 1.5151E+03 |
| Avg | 3.9887E+06 | 4.5509E+04 | 5.4911E+04 | 1.3226E+05 | 1.1289E+04 | 3.6466E+03 | 3.3834E+03 | 2.2556E+03 | |
| Std | 7.3126E+06 | 2.5748E+04 | 2.0264E+04 | 9.5507E+04 | 7.9113E+03 | 1.1719E+03 | 7.8453E+02 | 6.0513E+02 | |
| Rank | 8 | 5 | 6 | 7 | 4 | 3 | 2 | 1 | |
| F13 | Best | 1.9405E+04 | 1.5170E+03 | 1.5180E+03 | 1.9972E+03 | 1.4547E+03 | 1.5167E+03 | 1.5089E+03 | 1.4290E+03 |
| Avg | 2.0366E+05 | 1.5933E+03 | 1.5740E+03 | 1.7909E+04 | 1.4818E+03 | 1.6571E+03 | 1.6318E+03 | 1.4809E+03 | |
| Std | 1.8579E+05 | 1.3154E+02 | 3.4393E+01 | 3.3564E+04 | 2.4028E+01 | 8.9175E+01 | 6.7059E+01 | 3.7896E+01 | |
| Rank | 8 | 4 | 3 | 7 | 2 | 6 | 5 | 1 | |
| F14 | Best | 1.4059E+04 | 2.1148E+03 | 2.1998E+03 | 7.5684E+03 | 1.7285E+03 | 1.5716E+03 | 1.5804E+03 | 1.5598E+03 |
| Avg | 4.2983E+05 | 5.0697E+03 | 8.8400E+03 | 6.8526E+04 | 2.1135E+03 | 1.8774E+03 | 1.7819E+03 | 1.6608E+03 | |
| Std | 1.2268E+06 | 2.9651E+03 | 8.6126E+03 | 5.7556E+04 | 3.5867E+02 | 3.6014E+02 | 1.5244E+02 | 4.9470E+01 | |
| Rank | 8 | 5 | 6 | 7 | 4 | 3 | 2 | 1 | |
| F15 | Best | 2.6898E+03 | 2.3336E+03 | 2.4629E+03 | 2.5848E+03 | 1.7160E+03 | 1.9750E+03 | 2.3100E+03 | 1.6027E+03 |
| Avg | 3.1720E+03 | 2.7933E+03 | 2.9451E+03 | 3.0091E+03 | 2.0782E+03 | 2.5766E+03 | 2.7050E+03 | 1.8519E+03 | |
| Std | 2.9296E+02 | 2.7696E+02 | 2.8682E+02 | 2.7534E+02 | 2.7633E+02 | 2.9623E+02 | 2.9820E+02 | 2.1228E+02 | |
| Rank | 8 | 5 | 6 | 7 | 2 | 3 | 4 | 1 | |
| F16 | Best | 2.1910E+03 | 1.8304E+03 | 1.8650E+03 | 1.9721E+03 | 1.7834E+03 | 1.8629E+03 | 1.9335E+03 | 1.7361E+03 |
| Avg | 2.4576E+03 | 2.0697E+03 | 2.1045E+03 | 2.2878E+03 | 1.8700E+03 | 2.1524E+03 | 2.2462E+03 | 1.8085E+03 | |
| Std | 2.2819E+02 | 1.5677E+02 | 1.8707E+02 | 2.3365E+02 | 1.1447E+02 | 1.8401E+02 | 2.3419E+02 | 7.7009E+01 | |
| Rank | 8 | 3 | 4 | 7 | 2 | 5 | 6 | 1 | |
| F17 | Best | 8.0686E+04 | 2.2224E+03 | 2.3376E+03 | 5.7372E+04 | 1.9583E+03 | 1.8886E+03 | 1.8660E+03 | 1.8689E+03 |
| Avg | 1.2248E+06 | 5.6642E+03 | 5.4309E+03 | 1.3309E+05 | 2.1134E+03 | 2.0484E+03 | 7.1229E+03 | 1.9368E+03 | |
| Std | 1.0334E+06 | 5.2587E+03 | 3.2327E+03 | 7.6701E+04 | 1.4917E+02 | 1.3175E+02 | 9.2773E+03 | 5.3946E+01 | |
| Rank | 8 | 5 | 4 | 7 | 3 | 2 | 6 | 1 | |
| F18 | Best | 2.3623E+04 | 2.0776E+03 | 2.2630E+03 | 2.0819E+04 | 1.9433E+03 | 2.0542E+03 | 2.1738E+03 | 1.9224E+03 |
| Avg | 9.8455E+06 | 2.7398E+03 | 3.7883E+03 | 2.8909E+05 | 2.0020E+03 | 2.2486E+03 | 6.0659E+03 | 1.9971E+03 | |
| Std | 2.9716E+07 | 1.2678E+03 | 1.7637E+03 | 3.9419E+05 | 4.2065E+01 | 1.7149E+02 | 9.5810E+03 | 5.4650E+01 | |
| Rank | 8 | 4 | 5 | 7 | 2 | 3 | 6 | 1 | |
| F19 | Best | 2.3612E+03 | 2.2060E+03 | 2.3893E+03 | 2.3155E+03 | 2.1107E+03 | 2.2834E+03 | 2.2706E+03 | 2.0256E+03 |
| Avg | 2.6477E+03 | 2.5218E+03 | 2.6138E+03 | 2.5671E+03 | 2.2396E+03 | 2.5382E+03 | 2.5171E+03 | 2.0490E+03 | |
| Std | 1.6299E+02 | 2.0224E+02 | 1.2031E+02 | 1.6249E+02 | 1.5026E+02 | 1.5133E+02 | 1.7044E+02 | 1.6675E+01 | |
| Rank | 8 | 4 | 7 | 6 | 2 | 5 | 3 | 1 | |
| F20 | Best | 2.4608E+03 | 2.3833E+03 | 2.3928E+03 | 2.4110E+03 | 2.3267E+03 | 2.3459E+03 | 2.3816E+03 | 2.3131E+03 |
| Avg | 2.5363E+03 | 2.4466E+03 | 2.4557E+03 | 2.4627E+03 | 2.3686E+03 | 2.4229E+03 | 2.4155E+03 | 2.3354E+03 | |
| Std | 4.4288E+01 | 3.4518E+01 | 2.8925E+01 | 4.1230E+01 | 3.2884E+01 | 4.0401E+01 | 3.4676E+01 | 2.8757E+01 | |
| Rank | 8 | 5 | 6 | 7 | 2 | 4 | 3 | 1 | |
| F21 | Best | 2.9319E+03 | 2.4166E+03 | 2.4519E+03 | 2.4245E+03 | 2.3151E+03 | 2.3000E+03 | 2.3000E+03 | 2.3000E+03 |
| Avg | 5.2722E+03 | 3.8404E+03 | 3.7365E+03 | 4.0317E+03 | 2.4357E+03 | 4.2838E+03 | 3.3425E+03 | 2.4892E+03 | |
| Std | 2.2308E+03 | 1.9855E+03 | 1.4409E+03 | 2.3439E+03 | 1.7241E+02 | 2.2360E+03 | 1.8245E+03 | 7.3176E+02 | |
| Rank | 8 | 5 | 4 | 6 | 1 | 7 | 3 | 2 | |
| F22 | Best | 2.8757E+03 | 2.7724E+03 | 2.7939E+03 | 2.8340E+03 | 2.6626E+03 | 2.7538E+03 | 2.7725E+03 | 2.6611E+03 |
| Avg | 2.9241E+03 | 2.8348E+03 | 2.8377E+03 | 2.8858E+03 | 2.7156E+03 | 2.8427E+03 | 2.8402E+03 | 2.6858E+03 | |
| Std | 5.1046E+01 | 4.9513E+01 | 2.8745E+01 | 4.1342E+01 | 2.7234E+01 | 6.6398E+01 | 4.8614E+01 | 2.3121E+01 | |
| Rank | 8 | 3 | 4 | 7 | 2 | 6 | 5 | 1 | |
| F23 | Best | 2.9973E+03 | 2.9517E+03 | 2.9748E+03 | 2.9414E+03 | 2.8469E+03 | 2.8932E+03 | 2.9091E+03 | 2.8326E+03 |
| Avg | 3.0785E+03 | 3.0189E+03 | 3.0171E+03 | 3.0169E+03 | 2.8805E+03 | 2.9699E+03 | 2.9674E+03 | 2.8743E+03 | |
| Std | 4.9058E+01 | 7.3977E+01 | 4.6858E+01 | 5.1718E+01 | 3.3433E+01 | 5.0838E+01 | 5.3107E+01 | 3.4835E+01 | |
| Rank | 8 | 7 | 6 | 5 | 2 | 4 | 3 | 1 | |
| F24 | Best | 3.1117E+03 | 2.8935E+03 | 2.9100E+03 | 2.9610E+03 | 2.8858E+03 | 2.8751E+03 | 2.8752E+03 | 2.8755E+03 |
| Avg | 3.3040E+03 | 2.9302E+03 | 2.9345E+03 | 3.0151E+03 | 2.9057E+03 | 2.8774E+03 | 2.8771E+03 | 2.8831E+03 | |
| Std | 1.6689E+02 | 4.1794E+01 | 4.7959E+01 | 3.8322E+01 | 1.7430E+01 | 2.5243E+00 | 3.2926E+00 | 1.6523E+01 | |
| Rank | 8 | 5 | 6 | 7 | 4 | 2 | 1 | 3 | |
| F25 | Best | 5.3487E+03 | 3.1305E+03 | 3.3116E+03 | 5.3269E+03 | 3.2700E+03 | 2.9000E+03 | 4.6602E+03 | 3.5533E+03 |
| Avg | 6.6579E+03 | 4.8493E+03 | 5.2204E+03 | 5.8677E+03 | 4.1412E+03 | 4.9630E+03 | 5.3942E+03 | 3.9352E+03 | |
| Std | 6.6267E+02 | 1.0060E+03 | 7.6924E+02 | 5.0783E+02 | 4.0722E+02 | 1.4750E+03 | 5.1564E+02 | 2.2284E+02 | |
| Rank | 8 | 3 | 5 | 7 | 2 | 4 | 6 | 1 | |
| F26 | Best | 3.2547E+03 | 3.2176E+03 | 3.2233E+03 | 3.2314E+03 | 3.2085E+03 | 3.1688E+03 | 3.1636E+03 | 3.1264E+03 |
| Avg | 3.3182E+03 | 3.2536E+03 | 3.2488E+03 | 3.2872E+03 | 3.2505E+03 | 3.1979E+03 | 3.1936E+03 | 3.1792E+03 | |
| Std | 3.7827E+01 | 3.0498E+01 | 2.5436E+01 | 4.4111E+01 | 3.1063E+01 | 8.0688E+00 | 1.3284E+01 | 1.8144E+01 | |
| Rank | 8 | 6 | 4 | 7 | 5 | 3 | 2 | 1 | |
| F27 | Best | 3.4442E+03 | 3.2703E+03 | 3.2752E+03 | 3.3682E+03 | 3.2251E+03 | 3.1000E+03 | 3.1000E+03 | 3.1000E+03 |
| Avg | 4.2056E+03 | 3.3369E+03 | 3.3592E+03 | 3.5233E+03 | 3.2808E+03 | 3.1507E+03 | 3.1227E+03 | 3.1320E+03 | |
| Std | 6.9418E+02 | 6.6577E+01 | 8.3898E+01 | 1.1054E+02 | 3.6798E+01 | 7.8381E+01 | 4.7573E+01 | 5.6754E+01 | |
| Rank | 8 | 5 | 6 | 7 | 4 | 3 | 1 | 2 | |
| F28 | Best | 4.1256E+03 | 3.6850E+03 | 3.6488E+03 | 3.7986E+03 | 3.4876E+03 | 3.4398E+03 | 3.5460E+03 | 3.3836E+03 |
| Avg | 4.5468E+03 | 3.9772E+03 | 4.0779E+03 | 4.4144E+03 | 3.6942E+03 | 4.0674E+03 | 4.1826E+03 | 3.5263E+03 | |
| Std | 2.2051E+02 | 1.7627E+02 | 3.8359E+02 | 3.5171E+02 | 1.6609E+02 | 2.9184E+02 | 3.4894E+02 | 9.7478E+01 | |
| Rank | 8 | 3 | 5 | 7 | 2 | 4 | 6 | 1 | |
| F29 | Best | 1.5259E+06 | 1.4114E+04 | 3.0712E+04 | 2.2365E+05 | 8.9715E+03 | 3.3970E+03 | 3.4184E+03 | 3.4105E+03 |
| Avg | 1.5448E+07 | 7.0342E+04 | 1.3357E+05 | 2.0004E+06 | 2.1761E+04 | 4.0381E+03 | 4.3288E+03 | 3.7782E+03 | |
| Std | 1.9800E+07 | 5.8297E+04 | 1.9060E+05 | 1.7810E+06 | 1.1941E+04 | 1.3977E+03 | 1.6741E+03 | 3.7754E+02 | |
| Rank | 8 | 5 | 6 | 7 | 4 | 2 | 3 | 1 |
| No. | Index | ECO | ECO-R | ECO-P | ECO-T | ECO-RP | ECO-RT | ECO-PT | EECO |
|---|---|---|---|---|---|---|---|---|---|
| F1 | Best | 1.4874E+10 | 1.7123E+09 | 1.6333E+09 | 3.8342E+09 | 4.6351E+08 | 1.0000E+02 | 1.0000E+02 | 1.0000E+02 |
| Avg | 2.9614E+10 | 9.8341E+09 | 8.8323E+09 | 8.3151E+09 | 1.1693E+09 | 1.0000E+02 | 1.0000E+02 | 1.0000E+02 | |
| Std | 1.5809E+10 | 9.7645E+09 | 9.6953E+09 | 3.0841E+09 | 7.0789E+08 | 4.3406E-06 | 9.5542E-06 | 7.7591E-08 | |
| Rank | 8 | 7 | 6 | 5 | 4 | 2 | 3 | 1 | |
| F2 | Best | 8.6958E+04 | 1.3413E+04 | 1.7793E+04 | 4.0427E+04 | 1.1476E+04 | 3.0000E+02 | 3.0006E+02 | 3.0000E+02 |
| Avg | 1.1643E+05 | 3.0235E+04 | 2.7543E+04 | 5.6692E+04 | 1.8150E+04 | 3.0000E+02 | 3.1669E+02 | 3.0000E+02 | |
| Std | 2.9299E+04 | 1.0143E+04 | 1.0143E+04 | 1.1521E+04 | 5.1606E+03 | 2.1733E-05 | 4.3195E+01 | 1.0301E-08 | |
| Rank | 8 | 6 | 5 | 7 | 4 | 2 | 3 | 1 | |
| F3 | Best | 2.7984E+03 | 8.2303E+02 | 7.2959E+02 | 9.1188E+02 | 6.0870E+02 | 4.0000E+02 | 4.0000E+02 | 4.0000E+02 |
| Avg | 4.8313E+03 | 1.2752E+03 | 1.0869E+03 | 1.5008E+03 | 7.0146E+02 | 4.0100E+02 | 4.0335E+02 | 4.0199E+02 | |
| Std | 1.7254E+03 | 7.0589E+02 | 6.0638E+02 | 3.6545E+02 | 1.0995E+02 | 1.8454E+00 | 5.6149E+00 | 2.1309E+00 | |
| Rank | 8 | 6 | 5 | 7 | 4 | 1 | 3 | 2 | |
| F4 | Best | 8.1635E+02 | 8.2108E+02 | 8.2996E+02 | 7.9781E+02 | 7.3342E+02 | 6.9402E+02 | 7.0297E+02 | 5.4676E+02 |
| Avg | 9.6664E+02 | 8.5429E+02 | 8.7278E+02 | 8.8026E+02 | 7.8505E+02 | 7.9612E+02 | 7.8916E+02 | 5.7935E+02 | |
| Std | 7.3984E+01 | 2.7265E+01 | 3.6789E+01 | 5.0990E+01 | 3.0231E+01 | 7.3018E+01 | 5.0677E+01 | 2.5971E+01 | |
| Rank | 8 | 5 | 6 | 7 | 2 | 4 | 3 | 1 | |
| F5 | Best | 6.5941E+02 | 6.2107E+02 | 6.1759E+02 | 6.5943E+02 | 6.1138E+02 | 6.4507E+02 | 6.4595E+02 | 6.0232E+02 |
| Avg | 6.7160E+02 | 6.2904E+02 | 6.2871E+02 | 6.6862E+02 | 6.1788E+02 | 6.5061E+02 | 6.5496E+02 | 6.0987E+02 | |
| Std | 8.1593E+00 | 5.2394E+00 | 6.4558E+00 | 5.7197E+00 | 5.4146E+00 | 5.0228E+00 | 4.4183E+00 | 3.7701E+00 | |
| Rank | 8 | 4 | 3 | 7 | 2 | 5 | 6 | 1 | |
| F6 | Best | 1.3615E+03 | 1.0351E+03 | 1.0313E+03 | 1.3257E+03 | 9.8508E+02 | 1.1267E+03 | 1.1796E+03 | 8.0582E+02 |
| Avg | 1.6051E+03 | 1.1570E+03 | 1.1891E+03 | 1.4802E+03 | 1.0949E+03 | 1.2739E+03 | 1.3760E+03 | 8.7598E+02 | |
| Std | 1.5625E+02 | 7.3118E+01 | 1.0628E+02 | 9.2225E+01 | 7.6483E+01 | 8.4439E+01 | 1.1379E+02 | 7.8800E+01 | |
| Rank | 8 | 3 | 4 | 7 | 2 | 5 | 6 | 1 | |
| F7 | Best | 1.2552E+03 | 1.1264E+03 | 1.0823E+03 | 1.0244E+03 | 1.0105E+03 | 1.0209E+03 | 9.8705E+02 | 8.3582E+02 |
| Avg | 1.3222E+03 | 1.1789E+03 | 1.1675E+03 | 1.1122E+03 | 1.0671E+03 | 1.1046E+03 | 1.0423E+03 | 8.6753E+02 | |
| Std | 5.8474E+01 | 2.9432E+01 | 4.1376E+01 | 5.7318E+01 | 4.6133E+01 | 6.1297E+01 | 3.5181E+01 | 2.2648E+01 | |
| Rank | 8 | 7 | 6 | 5 | 3 | 4 | 2 | 1 | |
| F8 | Best | 1.6640E+04 | 1.7049E+03 | 2.5857E+03 | 9.2717E+03 | 2.5501E+03 | 7.5756E+03 | 5.8310E+03 | 1.0153E+03 |
| Avg | 2.1625E+04 | 4.8220E+03 | 6.0812E+03 | 1.5193E+04 | 3.5753E+03 | 1.0058E+04 | 8.4329E+03 | 1.6855E+03 | |
| Std | 6.6129E+03 | 4.2760E+03 | 6.3383E+03 | 6.0349E+03 | 1.1918E+03 | 2.1674E+03 | 1.9709E+03 | 4.7646E+02 | |
| Rank | 8 | 3 | 4 | 7 | 2 | 6 | 5 | 1 | |
| F9 | Best | 1.0599E+04 | 1.1526E+04 | 1.2637E+04 | 1.0489E+04 | 1.0624E+04 | 6.2082E+03 | 6.8800E+03 | 6.4855E+03 |
| Avg | 1.2343E+04 | 1.3299E+04 | 1.3972E+04 | 1.1267E+04 | 1.2558E+04 | 7.5381E+03 | 8.2826E+03 | 7.4470E+03 | |
| Std | 1.2418E+03 | 1.3735E+03 | 7.6840E+02 | 6.5535E+02 | 1.2915E+03 | 6.5971E+02 | 1.0427E+03 | 8.5769E+02 | |
| Rank | 5 | 7 | 8 | 4 | 6 | 2 | 3 | 1 | |
| F10 | Best | 2.6975E+03 | 1.3878E+03 | 1.3264E+03 | 1.8208E+03 | 1.2738E+03 | 1.2572E+03 | 1.2313E+03 | 1.1786E+03 |
| Avg | 7.5659E+03 | 1.6097E+03 | 1.6201E+03 | 2.2931E+03 | 1.3425E+03 | 1.3175E+03 | 1.3173E+03 | 1.2298E+03 | |
| Std | 4.5208E+03 | 2.3855E+02 | 3.9884E+02 | 3.8392E+02 | 5.9890E+01 | 4.2936E+01 | 6.7230E+01 | 3.4289E+01 | |
| Rank | 8 | 5 | 6 | 7 | 4 | 3 | 2 | 1 | |
| F11 | Best | 1.9510E+09 | 8.3336E+06 | 3.7849E+06 | 1.5806E+08 | 1.7923E+06 | 2.8989E+03 | 4.6668E+03 | 2.3988E+03 |
| Avg | 4.4511E+09 | 5.9950E+07 | 7.7960E+07 | 3.3635E+08 | 7.4344E+06 | 5.8561E+03 | 2.5439E+04 | 3.8381E+03 | |
| Std | 3.5347E+09 | 6.0746E+07 | 1.3398E+08 | 1.9894E+08 | 4.9164E+06 | 2.2055E+03 | 2.0190E+04 | 6.6394E+02 | |
| Rank | 8 | 5 | 6 | 7 | 4 | 2 | 3 | 1 | |
| F12 | Best | 4.7945E+07 | 4.7905E+04 | 4.9773E+04 | 7.3866E+04 | 1.0358E+04 | 3.0276E+03 | 4.9996E+03 | 2.5129E+03 |
| Avg | 4.2634E+08 | 2.1170E+05 | 1.1106E+06 | 5.7909E+05 | 1.7891E+04 | 3.3130E+03 | 8.1830E+03 | 3.0418E+03 | |
| Std | 4.9571E+08 | 2.2248E+05 | 1.7696E+06 | 4.6714E+05 | 7.6117E+03 | 3.6544E+02 | 3.1187E+03 | 4.0548E+02 | |
| Rank | 8 | 5 | 7 | 6 | 4 | 2 | 3 | 1 | |
| F13 | Best | 1.1669E+05 | 1.6854E+03 | 1.7699E+03 | 2.2665E+03 | 1.4874E+03 | 1.6111E+03 | 1.9524E+03 | 1.4956E+03 |
| Avg | 8.4291E+05 | 2.7260E+03 | 3.7072E+03 | 8.1511E+04 | 1.5945E+03 | 1.8441E+03 | 4.6066E+03 | 1.5629E+03 | |
| Std | 8.8990E+05 | 2.6112E+03 | 4.6656E+03 | 6.7338E+04 | 6.6744E+01 | 1.5945E+02 | 4.7739E+03 | 5.6328E+01 | |
| Rank | 8 | 4 | 5 | 7 | 2 | 3 | 6 | 1 | |
| F14 | Best | 9.5511E+04 | 5.6021E+03 | 1.0829E+04 | 2.5769E+04 | 2.3075E+03 | 1.6696E+03 | 1.8519E+03 | 1.6450E+03 |
| Avg | 4.1685E+06 | 1.7395E+04 | 3.4837E+04 | 1.1045E+05 | 2.7369E+03 | 2.2358E+03 | 4.2873E+03 | 1.7827E+03 | |
| Std | 4.8105E+06 | 6.2062E+03 | 2.7374E+04 | 1.6313E+05 | 3.1011E+02 | 7.2906E+02 | 3.5472E+03 | 6.5285E+01 | |
| Rank | 8 | 5 | 6 | 7 | 3 | 2 | 4 | 1 | |
| F15 | Best | 3.2636E+03 | 2.8973E+03 | 3.0888E+03 | 3.3822E+03 | 2.1358E+03 | 3.0117E+03 | 2.7560E+03 | 1.7416E+03 |
| Avg | 4.3534E+03 | 3.5177E+03 | 3.7788E+03 | 4.2558E+03 | 2.5847E+03 | 3.5861E+03 | 3.6697E+03 | 1.9631E+03 | |
| Std | 7.7063E+02 | 6.2110E+02 | 4.8045E+02 | 4.4748E+02 | 3.0049E+02 | 3.8581E+02 | 4.1430E+02 | 1.2251E+02 | |
| Rank | 8 | 3 | 6 | 7 | 2 | 4 | 5 | 1 | |
| F16 | Best | 3.1359E+03 | 2.7466E+03 | 3.0389E+03 | 2.8693E+03 | 2.1334E+03 | 2.8187E+03 | 2.8073E+03 | 1.9354E+03 |
| Avg | 3.8276E+03 | 3.3290E+03 | 3.4925E+03 | 3.6193E+03 | 2.6443E+03 | 3.5093E+03 | 3.5675E+03 | 2.0508E+03 | |
| Std | 4.5072E+02 | 4.9808E+02 | 2.8293E+02 | 4.2762E+02 | 3.9745E+02 | 5.0125E+02 | 4.0066E+02 | 8.9304E+01 | |
| Rank | 8 | 3 | 4 | 7 | 2 | 5 | 6 | 1 | |
| F17 | Best | 3.5091E+06 | 1.0936E+04 | 2.1723E+04 | 1.1425E+05 | 2.1375E+03 | 1.9784E+03 | 2.3083E+03 | 1.9169E+03 |
| Avg | 1.1216E+07 | 2.4590E+04 | 3.8602E+04 | 1.3543E+06 | 6.0302E+03 | 2.3890E+03 | 2.1475E+04 | 2.0283E+03 | |
| Std | 1.3490E+07 | 1.1247E+04 | 1.6974E+04 | 1.1766E+06 | 5.8596E+03 | 4.6908E+02 | 2.4402E+04 | 8.3522E+01 | |
| Rank | 8 | 5 | 6 | 7 | 3 | 2 | 4 | 1 | |
| F18 | Best | 4.1986E+05 | 8.0106E+03 | 9.3311E+03 | 2.2059E+04 | 2.0721E+03 | 2.2270E+03 | 5.2715E+03 | 2.0234E+03 |
| Avg | 7.3520E+06 | 3.1345E+04 | 2.4770E+04 | 2.8562E+05 | 2.6649E+03 | 2.9938E+03 | 1.4985E+04 | 2.0971E+03 | |
| Std | 1.2712E+07 | 3.2994E+04 | 1.4089E+04 | 3.8331E+05 | 1.2428E+03 | 1.2753E+03 | 6.4999E+03 | 5.8685E+01 | |
| Rank | 8 | 6 | 5 | 7 | 2 | 3 | 4 | 1 | |
| F19 | Best | 3.3478E+03 | 2.8489E+03 | 2.8556E+03 | 2.9419E+03 | 2.3714E+03 | 2.7335E+03 | 2.8232E+03 | 2.0586E+03 |
| Avg | 3.5609E+03 | 3.5067E+03 | 3.4662E+03 | 3.3297E+03 | 3.0750E+03 | 3.2558E+03 | 3.2011E+03 | 2.2240E+03 | |
| Std | 2.4162E+02 | 4.4595E+02 | 2.8919E+02 | 1.9881E+02 | 3.7567E+02 | 2.3997E+02 | 1.8083E+02 | 3.0035E+02 | |
| Rank | 8 | 7 | 6 | 5 | 2 | 4 | 3 | 1 | |
| F20 | Best | 2.6066E+03 | 2.5936E+03 | 2.6141E+03 | 2.5781E+03 | 2.4538E+03 | 2.4566E+03 | 2.5187E+03 | 2.3290E+03 |
| Avg | 2.7280E+03 | 2.6639E+03 | 2.6577E+03 | 2.6625E+03 | 2.5206E+03 | 2.5676E+03 | 2.5910E+03 | 2.3535E+03 | |
| Std | 9.3109E+01 | 4.2170E+01 | 3.4769E+01 | 6.3651E+01 | 4.0789E+01 | 7.1380E+01 | 5.6310E+01 | 1.3533E+01 | |
| Rank | 8 | 7 | 5 | 6 | 2 | 3 | 4 | 1 | |
| F21 | Best | 1.3298E+04 | 1.2450E+04 | 1.3912E+04 | 1.0328E+04 | 1.1350E+04 | 8.5844E+03 | 7.6036E+03 | 5.0448E+03 |
