Improving Airline Pilots’ Visual Scanning and Manual Flight Performance through Training on Skilled Eye Gaze Strategies
Abstract
:1. Introduction
1.1. Manual Flight Control and Visual Scanning Strategies
1.2. Visual Scanning Strategies and Flight Experience
1.3. Showing Visual Scanning Strategies Examples from Highly Accurate Pilots to Improve Monitoring Skills
1.4. Objectives and Hypotheses
2. Method
2.1. Ethics Statement
2.2. Participants of the Pre-Training Session
2.3. Participants of the Post-Training Session
2.4. Scenarios and Flight Performance Measures
2.4.1. Scenario and Flight Performance Measures of the Pre-Training Session
2.4.2. Scenario and Flight Performance Measures of the Post-Training Session
2.5. Eye-Tracking Measurements
2.5.1. Pre-Training Session
- “A–B”: 4 occurrences (including “B–A” transitions);
- “A–C”: 1 occurrence;
- “A–B–A”: 2 occurrences (including “B–A–B”);
- “B–A–C”: 1 occurrence
2.5.2. Post-Training Session
2.6. Training Program
2.6.1. The Experimental Group
- A bar plot with their flight performance during the approach (lateral and vertical deviations, speed, height above the runway threshold, and touchdown distance), see Figure S1;
- A first-person point of view, eye-tracking video (the raw video generated by the eye-tracking system, with a moving circle showing the current fixation point) showing their own visual scanning performing the approach (duration 2.5 min—between 2500 ft and touchdown), see Figure S2;
- A bar plot showing the percentages of their own dwell times on each of the 9 cockpit AOIs during the approach, see Figure S3.
- On the previously mentioned bar plot, the percentage of dwell times on each of the 9 cockpit AOIs of the most accurate pilots and the efficient gaze allocation interval, see Figure S3;
- A first-person point-of-view eye-tracking video, showing eye fixations during the approach from one of the most accurate pilots (one who did not belong to the experimental group to avoid showing one of the participants their own visual circuit) performing the approach, see Figure 4 (top) and Figure S5.
2.6.2. The Control Group
- A generic video about aircraft attitude changes maneuvers and associated visual scanning strategies used during pilots’ initial training (duration 3.5 min), see Figure S6;
- A first-person point-of-view video of an airline pilot who did not participate in the experiment, performing a standard approach without any indication of the gaze fixation point (same point of view as the eye-tracking video, made using a head-mounted GoPro camera, duration 2.5 min), see Figure 4 (bottom) and Figure S7.
3. Results
3.1. Results of the Pre-Training Session
3.1.1. Flight Performance and Categorization of the Performance Profiles
3.1.2. Defining an Efficient Visual Scanning Strategy
- Being within an interval spanning over the mean percentage of accurate pilot dwell times on each instrument (AOI) plus/minus two standard deviations (outliers’ method), labeled efficient dwell times interval. Percentages of dwell times outside this interval were considered as sub-optimal visual scanning strategies;
- Performing comparable visual scanning patterns to the most accurate pilots, in particular, their four most frequent visual scanning patterns labeled as ‘efficient visual scanning patterns’.
3.1.3. Overall Average Dwell Time on AOIs and Pilots’ Performance Profile
3.1.4. Percentage of Dwell Times on the Instruments and Pilots’ Performance Profile
3.1.5. Visual Scanning Patterns and Pilots’ Performance Profile
- Speed indicator—attitude indicator—speed indicator (visual scanning pattern A, otherwise labeled speed, includes three AOIs);
- AVSVD—attitude indicator—AVSVD (visual scanning pattern B, otherwise labeled vertical deviation, includes three AOIs);
- HLD—attitude indicator—HLD (visual scanning pattern C, otherwise labeled lateral deviation, includes three AOIs);
- Speed indicator—attitude indicator—ECAM (displaying the engine thrust)—attitude indicator—HLD—attitude indicator—AVSVD—attitude indicator (visual scanning pattern D, otherwise labeled general attitude, includes eight AOIs).