| Avg | 1.4634E+04 | 1.4875E+04 | 1.5332E+04 | 1.2361E+04 | 1.3203E+04 | 9.6616E+03 | 9.4985E+03 | 7.6899E+03 | |
| Std | 9.9210E+02 | 1.1235E+03 | 7.2527E+02 | 1.1897E+03 | 1.5122E+03 | 6.9669E+02 | 1.0203E+03 | 1.7365E+03 | |
| Rank | 6 | 7 | 8 | 4 | 5 | 3 | 2 | 1 | |
| F22 | Best | 3.3141E+03 | 2.9880E+03 | 3.0555E+03 | 3.0071E+03 | 2.8528E+03 | 3.0951E+03 | 2.9323E+03 | 2.8043E+03 |
| Avg | 3.3923E+03 | 3.0999E+03 | 3.1313E+03 | 3.1753E+03 | 2.9410E+03 | 3.1631E+03 | 3.0839E+03 | 2.8293E+03 | |
| Std | 7.9087E+01 | 6.0151E+01 | 5.4227E+01 | 1.3935E+02 | 7.0170E+01 | 7.7899E+01 | 1.3450E+02 | 2.4471E+01 | |
| Rank | 8 | 4 | 5 | 7 | 2 | 6 | 3 | 1 | |
| F23 | Best | 3.3913E+03 | 3.2301E+03 | 3.1913E+03 | 3.1977E+03 | 3.0424E+03 | 3.1700E+03 | 3.1203E+03 | 2.9313E+03 |
| Avg | 3.4727E+03 | 3.3223E+03 | 3.3158E+03 | 3.3363E+03 | 3.0782E+03 | 3.2764E+03 | 3.2253E+03 | 2.9771E+03 | |
| Std | 5.6544E+01 | 7.0301E+01 | 7.3889E+01 | 8.9988E+01 | 3.9342E+01 | 7.1199E+01 | 8.7769E+01 | 3.1910E+01 | |
| Rank | 8 | 6 | 5 | 7 | 2 | 4 | 3 | 1 | |
| F24 | Best | 4.0832E+03 | 3.1133E+03 | 3.1674E+03 | 3.4361E+03 | 3.0852E+03 | 2.9312E+03 | 2.9312E+03 | 2.9312E+03 |
| Avg | 5.6884E+03 | 3.2933E+03 | 3.4664E+03 | 3.9312E+03 | 3.2246E+03 | 2.9484E+03 | 2.9510E+03 | 2.9704E+03 | |
| Std | 1.1749E+03 | 1.3212E+02 | 3.8706E+02 | 3.2416E+02 | 1.1465E+02 | 2.8327E+01 | 2.1151E+01 | 5.5206E+01 | |
| Rank | 8 | 5 | 6 | 7 | 4 | 1 | 2 | 3 | |
| F25 | Best | 9.4028E+03 | 4.6049E+03 | 4.9863E+03 | 8.1750E+03 | 4.6817E+03 | 2.9000E+03 | 6.8057E+03 | 2.9000E+03 |
| Avg | 1.0666E+04 | 9.3013E+03 | 9.1580E+03 | 9.5167E+03 | 5.4805E+03 | 6.9772E+03 | 8.6172E+03 | 5.1016E+03 | |
| Std | 1.0610E+03 | 2.8115E+03 | 2.6140E+03 | 1.0717E+03 | 6.6492E+02 | 2.6369E+03 | 1.0896E+03 | 1.6157E+03 | |
| Rank | 8 | 6 | 5 | 7 | 2 | 3 | 4 | 1 | |
| F26 | Best | 3.7640E+03 | 3.5132E+03 | 3.5289E+03 | 3.5667E+03 | 3.4597E+03 | 3.2000E+03 | 3.2000E+03 | 3.2000E+03 |
| Avg | 3.8678E+03 | 3.7966E+03 | 3.6723E+03 | 3.7331E+03 | 3.6828E+03 | 3.2000E+03 | 3.2877E+03 | 3.2832E+03 | |
| Std | 1.0946E+02 | 1.9632E+02 | 1.2993E+02 | 9.3677E+01 | 1.7884E+02 | 2.3037E-04 | 1.5233E+02 | 1.1593E+02 | |
| Rank | 8 | 7 | 4 | 6 | 5 | 1 | 3 | 2 | |
| F27 | Best | 5.7906E+03 | 3.5320E+03 | 3.5273E+03 | 3.9688E+03 | 3.4223E+03 | 3.3000E+03 | 3.3000E+03 | 3.3000E+03 |
| Avg | 6.9434E+03 | 3.9976E+03 | 4.0915E+03 | 5.2151E+03 | 3.7022E+03 | 3.3000E+03 | 3.3000E+03 | 3.3000E+03 | |
| Std | 1.0679E+03 | 6.6630E+02 | 6.2240E+02 | 1.7850E+03 | 3.2882E+02 | 2.8917E-04 | 4.3785E-04 | 2.3095E-04 | |
| Rank | 8 | 5 | 6 | 7 | 4 | 2 | 1 | 3 | |
| F28 | Best | 4.8206E+03 | 4.0169E+03 | 4.6036E+03 | 4.8315E+03 | 3.7132E+03 | 4.0221E+03 | 3.8569E+03 | 3.2792E+03 |
| Avg | 5.9201E+03 | 4.5784E+03 | 4.9916E+03 | 5.6036E+03 | 3.9604E+03 | 4.6594E+03 | 4.6112E+03 | 3.5197E+03 | |
| Std | 9.7895E+02 | 3.9747E+02 | 3.2822E+02 | 5.3689E+02 | 2.4007E+02 | 3.6165E+02 | 4.3303E+02 | 1.7277E+02 | |
| Rank | 8 | 3 | 6 | 7 | 2 | 5 | 4 | 1 | |
| F29 | Best | 7.6148E+07 | 5.9299E+06 | 5.7643E+06 | 9.7692E+06 | 4.1470E+06 | 3.5642E+03 | 4.2650E+03 | 3.7023E+03 |
| Avg | 1.1956E+08 | 1.6112E+07 | 1.6586E+07 | 3.3596E+07 | 6.5852E+06 | 4.4847E+03 | 7.3233E+03 | 4.9940E+03 | |
| Std | 4.7460E+07 | 9.4964E+06 | 7.7069E+06 | 1.6651E+07 | 4.3394E+06 | 1.1864E+03 | 2.5869E+03 | 8.4520E+02 | |
| Rank | 8 | 5 | 6 | 7 | 4 | 1 | 3 | 2 |
| No. | Index | ECO | ECO-R | ECO-P | ECO-T | ECO-RP | ECO-RT | ECO-PT | EECO |
|---|---|---|---|---|---|---|---|---|---|
| F1 | Best | 1.0516E+11 | 3.0095E+10 | 3.1271E+10 | 4.1183E+10 | 1.5766E+10 | 1.0000E+02 | 1.0000E+02 | 1.0000E+02 |
| Avg | 1.1103E+11 | 5.2045E+10 | 5.0924E+10 | 4.6461E+10 | 2.1746E+10 | 1.0003E+02 | 1.0001E+02 | 1.0000E+02 | |
| Std | 4.9348E+09 | 2.0849E+10 | 1.8951E+10 | 5.7708E+09 | 4.8158E+09 | 6.0942E-02 | 2.4349E-02 | 6.4717E-06 | |
| Rank | 8 | 7 | 6 | 5 | 4 | 3 | 2 | 1 | |
| F2 | Best | 2.5917E+05 | 7.4127E+04 | 8.5360E+04 | 1.7383E+05 | 6.1414E+04 | 3.0000E+02 | 3.1346E+03 | 3.0000E+02 |
| Avg | 2.8050E+05 | 1.0376E+05 | 1.1663E+05 | 1.8919E+05 | 7.1423E+04 | 3.0007E+02 | 5.9298E+03 | 3.0000E+02 | |
| Std | 2.5113E+04 | 2.6599E+04 | 3.1513E+04 | 2.1177E+04 | 7.5450E+03 | 7.9467E-02 | 3.6469E+03 | 2.1971E-06 | |
| Rank | 8 | 5 | 6 | 7 | 4 | 2 | 3 | 1 | |
| F3 | Best | 1.1491E+04 | 2.1286E+03 | 3.0027E+03 | 2.8217E+03 | 1.9486E+03 | 4.0002E+02 | 5.0524E+02 | 4.0000E+02 |
| Avg | 1.6719E+04 | 3.2376E+03 | 5.2968E+03 | 5.7124E+03 | 3.0397E+03 | 4.0201E+02 | 5.3509E+02 | 4.0100E+02 | |
| Std | 8.1866E+03 | 7.4036E+02 | 4.0948E+03 | 2.8925E+03 | 8.4657E+02 | 2.2839E+00 | 2.6686E+01 | 1.9933E+00 | |
| Rank | 8 | 5 | 6 | 7 | 4 | 2 | 3 | 1 | |
| F4 | Best | 1.5748E+03 | 1.2840E+03 | 1.3118E+03 | 1.3241E+03 | 1.2387E+03 | 1.1666E+03 | 1.1039E+03 | 7.2685E+02 |
| Avg | 1.6415E+03 | 1.3965E+03 | 1.4168E+03 | 1.4724E+03 | 1.3059E+03 | 1.2034E+03 | 1.2412E+03 | 7.7287E+02 | |
| Std | 4.5651E+01 | 9.8467E+01 | 7.1990E+01 | 1.3526E+02 | 6.6340E+01 | 4.4628E+01 | 1.2893E+02 | 3.9702E+01 | |
| Rank | 8 | 5 | 6 | 7 | 4 | 2 | 3 | 1 | |
| F5 | Best | 6.7534E+02 | 6.3345E+02 | 6.4480E+02 | 6.7409E+02 | 6.2185E+02 | 6.5284E+02 | 6.5792E+02 | 6.1417E+02 |
| Avg | 6.7727E+02 | 6.4381E+02 | 6.5320E+02 | 6.8050E+02 | 6.2960E+02 | 6.5748E+02 | 6.6026E+02 | 6.1620E+02 | |
| Std | 1.9568E+00 | 8.6019E+00 | 7.1155E+00 | 4.7358E+00 | 6.5724E+00 | 5.4894E+00 | 2.7109E+00 | 1.4088E+00 | |
| Rank | 7 | 3 | 4 | 8 | 2 | 5 | 6 | 1 | |
| F6 | Best | 3.1609E+03 | 2.0400E+03 | 1.8295E+03 | 2.5417E+03 | 1.7047E+03 | 2.4412E+03 | 2.2132E+03 | 1.1324E+03 |
| Avg | 3.2687E+03 | 2.0882E+03 | 2.0493E+03 | 2.9158E+03 | 1.9189E+03 | 2.6823E+03 | 2.5437E+03 | 1.4027E+03 | |
| Std | 1.3907E+02 | 3.9495E+01 | 1.4911E+02 | 2.8265E+02 | 1.6912E+02 | 2.1764E+02 | 2.7580E+02 | 2.5504E+02 | |
| Rank | 8 | 4 | 3 | 7 | 2 | 6 | 5 | 1 | |
| F7 | Best | 1.8844E+03 | 1.6015E+03 | 1.6520E+03 | 1.6237E+03 | 1.3535E+03 | 1.5184E+03 | 1.3850E+03 | 9.4725E+02 |
| Avg | 2.0902E+03 | 1.6806E+03 | 1.7266E+03 | 1.8038E+03 | 1.5402E+03 | 1.5522E+03 | 1.5417E+03 | 1.0709E+03 | |
| Std | 1.5760E+02 | 5.9198E+01 | 8.7412E+01 | 1.5709E+02 | 1.5571E+02 | 4.2327E+01 | 1.5035E+02 | 9.9907E+01 | |
| Rank | 8 | 5 | 6 | 7 | 2 | 4 | 3 | 1 | |
| F8 | Best | 4.8102E+04 | 1.4406E+04 | 1.4183E+04 | 2.6799E+04 | 1.0715E+04 | 1.6519E+04 | 1.5908E+04 | 4.3083E+03 |
| Avg | 5.6594E+04 | 1.8187E+04 | 1.8627E+04 | 3.8813E+04 | 1.3069E+04 | 1.9516E+04 | 1.8307E+04 | 5.1535E+03 | |
| Std | 6.9367E+03 | 4.5297E+03 | 3.1164E+03 | 9.8444E+03 | 3.2253E+03 | 2.0485E+03 | 3.0703E+03 | 7.2934E+02 | |
| Rank | 8 | 3 | 5 | 7 | 2 | 6 | 4 | 1 | |
| F9 | Best | 2.5800E+04 | 2.7285E+04 | 2.7926E+04 | 2.0376E+04 | 1.9588E+04 | 1.5219E+04 | 1.5109E+04 | 1.4432E+04 |
| Avg | 2.7131E+04 | 2.9396E+04 | 2.9808E+04 | 2.2490E+04 | 2.5476E+04 | 1.6132E+04 | 1.5729E+04 | 1.6239E+04 | |
| Std | 1.5785E+03 | 1.4523E+03 | 1.9246E+03 | 1.4374E+03 | 3.9830E+03 | 8.9264E+02 | 5.0605E+02 | 1.2876E+03 | |
| Rank | 6 | 7 | 8 | 4 | 5 | 2 | 1 | 3 | |
| F10 | Best | 5.0265E+04 | 3.3547E+03 | 4.5879E+03 | 1.1749E+04 | 3.2895E+03 | 2.0611E+03 | 2.0025E+03 | 1.9029E+03 |
| Avg | 8.1274E+04 | 4.7507E+03 | 6.6031E+03 | 1.9530E+04 | 4.0586E+03 | 2.3093E+03 | 2.4283E+03 | 2.1138E+03 | |
| Std | 3.9368E+04 | 1.2202E+03 | 1.6881E+03 | 6.0838E+03 | 6.9905E+02 | 3.5187E+02 | 3.9237E+02 | 1.9880E+02 | |
| Rank | 8 | 5 | 6 | 7 | 4 | 2 | 3 | 1 | |
| F11 | Best | 1.9040E+10 | 6.2793E+08 | 6.2023E+08 | 1.5924E+09 | 1.5848E+08 | 6.8913E+03 | 7.9901E+04 | 5.6050E+03 |
| Avg | 2.7304E+10 | 4.2740E+09 | 1.0329E+09 | 3.0342E+09 | 2.7863E+08 | 1.3951E+04 | 4.8239E+05 | 6.2549E+03 | |
| Std | 6.5837E+09 | 7.0913E+09 | 3.7283E+08 | 2.3360E+09 | 8.0207E+07 | 1.0682E+04 | 4.3477E+05 | 6.7961E+02 | |
| Rank | 8 | 7 | 5 | 6 | 4 | 2 | 3 | 1 | |
| F12 | Best | 4.4658E+08 | 9.9737E+04 | 5.8450E+05 | 2.9253E+06 | 3.3295E+04 | 5.2264E+03 | 8.6177E+03 | 4.4995E+03 |
| Avg | 1.7600E+09 | 6.8901E+05 | 5.0099E+06 | 1.5838E+07 | 4.9695E+04 | 5.7215E+03 | 1.2482E+04 | 5.4561E+03 | |
| Std | 1.0977E+09 | 7.3069E+05 | 3.7033E+06 | 9.2656E+06 | 1.6833E+04 | 3.3285E+02 | 6.7082E+03 | 7.5747E+02 | |
| Rank | 8 | 5 | 6 | 7 | 4 | 2 | 3 | 1 | |
| F13 | Best | 2.4685E+06 | 4.3975E+03 | 1.0048E+04 | 7.5838E+05 | 1.9051E+03 | 1.8910E+03 | 8.0619E+04 | 1.6668E+03 |
| Avg | 9.9605E+06 | 4.3691E+04 | 2.7520E+04 | 1.4399E+06 | 1.9514E+03 | 1.9718E+03 | 1.2106E+05 | 1.7312E+03 | |
| Std | 1.1653E+07 | 4.1511E+04 | 1.8330E+04 | 5.1181E+05 | 4.1764E+01 | 8.2902E+01 | 5.6113E+04 | 5.7043E+01 | |
| Rank | 8 | 5 | 4 | 7 | 2 | 3 | 6 | 1 | |
| F14 | Best | 8.5045E+07 | 2.3734E+04 | 7.7999E+04 | 2.3842E+05 | 4.3368E+03 | 1.7363E+03 | 3.6125E+03 | 1.7283E+03 |
| Avg | 1.4398E+08 | 1.3860E+05 | 6.3094E+05 | 5.9576E+05 | 1.4861E+04 | 2.1163E+03 | 8.6434E+03 | 1.8265E+03 | |
| Std | 6.2725E+07 | 1.5569E+05 | 1.0637E+06 | 5.3556E+05 | 7.5104E+03 | 3.6610E+02 | 6.6372E+03 | 1.2393E+02 | |
| Rank | 8 | 5 | 7 | 6 | 4 | 2 | 3 | 1 | |
| F15 | Best | 8.9502E+03 | 6.5134E+03 | 8.8078E+03 | 7.3823E+03 | 5.8130E+03 | 5.1252E+03 | 5.4745E+03 | 2.3725E+03 |
| Avg | 9.3818E+03 | 8.2152E+03 | 8.9009E+03 | 7.8220E+03 | 6.2840E+03 | 5.4526E+03 | 6.2043E+03 | 2.6452E+03 | |
| Std | 4.4861E+02 | 1.1734E+03 | 1.5465E+02 | 3.5841E+02 | 5.7924E+02 | 3.5077E+02 | 5.1416E+02 | 2.7448E+02 | |
| Rank | 8 | 6 | 7 | 5 | 4 | 2 | 3 | 1 | |
| F16 | Best | 6.3541E+03 | 4.6568E+03 | 5.2042E+03 | 4.8201E+03 | 5.0372E+03 | 5.3604E+03 | 4.8585E+03 | 2.4919E+03 |
| Avg | 8.3109E+03 | 5.9415E+03 | 6.1256E+03 | 5.9874E+03 | 5.3528E+03 | 6.2674E+03 | 5.8825E+03 | 2.6102E+03 | |
| Std | 2.3441E+03 | 1.2160E+03 | 6.7674E+02 | 1.0010E+03 | 3.9766E+02 | 7.1808E+02 | 9.3651E+02 | 1.0639E+02 | |
| Rank | 8 | 4 | 6 | 5 | 2 | 7 | 3 | 1 | |
| F17 | Best | 1.8859E+06 | 4.3167E+04 | 1.0863E+05 | 7.8303E+05 | 3.5819E+03 | 2.0733E+03 | 5.5668E+04 | 1.9816E+03 |
| Avg | 7.1368E+06 | 8.0853E+04 | 1.4492E+05 | 1.5538E+06 | 9.7584E+03 | 2.3476E+03 | 8.1009E+04 | 2.0734E+03 | |
| Std | 4.2842E+06 | 3.9796E+04 | 3.8905E+04 | 1.3845E+06 | 6.9019E+03 | 3.4047E+02 | 1.8989E+04 | 8.7551E+01 | |
| Rank | 8 | 4 | 6 | 7 | 3 | 2 | 5 | 1 | |
| F18 | Best | 1.6028E+08 | 4.4227E+05 | 9.9918E+05 | 2.3379E+06 | 4.9476E+03 | 2.4134E+03 | 3.7153E+03 | 2.1091E+03 |
| Avg | 4.5686E+08 | 2.0186E+06 | 4.8011E+06 | 4.7988E+06 | 1.0695E+05 | 4.3452E+03 | 1.1482E+04 | 2.1934E+03 | |
| Std | 3.6604E+08 | 1.7077E+06 | 5.9593E+06 | 2.5721E+06 | 1.9393E+05 | 1.7139E+03 | 7.2586E+03 | 7.9347E+01 | |
| Rank | 8 | 5 | 7 | 6 | 4 | 2 | 3 | 1 | |
| F19 | Best | 4.7506E+03 | 5.1288E+03 | 6.4699E+03 | 5.6490E+03 | 5.1299E+03 | 4.5121E+03 | 5.0852E+03 | 2.4849E+03 |
| Avg | 5.9860E+03 | 6.3524E+03 | 6.6515E+03 | 6.0029E+03 | 5.3720E+03 | 5.0431E+03 | 5.5031E+03 | 3.5464E+03 | |
| Std | 8.9336E+02 | 8.9209E+02 | 1.9080E+02 | 3.2796E+02 | 2.9674E+02 | 6.0944E+02 | 4.8821E+02 | 1.2969E+03 | |
| Rank | 5 | 7 | 8 | 6 | 3 | 2 | 4 | 1 | |
| F20 | Best | 3.5372E+03 | 3.1177E+03 | 3.1813E+03 | 3.3691E+03 | 2.9001E+03 | 3.0169E+03 | 3.1617E+03 | 2.5136E+03 |
| Avg | 3.6555E+03 | 3.2395E+03 | 3.2885E+03 | 3.5420E+03 | 3.0209E+03 | 3.1326E+03 | 3.3213E+03 | 2.5938E+03 | |
| Std | 9.5124E+01 | 9.9611E+01 | 7.2293E+01 | 1.7597E+02 | 1.1162E+02 | 7.7493E+01 | 1.4275E+02 | 8.3624E+01 | |
| Rank | 8 | 4 | 5 | 7 | 2 | 3 | 6 | 1 | |
| F21 | Best | 2.8975E+04 | 2.7443E+04 | 3.1073E+04 | 2.5257E+04 | 2.6838E+04 | 1.7014E+04 | 1.6261E+04 | 7.2030E+03 |
| Avg | 3.0308E+04 | 3.0554E+04 | 3.2512E+04 | 2.7318E+04 | 2.9010E+04 | 1.9066E+04 | 1.8500E+04 | 1.3637E+04 | |
| Std | 1.1579E+03 | 2.2007E+03 | 9.6970E+02 | 1.5657E+03 | 1.7959E+03 | 1.6758E+03 | 2.3146E+03 | 5.5275E+03 | |
| Rank | 6 | 7 | 8 | 4 | 5 | 3 | 2 | 1 | |
| F22 | Best | 4.0146E+03 | 3.7717E+03 | 3.7810E+03 | 3.8955E+03 | 3.6365E+03 | 3.8335E+03 | 3.6315E+03 | 3.1159E+03 |
| Avg | 4.4003E+03 | 3.8149E+03 | 3.9304E+03 | 4.1166E+03 | 3.7299E+03 | 3.9677E+03 | 3.8219E+03 | 3.1517E+03 | |
| Std | 2.7683E+02 | 4.6466E+01 | 1.1741E+02 | 1.9481E+02 | 1.0615E+02 | 1.7590E+02 | 1.7212E+02 | 3.2483E+01 | |
| Rank | 8 | 3 | 5 | 7 | 2 | 6 | 4 | 1 | |
| F23 | Best | 4.8007E+03 | 4.3135E+03 | 4.2658E+03 | 4.9132E+03 | 4.3763E+03 | 4.3493E+03 | 4.5250E+03 | 4.0159E+03 |
| Avg | 5.1692E+03 | 4.7310E+03 | 4.6800E+03 | 4.9646E+03 | 4.6214E+03 | 4.7365E+03 | 4.5705E+03 | 4.3151E+03 | |
| Std | 2.7420E+02 | 5.8390E+02 | 4.9537E+02 | 5.8790E+01 | 2.6404E+02 | 3.8043E+02 | 4.6508E+01 | 3.2444E+02 | |
| Rank | 8 | 5 | 4 | 7 | 3 | 6 | 2 | 1 | |
| F24 | Best | 9.5292E+03 | 4.6765E+03 | 4.6027E+03 | 6.4767E+03 | 4.1720E+03 | 3.1786E+03 | 3.1528E+03 | 3.1422E+03 |
| Avg | 1.1884E+04 | 5.7583E+03 | 5.5506E+03 | 6.6788E+03 | 4.6597E+03 | 3.2697E+03 | 3.2063E+03 | 3.2219E+03 | |
| Std | 2.4724E+03 | 7.7302E+02 | 8.7766E+02 | 2.1784E+02 | 4.6581E+02 | 1.0042E+02 | 4.6358E+01 | 5.4176E+01 | |
| Rank | 8 | 6 | 5 | 7 | 4 | 3 | 1 | 2 | |
| F25 | Best | 2.0470E+04 | 1.5487E+04 | 1.6172E+04 | 1.8679E+04 | 1.2736E+04 | 1.4539E+04 | 1.6263E+04 | 9.1279E+03 |
| Avg | 2.5238E+04 | 1.8591E+04 | 1.8351E+04 | 2.0598E+04 | 1.3736E+04 | 1.9982E+04 | 1.7532E+04 | 9.3409E+03 | |
| Std | 3.9562E+03 | 4.8713E+03 | 3.5792E+03 | 1.5874E+03 | 1.0458E+03 | 5.0807E+03 | 1.4224E+03 | 2.2093E+02 | |
| Rank | 8 | 5 | 4 | 7 | 2 | 6 | 3 | 1 | |
| F26 | Best | 4.0171E+03 | 3.7632E+03 | 3.9673E+03 | 3.7508E+03 | 3.8525E+03 | 3.2000E+03 | 3.1738E+03 | 3.2000E+03 |
| Avg | 4.4848E+03 | 4.0831E+03 | 4.1337E+03 | 4.1520E+03 | 3.9812E+03 | 3.5778E+03 | 3.4184E+03 | 3.4063E+03 | |
| Std | 6.6520E+02 | 2.9851E+02 | 1.1852E+02 | 3.3224E+02 | 1.6569E+02 | 3.2713E+02 | 3.5035E+02 | 2.5661E+02 | |
| Rank | 8 | 5 | 6 | 7 | 4 | 3 | 2 | 1 | |
| F27 | Best | 1.0026E+04 | 5.8808E+03 | 5.7947E+03 | 6.1947E+03 | 4.7823E+03 | 3.2874E+03 | 3.2898E+03 | 3.2874E+03 |
| Avg | 1.7443E+04 | 9.4214E+03 | 7.4928E+03 | 8.5150E+03 | 5.5494E+03 | 3.2953E+03 | 3.3133E+03 | 3.3058E+03 | |
| Std | 5.0251E+03 | 4.7589E+03 | 1.4923E+03 | 1.6129E+03 | 1.3058E+03 | 8.8779E+00 | 1.6900E+01 | 1.7743E+01 | |
| Rank | 8 | 7 | 5 | 6 | 4 | 1 | 3 | 2 | |
| F28 | Best | 1.2195E+04 | 7.9610E+03 | 8.4826E+03 | 9.7899E+03 | 6.6392E+03 | 5.8516E+03 | 6.9908E+03 | 4.0686E+03 |
| Avg | 1.4170E+04 | 8.9221E+03 | 9.2074E+03 | 1.0293E+04 | 7.3185E+03 | 6.7316E+03 | 7.3267E+03 | 4.4266E+03 | |
| Std | 2.8708E+03 | 6.6130E+02 | 6.0040E+02 | 3.9135E+02 | 6.9860E+02 | 9.6459E+02 | 3.6017E+02 | 4.6202E+02 | |
| Rank | 8 | 5 | 6 | 7 | 3 | 2 | 4 | 1 | |
| F29 | Best | 5.5469E+08 | 1.6549E+07 | 9.1512E+06 | 6.3844E+07 | 1.2371E+06 | 4.5489E+03 | 5.4792E+03 | 4.1986E+03 |
| Avg | 7.5685E+08 | 2.5576E+07 | 1.4285E+08 | 9.1258E+07 | 7.4923E+06 | 4.8361E+03 | 1.0472E+04 | 4.3872E+03 | |
| Std | 1.6456E+08 | 9.2373E+06 | 2.3804E+08 | 2.7638E+07 | 1.0097E+07 | 2.0753E+02 | 4.4159E+03 | 1.9108E+02 | |
| Rank | 8 | 5 | 7 | 6 | 4 | 2 | 3 | 1 |
| No. | Index | EECO | EDECO | ISGTOA | APSM-jSO | LSHADE-SPACMA | EOSMA | GLSRIME | EPSCA | ESLPSO |
|---|---|---|---|---|---|---|---|---|---|---|
| F1 | Best | 1.0000E+02 | 3.6458E+05 | 1.2219E+04 | 4.3728E+02 | 2.1982E+04 | 6.6664E+06 | 1.4381E+04 | 1.2102E+02 | 9.5769E+03 |
| Avg | 1.0000E+02 | 4.6495E+06 | 6.8504E+04 | 3.1539E+03 | 4.0940E+04 | 1.8883E+07 | 7.2018E+05 | 1.5336E+03 | 4.1541E+04 | |
| Std | 0.0000E+00 | 3.8003E+06 | 3.5297E+04 | 2.3017E+03 | 1.3861E+04 | 1.5049E+07 | 1.1249E+06 | 1.3630E+03 | 2.7714E+04 | |
| Rank | 1 | 8 | 6 | 3 | 4 | 9 | 7 | 2 | 5 | |
| F2 | Best | 3.0000E+02 | 3.3388E+02 | 1.1758E+03 | 3.0003E+02 | 3.0000E+02 | 1.3322E+03 | 3.2315E+02 | 3.1696E+02 | 1.1840E+03 |
| Avg | 3.0000E+02 | 7.8825E+02 | 3.2470E+03 | 3.0046E+02 | 3.0032E+02 | 2.7750E+03 | 4.8869E+02 | 1.0581E+03 | 2.1846E+03 | |
| Std | 0.0000E+00 | 4.7027E+02 | 1.4896E+03 | 8.4502E-01 | 4.9203E-01 | 1.0708E+03 | 1.3797E+02 | 1.2131E+03 | 7.0420E+02 | |
| Rank | 1 | 5 | 9 | 3 | 2 | 8 | 4 | 6 | 7 | |
| F3 | Best | 4.0000E+02 | 4.0058E+02 | 4.0376E+02 | 4.0345E+02 | 4.0300E+02 | 4.0660E+02 | 4.0109E+02 | 4.0554E+02 | 4.0407E+02 |
| Avg | 4.0000E+02 | 4.0632E+02 | 4.1345E+02 | 4.0440E+02 | 4.0387E+02 | 4.0868E+02 | 4.0636E+02 | 4.1103E+02 | 4.0594E+02 | |
| Std | 4.1355E-13 | 3.0294E+00 | 2.2317E+01 | 6.7479E-01 | 4.3237E-01 | 1.4331E+00 | 2.1195E+00 | 1.6160E+01 | 7.6909E-01 | |
| Rank | 1 | 5 | 9 | 3 | 2 | 7 | 6 | 8 | 4 | |
| F4 | Best | 5.0199E+02 | 5.1145E+02 | 5.2820E+02 | 5.2013E+02 | 5.1273E+02 | 5.2306E+02 | 5.0732E+02 | 5.0398E+02 | 5.2666E+02 |
| Avg | 5.0451E+02 | 5.2516E+02 | 5.3830E+02 | 5.3318E+02 | 5.2649E+02 | 5.3236E+02 | 5.1956E+02 | 5.1131E+02 | 5.3437E+02 | |
| Std | 1.7983E+00 | 1.0200E+01 | 6.8853E+00 | 7.9570E+00 | 6.0967E+00 | 4.3687E+00 | 8.4660E+00 | 6.7448E+00 | 4.3431E+00 | |
| Rank | 1 | 4 | 9 | 7 | 5 | 6 | 3 | 2 | 8 | |
| F5 | Best | 6.0000E+02 | 6.0201E+02 | 6.0035E+02 | 6.0008E+02 | 6.0041E+02 | 6.0312E+02 | 6.0045E+02 | 6.0000E+02 | 6.0011E+02 |
| Avg | 6.0001E+02 | 6.0704E+02 | 6.0129E+02 | 6.0024E+02 | 6.0096E+02 | 6.0625E+02 | 6.0124E+02 | 6.0001E+02 | 6.0017E+02 | |
| Std | 3.7882E-02 | 5.9222E+00 | 1.4108E+00 | 1.2920E-01 | 2.7884E-01 | 2.1039E+00 | 1.0194E+00 | 1.1405E-02 | 5.0284E-02 | |
| Rank | 1 | 9 | 7 | 4 | 5 | 8 | 6 | 2 | 3 | |
| F6 | Best | 7.1089E+02 | 7.3103E+02 | 7.3385E+02 | 7.3895E+02 | 7.3565E+02 | 7.3668E+02 | 7.2249E+02 | 7.1345E+02 | 7.3729E+02 |
| Avg | 7.1422E+02 | 7.4554E+02 | 7.4796E+02 | 7.4543E+02 | 7.4457E+02 | 7.5149E+02 | 7.3151E+02 | 7.2013E+02 | 7.4561E+02 | |
| Std | 3.3408E+00 | 9.9181E+00 | 7.4978E+00 | 4.6171E+00 | 5.7293E+00 | 7.1197E+00 | 5.3489E+00 | 4.6793E+00 | 5.0158E+00 | |
| Rank | 1 | 6 | 8 | 5 | 4 | 9 | 3 | 2 | 7 | |
| F7 | Best | 8.0199E+02 | 8.1484E+02 | 8.1718E+02 | 8.2414E+02 | 8.2062E+02 | 8.1715E+02 | 8.0500E+02 | 8.0398E+02 | 8.2633E+02 |
| Avg | 8.0829E+02 | 8.3283E+02 | 8.3223E+02 | 8.3274E+02 | 8.3068E+02 | 8.3053E+02 | 8.1646E+02 | 8.0842E+02 | 8.3372E+02 | |
| Std | 4.8839E+00 | 1.0619E+01 | 9.4331E+00 | 6.7384E+00 | 4.4348E+00 | 7.4438E+00 | 6.9962E+00 | 3.3185E+00 | 4.2053E+00 | |
| Rank | 1 | 8 | 6 | 7 | 5 | 4 | 3 | 2 | 9 | |
| F8 | Best | 9.0000E+02 | 9.0197E+02 | 9.0004E+02 | 9.0000E+02 | 9.0021E+02 | 9.0564E+02 | 9.0028E+02 | 9.0000E+02 | 9.0001E+02 |
| Avg | 9.0000E+02 | 9.2277E+02 | 9.0075E+02 | 9.0005E+02 | 9.0049E+02 | 9.2748E+02 | 9.0333E+02 | 9.0021E+02 | 9.0003E+02 | |
| Std | 0.0000E+00 | 2.0248E+01 | 1.5514E+00 | 5.9482E-02 | 2.4618E-01 | 1.7200E+01 | 5.5906E+00 | 4.5959E-01 | 1.6631E-02 | |
| Rank | 1 | 8 | 6 | 3 | 5 | 9 | 7 | 4 | 2 | |
| F9 | Best | 1.3769E+03 | 1.6057E+03 | 1.7620E+03 | 2.1993E+03 | 1.8103E+03 | 1.7452E+03 | 1.3686E+03 | 1.0424E+03 | 2.2841E+03 |
| Avg | 1.6773E+03 | 2.1169E+03 | 2.2447E+03 | 2.5286E+03 | 2.2331E+03 | 2.2384E+03 | 1.6846E+03 | 1.5869E+03 | 2.6105E+03 | |
| Std | 1.9887E+02 | 3.5449E+02 | 2.7255E+02 | 1.7634E+02 | 2.4051E+02 | 1.8060E+02 | 2.7235E+02 | 3.1790E+02 | 1.9291E+02 | |
| Rank | 2 | 4 | 7 | 8 | 5 | 6 | 3 | 1 | 9 | |
| F10 | Best | 1.1010E+03 | 1.1074E+03 | 1.1140E+03 | 1.1053E+03 | 1.1083E+03 | 1.1300E+03 | 1.1073E+03 | 1.1020E+03 | 1.1064E+03 |
| Avg | 1.1069E+03 | 1.1340E+03 | 1.1299E+03 | 1.1102E+03 | 1.1115E+03 | 1.1394E+03 | 1.1305E+03 | 1.1065E+03 | 1.1091E+03 | |
| Std | 6.5809E+00 | 1.4243E+01 | 8.5493E+00 | 3.5789E+00 | 2.9111E+00 | 8.5438E+00 | 4.8719E+01 | 4.2456E+00 | 2.0175E+00 | |
| Rank | 2 | 8 | 6 | 4 | 5 | 9 | 7 | 1 | 3 | |
| F11 | Best | 1.3186E+03 | 6.6787E+03 | 4.5962E+04 | 1.4754E+03 | 3.3895E+03 | 2.4878E+05 | 6.4074E+04 | 3.3699E+03 | 2.2412E+04 |
| Avg | 1.5028E+03 | 4.2079E+05 | 1.1059E+06 | 3.1059E+03 | 6.3668E+03 | 1.3828E+06 | 2.2778E+06 | 2.2763E+04 | 1.9604E+05 | |
| Std | 2.0539E+02 | 8.0888E+05 | 1.2438E+06 | 2.0520E+03 | 2.4259E+03 | 1.1314E+06 | 2.2053E+06 | 2.2717E+04 | 1.4326E+05 | |
| Rank | 1 | 6 | 7 | 2 | 3 | 8 | 9 | 4 | 5 | |
| F12 | Best | 1.3054E+03 | 1.4321E+03 | 2.1589E+03 | 1.3156E+03 | 1.3333E+03 | 1.9172E+03 | 1.5638E+03 | 1.3323E+03 | 1.4027E+03 |
| Avg | 1.4125E+03 | 2.3128E+03 | 7.3130E+03 | 1.3294E+03 | 1.3670E+03 | 4.1934E+03 | 1.2210E+04 | 8.3471E+03 | 1.6581E+03 | |
| Std | 1.3790E+02 | 6.4454E+02 | 5.0782E+03 | 7.3498E+00 | 2.8269E+01 | 1.7121E+03 | 1.0244E+04 | 8.1296E+03 | 1.6882E+02 | |
| Rank | 3 | 5 | 7 | 1 | 2 | 6 | 9 | 8 | 4 | |
| F13 | Best | 1.4010E+03 | 1.4353E+03 | 1.4545E+03 | 1.4225E+03 | 1.4229E+03 | 1.4705E+03 | 1.4368E+03 | 1.4392E+03 | 1.4297E+03 |
| Avg | 1.4181E+03 | 1.4464E+03 | 1.5066E+03 | 1.4287E+03 | 1.4302E+03 | 1.5018E+03 | 3.5312E+03 | 3.5011E+03 | 1.4380E+03 | |
| Std | 1.2380E+01 | 1.0283E+01 | 3.2996E+01 | 3.7559E+00 | 3.3408E+00 | 2.4954E+01 | 3.6441E+03 | 2.5436E+03 | 6.3816E+00 | |
| Rank | 1 | 5 | 7 | 2 | 3 | 6 | 9 | 8 | 4 | |
| F14 | Best | 1.5012E+03 | 1.5213E+03 | 1.6320E+03 | 1.5036E+03 | 1.5039E+03 | 1.6968E+03 | 1.5405E+03 | 1.5063E+03 | 1.5128E+03 |
| Avg | 1.5070E+03 | 1.5734E+03 | 2.3545E+03 | 1.5090E+03 | 1.5100E+03 | 1.9809E+03 | 5.5340E+03 | 5.7982E+03 | 1.5214E+03 | |
| Std | 7.3589E+00 | 3.3017E+01 | 8.2288E+02 | 3.1159E+00 | 3.5437E+00 | 1.9851E+02 | 5.5043E+03 | 5.7461E+03 | 7.3901E+00 | |
| Rank | 1 | 5 | 7 | 2 | 3 | 6 | 8 | 9 | 4 | |
| F15 | Best | 1.6006E+03 | 1.6471E+03 | 1.6436E+03 | 1.6113E+03 | 1.6302E+03 | 1.6231E+03 | 1.6030E+03 | 1.6008E+03 | 1.6197E+03 |
| Avg | 1.6043E+03 | 1.7534E+03 | 1.7322E+03 | 1.6602E+03 | 1.6760E+03 | 1.6914E+03 | 1.7153E+03 | 1.6830E+03 | 1.6520E+03 | |
| Std | 5.0260E+00 | 8.5112E+01 | 6.0279E+01 | 4.3422E+01 | 3.5946E+01 | 5.6376E+01 | 1.0285E+02 | 5.9611E+01 | 2.8193E+01 | |
| Rank | 1 | 9 | 8 | 3 | 4 | 6 | 7 | 5 | 2 | |
| F16 | Best | 1.7017E+03 | 1.7517E+03 | 1.7503E+03 | 1.7465E+03 | 1.7478E+03 | 1.7511E+03 | 1.7233E+03 | 1.7020E+03 | 1.7488E+03 |
| Avg | 1.7299E+03 | 1.7843E+03 | 1.7777E+03 | 1.7707E+03 | 1.7625E+03 | 1.7679E+03 | 1.7636E+03 | 1.7489E+03 | 1.7684E+03 | |
| Std | 1.9279E+01 | 2.5266E+01 | 1.8614E+01 | 1.5112E+01 | 8.6480E+00 | 1.1129E+01 | 5.2163E+01 | 3.3815E+01 | 1.1755E+01 | |
| Rank | 1 | 9 | 8 | 7 | 3 | 5 | 4 | 2 | 6 | |
| F17 | Best | 1.8020E+03 | 1.8977E+03 | 4.1121E+03 | 1.8262E+03 | 1.8429E+03 | 4.3540E+03 | 1.9697E+03 | 5.8071E+03 | 2.0069E+03 |
| Avg | 1.8248E+03 | 2.6442E+03 | 1.6903E+04 | 1.8374E+03 | 1.8634E+03 | 9.7821E+03 | 1.5212E+04 | 1.7820E+04 | 2.4293E+03 | |
| Std | 1.3687E+01 | 1.5209E+03 | 1.3677E+04 | 2.1320E+01 | 1.1244E+01 | 4.9377E+03 | 1.0553E+04 | 1.4949E+04 | 4.2057E+02 | |
| Rank | 1 | 5 | 8 | 2 | 3 | 6 | 7 | 9 | 4 | |
| F18 | Best | 1.9001E+03 | 1.9076E+03 | 1.9427E+03 | 1.9031E+03 | 1.9056E+03 | 1.9591E+03 | 1.9893E+03 | 2.0423E+03 | 1.9070E+03 |
| Avg | 1.9023E+03 | 1.9314E+03 | 2.9291E+03 | 1.9061E+03 | 1.9078E+03 | 2.1764E+03 | 1.2075E+04 | 1.2054E+04 | 1.9171E+03 | |
| Std | 1.4866E+00 | 2.6537E+01 | 1.3349E+03 | 1.4331E+00 | 1.2419E+00 | 1.9583E+02 | 9.1351E+03 | 9.8731E+03 | 1.6817E+01 | |
| Rank | 1 | 5 | 7 | 2 | 3 | 6 | 9 | 8 | 4 | |
| F19 | Best | 2.0003E+03 | 2.0572E+03 | 2.0407E+03 | 2.0288E+03 | 2.0420E+03 | 2.0510E+03 | 2.0083E+03 | 2.0043E+03 | 2.0365E+03 |
| Avg | 2.0217E+03 | 2.1072E+03 | 2.0880E+03 | 2.0608E+03 | 2.0537E+03 | 2.0812E+03 | 2.0325E+03 | 2.0544E+03 | 2.0695E+03 | |
| Std | 1.2913E+01 | 3.2708E+01 | 4.8633E+01 | 1.6134E+01 | 8.2472E+00 | 1.4757E+01 | 1.5923E+01 | 5.1969E+01 | 2.4319E+01 | |
| Rank | 1 | 9 | 8 | 5 | 3 | 7 | 2 | 4 | 6 | |
| F20 | Best | 2.2000E+03 | 2.2045E+03 | 2.2028E+03 | 2.2011E+03 | 2.2051E+03 | 2.2045E+03 | 2.2028E+03 | 2.2026E+03 | 2.2011E+03 |
| Avg | 2.2711E+03 | 2.2649E+03 | 2.2646E+03 | 2.2934E+03 | 2.2385E+03 | 2.2126E+03 | 2.2586E+03 | 2.2767E+03 | 2.2729E+03 | |
| Std | 5.0488E+01 | 5.9235E+01 | 6.3947E+01 | 5.9428E+01 | 4.0454E+01 | 6.3692E+00 | 6.1027E+01 | 5.2795E+01 | 6.8836E+01 | |
| Rank | 6 | 5 | 4 | 9 | 2 | 1 | 3 | 8 | 7 | |
| F21 | Best | 2.2000E+03 | 2.2223E+03 | 2.2121E+03 | 2.3005E+03 | 2.3030E+03 | 2.2347E+03 | 2.2420E+03 | 2.3004E+03 | 2.2004E+03 |
| Avg | 2.2882E+03 | 2.2853E+03 | 2.3010E+03 | 2.3040E+03 | 2.3058E+03 | 2.2929E+03 | 2.3037E+03 | 2.3013E+03 | 2.2968E+03 | |
| Std | 3.1550E+01 | 3.5266E+01 | 2.4684E+01 | 2.0324E+00 | 1.1045E+00 | 2.5099E+01 | 1.7180E+01 | 6.9255E-01 | 2.6695E+01 | |
| Rank | 2 | 1 | 5 | 8 | 9 | 3 | 7 | 6 | 4 | |
| F22 | Best | 2.6043E+03 | 2.6119E+03 | 2.6158E+03 | 2.6173E+03 | 2.6226E+03 | 2.6252E+03 | 2.6100E+03 | 2.6049E+03 | 2.6205E+03 |
| Avg | 2.6083E+03 | 2.6306E+03 | 2.6318E+03 | 2.6267E+03 | 2.6270E+03 | 2.6339E+03 | 2.6186E+03 | 2.6152E+03 | 2.6316E+03 | |
| Std | 2.7440E+00 | 1.0612E+01 | 8.8355E+00 | 7.7301E+00 | 3.8182E+00 | 6.2436E+00 | 6.1957E+00 | 6.1566E+00 | 5.6734E+00 | |
| Rank | 1 | 6 | 8 | 4 | 5 | 9 | 3 | 2 | 7 | |
| F23 | Best | 2.5000E+03 | 2.5650E+03 | 2.5292E+03 | 2.5278E+03 | 2.6075E+03 | 2.5519E+03 | 2.5015E+03 | 2.7336E+03 | 2.5017E+03 |
| Avg | 2.7058E+03 | 2.7235E+03 | 2.7319E+03 | 2.7439E+03 | 2.7436E+03 | 2.6264E+03 | 2.7192E+03 | 2.7445E+03 | 2.7467E+03 | |
| Std | 8.3745E+01 | 6.4933E+01 | 7.6833E+01 | 6.0187E+01 | 3.9309E+01 | 6.9795E+01 | 8.8035E+01 | 7.5621E+00 | 6.7877E+01 | |
| Rank | 2 | 4 | 5 | 7 | 6 | 1 | 3 | 8 | 9 | |
| F24 | Best | 2.8977E+03 | 2.8982E+03 | 2.8997E+03 | 2.8983E+03 | 2.8983E+03 | 2.9095E+03 | 2.8993E+03 | 2.8979E+03 | 2.8978E+03 |
| Avg | 2.9366E+03 | 2.9305E+03 | 2.9262E+03 | 2.9232E+03 | 2.9200E+03 | 2.9289E+03 | 2.9164E+03 | 2.9226E+03 | 2.9172E+03 | |
| Std | 2.9542E+01 | 2.1289E+01 | 2.3028E+01 | 2.3966E+01 | 2.3323E+01 | 1.5984E+01 | 2.3498E+01 | 2.2861E+01 | 2.3638E+01 | |
| Rank | 9 | 8 | 6 | 5 | 3 | 7 | 1 | 4 | 2 | |
| F25 | Best | 2.9000E+03 | 2.9475E+03 | 2.8323E+03 | 2.9000E+03 | 2.9004E+03 | 2.9359E+03 | 2.6252E+03 | 2.9065E+03 | 2.9002E+03 |
| Avg | 2.9230E+03 | 3.0115E+03 | 2.9276E+03 | 2.9013E+03 | 2.9007E+03 | 2.9690E+03 | 2.9135E+03 | 2.9981E+03 | 2.9128E+03 | |
| Std | 5.3723E+01 | 3.6039E+01 | 4.4321E+01 | 4.5516E+00 | 1.4898E-01 | 2.0999E+01 | 8.7845E+01 | 2.1104E+02 | 2.1433E+01 | |
| Rank | 5 | 9 | 6 | 2 | 1 | 7 | 4 | 8 | 3 | |
| F26 | Best | 3.0884E+03 | 3.0911E+03 | 3.0899E+03 | 3.0890E+03 | 3.0902E+03 | 3.0917E+03 | 3.0886E+03 | 3.0890E+03 | 3.0890E+03 |
| Avg | 3.0959E+03 | 3.0955E+03 | 3.0932E+03 | 3.0919E+03 | 3.0919E+03 | 3.0957E+03 | 3.0960E+03 | 3.0915E+03 | 3.0904E+03 | |
| Std | 1.0550E+01 | 2.7736E+00 | 1.8301E+00 | 2.8135E+00 | 1.8393E+00 | 2.6493E+00 | 3.2250E+00 | 2.8328E+00 | 1.8616E+00 | |
| Rank | 8 | 6 | 5 | 4 | 3 | 7 | 9 | 2 | 1 | |
| F27 | Best | 3.1000E+03 | 3.1769E+03 | 3.1708E+03 | 3.1004E+03 | 3.1015E+03 | 3.1737E+03 | 3.1162E+03 | 3.1709E+03 | 3.1059E+03 |
| Avg | 3.2558E+03 | 3.3553E+03 | 3.2898E+03 | 3.2492E+03 | 3.1384E+03 | 3.1987E+03 | 3.3037E+03 | 3.3113E+03 | 3.2841E+03 | |
| Std | 4.7561E+01 | 7.9883E+01 | 9.3613E+01 | 1.3976E+02 | 7.7983E+01 | 2.0953E+01 | 1.2008E+02 | 1.0871E+02 | 1.2466E+02 | |
| Rank | 4 | 9 | 6 | 3 | 1 | 2 | 7 | 8 | 5 | |
| F28 | Best | 3.1285E+03 | 3.1834E+03 | 3.1613E+03 | 3.1930E+03 | 3.1784E+03 | 3.1833E+03 | 3.1528E+03 | 3.1428E+03 | 3.1789E+03 |
| Avg | 3.1616E+03 | 3.2401E+03 | 3.2344E+03 | 3.2142E+03 | 3.2072E+03 | 3.2271E+03 | 3.2070E+03 | 3.1984E+03 | 3.2182E+03 | |
| Std | 4.3286E+01 | 3.8778E+01 | 4.3355E+01 | 1.2911E+01 | 2.1182E+01 | 2.2485E+01 | 4.2151E+01 | 5.6873E+01 | 2.9768E+01 | |
| Rank | 1 | 9 | 8 | 5 | 4 | 7 | 3 | 2 | 6 | |
| F29 | Best | 3.2239E+03 | 8.8689E+03 | 9.2557E+04 | 3.5261E+03 | 3.6195E+03 | 1.4603E+04 | 3.1605E+04 | 8.1467E+03 | 8.6256E+03 |
| Avg | 3.4510E+03 | 3.2007E+05 | 5.6833E+05 | 5.8737E+04 | 4.7080E+03 | 2.1623E+05 | 4.7384E+05 | 5.1229E+05 | 7.5443E+04 | |
| Std | 4.7789E+02 | 2.9692E+05 | 1.9678E+05 | 2.1093E+05 | 7.9064E+02 | 2.1599E+05 | 5.4640E+05 | 4.1178E+05 | 2.2195E+05 | |
| Rank | 1 | 6 | 9 | 3 | 2 | 5 | 7 | 8 | 4 |
| No. | Index | EECO | EDECO | ISGTOA | APSM-jSO | LSHADE-SPACMA | EOSMA | GLSRIME | EPSCA | ESLPSO |
|---|---|---|---|---|---|---|---|---|---|---|
| F1 | Best | 1.0000E+02 | 5.3039E+08 | 1.4421E+07 | 1.2706E+05 | 1.6057E+06 | 8.7951E+08 | 3.7752E+07 | 1.5624E+06 | 5.6446E+06 |
| Avg | 1.0000E+02 | 1.5110E+09 | 5.1761E+07 | 4.8320E+05 | 2.2121E+06 | 1.6162E+09 | 9.8047E+07 | 6.5408E+06 | 8.8206E+06 | |
| Std | 5.3627E-10 | 7.3613E+08 | 3.6068E+07 | 3.5801E+05 | 4.4854E+05 | 3.6773E+08 | 4.8338E+07 | 4.6111E+06 | 1.8781E+06 | |
| Rank | 1 | 8 | 6 | 2 | 3 | 9 | 7 | 4 | 5 | |
| F2 | Best | 3.0000E+02 | 1.2279E+04 | 3.5890E+04 | 1.7257E+03 | 1.9999E+03 | 3.8464E+04 | 2.5898E+04 | 4.0182E+04 | 4.0100E+04 |
| Avg | 3.0000E+02 | 2.3419E+04 | 5.4283E+04 | 3.2838E+03 | 4.5539E+03 | 7.0305E+04 | 4.3016E+04 | 6.2530E+04 | 5.5441E+04 | |
| Std | 6.9834E-13 | 8.0982E+03 | 9.5103E+03 | 1.3420E+03 | 1.9824E+03 | 1.7803E+04 | 1.1870E+04 | 1.3120E+04 | 1.1653E+04 | |
| Rank | 1 | 4 | 6 | 2 | 3 | 9 | 5 | 8 | 7 | |
| F3 | Best | 4.0000E+02 | 5.9254E+02 | 5.1367E+02 | 4.8860E+02 | 4.9001E+02 | 5.9540E+02 | 5.0785E+02 | 5.0512E+02 | 4.8920E+02 |
| Avg | 4.0186E+02 | 6.9028E+02 | 5.5668E+02 | 4.9975E+02 | 4.9337E+02 | 7.0082E+02 | 5.6136E+02 | 5.3020E+02 | 5.0397E+02 | |
| Std | 2.0587E+00 | 7.6803E+01 | 2.3905E+01 | 1.0684E+01 | 5.3051E+00 | 5.8867E+01 | 4.8030E+01 | 1.3863E+01 | 1.3118E+01 | |
| Rank | 1 | 8 | 6 | 3 | 2 | 9 | 7 | 5 | 4 | |
| F4 | Best | 5.1990E+02 | 6.4144E+02 | 6.6666E+02 | 6.5917E+02 | 6.7267E+02 | 6.6119E+02 | 5.6884E+02 | 5.3682E+02 | 6.7528E+02 |
| Avg | 5.4245E+02 | 7.1821E+02 | 7.2051E+02 | 6.8949E+02 | 6.9178E+02 | 6.9167E+02 | 6.2717E+02 | 5.5117E+02 | 6.9092E+02 | |
| Std | 2.4699E+01 | 3.1051E+01 | 1.8445E+01 | 1.5287E+01 | 1.1377E+01 | 2.1582E+01 | 3.3323E+01 | 1.5438E+01 | 7.9229E+00 | |
| Rank | 1 | 8 | 9 | 4 | 7 | 6 | 3 | 2 | 5 | |
| F5 | Best | 6.0122E+02 | 6.1833E+02 | 6.0770E+02 | 6.0096E+02 | 6.0228E+02 | 6.1529E+02 | 6.0775E+02 | 6.0065E+02 | 6.0219E+02 |
| Avg | 6.0340E+02 | 6.3018E+02 | 6.1341E+02 | 6.0126E+02 | 6.0263E+02 | 6.2206E+02 | 6.1388E+02 | 6.0116E+02 | 6.0274E+02 | |
| Std | 1.7467E+00 | 7.1418E+00 | 4.4624E+00 | 2.5342E-01 | 3.3298E-01 | 4.3494E+00 | 3.8657E+00 | 3.8720E-01 | 2.9200E-01 | |
| Rank | 5 | 9 | 6 | 2 | 3 | 8 | 7 | 1 | 4 | |
| F6 | Best | 7.4415E+02 | 9.3163E+02 | 9.3913E+02 | 8.9475E+02 | 9.1084E+02 | 9.3761E+02 | 8.6369E+02 | 7.6922E+02 | 9.0261E+02 |
| Avg | 7.6706E+02 | 1.0130E+03 | 9.6859E+02 | 9.2613E+02 | 9.3231E+02 | 9.7383E+02 | 9.2750E+02 | 7.9502E+02 | 9.2460E+02 | |
| Std | 1.6126E+01 | 4.9454E+01 | 1.5065E+01 | 1.3596E+01 | 1.3158E+01 | 2.7940E+01 | 3.8331E+01 | 1.5905E+01 | 1.2106E+01 | |
| Rank | 1 | 9 | 7 | 4 | 6 | 8 | 5 | 2 | 3 | |
| F7 | Best | 8.1094E+02 | 9.0226E+02 | 9.9055E+02 | 9.6383E+02 | 9.6640E+02 | 9.5808E+02 | 8.7527E+02 | 8.3155E+02 | 9.6139E+02 |
| Avg | 8.2633E+02 | 9.8250E+02 | 1.0134E+03 | 9.8336E+02 | 9.9102E+02 | 9.9176E+02 | 9.0371E+02 | 8.5138E+02 | 9.9165E+02 | |
| Std | 1.0768E+01 | 3.4335E+01 | 1.8101E+01 | 1.2602E+01 | 1.2600E+01 | 1.9137E+01 | 1.8473E+01 | 1.7674E+01 | 1.0220E+01 | |
| Rank | 1 | 4 | 9 | 5 | 6 | 8 | 3 | 2 | 7 | |
| F8 | Best | 9.0235E+02 | 1.8289E+03 | 1.1045E+03 | 9.0124E+02 | 9.0917E+02 | 1.5291E+03 | 1.3816E+03 | 9.1027E+02 | 9.0839E+02 |
| Avg | 1.0753E+03 | 3.7534E+03 | 1.5542E+03 | 9.0458E+02 | 9.1409E+02 | 2.1229E+03 | 2.7262E+03 | 9.3821E+02 | 9.1271E+02 | |
| Std | 2.6070E+02 | 1.4570E+03 | 2.9598E+02 | 2.9538E+00 | 3.7457E+00 | 5.9383E+02 | 1.5440E+03 | 2.3179E+01 | 2.9297E+00 | |
| Rank | 5 | 9 | 6 | 1 | 3 | 7 | 8 | 4 | 2 | |
| F9 | Best | 4.0675E+03 | 6.5101E+03 | 7.6171E+03 | 7.4353E+03 | 7.6053E+03 | 7.1897E+03 | 3.5790E+03 | 3.4376E+03 | 7.8424E+03 |
| Avg | 5.0357E+03 | 7.4975E+03 | 8.5601E+03 | 8.5088E+03 | 8.4969E+03 | 8.1087E+03 | 4.7628E+03 | 4.3311E+03 | 8.5848E+03 | |
| Std | 5.9698E+02 | 6.6318E+02 | 3.7719E+02 | 4.5679E+02 | 3.6219E+02 | 4.0558E+02 | 7.5565E+02 | 6.1071E+02 | 3.4561E+02 | |
| Rank | 3 | 4 | 8 | 7 | 6 | 5 | 2 | 1 | 9 | |
| F10 | Best | 1.1318E+03 | 1.2920E+03 | 1.6673E+03 | 1.1848E+03 | 1.1983E+03 | 1.5687E+03 | 1.3084E+03 | 1.1905E+03 | 1.2305E+03 |
| Avg | 1.1611E+03 | 1.4184E+03 | 2.0473E+03 | 1.2381E+03 | 1.2363E+03 | 1.8812E+03 | 1.4176E+03 | 1.2341E+03 | 1.2940E+03 | |
| Std | 2.1430E+01 | 8.9162E+01 | 2.3458E+02 | 2.6578E+01 | 2.4724E+01 | 1.9991E+02 | 5.7595E+01 | 2.3916E+01 | 3.8506E+01 | |
| Rank | 1 | 7 | 9 | 4 | 3 | 8 | 6 | 2 | 5 | |
| F11 | Best | 1.6653E+03 | 7.8723E+06 | 1.8725E+06 | 7.4811E+04 | 4.1210E+05 | 2.2139E+07 | 5.1398E+06 | 2.2234E+05 | 1.1290E+06 |
| Avg | 2.3615E+03 | 3.5060E+07 | 7.2653E+06 | 3.1591E+05 | 6.3099E+05 | 5.2438E+07 | 2.9002E+07 | 9.6314E+05 | 3.4038E+06 | |
| Std | 4.0135E+02 | 2.4954E+07 | 5.2816E+06 | 1.9125E+05 | 1.9221E+05 | 1.8848E+07 | 2.8836E+07 | 6.9246E+05 | 1.3689E+06 | |
| Rank | 1 | 8 | 6 | 2 | 3 | 9 | 7 | 4 | 5 | |
| F12 | Best | 1.5151E+03 | 6.8309E+04 | 5.1006E+04 | 1.3354E+04 | 7.2208E+04 | 1.2932E+06 | 1.3033E+05 | 2.3028E+03 | 3.1282E+04 |
| Avg | 2.2556E+03 | 1.7408E+05 | 1.0671E+05 | 2.4361E+04 | 1.1064E+05 | 5.9791E+06 | 6.4118E+05 | 1.6490E+04 | 3.5679E+05 | |
| Std | 6.0513E+02 | 6.6446E+04 | 4.0863E+04 | 8.1766E+03 | 3.3247E+04 | 3.9361E+06 | 6.7998E+05 | 1.5310E+04 | 2.2516E+05 | |
| Rank | 1 | 6 | 4 | 3 | 5 | 9 | 8 | 2 | 7 | |
| F13 | Best | 1.4290E+03 | 1.6480E+03 | 6.2522E+03 | 1.5233E+03 | 1.7046E+03 | 8.8463E+03 | 1.7184E+04 | 1.0452E+04 | 1.9220E+03 |
| Avg | 1.4809E+03 | 2.1678E+03 | 5.7616E+04 | 1.5550E+03 | 1.8528E+03 | 4.4053E+04 | 6.7324E+04 | 6.0331E+04 | 2.2141E+03 | |
| Std | 3.7896E+01 | 1.0257E+03 | 5.1036E+04 | 1.8277E+01 | 1.1568E+02 | 1.6550E+04 | 9.2942E+04 | 5.4731E+04 | 4.0052E+02 | |
| Rank | 1 | 4 | 7 | 2 | 3 | 6 | 9 | 8 | 5 | |
| F14 | Best | 1.5598E+03 | 1.1776E+04 | 2.1726E+04 | 2.2031E+03 | 8.3951E+03 | 1.7641E+05 | 1.1149E+04 | 1.8018E+03 | 2.8439E+04 |
| Avg | 1.6608E+03 | 2.9877E+04 | 5.0011E+04 | 2.6417E+03 | 1.5391E+04 | 6.9094E+05 | 1.0579E+05 | 6.7769E+03 | 6.4259E+04 | |
| Std | 4.9470E+01 | 1.2842E+04 | 2.9789E+04 | 3.0961E+02 | 3.7403E+03 | 3.5046E+05 | 7.5788E+04 | 7.5208E+03 | 3.5590E+04 | |
| Rank | 1 | 5 | 6 | 2 | 4 | 9 | 8 | 3 | 7 | |
| F15 | Best | 1.6027E+03 | 2.3269E+03 | 3.0603E+03 | 2.9586E+03 | 3.0544E+03 | 2.6997E+03 | 2.1477E+03 | 1.8036E+03 | 2.9860E+03 |
| Avg | 1.8519E+03 | 3.1450E+03 | 3.4625E+03 | 3.3134E+03 | 3.3023E+03 | 3.2390E+03 | 2.6645E+03 | 2.2518E+03 | 3.2904E+03 | |
| Std | 2.1228E+02 | 2.9881E+02 | 2.5125E+02 | 1.8615E+02 | 1.6300E+02 | 2.2390E+02 | 2.4032E+02 | 3.0237E+02 | 1.9330E+02 | |
| Rank | 1 | 4 | 9 | 8 | 7 | 5 | 3 | 2 | 6 | |
| F16 | Best | 1.7361E+03 | 2.0277E+03 | 1.9647E+03 | 2.1222E+03 | 2.1678E+03 | 1.9465E+03 | 1.8512E+03 | 1.7472E+03 | 2.1890E+03 |
| Avg | 1.8085E+03 | 2.2589E+03 | 2.2186E+03 | 2.3222E+03 | 2.3369E+03 | 2.1903E+03 | 2.1164E+03 | 1.9747E+03 | 2.3484E+03 | |
| Std | 7.7009E+01 | 1.5197E+02 | 1.8425E+02 | 1.3377E+02 | 6.5920E+01 | 1.2145E+02 | 1.8100E+02 | 1.8146E+02 | 9.5764E+01 | |
| Rank | 1 | 6 | 5 | 7 | 8 | 4 | 3 | 2 | 9 | |
| F17 | Best | 1.8689E+03 | 2.2311E+04 | 2.1272E+05 | 3.0625E+03 | 7.4247E+03 | 3.9751E+05 | 2.0559E+05 | 4.3165E+04 | 3.3972E+04 |
| Avg | 1.9368E+03 | 8.2441E+04 | 6.6926E+05 | 4.6467E+03 | 2.1219E+04 | 9.9425E+05 | 1.3957E+06 | 1.6978E+06 | 1.0076E+05 | |
| Std | 5.3946E+01 | 4.2900E+04 | 5.5054E+05 | 1.8981E+03 | 8.5896E+03 | 3.9903E+05 | 1.6107E+06 | 1.8392E+06 | 4.6845E+04 | |
| Rank | 1 | 4 | 6 | 2 | 3 | 7 | 8 | 9 | 5 | |
| F18 | Best | 1.9224E+03 | 8.8543E+03 | 1.1727E+04 | 2.0927E+03 | 4.4990E+03 | 2.1800E+05 | 3.4797E+04 | 2.1061E+03 | 1.6010E+04 |
| Avg | 1.9971E+03 | 1.1076E+05 | 5.0607E+04 | 2.4929E+03 | 7.3318E+03 | 9.0461E+05 | 4.2046E+05 | 1.1869E+04 | 4.6635E+04 | |
| Std | 5.4650E+01 | 1.1407E+05 | 2.4995E+04 | 8.3597E+02 | 2.4318E+03 | 5.1692E+05 | 2.6358E+05 | 1.0936E+04 | 2.0478E+04 | |
| Rank | 1 | 7 | 6 | 2 | 3 | 9 | 8 | 4 | 5 | |
| F19 | Best | 2.0256E+03 | 2.3527E+03 | 2.3649E+03 | 2.4896E+03 | 2.3920E+03 | 2.4831E+03 | 2.1343E+03 | 2.0434E+03 | 2.5506E+03 |
| Avg | 2.0490E+03 | 2.6169E+03 | 2.7130E+03 | 2.7752E+03 | 2.7295E+03 | 2.6702E+03 | 2.3856E+03 | 2.3026E+03 | 2.7614E+03 | |
| Std | 1.6675E+01 | 1.4438E+02 | 1.8280E+02 | 1.3137E+02 | 1.2573E+02 | 1.1245E+02 | 1.6334E+02 | 1.5163E+02 | 1.2883E+02 | |
| Rank | 1 | 4 | 6 | 9 | 7 | 5 | 3 | 2 | 8 | |
| F20 | Best | 2.3131E+03 | 2.4240E+03 | 2.4295E+03 | 2.4519E+03 | 2.4579E+03 | 2.4561E+03 | 2.3778E+03 | 2.3329E+03 | 2.4697E+03 |
| Avg | 2.3354E+03 | 2.4809E+03 | 2.4909E+03 | 2.4776E+03 | 2.4851E+03 | 2.4792E+03 | 2.4279E+03 | 2.3474E+03 | 2.4859E+03 | |
| Std | 2.8757E+01 | 2.9743E+01 | 2.6470E+01 | 1.4645E+01 | 1.2279E+01 | 1.3616E+01 | 2.7676E+01 | 1.1543E+01 | 7.8237E+00 | |
| Rank | 1 | 6 | 9 | 4 | 7 | 5 | 3 | 2 | 8 | |
| F21 | Best | 2.3000E+03 | 2.6673E+03 | 2.3304E+03 | 2.3114E+03 | 2.3171E+03 | 2.6017E+03 | 2.3303E+03 | 2.3172E+03 | 2.3190E+03 |
| Avg | 2.4892E+03 | 6.1441E+03 | 2.9698E+03 | 2.3146E+03 | 2.3185E+03 | 2.6679E+03 | 4.6361E+03 | 5.2111E+03 | 2.3324E+03 | |
| Std | 7.3176E+02 | 3.0103E+03 | 2.0063E+03 | 1.8596E+00 | 9.4974E-01 | 4.2942E+01 | 2.1822E+03 | 1.6268E+03 | 2.9509E+01 | |
| Rank | 4 | 9 | 6 | 1 | 2 | 5 | 7 | 8 | 3 | |
| F22 | Best | 2.6611E+03 | 2.7771E+03 | 2.8080E+03 | 2.8176E+03 | 2.8092E+03 | 2.8073E+03 | 2.7374E+03 | 2.6827E+03 | 2.8209E+03 |
| Avg | 2.6858E+03 | 2.8699E+03 | 2.8557E+03 | 2.8372E+03 | 2.8386E+03 | 2.8516E+03 | 2.7733E+03 | 2.6964E+03 | 2.8404E+03 | |
| Std | 2.3121E+01 | 3.3452E+01 | 2.0868E+01 | 1.3129E+01 | 1.2770E+01 | 2.4432E+01 | 2.1428E+01 | 1.0057E+01 | 9.0912E+00 | |
| Rank | 1 | 9 | 8 | 4 | 5 | 7 | 3 | 2 | 6 | |
| F23 | Best | 2.8326E+03 | 2.9641E+03 | 2.9789E+03 | 2.9556E+03 | 2.9881E+03 | 2.9586E+03 | 2.8866E+03 | 2.8426E+03 | 2.9910E+03 |
| Avg | 2.8743E+03 | 3.0319E+03 | 3.0230E+03 | 3.0026E+03 | 3.0032E+03 | 3.0054E+03 | 2.9276E+03 | 2.8731E+03 | 3.0036E+03 | |
| Std | 3.4835E+01 | 3.7227E+01 | 2.7036E+01 | 1.7061E+01 | 8.9701E+00 | 2.2054E+01 | 2.0355E+01 | 1.8963E+01 | 8.5315E+00 | |
| Rank | 2 | 9 | 8 | 4 | 5 | 7 | 3 | 1 | 6 | |
| F24 | Best | 2.8755E+03 | 2.9742E+03 | 2.8980E+03 | 2.8876E+03 | 2.8878E+03 | 3.0226E+03 | 2.9078E+03 | 2.8944E+03 | 2.8882E+03 |
| Avg | 2.8831E+03 | 3.0436E+03 | 2.9508E+03 | 2.8890E+03 | 2.8888E+03 | 3.0740E+03 | 2.9496E+03 | 2.9086E+03 | 2.8909E+03 | |
| Std | 1.6523E+01 | 4.8366E+01 | 2.4169E+01 | 2.1380E+00 | 7.2341E-01 | 4.5806E+01 | 2.9317E+01 | 1.0150E+01 | 2.7301E+00 | |
| Rank | 1 | 8 | 7 | 3 | 2 | 9 | 6 | 5 | 4 | |
| F25 | Best | 3.5533E+03 | 3.8738E+03 | 3.1771E+03 | 5.2000E+03 | 5.1425E+03 | 4.3885E+03 | 4.4044E+03 | 3.7982E+03 | 2.9376E+03 |
| Avg | 3.9352E+03 | 5.4866E+03 | 5.1380E+03 | 5.3909E+03 | 5.3555E+03 | 5.5710E+03 | 4.9261E+03 | 4.0743E+03 | 5.0642E+03 | |
| Std | 2.2284E+02 | 6.8761E+02 | 8.4248E+02 | 1.0067E+02 | 1.1908E+02 | 3.6806E+02 | 3.1798E+02 | 1.3371E+02 | 8.7128E+02 | |
| Rank | 1 | 8 | 5 | 7 | 6 | 9 | 3 | 2 | 4 | |
| F26 | Best | 3.1264E+03 | 3.2424E+03 | 3.2228E+03 | 3.2167E+03 | 3.2197E+03 | 3.2827E+03 | 3.2199E+03 | 3.1986E+03 | 3.2203E+03 |
| Avg | 3.1792E+03 | 3.2904E+03 | 3.2407E+03 | 3.2276E+03 | 3.2260E+03 | 3.3196E+03 | 3.2454E+03 | 3.2173E+03 | 3.2275E+03 | |
| Std | 1.8144E+01 | 4.4358E+01 | 1.2849E+01 | 7.9249E+00 | 4.9678E+00 | 2.7690E+01 | 1.6747E+01 | 1.0196E+01 | 7.7115E+00 | |
| Rank | 1 | 8 | 6 | 5 | 3 | 9 | 7 | 2 | 4 | |
| F27 | Best | 3.1000E+03 | 3.3173E+03 | 3.2940E+03 | 3.2298E+03 | 3.2246E+03 | 3.3488E+03 | 3.2542E+03 | 3.2694E+03 | 3.2303E+03 |
| Avg | 3.1320E+03 | 3.4898E+03 | 3.3290E+03 | 3.2492E+03 | 3.2411E+03 | 3.4541E+03 | 3.3427E+03 | 3.2939E+03 | 3.2548E+03 | |
| Std | 5.6754E+01 | 9.1542E+01 | 2.4677E+01 | 1.5023E+01 | 1.4772E+01 | 7.4654E+01 | 5.3891E+01 | 1.4964E+01 | 2.3270E+01 | |
| Rank | 1 | 9 | 6 | 3 | 2 | 8 | 7 | 5 | 4 | |
| F28 | Best | 3.3836E+03 | 4.1280E+03 | 3.6505E+03 | 3.8266E+03 | 3.8807E+03 | 3.8818E+03 | 3.5660E+03 | 3.3980E+03 | 3.9226E+03 |
| Avg | 3.5263E+03 | 4.4271E+03 | 4.1402E+03 | 4.0886E+03 | 4.0728E+03 | 4.1646E+03 | 3.9638E+03 | 3.6807E+03 | 4.0994E+03 | |
| Std | 9.7478E+01 | 1.9062E+02 | 2.1169E+02 | 1.1789E+02 | 1.0271E+02 | 1.4150E+02 | 2.3204E+02 | 1.9090E+02 | 1.3534E+02 | |
| Rank | 1 | 9 | 7 | 5 | 4 | 8 | 3 | 2 | 6 | |
| F29 | Best | 3.4105E+03 | 1.6772E+05 | 1.4034E+05 | 1.0620E+04 | 2.4450E+04 | 2.2141E+06 | 2.2512E+05 | 7.0122E+03 | 1.3130E+05 |
| Avg | 3.7782E+03 | 1.4152E+06 | 7.0488E+05 | 2.0982E+04 | 4.3317E+04 | 5.2108E+06 | 3.3277E+06 | 1.3570E+04 | 2.9383E+05 | |
| Std | 3.7754E+02 | 1.2694E+06 | 5.1166E+05 | 7.3986E+03 | 1.1628E+04 | 2.5394E+06 | 2.1015E+06 | 5.9159E+03 | 1.4545E+05 | |
| Rank | 1 | 7 | 6 | 3 | 4 | 9 | 8 | 2 | 5 |
| No. | Index | EECO | EDECO | ISGTOA | APSM-jSO | LSHADE-SPACMA | EOSMA | GLSRIME | EPSCA | ESLPSO |
|---|---|---|---|---|---|---|---|---|---|---|
| F1 | Best | 1.0000E+02 | 4.7925E+09 | 5.0198E+08 | 5.9074E+06 | 1.0837E+07 | 6.7255E+09 | 4.2879E+08 | 1.0000E+02 | 8.5347E+07 |
| Avg | 1.0000E+02 | 9.5729E+09 | 1.0159E+09 | 1.3639E+07 | 1.3365E+07 | 1.0492E+10 | 1.1763E+09 | 8.3811E+08 | 1.0300E+08 | |
| Std | 7.6907E-07 | 3.5920E+09 | 4.1380E+08 | 5.3520E+06 | 2.2389E+06 | 2.0903E+09 | 4.8071E+08 | 8.4241E+08 | 1.1330E+07 | |
| Rank | 1 | 8 | 6 | 3 | 2 | 9 | 7 | 5 | 4 | |
| F2 | Best | 3.0000E+02 | 5.4017E+04 | 8.6516E+04 | 1.4551E+04 | 1.9793E+04 | 9.9104E+04 | 6.9286E+04 | 6.7978E+02 | 1.0575E+05 |
| Avg | 3.0000E+02 | 7.0252E+04 | 1.2344E+05 | 2.2523E+04 | 5.2198E+04 | 1.5120E+05 | 1.2072E+05 | 1.6096E+05 | 1.5294E+05 | |
| Std | 1.9107E-08 | 1.3026E+04 | 1.8316E+04 | 5.0574E+03 | 3.1839E+04 | 2.9818E+04 | 2.4896E+04 | 9.2576E+04 | 2.1898E+04 | |
| Rank | 1 | 4 | 6 | 2 | 3 | 7 | 5 | 9 | 8 | |
| F3 | Best | 4.0000E+02 | 1.1518E+03 | 6.8489E+02 | 5.2103E+02 | 5.9828E+02 | 1.3513E+03 | 7.4444E+02 | 5.1495E+02 | 5.5752E+02 |
| Avg | 4.0133E+02 | 1.7277E+03 | 7.7378E+02 | 6.1496E+02 | 6.2381E+02 | 1.7678E+03 | 8.3701E+02 | 7.0252E+02 | 6.2271E+02 | |
| Std | 1.9453E+00 | 5.2206E+02 | 6.6121E+01 | 3.1321E+01 | 8.9771E+00 | 3.9025E+02 | 6.3582E+01 | 1.0857E+02 | 3.0933E+01 | |
| Rank | 1 | 8 | 6 | 2 | 4 | 9 | 7 | 5 | 3 | |
| F4 | Best | 5.4079E+02 | 8.3901E+02 | 8.4461E+02 | 8.3498E+02 | 8.3647E+02 | 8.2578E+02 | 7.0069E+02 | 5.5373E+02 | 8.5124E+02 |
| Avg | 5.6799E+02 | 9.3781E+02 | 9.3004E+02 | 8.6507E+02 | 8.7054E+02 | 8.9102E+02 | 7.9503E+02 | 6.4899E+02 | 8.7443E+02 | |
| Std | 2.3514E+01 | 5.1851E+01 | 4.1489E+01 | 1.3790E+01 | 1.4011E+01 | 3.7282E+01 | 5.5267E+01 | 5.0249E+01 | 1.4224E+01 | |
| Rank | 1 | 9 | 8 | 4 | 5 | 7 | 3 | 2 | 6 | |
| F5 | Best | 6.0322E+02 | 6.3535E+02 | 6.2021E+02 | 6.0167E+02 | 6.0249E+02 | 6.2630E+02 | 6.1959E+02 | 6.0367E+02 | 6.0427E+02 |
| Avg | 6.0774E+02 | 6.4746E+02 | 6.2956E+02 | 6.0247E+02 | 6.0299E+02 | 6.3572E+02 | 6.3278E+02 | 6.0949E+02 | 6.0561E+02 | |
| Std | 3.3724E+00 | 7.6751E+00 | 5.5514E+00 | 3.8990E-01 | 2.2534E-01 | 6.1215E+00 | 1.1901E+01 | 3.5863E+00 | 5.0561E-01 | |
| Rank | 4 | 9 | 6 | 1 | 2 | 8 | 7 | 5 | 3 | |
| F6 | Best | 7.7267E+02 | 1.2171E+03 | 1.2151E+03 | 1.0815E+03 | 1.0811E+03 | 1.2471E+03 | 1.1150E+03 | 8.5295E+02 | 1.1103E+03 |
| Avg | 8.4986E+02 | 1.4130E+03 | 1.2554E+03 | 1.1177E+03 | 1.1159E+03 | 1.3265E+03 | 1.2532E+03 | 9.8090E+02 | 1.1334E+03 | |
| Std | 4.2473E+01 | 1.0399E+02 | 2.4850E+01 | 1.6135E+01 | 1.9252E+01 | 5.0049E+01 | 7.8812E+01 | 5.4072E+01 | 1.5136E+01 | |
| Rank | 1 | 9 | 7 | 4 | 3 | 8 | 6 | 2 | 5 | |
| F7 | Best | 8.3582E+02 | 1.1011E+03 | 1.1710E+03 | 1.1249E+03 | 1.1405E+03 | 1.1430E+03 | 1.0207E+03 | 8.6467E+02 | 1.1534E+03 |
| Avg | 8.7429E+02 | 1.2006E+03 | 1.2343E+03 | 1.1637E+03 | 1.1679E+03 | 1.1996E+03 | 1.1008E+03 | 9.5560E+02 | 1.1719E+03 | |
| Std | 1.6703E+01 | 5.3187E+01 | 3.1891E+01 | 1.5381E+01 | 1.5001E+01 | 3.3559E+01 | 4.0847E+01 | 7.3620E+01 | 1.0452E+01 | |
| Rank | 1 | 8 | 9 | 4 | 5 | 7 | 3 | 2 | 6 | |
| F8 | Best | 1.1323E+03 | 7.5727E+03 | 4.0409E+03 | 9.1082E+02 | 9.2766E+02 | 5.3319E+03 | 4.9679E+03 | 1.3227E+03 | 9.9687E+02 |
| Avg | 1.4867E+03 | 1.3514E+04 | 7.3077E+03 | 9.3337E+02 | 9.3897E+02 | 8.3575E+03 | 9.9996E+03 | 1.8565E+03 | 1.0387E+03 | |
| Std | 2.6421E+02 | 3.4502E+03 | 1.7918E+03 | 1.3786E+01 | 7.1343E+00 | 2.1976E+03 | 3.9272E+03 | 5.1287E+02 | 2.4307E+01 | |
| Rank | 4 | 9 | 6 | 1 | 2 | 7 | 8 | 5 | 3 | |
| F9 | Best | 2.5378E+03 | 1.0920E+04 | 1.2725E+04 | 1.3719E+04 | 1.4265E+04 | 1.2941E+04 | 8.1320E+03 | 5.6998E+03 | 1.4106E+04 |
| Avg | 7.0564E+03 | 1.2972E+04 | 1.4412E+04 | 1.5023E+04 | 1.4966E+04 | 1.4260E+04 | 9.7476E+03 | 7.9829E+03 | 1.4832E+04 | |
| Std | 1.7152E+03 | 9.5550E+02 | 8.1708E+02 | 4.5179E+02 | 3.6655E+02 | 4.8781E+02 | 9.4268E+02 | 1.3014E+03 | 2.8587E+02 | |
| Rank | 1 | 4 | 6 | 9 | 8 | 5 | 3 | 2 | 7 | |
| F10 | Best | 1.1726E+03 | 1.9963E+03 | 4.1271E+03 | 1.3163E+03 | 1.3650E+03 | 4.7506E+03 | 1.7751E+03 | 1.3326E+03 | 1.4419E+03 |
| Avg | 1.2313E+03 | 2.4568E+03 | 6.1314E+03 | 1.3782E+03 | 1.4169E+03 | 5.4949E+03 | 2.0200E+03 | 2.2524E+03 | 1.5925E+03 | |
| Std | 3.7132E+01 | 3.0428E+02 | 1.2820E+03 | 4.8200E+01 | 3.4489E+01 | 6.4461E+02 | 1.6925E+02 | 9.9187E+02 | 8.0581E+01 | |
| Rank | 1 | 7 | 9 | 2 | 3 | 8 | 5 | 6 | 4 | |
| F11 | Best | 2.1612E+03 | 1.8362E+08 | 1.9031E+07 | 2.3705E+06 | 4.6020E+06 | 3.8819E+08 | 1.0328E+08 | 9.9226E+05 | 2.1062E+07 |
| Avg | 3.6113E+03 | 4.2147E+08 | 6.3942E+07 | 7.7817E+06 | 6.9384E+06 | 6.3808E+08 | 2.9363E+08 | 3.1844E+07 | 3.2462E+07 | |
| Std | 7.8086E+02 | 1.4560E+08 | 2.2229E+07 | 4.7176E+06 | 1.9812E+06 | 2.5986E+08 | 1.8555E+08 | 2.8985E+07 | 9.3116E+06 | |
| Rank | 1 | 8 | 6 | 3 | 2 | 9 | 7 | 4 | 5 | |
| F12 | Best | 2.0979E+03 | 9.9271E+05 | 2.0001E+05 | 5.0219E+04 | 3.2898E+05 | 8.5759E+06 | 6.4451E+05 | 2.2504E+03 | 3.8586E+05 |
| Avg | 3.1305E+03 | 3.9607E+06 | 5.7247E+05 | 7.4997E+04 | 5.8056E+05 | 4.3484E+07 | 5.0799E+06 | 3.9705E+04 | 9.6383E+05 | |
| Std | 6.7394E+02 | 2.2097E+06 | 3.6294E+05 | 1.7410E+04 | 1.8887E+05 | 2.1749E+07 | 2.9461E+06 | 3.2215E+04 | 5.2587E+05 | |
| Rank | 1 | 7 | 4 | 3 | 5 | 9 | 8 | 2 | 6 | |
| F13 | Best | 1.5016E+03 | 5.6567E+03 | 1.2889E+05 | 1.7467E+03 | 3.5658E+03 | 9.0907E+04 | 1.2677E+05 | 3.4101E+04 | 8.0263E+03 |
| Avg | 1.6079E+03 | 3.7291E+04 | 5.0575E+05 | 1.8468E+03 | 5.3096E+03 | 3.7901E+05 | 5.6832E+05 | 6.1092E+05 | 1.9104E+04 | |
| Std | 1.0883E+02 | 4.1427E+04 | 3.4244E+05 | 6.7422E+01 | 1.0260E+03 | 1.7963E+05 | 4.1996E+05 | 8.0036E+05 | 1.6517E+04 | |
| Rank | 1 | 5 | 7 | 2 | 3 | 6 | 8 | 9 | 4 | |
| F14 | Best | 1.6537E+03 | 4.6546E+04 | 3.7992E+04 | 6.9041E+03 | 6.8470E+04 | 1.9335E+06 | 2.2232E+05 | 1.9914E+03 | 8.2942E+04 |
| Avg | 1.8610E+03 | 1.3694E+05 | 6.6119E+04 | 1.6564E+04 | 1.2449E+05 | 5.0691E+06 | 1.1459E+06 | 7.3151E+03 | 2.3992E+05 | |
| Std | 1.0930E+02 | 6.4251E+04 | 2.0375E+04 | 4.9806E+03 | 4.3488E+04 | 3.1616E+06 | 7.3247E+05 | 7.1341E+03 | 1.5834E+05 | |
| Rank | 1 | 6 | 4 | 3 | 5 | 9 | 8 | 2 | 7 | |
| F15 | Best | 1.7283E+03 | 3.3842E+03 | 3.6473E+03 | 4.2071E+03 | 4.1188E+03 | 3.8098E+03 | 2.8629E+03 | 2.5407E+03 | 4.3911E+03 |
| Avg | 2.0247E+03 | 4.2565E+03 | 4.7004E+03 | 4.6614E+03 | 4.6935E+03 | 4.4357E+03 | 3.4765E+03 | 3.0336E+03 | 4.8548E+03 | |
| Std | 1.9968E+02 | 4.1388E+02 | 4.9963E+02 | 2.3479E+02 | 2.6088E+02 | 3.4461E+02 | 4.4703E+02 | 4.1882E+02 | 2.2153E+02 | |
| Rank | 1 | 4 | 8 | 6 | 7 | 5 | 3 | 2 | 9 | |
| F16 | Best | 1.8389E+03 | 3.4535E+03 | 3.1547E+03 | 3.1146E+03 | 3.4285E+03 | 2.9547E+03 | 2.7750E+03 | 2.3718E+03 | 3.3046E+03 |
| Avg | 2.0337E+03 | 3.7373E+03 | 3.6677E+03 | 3.7161E+03 | 3.7281E+03 | 3.4975E+03 | 3.3136E+03 | 2.9548E+03 | 3.7265E+03 | |
| Std | 1.1829E+02 | 1.8860E+02 | 3.5955E+02 | 2.1162E+02 | 1.5927E+02 | 2.5763E+02 | 2.8519E+02 | 2.6549E+02 | 2.1161E+02 | |
| Rank | 1 | 9 | 5 | 6 | 8 | 4 | 3 | 2 | 7 | |
| F17 | Best | 1.8903E+03 | 1.0738E+05 | 1.4278E+06 | 1.2394E+04 | 4.5180E+04 | 1.8088E+06 | 3.5447E+05 | 5.1708E+05 | 1.7988E+05 |
| Avg | 2.0273E+03 | 4.5207E+05 | 3.9660E+06 | 2.4129E+04 | 7.0902E+04 | 3.6671E+06 | 5.6955E+06 | 3.0804E+06 | 3.0443E+05 | |
| Std | 9.8536E+01 | 2.8309E+05 | 2.0673E+06 | 7.6372E+03 | 1.4120E+04 | 1.7237E+06 | 6.2002E+06 | 3.4610E+06 | 1.3577E+05 | |
| Rank | 1 | 5 | 8 | 2 | 3 | 7 | 9 | 6 | 4 | |
| F18 | Best | 1.9845E+03 | 2.3113E+04 | 5.9957E+04 | 7.3891E+03 | 3.5872E+04 | 5.2394E+05 | 1.9849E+05 | 2.1223E+03 | 1.0013E+05 |
| Avg | 2.0477E+03 | 1.8981E+05 | 1.7458E+05 | 1.2745E+04 | 5.4590E+04 | 3.0907E+06 | 3.5353E+06 | 1.4093E+04 | 1.9283E+05 | |
| Std | 5.2258E+01 | 1.5998E+05 | 1.2487E+05 | 4.2891E+03 | 1.3250E+04 | 1.8501E+06 | 4.0876E+06 | 1.0908E+04 | 1.2818E+05 | |
| Rank | 1 | 6 | 5 | 2 | 4 | 8 | 9 | 3 | 7 | |
| F19 | Best | 2.0485E+03 | 2.8216E+03 | 3.7080E+03 | 3.4971E+03 | 3.2913E+03 | 3.3173E+03 | 2.8268E+03 | 2.4750E+03 | 3.6671E+03 |
| Avg | 2.1193E+03 | 3.5595E+03 | 3.9565E+03 | 3.9543E+03 | 3.8949E+03 | 3.6939E+03 | 3.0847E+03 | 3.0751E+03 | 3.9739E+03 | |
| Std | 5.4049E+01 | 2.8791E+02 | 1.7104E+02 | 2.0482E+02 | 2.3720E+02 | 2.1436E+02 | 2.2873E+02 | 3.5762E+02 | 1.8028E+02 | |
| Rank | 1 | 4 | 8 | 7 | 6 | 5 | 3 | 2 | 9 | |
| F20 | Best | 2.3290E+03 | 2.5843E+03 | 2.6638E+03 | 2.5943E+03 | 2.6313E+03 | 2.6240E+03 | 2.5407E+03 | 2.3668E+03 | 2.6548E+03 |
| Avg | 2.3575E+03 | 2.7046E+03 | 2.7323E+03 | 2.6657E+03 | 2.6709E+03 | 2.6851E+03 | 2.5873E+03 | 2.4609E+03 | 2.6797E+03 | |
| Std | 1.4863E+01 | 5.7673E+01 | 2.4706E+01 | 2.2249E+01 | 1.8941E+01 | 2.9941E+01 | 3.3609E+01 | 6.4711E+01 | 1.2923E+01 | |
| Rank | 1 | 8 | 9 | 4 | 5 | 7 | 3 | 2 | 6 | |
| F21 | Best | 2.3046E+03 | 1.2373E+04 | 1.5197E+04 | 2.7784E+03 | 1.4386E+04 | 4.9149E+03 | 9.3960E+03 | 7.9801E+03 | 1.5814E+04 |
| Avg | 7.8366E+03 | 1.4490E+04 | 1.6522E+04 | 1.5718E+04 | 1.5978E+04 | 1.3243E+04 | 1.0749E+04 | 9.6922E+03 | 1.6400E+04 | |
| Std | 2.9475E+03 | 9.3920E+02 | 5.2400E+02 | 3.5991E+03 | 7.6138E+02 | 4.5054E+03 | 8.3400E+02 | 1.0018E+03 | 2.9268E+02 | |
| Rank | 1 | 5 | 9 | 6 | 7 | 4 | 3 | 2 | 8 | |
| F22 | Best | 2.7553E+03 | 3.1573E+03 | 3.0897E+03 | 3.0833E+03 | 3.0528E+03 | 3.1440E+03 | 3.0060E+03 | 2.8151E+03 | 3.0752E+03 |
| Avg | 2.8522E+03 | 3.2315E+03 | 3.1659E+03 | 3.1027E+03 | 3.0968E+03 | 3.1808E+03 | 3.0702E+03 | 2.9004E+03 | 3.1079E+03 | |
| Std | 6.4461E+01 | 6.2271E+01 | 4.3980E+01 | 1.2164E+01 | 1.7536E+01 | 2.8850E+01 | 5.6650E+01 | 4.1724E+01 | 1.4814E+01 | |
| Rank | 1 | 9 | 7 | 5 | 4 | 8 | 3 | 2 | 6 | |
| F23 | Best | 2.9611E+03 | 3.2354E+03 | 3.3081E+03 | 3.2334E+03 | 3.2251E+03 | 3.2558E+03 | 3.0903E+03 | 2.9768E+03 | 3.2238E+03 |
| Avg | 3.0461E+03 | 3.3423E+03 | 3.3377E+03 | 3.2658E+03 | 3.2550E+03 | 3.3009E+03 | 3.2048E+03 | 3.0482E+03 | 3.2629E+03 | |
| Std | 6.4960E+01 | 6.7906E+01 | 1.9794E+01 | 1.7941E+01 | 1.6958E+01 | 2.9647E+01 | 5.3517E+01 | 3.7894E+01 | 1.9413E+01 | |
| Rank | 1 | 9 | 8 | 6 | 4 | 7 | 3 | 2 | 5 | |
| F24 | Best | 2.9312E+03 | 3.5671E+03 | 3.1888E+03 | 3.0350E+03 | 3.0418E+03 | 3.7865E+03 | 3.2044E+03 | 3.0687E+03 | 3.0678E+03 |
| Avg | 2.9720E+03 | 3.8731E+03 | 3.3337E+03 | 3.0859E+03 | 3.0501E+03 | 4.1261E+03 | 3.4075E+03 | 3.1902E+03 | 3.1000E+03 | |
| Std | 2.2055E+01 | 2.2550E+02 | 9.8461E+01 | 2.4401E+01 | 4.3327E+00 | 2.2517E+02 | 2.0445E+02 | 9.3950E+01 | 2.0350E+01 | |
| Rank | 1 | 8 | 6 | 3 | 2 | 9 | 7 | 5 | 4 | |
| F25 | Best | 2.9000E+03 | 7.8482E+03 | 7.3357E+03 | 6.8484E+03 | 6.9900E+03 | 7.8161E+03 | 6.5302E+03 | 4.7513E+03 | 7.0961E+03 |
| Avg | 4.9613E+03 | 8.8606E+03 | 8.1295E+03 | 7.2052E+03 | 7.2100E+03 | 8.2728E+03 | 7.2049E+03 | 5.3230E+03 | 7.3853E+03 | |
| Std | 7.5099E+02 | 7.6881E+02 | 4.5846E+02 | 1.8946E+02 | 1.4696E+02 | 3.1546E+02 | 6.4412E+02 | 4.1034E+02 | 1.3376E+02 | |
| Rank | 1 | 9 | 7 | 4 | 5 | 8 | 3 | 2 | 6 | |
| F26 | Best | 3.1532E+03 | 3.5674E+03 | 3.4093E+03 | 3.2732E+03 | 3.2575E+03 | 3.7077E+03 | 3.4227E+03 | 3.3322E+03 | 3.2747E+03 |
| Avg | 3.2543E+03 | 3.7453E+03 | 3.5588E+03 | 3.3294E+03 | 3.2890E+03 | 3.8844E+03 | 3.5860E+03 | 3.4475E+03 | 3.3690E+03 | |
| Std | 1.3207E+02 | 1.6783E+02 | 1.0584E+02 | 4.0700E+01 | 2.4961E+01 | 8.7655E+01 | 8.7932E+01 | 7.6648E+01 | 5.0872E+01 | |
| Rank | 1 | 8 | 6 | 3 | 2 | 9 | 7 | 5 | 4 | |
| F27 | Best | 3.2635E+03 | 3.8428E+03 | 3.5801E+03 | 3.3234E+03 | 3.2985E+03 | 4.3417E+03 | 3.4905E+03 | 3.3152E+03 | 3.3572E+03 |
| Avg | 3.2976E+03 | 4.7429E+03 | 3.7356E+03 | 3.3514E+03 | 3.3233E+03 | 4.8269E+03 | 3.8602E+03 | 3.6566E+03 | 3.3873E+03 | |
| Std | 9.4362E+00 | 4.8091E+02 | 1.0505E+02 | 1.8705E+01 | 1.3083E+01 | 3.0065E+02 | 3.3498E+02 | 2.9360E+02 | 2.8164E+01 | |
| Rank | 1 | 8 | 6 | 3 | 2 | 9 | 7 | 5 | 4 | |
| F28 | Best | 3.2211E+03 | 4.9510E+03 | 4.2507E+03 | 4.7490E+03 | 4.7655E+03 | 4.8872E+03 | 4.6196E+03 | 3.8950E+03 | 4.6079E+03 |
| Avg | 3.4463E+03 | 5.9246E+03 | 5.1588E+03 | 4.9660E+03 | 4.9498E+03 | 5.4116E+03 | 4.9670E+03 | 4.2825E+03 | 5.0258E+03 | |
| Std | 1.4832E+02 | 6.0421E+02 | 5.5983E+02 | 1.4004E+02 | 9.5998E+01 | 2.5365E+02 | 3.1217E+02 | 3.6965E+02 | 2.2539E+02 | |
| Rank | 1 | 9 | 7 | 4 | 3 | 8 | 5 | 2 | 6 | |
| F29 | Best | 3.4159E+03 | 2.6903E+07 | 2.0703E+07 | 3.0284E+06 | 3.6764E+06 | 9.8686E+07 | 5.2163E+07 | 8.1890E+05 | 1.1798E+07 |
| Avg | 4.3805E+03 | 4.7821E+07 | 3.0285E+07 | 4.3502E+06 | 4.4486E+06 | 1.4598E+08 | 9.8333E+07 | 2.6875E+06 | 1.8853E+07 | |
| Std | 9.9589E+02 | 1.7872E+07 | 7.1760E+06 | 1.1703E+06 | 5.8131E+05 | 3.5820E+07 | 3.8102E+07 | 1.1125E+06 | 6.8320E+06 | |
| Rank | 1 | 7 | 6 | 3 | 4 | 9 | 8 | 2 | 5 |
| No. | Index | EECO | EDECO | ISGTOA | APSM-jSO | LSHADE-SPACMA | EOSMA | GLSRIME | EPSCA | ESLPSO |
|---|---|---|---|---|---|---|---|---|---|---|
| F1 | Best | 1.0000E+02 | 4.8379E+10 | 1.3587E+10 | 3.1413E+08 | 1.1784E+08 | 4.8564E+10 | 1.9190E+10 | 7.1108E+05 | 1.3047E+09 |
| Avg | 2.0403E+02 | 6.1811E+10 | 1.8451E+10 | 5.3099E+08 | 1.2473E+08 | 5.7195E+10 | 2.4351E+10 | 7.4247E+09 | 1.5611E+09 | |
| Std | 2.3260E+02 | 1.8831E+10 | 4.5820E+09 | 1.9969E+08 | 9.6664E+06 | 5.9532E+09 | 3.7010E+09 | 1.0261E+10 | 2.7030E+08 | |
| Rank | 1 | 9 | 6 | 3 | 2 | 8 | 7 | 5 | 4 | |
| F2 | Best | 3.0018E+02 | 1.5782E+05 | 2.6064E+05 | 8.9129E+04 | 3.0264E+05 | 3.2370E+05 | 3.7860E+05 | 8.2013E+02 | 3.0151E+05 |
| Avg | 3.0082E+02 | 1.8220E+05 | 2.9572E+05 | 9.9055E+04 | 3.5234E+05 | 3.9258E+05 | 4.4916E+05 | 2.9782E+05 | 3.8888E+05 | |
| Std | 4.5854E-01 | 3.1844E+04 | 2.5915E+04 | 1.0635E+04 | 4.5239E+04 | 6.4069E+04 | 6.3161E+04 | 2.9233E+05 | 5.7859E+04 | |
| Rank | 1 | 3 | 4 | 2 | 6 | 8 | 9 | 5 | 7 | |
| F3 | Best | 4.0000E+02 | 4.2224E+03 | 2.0489E+03 | 8.5845E+02 | 7.2758E+02 | 5.4389E+03 | 2.7096E+03 | 7.2996E+02 | 1.0277E+03 |
| Avg | 4.0319E+02 | 6.9339E+03 | 2.3820E+03 | 9.0933E+02 | 7.4853E+02 | 7.3769E+03 | 3.1728E+03 | 1.2903E+03 | 1.0918E+03 | |
| Std | 1.7829E+00 | 2.6087E+03 | 2.0093E+02 | 3.7777E+01 | 1.7741E+01 | 1.7635E+03 | 3.4369E+02 | 7.5332E+02 | 5.7149E+01 | |
| Rank | 1 | 8 | 6 | 3 | 2 | 9 | 7 | 5 | 4 | |
| F4 | Best | 6.7511E+02 | 1.5015E+03 | 1.4864E+03 | 1.2944E+03 | 1.2912E+03 | 1.3964E+03 | 1.3612E+03 | 9.9549E+02 | 1.3178E+03 |
| Avg | 7.1033E+02 | 1.6051E+03 | 1.6202E+03 | 1.3281E+03 | 1.3186E+03 | 1.4738E+03 | 1.4419E+03 | 1.1009E+03 | 1.3766E+03 | |
| Std | 3.4856E+01 | 6.6516E+01 | 7.9081E+01 | 1.9652E+01 | 2.3920E+01 | 6.8810E+01 | 6.3334E+01 | 1.0250E+02 | 3.5681E+01 | |
| Rank | 1 | 8 | 9 | 4 | 3 | 7 | 6 | 2 | 5 | |
| F5 | Best | 6.1293E+02 | 6.6694E+02 | 6.4787E+02 | 6.0590E+02 | 6.0413E+02 | 6.5171E+02 | 6.4725E+02 | 6.1792E+02 | 6.1095E+02 |
| Avg | 6.1435E+02 | 6.7373E+02 | 6.5577E+02 | 6.0704E+02 | 6.0465E+02 | 6.5622E+02 | 6.7081E+02 | 6.2358E+02 | 6.1184E+02 | |
| Std | 1.1095E+00 | 7.4344E+00 | 4.9464E+00 | 8.6795E-01 | 3.5732E-01 | 2.6448E+00 | 1.6396E+01 | 5.4963E+00 | 5.9642E-01 | |
| Rank | 4 | 9 | 6 | 2 | 1 | 7 | 8 | 5 | 3 | |
| F6 | Best | 9.7962E+02 | 2.6367E+03 | 2.0705E+03 | 1.6167E+03 | 1.6070E+03 | 2.3544E+03 | 2.3087E+03 | 1.6258E+03 | 1.7068E+03 |
| Avg | 1.1300E+03 | 2.8628E+03 | 2.2378E+03 | 1.6528E+03 | 1.6303E+03 | 2.5699E+03 | 2.4029E+03 | 1.8299E+03 | 1.7299E+03 | |
| Std | 1.8465E+02 | 1.5072E+02 | 1.1641E+02 | 2.5044E+01 | 2.1430E+01 | 1.4196E+02 | 8.8462E+01 | 1.5337E+02 | 2.2737E+01 | |
| Rank | 1 | 9 | 6 | 3 | 2 | 8 | 7 | 5 | 4 | |
| F7 | Best | 9.9203E+02 | 1.8884E+03 | 1.8376E+03 | 1.6226E+03 | 1.5913E+03 | 1.7625E+03 | 1.5804E+03 | 1.0066E+03 | 1.6344E+03 |
| Avg | 1.0784E+03 | 1.9869E+03 | 1.9361E+03 | 1.6561E+03 | 1.6129E+03 | 1.8331E+03 | 1.7335E+03 | 1.1637E+03 | 1.6832E+03 | |
| Std | 6.6466E+01 | 9.0131E+01 | 5.8657E+01 | 2.2275E+01 | 1.8455E+01 | 6.6286E+01 | 9.8631E+01 | 1.8091E+02 | 3.2922E+01 | |
| Rank | 1 | 9 | 8 | 4 | 3 | 7 | 6 | 2 | 5 | |
| F8 | Best | 3.4202E+03 | 4.0886E+04 | 3.4414E+04 | 1.4879E+03 | 1.0764E+03 | 3.1307E+04 | 3.8552E+04 | 7.8049E+03 | 2.2476E+03 |
| Avg | 3.8428E+03 | 4.4753E+04 | 3.8439E+04 | 1.7385E+03 | 1.1256E+03 | 3.5944E+04 | 4.9874E+04 | 1.1314E+04 | 2.8805E+03 | |
| Std | 4.2226E+02 | 3.2750E+03 | 4.6160E+03 | 2.2207E+02 | 4.6227E+01 | 3.4154E+03 | 1.1665E+04 | 3.2000E+03 | 5.2043E+02 | |
| Rank | 4 | 8 | 7 | 2 | 1 | 6 | 9 | 5 | 3 | |
| F9 | Best | 1.5353E+04 | 2.7140E+04 | 3.1479E+04 | 3.1038E+04 | 3.1784E+04 | 2.9967E+04 | 2.2370E+04 | 1.2564E+04 | 3.1010E+04 |
| Avg | 1.6276E+04 | 2.8948E+04 | 3.1646E+04 | 3.1683E+04 | 3.2057E+04 | 3.0463E+04 | 2.3453E+04 | 1.8019E+04 | 3.2042E+04 | |
| Std | 9.8458E+02 | 1.1696E+03 | 2.0815E+02 | 5.2469E+02 | 2.5004E+02 | 6.6445E+02 | 6.7190E+02 | 4.0257E+03 | 6.4395E+02 | |
| Rank | 1 | 4 | 6 | 7 | 9 | 5 | 3 | 2 | 8 | |
| F10 | Best | 1.8790E+03 | 2.3193E+04 | 7.6848E+04 | 2.9050E+03 | 4.3742E+03 | 5.3742E+04 | 2.7795E+04 | 2.4983E+03 | 6.4047E+03 |
| Avg | 2.0621E+03 | 2.7056E+04 | 8.8803E+04 | 3.4129E+03 | 5.1767E+03 | 9.2718E+04 | 4.1006E+04 | 2.0006E+04 | 9.3371E+03 | |
| Std | 1.8346E+02 | 6.5231E+03 | 1.1878E+04 | 4.1779E+02 | 8.0118E+02 | 2.5721E+04 | 1.3080E+04 | 1.8045E+04 | 2.6675E+03 | |
| Rank | 1 | 6 | 8 | 2 | 3 | 9 | 7 | 5 | 4 | |
| F11 | Best | 7.9353E+03 | 4.0450E+09 | 9.7195E+08 | 1.0456E+08 | 8.1819E+07 | 7.2926E+09 | 1.6969E+09 | 2.5597E+07 | 3.3007E+08 |
| Avg | 1.5437E+04 | 5.5766E+09 | 1.1646E+09 | 1.2189E+08 | 1.0070E+08 | 8.5510E+09 | 2.9794E+09 | 5.1945E+08 | 4.2023E+08 | |
| Std | 6.0307E+03 | 1.6371E+09 | 2.3091E+08 | 1.8941E+07 | 1.7360E+07 | 1.8395E+09 | 8.4621E+08 | 6.7182E+08 | 8.4358E+07 | |
| Rank | 1 | 8 | 6 | 3 | 2 | 9 | 7 | 5 | 4 | |
| F12 | Best | 4.7620E+03 | 3.5249E+07 | 3.4480E+06 | 8.9341E+04 | 9.8458E+05 | 1.9712E+08 | 3.0338E+07 | 6.5771E+03 | 3.8267E+06 |
| Avg | 5.5317E+03 | 1.1336E+08 | 4.3873E+06 | 1.0032E+05 | 1.2322E+06 | 3.0777E+08 | 6.4860E+07 | 1.2807E+06 | 4.8913E+06 | |
| Std | 8.7238E+02 | 5.8478E+07 | 5.5463E+05 | 1.1581E+04 | 2.0781E+05 | 8.2320E+07 | 2.0994E+07 | 1.2290E+06 | 8.6906E+05 | |
| Rank | 1 | 8 | 5 | 2 | 3 | 9 | 7 | 4 | 6 | |
| F13 | Best | 1.6439E+03 | 2.2525E+05 | 4.6082E+06 | 2.3156E+04 | 9.4020E+04 | 4.2325E+06 | 2.3796E+06 | 2.0997E+05 | 2.3300E+05 |
| Avg | 1.7949E+03 | 3.4803E+05 | 7.2496E+06 | 3.0468E+04 | 1.3385E+05 | 6.0535E+06 | 8.3617E+06 | 2.2359E+06 | 3.7233E+05 | |
| Std | 1.3081E+02 | 1.1378E+05 | 3.0887E+06 | 7.2471E+03 | 2.4750E+04 | 1.7004E+06 | 5.8516E+06 | 1.8871E+06 | 9.9123E+04 | |
| Rank | 1 | 4 | 8 | 2 | 3 | 7 | 9 | 6 | 5 | |
| F14 | Best | 1.6862E+03 | 1.1581E+06 | 2.0658E+05 | 4.4076E+04 | 3.8872E+05 | 1.6547E+07 | 7.4203E+06 | 2.2706E+03 | 6.8248E+05 |
| Avg | 1.8197E+03 | 3.3236E+06 | 3.5489E+05 | 5.0764E+04 | 4.9814E+05 | 3.3258E+07 | 9.4527E+06 | 2.2553E+04 | 8.3808E+05 | |
| Std | 1.3665E+02 | 1.8988E+06 | 1.7746E+05 | 6.3644E+03 | 1.1286E+05 | 1.4796E+07 | 1.6281E+06 | 1.9145E+04 | 1.5439E+05 | |
| Rank | 1 | 7 | 4 | 3 | 5 | 9 | 8 | 2 | 6 | |
| F15 | Best | 2.3393E+03 | 7.9519E+03 | 7.9858E+03 | 9.1881E+03 | 8.9628E+03 | 7.3275E+03 | 6.3181E+03 | 4.7992E+03 | 9.5017E+03 |
| Avg | 3.0949E+03 | 8.8414E+03 | 9.5648E+03 | 9.6219E+03 | 9.5800E+03 | 8.7502E+03 | 7.2218E+03 | 5.3769E+03 | 9.6866E+03 | |
| Std | 8.1751E+02 | 7.5517E+02 | 1.2259E+03 | 2.5685E+02 | 4.0997E+02 | 1.0843E+03 | 6.8335E+02 | 5.0690E+02 | 2.0314E+02 | |
| Rank | 1 | 5 | 6 | 8 | 7 | 4 | 3 | 2 | 9 | |
| F16 | Best | 1.9698E+03 | 4.6715E+03 | 5.9715E+03 | 6.7170E+03 | 6.3172E+03 | 6.4655E+03 | 5.6248E+03 | 3.9034E+03 | 6.5312E+03 |
| Avg | 2.4605E+03 | 6.2705E+03 | 7.0811E+03 | 7.0130E+03 | 6.7541E+03 | 6.6535E+03 | 5.9590E+03 | 4.7150E+03 | 7.0159E+03 | |
| Std | 4.3992E+02 | 9.3236E+02 | 6.6807E+02 | 1.7051E+02 | 2.4617E+02 | 1.3840E+02 | 4.2303E+02 | 1.2374E+03 | 3.0398E+02 | |
| Rank | 1 | 4 | 9 | 7 | 6 | 5 | 3 | 2 | 8 | |
| F17 | Best | 1.9604E+03 | 2.6923E+05 | 4.4372E+06 | 7.5469E+04 | 1.8963E+05 | 5.0657E+06 | 1.1563E+07 | 3.8964E+05 | 5.8576E+05 |
| Avg | 2.0826E+03 | 7.8960E+05 | 7.1941E+06 | 9.8189E+04 | 2.7589E+05 | 8.6633E+06 | 1.4854E+07 | 3.1946E+06 | 8.2113E+05 | |
| Std | 7.2829E+01 | 4.0146E+05 | 2.4483E+06 | 1.5079E+04 | 7.4585E+04 | 2.2780E+06 | 2.6954E+06 | 4.1243E+06 | 2.0723E+05 | |
| Rank | 1 | 4 | 7 | 2 | 3 | 8 | 9 | 6 | 5 | |
| F18 | Best | 2.1820E+03 | 6.2172E+06 | 1.7909E+06 | 2.4678E+05 | 7.6834E+05 | 1.1497E+07 | 2.5653E+07 | 2.4024E+03 | 8.0797E+05 |
| Avg | 2.2686E+03 | 1.7037E+07 | 3.2919E+06 | 2.9100E+05 | 8.5443E+05 | 4.0115E+07 | 3.7473E+07 | 1.1773E+05 | 1.2398E+06 | |
| Std | 1.4156E+02 | 9.9133E+06 | 1.5461E+06 | 5.9895E+04 | 9.6137E+04 | 1.7362E+07 | 1.2156E+07 | 1.3239E+05 | 3.3106E+05 | |
| Rank | 1 | 7 | 6 | 3 | 4 | 9 | 8 | 2 | 5 | |
| F19 | Best | 2.4218E+03 | 5.8890E+03 | 6.2083E+03 | 7.1130E+03 | 7.1780E+03 | 6.7053E+03 | 4.9963E+03 | 4.3177E+03 | 7.2462E+03 |
| Avg | 2.9438E+03 | 6.3470E+03 | 7.1617E+03 | 7.3074E+03 | 7.3910E+03 | 7.0502E+03 | 5.6282E+03 | 4.6207E+03 | 7.3965E+03 | |
| Std | 9.2056E+02 | 3.7851E+02 | 5.3768E+02 | 2.2998E+02 | 1.4397E+02 | 2.5093E+02 | 4.8177E+02 | 3.2189E+02 | 1.7397E+02 | |
| Rank | 1 | 4 | 6 | 7 | 8 | 5 | 3 | 2 | 9 | |
| F20 | Best | 2.4965E+03 | 3.3679E+03 | 3.3347E+03 | 3.1707E+03 | 3.1223E+03 | 3.3071E+03 | 3.1379E+03 | 2.7885E+03 | 3.1600E+03 |
| Avg | 2.5726E+03 | 3.4540E+03 | 3.4234E+03 | 3.1876E+03 | 3.1469E+03 | 3.3611E+03 | 3.2538E+03 | 2.8700E+03 | 3.1953E+03 | |
| Std | 5.2607E+01 | 6.0940E+01 | 7.9293E+01 | 1.2574E+01 | 1.7170E+01 | 4.6798E+01 | 1.0207E+02 | 5.5279E+01 | 3.1818E+01 | |
| Rank | 1 | 9 | 8 | 4 | 3 | 7 | 6 | 2 | 5 | |
| F21 | Best | 8.4600E+03 | 2.9367E+04 | 3.2994E+04 | 3.3590E+04 | 3.3766E+04 | 3.1976E+04 | 2.3169E+04 | 1.5031E+04 | 3.3065E+04 |
| Avg | 1.2134E+04 | 2.9878E+04 | 3.3717E+04 | 3.4111E+04 | 3.4417E+04 | 3.2772E+04 | 2.5671E+04 | 1.9508E+04 | 3.3938E+04 | |
| Std | 4.7472E+03 | 4.4173E+02 | 5.9534E+02 | 5.7917E+02 | 4.7144E+02 | 5.3976E+02 | 1.8707E+03 | 3.4046E+03 | 7.3430E+02 | |
| Rank | 1 | 4 | 6 | 8 | 9 | 5 | 3 | 2 | 7 | |
| F22 | Best | 3.0687E+03 | 4.0653E+03 | 3.9400E+03 | 3.6925E+03 | 3.6493E+03 | 3.9033E+03 | 3.7359E+03 | 3.3139E+03 | 3.6922E+03 |
| Avg | 3.2777E+03 | 4.1762E+03 | 3.9789E+03 | 3.7091E+03 | 3.6894E+03 | 3.9989E+03 | 3.8429E+03 | 3.3942E+03 | 3.7510E+03 | |
| Std | 2.3454E+02 | 8.0793E+01 | 4.5017E+01 | 2.2184E+01 | 2.3338E+01 | 7.3385E+01 | 7.4340E+01 | 1.0166E+02 | 4.6763E+01 | |
| Rank | 1 | 9 | 7 | 4 | 3 | 8 | 6 | 2 | 5 | |
| F23 | Best | 3.6738E+03 | 4.6981E+03 | 4.4260E+03 | 4.0759E+03 | 4.0977E+03 | 4.5645E+03 | 4.1381E+03 | 3.5711E+03 | 4.1660E+03 |
| Avg | 4.0880E+03 | 4.8790E+03 | 4.5490E+03 | 4.1261E+03 | 4.1159E+03 | 4.7293E+03 | 4.3823E+03 | 3.7734E+03 | 4.1818E+03 | |
| Std | 3.1774E+02 | 1.4722E+02 | 8.3143E+01 | 3.6417E+01 | 1.4013E+01 | 1.5559E+02 | 1.7018E+02 | 2.0642E+02 | 1.7365E+01 | |
| Rank | 2 | 9 | 7 | 4 | 3 | 8 | 6 | 1 | 5 | |
| F24 | Best | 3.1967E+03 | 6.3159E+03 | 4.6170E+03 | 3.5538E+03 | 3.5144E+03 | 7.8948E+03 | 4.7439E+03 | 3.4938E+03 | 3.7366E+03 |
| Avg | 3.2189E+03 | 7.7250E+03 | 4.9164E+03 | 3.6117E+03 | 3.5331E+03 | 8.6365E+03 | 5.6459E+03 | 4.5048E+03 | 3.8037E+03 | |
| Std | 2.2558E+01 | 1.1846E+03 | 3.7935E+02 | 5.1638E+01 | 1.5957E+01 | 9.6079E+02 | 5.3655E+02 | 9.0755E+02 | 6.1218E+01 | |
| Rank | 1 | 8 | 6 | 3 | 2 | 9 | 7 | 5 | 4 | |
| F25 | Best | 1.0890E+04 | 1.8456E+04 | 1.7562E+04 | 1.3904E+04 | 1.3626E+04 | 1.8606E+04 | 1.6670E+04 | 8.5862E+03 | 1.4546E+04 |
| Avg | 1.3891E+04 | 2.1812E+04 | 1.8696E+04 | 1.4065E+04 | 1.4080E+04 | 1.9875E+04 | 1.8977E+04 | 1.0929E+04 | 1.4657E+04 | |
| Std | 2.1456E+03 | 3.7240E+03 | 7.2192E+02 | 1.6573E+02 | 2.9501E+02 | 1.4324E+03 | 2.0657E+03 | 1.9896E+03 | 8.6922E+01 | |
| Rank | 2 | 9 | 6 | 3 | 4 | 8 | 7 | 1 | 5 | |
| F26 | Best | 3.2000E+03 | 3.9018E+03 | 3.8074E+03 | 3.4116E+03 | 3.3994E+03 | 4.5302E+03 | 3.8809E+03 | 3.5287E+03 | 3.6936E+03 |
| Avg | 3.6020E+03 | 4.1419E+03 | 3.9447E+03 | 3.4738E+03 | 3.4136E+03 | 4.6310E+03 | 3.9918E+03 | 3.6946E+03 | 3.7406E+03 | |
| Std | 2.9031E+02 | 1.8102E+02 | 1.0736E+02 | 5.6774E+01 | 1.2143E+01 | 9.4729E+01 | 1.0460E+02 | 1.6294E+02 | 4.3592E+01 | |
| Rank | 3 | 8 | 6 | 2 | 1 | 9 | 7 | 4 | 5 | |
| F27 | Best | 3.2718E+03 | 8.0033E+03 | 5.8814E+03 | 3.7345E+03 | 3.5343E+03 | 9.9385E+03 | 7.5866E+03 | 3.5610E+03 | 4.0074E+03 |
| Avg | 3.2993E+03 | 8.9719E+03 | 6.3603E+03 | 3.7875E+03 | 3.5610E+03 | 1.0738E+04 | 9.0128E+03 | 5.0413E+03 | 4.1158E+03 | |
| Std | 2.6190E+01 | 7.3870E+02 | 4.2891E+02 | 5.6185E+01 | 1.9434E+01 | 5.5354E+02 | 1.5028E+03 | 1.9962E+03 | 7.5592E+01 | |
| Rank | 1 | 7 | 6 | 3 | 2 | 9 | 8 | 5 | 4 | |
| F28 | Best | 4.0991E+03 | 1.0137E+04 | 9.1411E+03 | 8.9116E+03 | 8.5558E+03 | 9.6930E+03 | 8.9844E+03 | 6.5009E+03 | 8.7843E+03 |
| Avg | 4.7295E+03 | 1.1625E+04 | 9.8342E+03 | 9.1304E+03 | 8.8456E+03 | 1.0337E+04 | 9.8153E+03 | 6.9787E+03 | 9.3713E+03 | |
| Std | 4.2458E+02 | 1.1352E+03 | 6.0825E+02 | 1.6976E+02 | 2.4390E+02 | 4.7938E+02 | 6.6407E+02 | 4.5606E+02 | 5.2611E+02 | |
| Rank | 1 | 9 | 7 | 4 | 3 | 8 | 6 | 2 | 5 | |
| F29 | Best | 4.6070E+03 | 8.1812E+07 | 1.0910E+07 | 1.9050E+06 | 2.4676E+06 | 2.3263E+08 | 2.1026E+08 | 3.2257E+04 | 7.4875E+06 |
| Avg | 7.1070E+03 | 1.5251E+08 | 4.4490E+07 | 3.0496E+06 | 3.4087E+06 | 3.1959E+08 | 3.0248E+08 | 3.0475E+06 | 8.4412E+06 | |
| Std | 2.4952E+03 | 4.4907E+07 | 2.8090E+07 | 1.3875E+06 | 6.1816E+05 | 9.9881E+07 | 7.4762E+07 | 4.0098E+06 | 6.7657E+05 | |
| Rank | 1 | 7 | 6 | 3 | 4 | 9 | 8 | 2 | 5 |
References
- Lehmann, T.H. Mathematical Modelling as a Vehicle for Eliciting Algorithmic Thinking. Educ. Stud. Math. 2024, 115, 151–176. [Google Scholar] [CrossRef]
- Tang, A.D.; Tang, S.Q.; Han, T.; Zhou, H.; Xie, L. A Modified Slime Mould Algorithm for Global Optimization. Comput. Intell. Neurosci. 2021, 2021, 2298215. [Google Scholar] [CrossRef]
- Liu, Y.; As’arry, A.; Hassan, M.K.; Hairuddin, A.A.; Mohamad, H. Review of the Grey Wolf Optimization Algorithm: Variants and Applications. Neural Comput. Appl. 2024, 36, 2713–2735. [Google Scholar] [CrossRef]
- Dey, B.; Sharma, G.; Bokoro, P.N. A Novel Hybrid Crow Search Arithmetic Optimization Algorithm for Solving Weighted Combined Economic Emission Dispatch with Load-Shifting Practice. Algorithms 2024, 17, 313. [Google Scholar] [CrossRef]
- Keshta, H.E.; Malik, O.P.; Saied, E.M.; Bendary, F.M.; Ali, A.A. Energy Management System for Two Islanded Interconnected Micro-Grids Using Advanced Evolutionary Algorithms. Electr. Power Syst. Res. 2021, 192, 106958. [Google Scholar] [CrossRef]
- Tan, M.; Tang, A.; Ding, D.; Xie, L.; Huang, C. Autonomous Air Combat Maneuvering Decision Method of UCAV Based on LSHADE-TSO-MPC under Enemy Trajectory Prediction. Electronics 2022, 11, 3383. [Google Scholar] [CrossRef]
- Tang, A.D.; Han, T.; Zhou, H.; Xie, L. An Improved Equilibrium Optimizer with Application in Unmanned Aerial Vehicle Path Planning. Sensors 2021, 21, 1814. [Google Scholar] [CrossRef]
- Zhou, H.; Cheng, H.Y.; Wei, Z.L.; Zhao, X.; Tang, A.D.; Xie, L. A Hybrid Butterfly Optimization Algorithm for Numerical Optimization Problems. Comput. Intell. Neurosci. 2021, 2021, 7981670. [Google Scholar] [CrossRef]
- Cui, L.L.; Hu, G.; Zhu, Y.L. Multi-Strategy Improved Snow Ablation Optimizer: A Case Study of Optimization of Kernel Extreme Learning Machine for Flood Prediction. Artif. Intell. Rev. 2025, 58, 181. [Google Scholar] [CrossRef]
- Xie, L.; Wei, Z.; Ding, D.; Zhang, Z.; Tang, A. Long and Short Term Maneuver Trajectory Prediction of UCAV Based on Deep Learning. IEEE Access 2021, 9, 32321–32340. [Google Scholar] [CrossRef]
- Shi, J.E.; Chen, Y.; Cai, Z.N.; Heidari, A.A.; Chen, H.L.; He, Q.X. Multi-Threshold Image Segmentation Using a Boosted Whale Optimization: Case Study of Breast Invasive Ductal Carcinomas. Clust. Comput. 2024, 27, 14891–14949. [Google Scholar] [CrossRef]
- Fan, Q.; Ma, Y.; Wang, P.; Bai, F. Otsu Image Segmentation Based on a Fractional Order Moth–Flame Optimization Algorithm. Fractal Fract. 2024, 8, 87. [Google Scholar] [CrossRef]
- Yang, J.; Xia, Y. Coverage and Routing Optimization of Wireless Sensor Networks Using Improved Cuckoo Algorithm. IEEE Access 2024, 12, 39564–39577. [Google Scholar] [CrossRef]
- Song, J.; Hu, Y.M.; Luo, Y.B. Wireless Sensor Network Coverage Optimization Based on the Novel Enhanced Hunter-Prey Optimization Algorithm. IEEE Sens. J. 2024, 24, 31172–31187. [Google Scholar] [CrossRef]
- Tang, A.; Zhou, H.; Han, T.; Xie, L. A Modified Manta Ray Foraging Optimization for Global Optimization Problems. IEEE Access 2021, 9, 128702–128721. [Google Scholar] [CrossRef]
- Tang, A.; Zhou, H.; Han, T.; Xie, L. A Chaos Sparrow Search Algorithm with Logarithmic Spiral and Adaptive Step for Engineering Problems. Comput. Model. Eng. Sci. 2022, 130, 331–364. [Google Scholar] [CrossRef]
- Prity, F.S.; Gazi, M.H.; Uddin, K.M.A. A Review of Task Scheduling in Cloud Computing Based on Nature-Inspired Optimization Algorithm. Clust. Comput. 2023, 26, 3037–3067. [Google Scholar] [CrossRef]
- Luo, Z.Y.; Chen, Y.N.; Liu, X.T. Research on Sparrow Search Optimization Algorithm for Multi-Objective Task Scheduling in Cloud Computing Environment. J. Intell. Fuzzy Syst. 2023, 45, 10397–10409. [Google Scholar] [CrossRef]
- Khan, M.S.A.; Santhosh, R. Task Scheduling in Cloud Computing Using Hybrid Optimization Algorithm. Soft Comput. 2022, 26, 13069–13079. [Google Scholar] [CrossRef]
- Czarnul, P.; Antal, M.; Baniata, H.; Griebler, D.; Kertesz, A.; Kessler, C.W.; Kouloumpris, A.; Kovacic, S.; Markus, A.; Michael, M.K.; et al. Optimization of Resource-Aware Parallel and Distributed Computing: A Review. J. Supercomput. 2025, 81, 848. [Google Scholar] [CrossRef]
- Zhou, Z.L.; Xia, Y.; Yu, S.; Hu, J.Y.; Wang, L.M.; Hou, R.X. Optimization Calculating of Artificial Intelligence IPGA Algorithm. Int. J. Pattern Recognit. Artif. Intell. 2025, 39, 2559009. [Google Scholar] [CrossRef]
- Mabadifar, T.; Attarzadeh, I.; Mahdipour, E. The Improvement of the Distributed Computing Efficiency in Cloud-Fog Environments Using Data Mining and Metaheuristic Algorithms. J. Supercomput. 2025, 81, 506. [Google Scholar] [CrossRef]
- Xie, L.; Han, T.; Zhou, H.; Zhang, Z.-R.; Han, B.; Tang, A. Tuna Swarm Optimization: A Novel Swarm-Based Metaheuristic Algorithm for Global Optimization. Comput. Intell. Neurosci. 2021, 2021, 9210050. [Google Scholar] [CrossRef] [PubMed]
- Holland, J.H. Genetic Algorithms. Sci. Am. 1992, 267, 66–72. [Google Scholar] [CrossRef]
- Opara, K.R.; Arabas, J. Differential Evolution: A Survey of Theoretical Analyses. Swarm Evol. Comput. 2019, 44, 546–558. [Google Scholar] [CrossRef]
- Beyer, H.-G.; Schwefel, H.-P. Evolution Strategies—A Comprehensive Introduction. Nat. Comput. 2002, 1, 3–52. [Google Scholar] [CrossRef]
- Huang, W.; Xu, J. Particle Swarm Optimization. In Optimized Engineering Vibration Isolation, Absorption and Control; Springer Tracts in Civil Engineering; Springer: Berlin/Heidelberg, Germany, 2023. [Google Scholar]
- Dorigo, M.; Di Caro, G. Ant Colony Optimization: A New Meta-Heuristic. In Proceedings of the 1999 Congress on Evolutionary Computation-CEC99 (Cat. No. 99TH8406), Washington, DC, USA, 6–9 July 1999. [Google Scholar]
- Braik, M.; Al-Hiary, H. Rüppell’s Fox Optimizer: A Novel Meta-Heuristic Approach for Solving Global Optimization Problems. Clust. Comput. 2025, 28, 292. [Google Scholar] [CrossRef]
- El-kenawy, E.S.M.; Khodadadi, N.; Mirjalili, S.; Abdelhamid, A.A.; Eid, M.M.; Ibrahim, A. Greylag Goose Optimization: Nature-Inspired Optimization Algorithm. Expert Syst. Appl. 2024, 238, 122147. [Google Scholar] [CrossRef]
- Lian, J.; Hui, G.; Ma, L.; Zhu, T.; Wu, X.; Heidari, A.A.; Chen, Y.; Chen, H. Parrot Optimizer: Algorithm and Applications to Medical Problems. Comput. Biol. Med. 2024, 172, 108064. [Google Scholar] [CrossRef]
- Kirkpatrick, S.; Gelatt, C.D.; Vecchi, M.P. Optimization by Simulated Annealing. Science 1983, 220, 671–680. [Google Scholar] [CrossRef]
- He, J.H.; Zhao, S.J.; Ding, J.Y.; Wang, Y.M. Mirage Search Optimization: Application to Path Planning and Engineering Design Problems. Adv. Eng. Softw. 2025, 203, 103883. [Google Scholar] [CrossRef]
- Qi, A.L.; Zhao, D.; Heidari, A.A.; Liu, L.; Chen, Y.; Chen, H.L. FATA: An Efficient Optimization Method Based on Geophysics. Neurocomputing 2024, 607, 128289. [Google Scholar] [CrossRef]
- Yuan, C.; Zhao, D.; Heidari, A.A.; Liu, L.; Chen, Y.; Chen, H. Polar Lights Optimizer: Algorithm and Applications in Image Segmentation and Feature Selection. Neurocomputing 2024, 607, 128427. [Google Scholar] [CrossRef]
- Dong, Y.C.; Zhang, S.H.; Zhang, H.L.; Zhou, X.J.; Jiang, J.D. Chaotic Evolution Optimization: A Novel Metaheuristic Algorithm Inspired by Chaotic Dynamics. Chaos Solitons Fractals 2025, 192, 116049. [Google Scholar] [CrossRef]
- Ahmadianfar, I.; Heidari, A.A.; Noshadian, S.; Chen, H.; Gandomi, A.H. INFO: An Efficient Optimization Algorithm Based on Weighted Mean of Vectors. Expert Syst. Appl. 2022, 195, 116516. [Google Scholar] [CrossRef]
- Bohat, V.K.; Hashim, F.A.; Batra, H.; Abd Elaziz, M. Phototropic Growth Algorithm: A Novel Metaheuristic Inspired from Phototropic Growth of Plants. Knowl.-Based Syst. 2025, 322, 113548. [Google Scholar] [CrossRef]
- Wang, R.B.; Hu, R.B.; Geng, F.D.; Xu, L.; Chu, S.C.; Pan, J.S.; Meng, Z.Y.; Mirjalili, S. The Animated Oat Optimization Algorithm: A Nature-Inspired Metaheuristic for Engineering Optimization and a Case Study on Wireless Sensor Networks. Knowl.-Based Syst. 2025, 318, 113589. [Google Scholar] [CrossRef]
- Braik, M.; Al-Hiary, H. A Novel Meta-Heuristic Optimization Algorithm Inspired by Water Uptake and Transport in Plants. Neural Comput. Appl. 2025, 37, 13643–13724. [Google Scholar] [CrossRef]
- Rao, R.V.; Savsani, V.J.; Vakharia, D.P. Teaching-Learning-Based Optimization: A Novel Method for Constrained Mechanical Design Optimization Problems. CAD Comput. Aided Des. 2011, 43, 303–315. [Google Scholar] [CrossRef]
- Wu, X.; Li, S.B.; Jiang, X.H.; Zhou, Y.Q. Information Acquisition Optimizer: A New Efficient Algorithm for Solving Numerical and Constrained Engineering Optimization Problems. J. Supercomput. 2024, 80, 25736–25791. [Google Scholar] [CrossRef]
- Truong, D.N.; Chou, J.S. Metaheuristic Algorithm Inspired by Enterprise Development for Global Optimization and Structural Engineering Problems with Frequency Constraints. Eng. Struct. 2024, 318, 118679. [Google Scholar] [CrossRef]
- Rao, R. V Rao Algorithms: Three Metaphor-Less Simple Algorithms for Solving Optimization Problems. Int. J. Ind. Eng. Comput. 2020, 11, 107–130. [Google Scholar] [CrossRef]
- Rao, R.V.; Waghmare, G.G. A New Optimization Algorithm for Solving Complex Constrained Design Optimization Problems. Eng. Optim. 2017, 49, 60–83. [Google Scholar] [CrossRef]
- Rao, R.V.; Davim, J.P. Single, Multi-, and Many-Objective Optimization of Manufacturing Processes Using Two Novel and Efficient Algorithms with Integrated Decision-Making. J. Manuf. Mater. Process. 2025, 9, 249. [Google Scholar] [CrossRef]
- Lian, J.B.; Zhu, T.; Ma, L.; Wu, X.C.; Heidari, A.A.; Chen, Y.; Chen, H.L.; Hui, G.H. The Educational Competition Optimizer. Int. J. Syst. Sci. 2024, 55, 3185–3222. [Google Scholar] [CrossRef]
- Emam, M.M.; Abd El-Sattar, H.; Houssein, E.H.; Kamel, S. Optimized Design and Integration of an Off-Grid Solar PV-Biomass-Battery Hybrid Energy System Using an Enhanced Educational Competition Algorithm for Cost-Effective Rural Electrification. J. Energy Storage 2025, 120, 116381. [Google Scholar] [CrossRef]
- Tang, W.K.; Shi, S.Q.; Lu, Z.T.; Lin, M.Y.; Cheng, H. EDECO: An Enhanced Educational Competition Optimizer for Numerical Optimization Problems. Biomimetics 2025, 10, 176. [Google Scholar] [CrossRef]
- Tang, X.J.; Lian, J.J.; Ma, L.; Wu, X.C.; Zhong, R.; Zhang, Y.J.; Chen, H.L. IECO: An Improved Educational Competition Optimizer for State-of-the-Art Engineering Optimization. J. Big Data 2025, 12, 200. [Google Scholar] [CrossRef]
- Wu, G.; Mallipeddi, R.; Suganthan, P. Problem Definitions and Evaluation Criteria for the CEC 2017 Competition and Special Session on Constrained Single Objective Real-Parameter Optimization; Technical Report; Nanyang Technological University: Singapore, 2016. [Google Scholar]
- Rajwar, K.; Deep, K. Structural Bias in Metaheuristic Algorithms: Insights, Open Problems, and Future Prospects. Swarm Evol. Comput. 2025, 92, 101812. [Google Scholar] [CrossRef]
- Zhang, Y.; Chi, A. Group Teaching Optimization Algorithm with Information Sharing for Numerical Optimization and Engineering Optimization. J. Intell. Manuf. 2023, 34, 1547–1571. [Google Scholar] [CrossRef]
- Li, Y.; Han, T.; Zhou, H.; Wei, Y.; Wang, Y.; Tan, M.; Huang, C. APSM-JSO: A Novel JSO Variant with an Adaptive Parameter Selection Mechanism and a New External Archive Updating Mechanism. Swarm Evol. Comput. 2023, 78, 101283. [Google Scholar] [CrossRef]
- Mohamed, A.W.; Hadi, A.A.; Fattouh, A.M.; Jambi, K.M. LSHADE with Semi-Parameter Adaptation Hybrid with CMA-ES for Solving CEC 2017 Benchmark Problems. In Proceedings of the 2017 IEEE Congress on Evolutionary Computation (CEC), Donostia, Spain, 5–8 June 2017. [Google Scholar]
- Yin, S.; Luo, Q.; Zhou, Y. EOSMA: An Equilibrium Optimizer Slime Mould Algorithm for Engineering Design Problems. Arab. J. Sci. Eng. 2022, 47, 10115–10146. [Google Scholar] [CrossRef]
- Jia, H.; Lu, C. Guided Learning Strategy: A Novel Update Mechanism for Metaheuristic Algorithms Design and Improvement. Knowl.-Based Syst. 2024, 286, 111402. [Google Scholar] [CrossRef]
- Deng, L.Y.; Liu, S.Y. A Sine Cosine Algorithm Guided by Elite Pool Strategy for Global Optimization. Appl. Soft Comput. 2024, 164, 111946. [Google Scholar] [CrossRef]
- Deng, L.Y.; Liu, S.Y. Advancing Photovoltaic System Design: An Enhanced Social Learning Swarm Optimizer with Guaranteed Stability. Comput. Ind. 2025, 164, 104209. [Google Scholar] [CrossRef]
- Panigrahi, P.K.; Nayak, S. Numerical Approach to Solve Imprecisely Defined Systems Using Inner Outer Direct Search Optimization Technique. Math. Comput. Simul. 2024, 215, 578–606. [Google Scholar] [CrossRef]
- Zhao, S.; Wu, Y.; Tan, S.; Wu, J.; Cui, Z.; Wang, Y.G. QQLMPA: A Quasi-Opposition Learning and Q-Learning Based Marine Predators Algorithm. Expert Syst. Appl. 2023, 213, 119246. [Google Scholar] [CrossRef]
- Yang, X.; Zhang, L.; Qian, H.; Song, L.; Bian, J. HeurAgenix: Leveraging LLMs for Solving Complex Combinatorial Optimization Challenges. arXiv 2025, arXiv:2506.15196. [Google Scholar] [CrossRef]
- Panigrahi, P.K.; Nayak, S. Fuzzy Levenberg Marquart Optimization Algorithm with Inexact Line Search Technique to Solve Imprecisely Defined Nonlinear Unconstrained Optimization Problems. Int. J. Mach. Learn. Cybern. 2025, 16, 5527–5551. [Google Scholar] [CrossRef]















| Category | No. | Function Name | Fmin |
|---|---|---|---|
| Unimodal functions | F1 | Shifted and Rotated Bent Cigar Function | 100 |
| F2 | Shifted and Rotated Zakharov Function | 300 | |
| Multimodal functions | F3 | Shifted and Rotated Rosenbrock’s Function | 400 |
| F4 | Shifted and Rotated Rastrigin’s Function | 500 | |
| F5 | Shifted and Rotated Expanded Schaffer’s Function | 600 | |
| F6 | Shifted and Rotated Lunacek Bi_Rastrigin Function | 700 | |
| F7 | Shifted and Rotated Non-Continuous Rastrigin’s Function | 800 | |
| F8 | Shifted and Rotated Levy Function | 900 | |
| F9 | Shifted and Rotated Schwefel’s Function | 1000 | |
| Hybrid functions | F10 | Hybrid Function 1 (N = 3) | 1100 |
| F11 | Hybrid Function 2 (N = 3) | 1200 | |
| F12 | Hybrid Function 3 (N = 3) | 1300 | |
| F13 | Hybrid Function 4 (N = 4) | 1400 | |
| F14 | Hybrid Function 5 (N = 4) | 1500 | |
| F15 | Hybrid Function 6 (N = 4) | 1600 | |
| F16 | Hybrid Function 6 (N = 5) | 1700 | |
| F17 | Hybrid Function 6 (N = 5) | 1800 | |
| F18 | Hybrid Function 6 (N = 5) | 1900 | |
| F19 | Hybrid Function 6 (N = 6) | 2000 | |
| Composition functions | F20 | Composition Function 1 (N = 3) | 2100 |
| F21 | Composition Function 2 (N = 3) | 2200 | |
| F22 | Composition Function 3 (N = 4) | 2300 | |
| F23 | Composition Function 4 (N = 4) | 2400 | |
| F24 | Composition Function 5 (N = 5) | 2500 | |
| F25 | Composition Function 6 (N = 5) | 2600 | |
| F26 | Composition Function 7 (N = 6) | 2700 | |
| F27 | Composition Function 8 (N = 6) | 2800 | |
| F28 | Composition Function 9 (N = 3) | 2900 | |
| F29 | Composition Function 10 (N = 3) | 3000 | |
| Search Range:; Dimension: 10/30/50/100 | |||
| Algorithm | ECO-R | ECO-P | ECO-T | ECO-RP | ECO-RT | ECO-PT | EECO |
|---|---|---|---|---|---|---|---|
| RPS | Y | N | N | Y | Y | N | Y |
| PM | N | Y | N | Y | N | Y | Y |
| TDUF | N | N | Y | N | Y | Y | Y |
| Test Suite | Dimension | ECO | ECO-R | ECO-P | ECO-T | ECO-RP | ECO-RT | ECO-PT | EECO | p-Value |
|---|---|---|---|---|---|---|---|---|---|---|
| CEC-2017 | 10 | 7.414 | 4.207 | 4.621 | 6.448 | 3.207 | 4.379 | 3.983 | 1.741 | 5.80E-20 |
| 30 | 7.931 | 4.759 | 5.241 | 6.690 | 2.828 | 3.655 | 3.724 | 1.172 | 1.79E-30 | |
| 50 | 7.828 | 5.207 | 5.517 | 6.483 | 3.069 | 3.103 | 3.552 | 1.241 | 3.74E-30 | |
| 100 | 7.724 | 5.138 | 5.759 | 6.414 | 3.310 | 3.207 | 3.310 | 1.138 | 5.96E-30 | |
| Mean rank | 7.724 | 4.828 | 5.284 | 6.509 | 3.103 | 3.586 | 3.642 | 1.323 | N/A | |
| Overall rank | 8 | 5 | 6 | 7 | 2 | 3 | 4 | 1 | N/A | |
| vs. ECO +/=/- | CEC-2017 Test Suite | |||
|---|---|---|---|---|
| 10D | 30D | 50D | 100D | |
| ECO-R | 23/6/0 | 28/1/0 | 24/5/0 | 20/9/0 |
| ECO-P | 25/2/2 | 26/2/1 | 22/6/1 | 20/9/0 |
| ECO-T | 12/17/0 | 23/6/0 | 21/8/0 | 17/12/0 |
| ECO-RP | 24/5/0 | 28/1/0 | 26/3/0 | 24/5/0 |
| ECO-RT | 21/8/0 | 27/2/0 | 28/1/0 | 24/5/0 |
| ECO-PT | 22/7/0 | 28/1/0 | 28/1/0 | 26/3/0 |
| EECO | 28/1/0 | 29/0/0 | 29/0/0 | 28/1/0 |
| CO | Index | EECO | ECO | ||
|---|---|---|---|---|---|
| D = 30 | D = 100 | D = 30 | D = 100 | ||
| c= (0, 0, …,0) | Best | 0.0000E+00 | 0.0000E+00 | 6.6613E-16 | 0.0000E+00 |
| Mean | 0.0000E+00 | 0.0000E+00 | 2.8759E-02 | 8.5974E-03 | |
| Std | 0.0000E+00 | 0.0000E+00 | 8.8467E-02 | 3.2676E-02 | |
| Rank | 1 | 1 | 2 | 2 | |
| c= (25, 25, …, 25) | Best | 0.0000E+00 | 0.0000E+00 | 1.2579E-01 | 5.9336E-02 |
| Mean | 3.2016E-03 | 2.7909E-03 | 4.8354E-01 | 3.3116E-01 | |
| Std | 8.7753E-03 | 7.5325E-03 | 2.4722E-01 | 1.9795E-01 | |
| Rank | 1 | 1 | 2 | 2 | |
| c= (50, 50, …, 50) | Best | 0.0000E+00 | 0.0000E+00 | 1.3246E-02 | 8.6688E-02 |
| Mean | 1.2322E-03 | 3.2029E-03 | 4.3004E-01 | 2.8875E-01 | |
| Std | 3.2837E-03 | 9.3339E-03 | 2.3363E-01 | 1.5740E-01 | |
| Rank | 1 | 1 | 2 | 2 | |
| c= (75, 75, …, 75) | Best | 0.0000E+00 | 0.0000E+00 | 3.7604E-03 | 6.4040E-02 |
| Mean | 3.2031E-03 | 2.4632E-03 | 3.5626E-01 | 4.0825E-01 | |
| Std | 7.6592E-03 | 5.1712E-03 | 2.3738E-01 | 1.9091E-01 | |
| Rank | 1 | 1 | 2 | 2 | |
| c= (100, 100, …, 100) | Best | 0.0000E+00 | 0.0000E+00 | 0.0000E+00 | 0.0000E+00 |
| Mean | 0.0000E+00 | 0.0000E+00 | 0.0000E+00 | 0.0000E+00 | |
| Std | 0.0000E+00 | 0.0000E+00 | 0.0000E+00 | 0.0000E+00 | |
| Rank | 1 | 1 | 1 | 1 | |
| Algorithm | Parameter Settings |
| EECO | |
| ECO | |
| EDECO | |
| ISGTOA | |
| APSM-jSO | |
| LSHADE-SPACMA | |
| EOSMA | |
| GLSRIME | |
| EPSCA | |
| ESLPSO |
| EECO vs. +/=/- | CEC-2017 Test Suite | |||
|---|---|---|---|---|
| 10D | 30D | 50D | 100D | |
| EDECO | 25/4/0 | 29/0/0 | 29/0/0 | 29/0/0 |
| ISGTOA | 25/4/0 | 29/0/0 | 29/0/0 | 28/1/0 |
| APSM-jSO | 23/4/2 | 26/0/3 | 27/0/2 | 24/3/2 |
| LSHADE-SPACMA | 23/4/2 | 26/1/2 | 27/0/2 | 24/3/2 |
| EOSMA | 23/4/2 | 29/0/0 | 29/0/0 | 29/0/0 |
| GLSRIME | 23/5/1 | 28/1/0 | 29/0/0 | 27/2/0 |
| EPSCA | 21/8/0 | 25/2/2 | 23/6/0 | 21/8/0 |
| ESLPSO | 24/4/1 | 26/1/2 | 27/1/1 | 24/3/2 |
| Test Suite | Dimension | EECO | EDECO | ISGTOA | APSM-jSO | LSHADE-SPACMA | EOSMA | GLSRIME | EPSCA | ESLPSO | p-Value |
|---|---|---|---|---|---|---|---|---|---|---|---|
| CEC-2017 | 10 | 2.138 | 6.414 | 6.966 | 4.241 | 3.621 | 6.207 | 5.517 | 4.931 | 4.966 | 3.71E-12 |
| 30 | 1.483 | 6.897 | 6.724 | 3.793 | 4.310 | 7.448 | 5.517 | 3.379 | 5.448 | 2.38E-21 | |
| 50 | 1.207 | 7.207 | 6.724 | 3.690 | 4.069 | 7.414 | 5.552 | 3.586 | 5.552 | 5.62E-24 | |
| 100 | 1.345 | 7.000 | 6.483 | 3.690 | 3.690 | 7.552 | 6.552 | 3.379 | 5.310 | 4.35E-25 | |
| Mean rank | 1.543 | 6.879 | 6.724 | 3.853 | 3.922 | 7.155 | 5.784 | 3.819 | 5.319 | N/A | |
| Overall rank | 1 | 8 | 7 | 3 | 4 | 9 | 6 | 2 | 5 | N/A | |
| No. | Index | EECO | ECO | EDECO | ISGTOA | APSM-jSO | LSHADE-SPACMA | EOSMA | GLSRIME | EPSCA | ESLPSO |
|---|---|---|---|---|---|---|---|---|---|---|---|
| F1 | Best | 1.0002E+02 | 1.0666E+07 | 5.3039E+08 | 1.1882E+02 | 8.5243E+06 | 1.0086E+07 | 3.1477E+07 | 3.2824E+05 | 1.0000E+02 | 1.8355E+02 |
| Avg | 3.4633E+02 | 1.5081E+08 | 1.5110E+09 | 2.7454E+03 | 1.4707E+07 | 1.3942E+07 | 4.5786E+07 | 7.0851E+05 | 1.0000E+02 | 7.2423E+03 | |
| Std | 9.5038E+02 | 1.7324E+08 | 7.3613E+08 | 3.2596E+03 | 4.2702E+06 | 2.0713E+06 | 1.4076E+07 | 4.0758E+05 | 1.0205E-09 | 7.3898E+03 | |
| Rank | 2 | 9 | 10 | 3 | 7 | 6 | 8 | 5 | 1 | 4 | |
| F2 | Best | 3.0000E+02 | 3.1406E+04 | 1.2279E+04 | 2.0085E+04 | 5.2335E+03 | 4.0713E+03 | 3.0281E+04 | 5.7146E+03 | 3.0000E+02 | 3.4836E+02 |
| Avg | 3.0000E+02 | 4.5059E+04 | 2.3419E+04 | 3.3115E+04 | 1.1271E+04 | 3.1166E+04 | 4.1500E+04 | 1.6717E+04 | 3.0000E+02 | 2.3970E+03 | |
| Std | 4.7476E-05 | 1.0953E+04 | 8.0982E+03 | 8.5638E+03 | 3.4608E+03 | 2.4188E+04 | 7.4724E+03 | 7.4384E+03 | 6.7928E-03 | 2.3566E+03 | |
| Rank | 1 | 10 | 6 | 8 | 4 | 7 | 9 | 5 | 2 | 3 | |
| F3 | Best | 4.0000E+02 | 5.0544E+02 | 5.9254E+02 | 4.6679E+02 | 4.9713E+02 | 4.9279E+02 | 4.9771E+02 | 4.7852E+02 | 4.0026E+02 | 4.6876E+02 |
| Avg | 4.0159E+02 | 5.5680E+02 | 6.9028E+02 | 5.0745E+02 | 5.1675E+02 | 4.9829E+02 | 5.3460E+02 | 5.2175E+02 | 4.6569E+02 | 4.9488E+02 | |
| Std | 2.0216E+00 | 2.9201E+01 | 7.6803E+01 | 2.4864E+01 | 1.1539E+01 | 3.9403E+00 | 1.5220E+01 | 3.6552E+01 | 4.7785E+01 | 1.6021E+01 | |
| Rank | 1 | 9 | 10 | 5 | 6 | 4 | 8 | 7 | 2 | 3 | |
| F4 | Best | 5.2587E+02 | 6.2510E+02 | 6.4144E+02 | 5.6966E+02 | 6.7318E+02 | 6.6488E+02 | 5.9708E+02 | 5.3707E+02 | 5.5373E+02 | 5.3781E+02 |
| Avg | 5.4391E+02 | 6.9282E+02 | 7.1821E+02 | 5.9683E+02 | 6.9967E+02 | 6.9119E+02 | 6.2902E+02 | 5.8326E+02 | 6.0351E+02 | 5.6481E+02 | |
| Std | 1.1072E+01 | 4.2995E+01 | 3.1051E+01 | 2.1147E+01 | 1.5795E+01 | 9.5705E+00 | 1.4125E+01 | 2.5505E+01 | 3.4847E+01 | 2.3486E+01 | |
| Rank | 1 | 8 | 10 | 4 | 9 | 7 | 6 | 3 | 5 | 2 | |
| F5 | Best | 6.0083E+02 | 6.3012E+02 | 6.1833E+02 | 6.0153E+02 | 6.0339E+02 | 6.0431E+02 | 6.0251E+02 | 6.0335E+02 | 6.0025E+02 | 6.0001E+02 |
| Avg | 6.0263E+02 | 6.4769E+02 | 6.3018E+02 | 6.0811E+02 | 6.0450E+02 | 6.0492E+02 | 6.0482E+02 | 6.0923E+02 | 6.1175E+02 | 6.0079E+02 | |
| Std | 1.4591E+00 | 1.0315E+01 | 7.1418E+00 | 4.7916E+00 | 7.0646E-01 | 3.5636E-01 | 1.4715E+00 | 3.3493E+00 | 1.4140E+01 | 1.1799E+00 | |
| Rank | 2 | 10 | 9 | 6 | 3 | 5 | 4 | 7 | 8 | 1 | |
| F6 | Best | 7.5799E+02 | 9.0473E+02 | 9.3163E+02 | 8.0197E+02 | 9.2221E+02 | 8.8672E+02 | 8.5339E+02 | 8.0653E+02 | 7.9249E+02 | 7.7706E+02 |
| Avg | 7.8412E+02 | 1.0923E+03 | 1.0130E+03 | 8.3930E+02 | 9.3361E+02 | 9.3261E+02 | 8.8058E+02 | 8.4485E+02 | 8.5611E+02 | 8.0191E+02 | |
| Std | 2.0643E+01 | 1.2298E+02 | 4.9454E+01 | 3.2468E+01 | 8.7529E+00 | 1.6240E+01 | 1.5305E+01 | 2.2496E+01 | 7.2626E+01 | 1.7981E+01 | |
| Rank | 1 | 10 | 9 | 3 | 8 | 7 | 6 | 4 | 5 | 2 | |
| F7 | Best | 8.1691E+02 | 8.9381E+02 | 9.0226E+02 | 8.4975E+02 | 9.8314E+02 | 9.6879E+02 | 8.8151E+02 | 8.5115E+02 | 8.4490E+02 | 8.3781E+02 |
| Avg | 8.3854E+02 | 9.4892E+02 | 9.8250E+02 | 8.8300E+02 | 9.9831E+02 | 9.9988E+02 | 9.1234E+02 | 8.8550E+02 | 8.9363E+02 | 8.6245E+02 | |
| Std | 1.5512E+01 | 2.6660E+01 | 3.4335E+01 | 1.7928E+01 | 9.9401E+00 | 1.2985E+01 | 1.9471E+01 | 1.7335E+01 | 3.1775E+01 | 2.0222E+01 | |
| Rank | 1 | 7 | 8 | 3 | 9 | 10 | 6 | 4 | 5 | 2 | |
| F8 | Best | 9.1509E+02 | 3.4198E+03 | 1.8289E+03 | 1.0029E+03 | 9.2447E+02 | 9.2019E+02 | 9.3383E+02 | 1.0287E+03 | 9.5510E+02 | 9.0709E+02 |
| Avg | 9.6117E+02 | 4.9803E+03 | 3.7534E+03 | 1.3566E+03 | 9.3527E+02 | 9.5019E+02 | 1.0403E+03 | 2.8395E+03 | 2.4155E+03 | 9.6526E+02 | |
| Std | 4.7488E+01 | 1.2327E+03 | 1.4570E+03 | 3.7236E+02 | 9.9517E+00 | 1.2270E+01 | 7.6847E+01 | 1.7226E+03 | 1.4781E+03 | 5.9133E+01 | |
| Rank | 3 | 10 | 9 | 6 | 1 | 2 | 5 | 8 | 7 | 4 | |
| F9 | Best | 2.8773E+03 | 4.5867E+03 | 6.5101E+03 | 4.4384E+03 | 8.6932E+03 | 7.8571E+03 | 6.8543E+03 | 3.8793E+03 | 4.0528E+03 | 3.8480E+03 |
| Avg | 4.7690E+03 | 5.7015E+03 | 7.4975E+03 | 7.0771E+03 | 8.8536E+03 | 8.5292E+03 | 7.3926E+03 | 4.5379E+03 | 5.1015E+03 | 4.9839E+03 | |
| Std | 7.7122E+02 | 5.5244E+02 | 6.6318E+02 | 1.2329E+03 | 1.2304E+02 | 3.7494E+02 | 2.5974E+02 | 5.5227E+02 | 7.6133E+02 | 6.6182E+02 | |
| Rank | 2 | 5 | 8 | 6 | 10 | 9 | 7 | 1 | 4 | 3 | |
| F10 | Best | 1.1289E+03 | 1.2634E+03 | 1.2920E+03 | 1.1614E+03 | 1.2516E+03 | 1.2617E+03 | 1.2885E+03 | 1.2132E+03 | 1.1119E+03 | 1145.830 |
| Avg | 1.1809E+03 | 1.4149E+03 | 1.4184E+03 | 1.2295E+03 | 1.2954E+03 | 1.2994E+03 | 1.3285E+03 | 1.2898E+03 | 1.1881E+03 | 1.2416E+03 | |
| Std | 5.2312E+01 | 1.3138E+02 | 8.9162E+01 | 4.8233E+01 | 2.3060E+01 | 2.4760E+01 | 2.4552E+01 | 5.0144E+01 | 4.8642E+01 | 51.81430709 | |
| Rank | 1 | 9 | 10 | 3 | 6 | 7 | 8 | 5 | 2 | 4 | |
| F11 | Best | 2.1217E+03 | 2.2676E+06 | 7.8723E+06 | 3.3165E+04 | 8.1508E+05 | 1.0060E+06 | 1.9866E+06 | 1.5908E+06 | 2.6860E+03 | 20253.4945 |
| Avg | 3.4859E+03 | 8.7382E+06 | 3.5060E+07 | 4.8977E+05 | 2.8398E+06 | 2.0884E+06 | 4.4211E+06 | 5.7738E+06 | 2.2353E+04 | 184248.2761 | |
| Std | 1.5356E+03 | 4.3976E+06 | 2.4954E+07 | 4.2222E+05 | 1.0363E+06 | 4.8450E+05 | 1.9355E+06 | 4.2418E+06 | 2.7735E+04 | 137801.6784 | |
| Rank | 1 | 9 | 10 | 4 | 6 | 5 | 7 | 8 | 2 | 3 | |
| F12 | Best | 1.4342E+03 | 1.5840E+04 | 6.8309E+04 | 1.5642E+03 | 1.0454E+05 | 1.9293E+05 | 9.3801E+04 | 8.9797E+03 | 1.3293E+03 | 1922.892453 |
| Avg | 1.9688E+03 | 1.5862E+05 | 1.7408E+05 | 1.4528E+04 | 3.7133E+05 | 4.9712E+05 | 2.8988E+05 | 3.9260E+04 | 1.3987E+03 | 16527.31732 | |
| Std | 4.1827E+02 | 3.1803E+05 | 6.6446E+04 | 1.5802E+04 | 1.3717E+05 | 2.0112E+05 | 1.1831E+05 | 2.6510E+04 | 1.0609E+02 | 19690.11727 | |
| Rank | 2 | 6 | 7 | 3 | 9 | 10 | 8 | 5 | 1 | 4 | |
| F13 | Best | 1.4788E+03 | 2.7886E+03 | 1.6480E+03 | 1.6203E+03 | 1.7979E+03 | 2.1512E+03 | 1.5739E+03 | 7.6255E+03 | 1.5117E+03 | 1524.451052 |
| Avg | 1.5135E+03 | 5.3163E+04 | 2.1678E+03 | 3.2955E+03 | 1.9475E+03 | 2.8751E+03 | 2.5317E+03 | 4.2317E+04 | 8.6166E+04 | 2105.770277 | |
| Std | 5.3282E+01 | 6.3146E+04 | 1.0257E+03 | 3.3811E+03 | 1.3626E+02 | 6.2659E+02 | 7.9175E+02 | 2.8415E+04 | 2.2787E+05 | 1268.647702 | |
| Rank | 1 | 9 | 4 | 7 | 2 | 6 | 5 | 8 | 10 | 3 | |
| F14 | Best | 1.5815E+03 | 2.2874E+03 | 1.1776E+04 | 1.6442E+03 | 1.6452E+04 | 3.5940E+04 | 1.8829E+04 | 3.6940E+03 | 1.5094E+03 | 1762.681814 |
| Avg | 1.7570E+03 | 1.4454E+04 | 2.9877E+04 | 8.3079E+03 | 3.5583E+04 | 6.3446E+04 | 4.2947E+04 | 1.5308E+04 | 1.5630E+03 | 7615.436605 | |
| Std | 8.2357E+01 | 1.1454E+04 | 1.2842E+04 | 8.3423E+03 | 1.2685E+04 | 2.1543E+04 | 1.6884E+04 | 1.2291E+04 | 4.6956E+01 | 10029.45177 | |
| Rank | 2 | 5 | 7 | 4 | 8 | 10 | 9 | 6 | 1 | 3 | |
| F15 | Best | 1.6169E+03 | 2.3499E+03 | 2.3269E+03 | 2.0244E+03 | 3.0114E+03 | 3.0242E+03 | 2.2652E+03 | 2.2036E+03 | 1.9875E+03 | 1902.168898 |
| Avg | 2.0055E+03 | 2.8809E+03 | 3.1450E+03 | 2.4159E+03 | 3.4310E+03 | 3.2715E+03 | 2.6994E+03 | 2.6655E+03 | 2.6732E+03 | 2421.05883 | |
| Std | 2.3294E+02 | 3.4811E+02 | 2.9881E+02 | 2.3151E+02 | 2.0254E+02 | 1.5112E+02 | 2.4123E+02 | 2.3800E+02 | 4.1118E+02 | 319.4655107 | |
| Rank | 1 | 7 | 8 | 2 | 10 | 9 | 6 | 4 | 5 | 3 | |
| F16 | Best | 1.7666E+03 | 1.8397E+03 | 2.0277E+03 | 1.8101E+03 | 2.2746E+03 | 2.0383E+03 | 1.8866E+03 | 1.8106E+03 | 1.7515E+03 | 1776.714515 |
| Avg | 1.8163E+03 | 2.2241E+03 | 2.2589E+03 | 2.0566E+03 | 2.4474E+03 | 2.3388E+03 | 2.0499E+03 | 2.1582E+03 | 2.2758E+03 | 1989.755998 | |
| Std | 3.4497E+01 | 2.8303E+02 | 1.5197E+02 | 1.4830E+02 | 7.4347E+01 | 1.3313E+02 | 9.9962E+01 | 2.4964E+02 | 2.9003E+02 | 146.1895127 | |
| Rank | 1 | 6 | 7 | 4 | 10 | 9 | 3 | 5 | 8 | 2 | |
| F17 | Best | 1.8504E+03 | 4.5316E+04 | 2.2311E+04 | 2.4691E+04 | 2.6405E+04 | 3.1821E+04 | 7.7773E+04 | 1.4108E+05 | 3.3309E+03 | 23394.46988 |
| Avg | 2.0062E+03 | 7.7655E+05 | 8.2441E+04 | 1.3067E+05 | 4.0943E+04 | 6.6430E+04 | 1.2170E+05 | 5.9382E+05 | 6.9747E+04 | 85853.49497 | |
| Std | 9.5558E+01 | 1.3497E+06 | 4.2900E+04 | 1.9036E+05 | 1.1788E+04 | 2.1851E+04 | 3.4056E+04 | 3.6511E+05 | 6.7148E+04 | 72715.98745 | |
| Rank | 1 | 10 | 5 | 8 | 2 | 3 | 7 | 9 | 4 | 6 | |
| F18 | Best | 1.9656E+03 | 3.0807E+03 | 8.8543E+03 | 2.1070E+03 | 1.4125E+04 | 1.5740E+04 | 1.2324E+04 | 3.3755E+03 | 1.9115E+03 | 2056.546423 |
| Avg | 2.0277E+03 | 1.4517E+04 | 1.1076E+05 | 9.5544E+03 | 2.8552E+04 | 4.7673E+04 | 4.8710E+04 | 1.6240E+04 | 1.9767E+03 | 8211.842954 | |
| Std | 4.5265E+01 | 1.2393E+04 | 1.1407E+05 | 7.3783E+03 | 1.0754E+04 | 2.1625E+04 | 2.6514E+04 | 1.3260E+04 | 1.0889E+02 | 8545.087761 | |
| Rank | 2 | 5 | 10 | 4 | 7 | 8 | 9 | 6 | 1 | 3 | |
| F19 | Best | 2.0409E+03 | 2.3207E+03 | 2.3527E+03 | 2.1026E+03 | 2.6670E+03 | 2.6476E+03 | 2.2792E+03 | 2.2145E+03 | 2.0717E+03 | 2063.273556 |
| Avg | 2.2514E+03 | 2.6051E+03 | 2.6169E+03 | 2.3633E+03 | 2.8630E+03 | 2.8472E+03 | 2.4410E+03 | 2.5035E+03 | 2.4774E+03 | 2342.110457 | |
| Std | 1.5766E+02 | 1.5900E+02 | 1.4438E+02 | 1.8792E+02 | 1.1100E+02 | 8.0219E+01 | 9.6795E+01 | 2.1337E+02 | 2.2810E+02 | 198.9296812 | |
| Rank | 1 | 7 | 8 | 3 | 10 | 9 | 4 | 6 | 5 | 2 | |
| F20 | Best | 2.3110E+03 | 2.2275E+03 | 2.4240E+03 | 2.3508E+03 | 2.4849E+03 | 2.4592E+03 | 2.3883E+03 | 2.3612E+03 | 2.3512E+03 | 2343.067091 |
| Avg | 2.3397E+03 | 2.4474E+03 | 2.4809E+03 | 2.3722E+03 | 2.4995E+03 | 2.4919E+03 | 2.4102E+03 | 2.4096E+03 | 2.3841E+03 | 2358.622466 | |
| Std | 1.6298E+01 | 8.4701E+01 | 2.9743E+01 | 1.5172E+01 | 7.9571E+00 | 1.3082E+01 | 1.4954E+01 | 2.8969E+01 | 2.2133E+01 | 11.6527675 | |
| Rank | 1 | 7 | 8 | 3 | 10 | 9 | 6 | 5 | 4 | 2 | |
| F21 | Best | 2.3000E+03 | 2.3412E+03 | 2.6673E+03 | 2.3000E+03 | 2.3304E+03 | 2.3257E+03 | 2.3274E+03 | 2.3059E+03 | 2.3025E+03 | 2300 |
| Avg | 2.5296E+03 | 3.7563E+03 | 6.1441E+03 | 2.6134E+03 | 2.3403E+03 | 2.3315E+03 | 2.3409E+03 | 5.2254E+03 | 6.2178E+03 | 3351.609735 | |
| Std | 8.8529E+02 | 2.3015E+03 | 3.0103E+03 | 1.2087E+03 | 5.5704E+00 | 4.8164E+00 | 7.6173E+00 | 1.5905E+03 | 1.7721E+03 | 1818.548534 | |
| Rank | 4 | 7 | 9 | 5 | 2 | 1 | 3 | 8 | 10 | 6 | |
| F22 | Best | 2.6757E+03 | 2.7639E+03 | 2.7771E+03 | 2.7017E+03 | 2.8356E+03 | 2.8313E+03 | 2.7430E+03 | 2.6965E+03 | 2.7038E+03 | 2685.358794 |
| Avg | 2.6987E+03 | 2.8736E+03 | 2.8699E+03 | 2.7518E+03 | 2.8587E+03 | 2.8516E+03 | 2.7712E+03 | 2.7699E+03 | 2.7382E+03 | 2714.712244 | |
| Std | 1.7032E+01 | 5.8767E+01 | 3.3452E+01 | 3.2589E+01 | 1.1832E+01 | 9.3416E+00 | 1.4915E+01 | 4.6313E+01 | 2.6602E+01 | 24.31337661 | |
| Rank | 1 | 10 | 9 | 4 | 8 | 7 | 6 | 5 | 3 | 2 | |
| F23 | Best | 2.8463E+03 | 2.9565E+03 | 2.9641E+03 | 2.8666E+03 | 2.9957E+03 | 2.9683E+03 | 2.8739E+03 | 2.8882E+03 | 2.8704E+03 | 2854.535314 |
| Avg | 2.8840E+03 | 3.0611E+03 | 3.0319E+03 | 2.9007E+03 | 3.0187E+03 | 3.0110E+03 | 2.9244E+03 | 2.9229E+03 | 2.9246E+03 | 2890.809262 | |
| Std | 3.5917E+01 | 7.9901E+01 | 3.7227E+01 | 2.7112E+01 | 1.0942E+01 | 1.2909E+01 | 1.9006E+01 | 1.7063E+01 | 4.9960E+01 | 35.53460198 | |
| Rank | 1 | 10 | 9 | 3 | 8 | 7 | 5 | 4 | 6 | 2 | |
| F24 | Best | 2.8753E+03 | 2.9186E+03 | 2.9742E+03 | 2.8873E+03 | 2.8923E+03 | 2.8892E+03 | 2.8951E+03 | 2.8878E+03 | 2.8835E+03 | 2883.492632 |
| Avg | 2.8798E+03 | 2.9744E+03 | 3.0436E+03 | 2.9038E+03 | 2.9010E+03 | 2.8920E+03 | 2.9127E+03 | 2.9107E+03 | 2.8881E+03 | 2890.814913 | |
| Std | 5.2929E+00 | 3.3228E+01 | 4.8366E+01 | 1.9004E+01 | 4.8665E+00 | 1.8164E+00 | 1.4488E+01 | 2.4058E+01 | 1.0481E+01 | 11.16570171 | |
| Rank | 1 | 9 | 10 | 6 | 5 | 4 | 8 | 7 | 2 | 3 | |
| F25 | Best | 2.8000E+03 | 3.7762E+03 | 3.8738E+03 | 2.8009E+03 | 5.3167E+03 | 5.1984E+03 | 3.6112E+03 | 2.9033E+03 | 4.3040E+03 | 3886.286574 |
| Avg | 4.1081E+03 | 5.7975E+03 | 5.4866E+03 | 4.5041E+03 | 5.5753E+03 | 5.5068E+03 | 4.2135E+03 | 4.8421E+03 | 4.7132E+03 | 4326.449876 | |
| Std | 4.4718E+02 | 7.6867E+02 | 6.8761E+02 | 7.8022E+02 | 1.2903E+02 | 1.3799E+02 | 4.5937E+02 | 8.7589E+02 | 4.1669E+02 | 339.4984132 | |
| Rank | 1 | 10 | 7 | 4 | 9 | 8 | 2 | 6 | 5 | 3 | |
| F26 | Best | 3.1296E+03 | 3.2097E+03 | 3.2424E+03 | 3.2113E+03 | 3.2261E+03 | 3.2221E+03 | 3.2217E+03 | 3.2205E+03 | 3.1983E+03 | 3203.44455 |
| Avg | 3.1818E+03 | 3.2676E+03 | 3.2904E+03 | 3.2342E+03 | 3.2381E+03 | 3.2301E+03 | 3.2410E+03 | 3.2449E+03 | 3.2287E+03 | 3225.80584 | |
| Std | 1.8643E+01 | 3.1587E+01 | 4.4358E+01 | 1.6999E+01 | 6.9512E+00 | 3.7903E+00 | 1.1642E+01 | 2.3599E+01 | 1.2545E+01 | 15.60638933 | |
| Rank | 1 | 9 | 10 | 5 | 6 | 4 | 7 | 8 | 3 | 2 | |
| F27 | Best | 3.1000E+03 | 3.2530E+03 | 3.3173E+03 | 3.2234E+03 | 3.2516E+03 | 3.2389E+03 | 3.2297E+03 | 3.2230E+03 | 3.1000E+03 | 3196.515686 |
| Avg | 3.1658E+03 | 3.3715E+03 | 3.4898E+03 | 3.2521E+03 | 3.2704E+03 | 3.2527E+03 | 3.2666E+03 | 3.2556E+03 | 3.1618E+03 | 3227.114407 | |
| Std | 6.6245E+01 | 4.9180E+01 | 9.1542E+01 | 1.7315E+01 | 1.3263E+01 | 1.0587E+01 | 2.0342E+01 | 2.0105E+01 | 6.9239E+01 | 25.1513953 | |
| Rank | 2 | 9 | 10 | 4 | 8 | 5 | 7 | 6 | 1 | 3 | |
| F28 | Best | 3.3637E+03 | 3.6163E+03 | 4.1280E+03 | 3.4132E+03 | 4.0225E+03 | 3.8991E+03 | 3.7793E+03 | 3.7224E+03 | 3.5801E+03 | 3408.451426 |
| Avg | 3.5718E+03 | 4.4258E+03 | 4.4271E+03 | 3.7060E+03 | 4.2215E+03 | 4.0720E+03 | 3.9616E+03 | 3.9641E+03 | 3.8797E+03 | 3712.883355 | |
| Std | 1.5403E+02 | 4.1655E+02 | 1.9062E+02 | 1.3982E+02 | 1.1022E+02 | 9.8138E+01 | 1.1614E+02 | 1.9860E+02 | 2.4113E+02 | 198.7913483 | |
| Rank | 1 | 9 | 10 | 2 | 8 | 7 | 5 | 6 | 4 | 3 | |
| F29 | Best | 3.4220E+03 | 3.6234E+04 | 1.6772E+05 | 5.7725E+03 | 1.1301E+05 | 1.0762E+05 | 9.2716E+04 | 3.7939E+04 | 5.3648E+03 | 5296.087599 |
| Avg | 7.0266E+03 | 3.2390E+05 | 1.4152E+06 | 1.0034E+04 | 2.1310E+05 | 1.9048E+05 | 4.3292E+05 | 2.4792E+05 | 7.4678E+03 | 8673.580642 | |
| Std | 3.8217E+03 | 2.6737E+05 | 1.2694E+06 | 3.2542E+03 | 5.8247E+04 | 5.1902E+04 | 2.1164E+05 | 2.3098E+05 | 1.8547E+03 | 2537.319778 | |
| Rank | 1 | 8 | 10 | 4 | 6 | 5 | 9 | 7 | 2 | 3 | |
| Friedman Rank | 1.414 | 8.241 | 8.517 | 4.345 | 6.793 | 6.552 | 6.310 | 5.793 | 4.069 | 2.966 | |
| +/=/− | N/A | 29/0/0 | 29/0/0 | 27/2/0 | 27/1/1 | 27/1/1 | 27/1/1 | 28/1/0 | 21/4/4 | 21/7/1 | |
| Problem | Name | D |
|---|---|---|
| RW01 | Tension/compression spring design problem | 3 |
| RW02 | Pressure vessel design problem | 4 |
| RW03 | Three-bar truss design problem | 2 |
| RW04 | Welded beam design problem | 4 |
| RW05 | Speed reducer design problem | 7 |
| RW06 | Gear train design problem | 4 |
| RW07 | Cantilever beam design problem | 5 |
| RW08 | Multiple disk clutch brake design problem | 5 |
| RW09 | Step-cone pulley problem | 5 |
| No. | Index | EECO | EDECO | ISGTOA | APSM-jSO | LSHADE-SPACMA | EOSMA | GLSRIME | EPSCA | ESLPSO |
|---|---|---|---|---|---|---|---|---|---|---|
| RW1 | Best | 1.2666E-02 | 1.2756E-02 | 1.2787E-02 | 1.7773E-02 | 1.2666E-02 | 1.2672E-02 | 1.3113E-02 | 1.2666E-02 | 1.2720E-02 |
| Mean | 1.2771E-02 | 1.3704E-02 | 1.3109E-02 | 1.7775E-02 | 1.2684E-02 | 1.2869E-02 | 1.6981E-02 | 1.3944E-02 | 1.2882E-02 | |
| Std | 2.0705E-04 | 9.8361E-04 | 3.8124E-04 | 2.9736E-06 | 2.7940E-05 | 2.2313E-04 | 2.3095E-03 | 1.8742E-03 | 2.3411E-04 | |
| Rank | 2 | 6 | 5 | 9 | 1 | 3 | 8 | 7 | 4 | |
| RW2 | Best | 5.8504E+03 | 6.3582E+03 | 6.0758E+03 | 6.2707E+03 | 6.4653E+03 | 6.2087E+03 | 6.2595E+03 | 5.8728E+03 | 5.8770E+03 |
| Mean | 6.0591E+03 | 8.6606E+03 | 6.6352E+03 | 6.4423E+03 | 7.5240E+03 | 6.8430E+03 | 7.1244E+03 | 6.4951E+03 | 6.3556E+03 | |
| Std | 2.3813E+02 | 1.2218E+03 | 4.8391E+02 | 2.7207E+02 | 1.8974E+03 | 3.6300E+02 | 8.8165E+02 | 6.2261E+02 | 3.7441E+02 | |
| Rank | 1 | 9 | 5 | 3 | 8 | 6 | 7 | 4 | 2 | |
| RW3 | Best | 2.6389E+02 | 2.6389E+02 | 2.6389E+02 | 2.6389E+02 | 2.6389E+02 | 2.6389E+02 | 2.6389E+02 | 2.6389E+02 | 2.6389E+02 |
| Mean | 2.6389E+02 | 2.6389E+02 | 2.6391E+02 | 2.6389E+02 | 2.6389E+02 | 2.6390E+02 | 2.6466E+02 | 2.6393E+02 | 2.6389E+02 | |
| Std | 5.9918E-14 | 6.7365E-03 | 1.3135E-02 | 7.8658E-10 | 6.8317E-14 | 1.4456E-02 | 9.0553E-01 | 4.5358E-02 | 4.9570E-03 | |
| Rank | 1 | 4 | 7 | 3 | 1 | 6 | 9 | 8 | 5 | |
| RW4 | Best | 1.6928E+00 | 1.7288E+00 | 1.7370E+00 | 1.0890E+15 | 1.6928E+00 | 1.7030E+00 | 1.7213E+00 | 1.6999E+00 | 1.7152E+00 |
| Mean | 1.6928E+00 | 2.0392E+00 | 1.7792E+00 | 1.0890E+15 | 1.6928E+00 | 1.7489E+00 | 1.9902E+00 | 1.7726E+00 | 1.7668E+00 | |
| Std | 6.7949E-05 | 2.2470E-01 | 3.8263E-02 | 8.2773E+04 | 6.4020E-06 | 3.7259E-02 | 1.7265E-01 | 1.2312E-01 | 7.8868E-02 | |
| Rank | 2 | 8 | 6 | 9 | 1 | 3 | 7 | 5 | 4 | |
| RW5 | Best | 2.8732E+03 | 2.9960E+03 | 2.9937E+03 | 1.2708E+07 | 2.9936E+03 | 3.0033E+03 | 2.9976E+03 | 2.9936E+03 | 2.9947E+03 |
| Mean | 2.8734E+03 | 3.0031E+03 | 2.9940E+03 | 1.2708E+07 | 2.9936E+03 | 3.0133E+03 | 3.0105E+03 | 2.9936E+03 | 2.9962E+03 | |
| Std | 1.0284E-01 | 4.0047E+00 | 3.0598E-01 | 1.4755E-01 | 1.9172E-03 | 5.3050E+00 | 1.5672E+01 | 5.5850E-04 | 1.1368E+00 | |
| Rank | 1 | 6 | 4 | 9 | 3 | 8 | 7 | 2 | 5 | |
| RW6 | Best | 2.7009E-12 | 2.7009E-12 | 2.7009E-12 | 2.7009E-12 | 2.7009E-12 | 2.3078E-11 | 2.3078E-11 | 2.3078E-11 | 2.7009E-12 |
| Mean | 5.0620E-10 | 5.2116E-09 | 5.8190E-10 | 7.9145E-10 | 2.7299E-10 | 1.1105E-09 | 4.2618E-09 | 8.0077E-09 | 1.1875E-09 | |
| Std | 1.0261E-09 | 1.2218E-08 | 7.2954E-10 | 9.0042E-10 | 3.8346E-10 | 6.3158E-10 | 6.0422E-09 | 1.3910E-08 | 7.9503E-10 | |
| Rank | 2 | 8 | 3 | 4 | 1 | 5 | 7 | 9 | 6 | |
| RW7 | Best | 1.3400E+00 | 1.3524E+00 | 1.3431E+00 | 1.3400E+00 | 1.3400E+00 | 1.3459E+00 | 1.3526E+00 | 1.3401E+00 | 1.3520E+00 |
| Mean | 1.3400E+00 | 1.5506E+00 | 1.3635E+00 | 1.3400E+00 | 1.3405E+00 | 1.3536E+00 | 1.4338E+00 | 1.3430E+00 | 1.3756E+00 | |
| Std | 6.7764E-08 | 2.2988E-01 | 1.5331E-02 | 3.3567E-05 | 4.5479E-04 | 6.5782E-03 | 8.8386E-02 | 3.7741E-03 | 2.5766E-02 | |
| Rank | 1 | 9 | 6 | 2 | 3 | 5 | 8 | 4 | 7 | |
| RW8 | Best | 3.9247E+08 | 3.9247E+08 | 3.9247E+08 | 1.3400E+09 | 1.3510E+09 | 3.9247E+08 | 3.9247E+08 | 3.9247E+08 | 3.9247E+08 |
| Mean | 3.9247E+08 | 3.9247E+08 | 3.9247E+08 | 1.3647E+09 | 1.3747E+09 | 3.9247E+08 | 3.9247E+08 | 3.9247E+08 | 3.9247E+08 | |
| Std | 6.2829E-08 | 6.2829E-08 | 6.2829E-08 | 7.8338E+07 | 7.4639E+07 | 6.2829E-08 | 6.2829E-08 | 6.2829E-08 | 6.2829E-08 | |
| Rank | 1 | 1 | 1 | 8 | 9 | 1 | 1 | 1 | 1 | |
| RW9 | Best | 1.6085E+01 | 1.6304E+01 | 1.6754E+01 | 1.0098E+11 | 1.6089E+01 | 1.6849E+01 | 1.6306E+01 | 1.6111E+01 | 1.6141E+01 |
| Mean | 1.6086E+01 | 1.6687E+01 | 1.7097E+01 | 1.0098E+11 | 1.6101E+01 | 1.7377E+01 | 1.7506E+01 | 1.6516E+01 | 1.6769E+01 | |
| Std | 1.0423E-04 | 3.3065E-01 | 2.6577E-01 | 1.1988E+02 | 6.6970E-03 | 3.3127E-01 | 1.4142E+00 | 1.7645E-01 | 4.6407E-01 | |
| Rank | 1 | 4 | 6 | 9 | 2 | 7 | 8 | 3 | 5 | |
| Friedman Rank | 1.722 | 6.444 | 5.111 | 6.222 | 3.278 | 5.222 | 7.222 | 5.111 | 4.667 | |
| +/=/− | N/A | 7/2/0 | 7/2/0 | 8/1/0 | 5/3/1 | 7/2/0 | 8/1/0 | 6/3/0 | 6/3/0 | |
Disclaimer/Publisher’s Note: The statements, opinions and data contained in all publications are solely those of the individual author(s) and contributor(s) and not of MDPI and/or the editor(s). MDPI and/or the editor(s) disclaim responsibility for any injury to people or property resulting from any ideas, methods, instructions or products referred to in the content. |
© 2025 by the authors. Licensee MDPI, Basel, Switzerland. This article is an open access article distributed under the terms and conditions of the Creative Commons Attribution (CC BY) license (https://creativecommons.org/licenses/by/4.0/).
Share and Cite
Li, N.; Miao, Z.; Zhou, S.; Zhou, H.; Wang, M.; Liu, Z. An Enhanced Educational Competition Optimizer Integrating Multiple Mechanisms for Global Optimization Problems. Biomimetics 2025, 10, 719. https://doi.org/10.3390/biomimetics10110719
Li N, Miao Z, Zhou S, Zhou H, Wang M, Liu Z. An Enhanced Educational Competition Optimizer Integrating Multiple Mechanisms for Global Optimization Problems. Biomimetics. 2025; 10(11):719. https://doi.org/10.3390/biomimetics10110719
Chicago/Turabian StyleLi, Na, Zi Miao, Sha Zhou, Haoxiang Zhou, Meng Wang, and Zhenzhong Liu. 2025. "An Enhanced Educational Competition Optimizer Integrating Multiple Mechanisms for Global Optimization Problems" Biomimetics 10, no. 11: 719. https://doi.org/10.3390/biomimetics10110719
APA StyleLi, N., Miao, Z., Zhou, S., Zhou, H., Wang, M., & Liu, Z. (2025). An Enhanced Educational Competition Optimizer Integrating Multiple Mechanisms for Global Optimization Problems. Biomimetics, 10(11), 719. https://doi.org/10.3390/biomimetics10110719