3.2. Results of the Post-Training Session
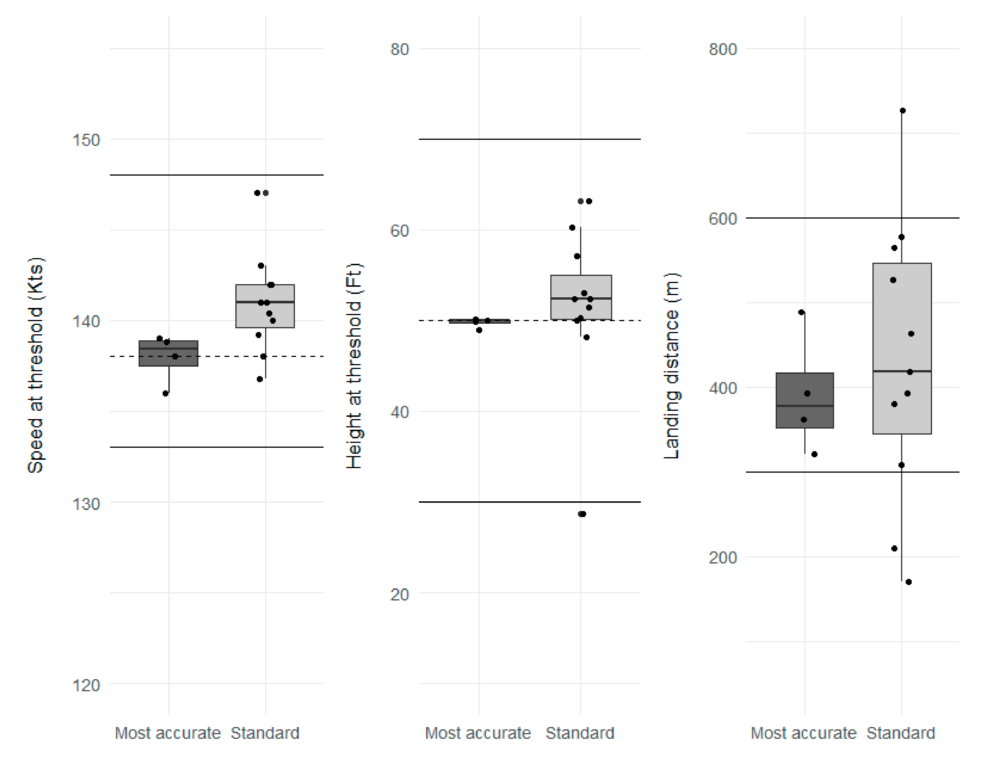
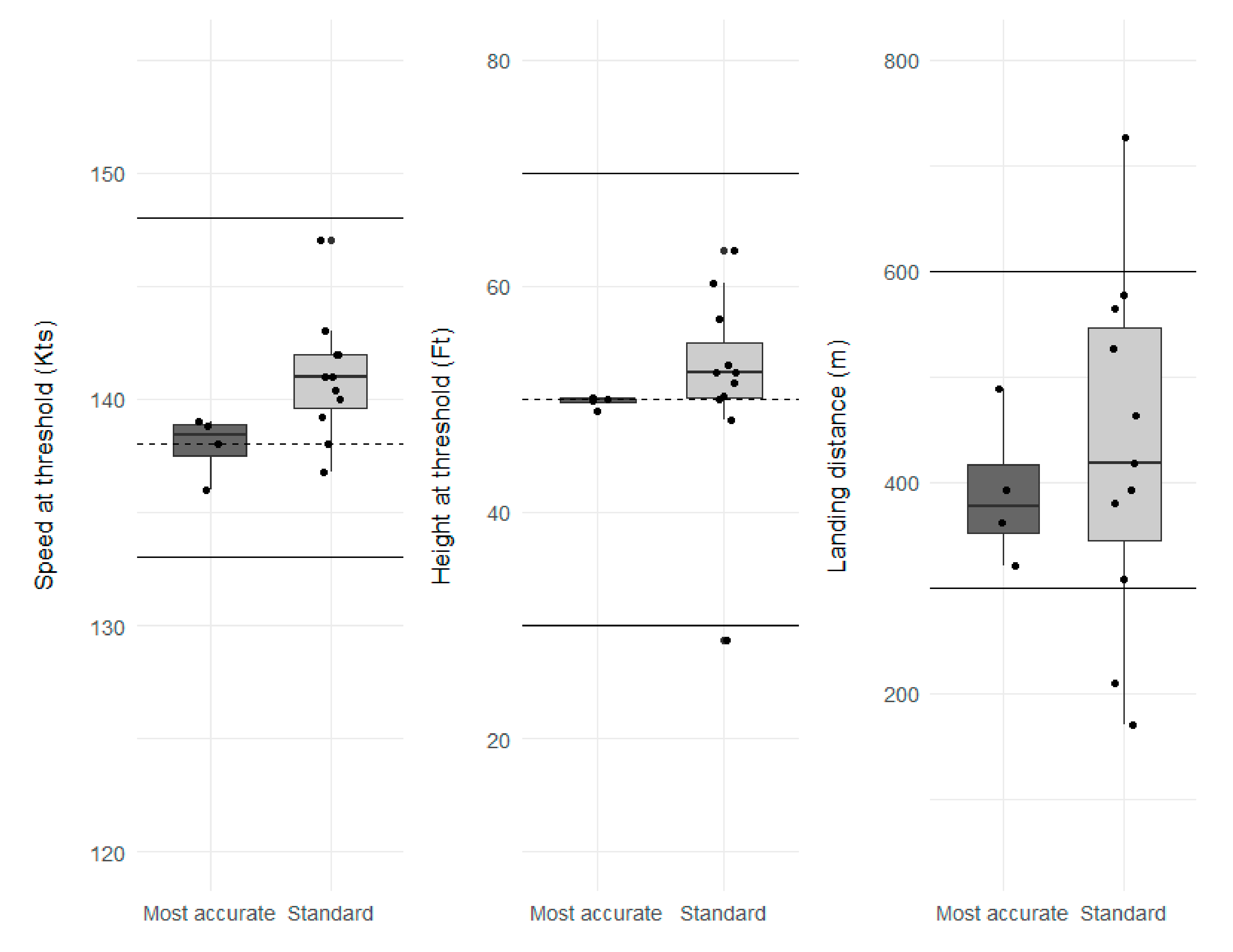
3.2.1. Flight Performance
3.2.2. Overall Average Dwell Times on AOIs and Training Group
3.2.3. Percentage of Dwell Times on the Instruments and Training Group
3.2.4. Visual Scanning Patterns and Training Group
4. Discussion
4.1. Flight Performances
4.2. Visual Scanning of the Instruments
4.3. Limitations and Remarks
5. Conclusions
Supplementary Materials
Author Contributions
Funding
Data Availability Statement
Acknowledgments
Conflicts of Interest
References
- National Transportation Safety Board (NTSB). A Review of Flightcrew-Involved, Major Accidents of US Air Carriers, 1978 through 1990; National Transportation Safety Board: Washington, DC, USA, 1994. [Google Scholar]
- Mumaw, R.J.; Billman, D.; Feary, M. Factors That Influenced Airplane State Awareness Accidents and Incidents; CAST SE-210 Output 2; National Aeronautics and Space Administration: Washington, DC, USA, 2019. [Google Scholar]
- Loss of Control Action Group. Monitoring Matters, Guidance on the Development of Pilot Monitoring Skills; CAA Paper 2013/02; Civil Aviation Authority: London, UK, 2013. [Google Scholar]
- Sumwalt, R.; Cross, D.; Lessard, D. Examining how breakdowns in pilot monitoring of the aircraft flight path. Int. J. Aviat. Aeronaut. Aerosp. 2015, 2, 8. [Google Scholar] [CrossRef] [Green Version]
- Standard Operating Procedures for Flight Deck Crewmembers; Federal Aviation Administration (FAA): Washington, DC, USA, 2003.
- Federal Aviation Administration (FAA). Operational Use of Flight Path Managements Systems; Final Report of the Performance-Based Operations Aviation Rulemaking Committee; Commercial Aviation Safety Team Flight Deck Automation Working Group: Washington, DC, USA, 2013. [Google Scholar]
- International Air Transport Association (IATA). Guidance Material for Improving Flight Crew Monitoring; International Air Transport Association: Geneva, Switzerland, 2016. [Google Scholar]
- Dehais, F.; Behrend, J.; Peysakhovich, V.; Causse, M.; Wickens, C.D. Pilot flying and pilot monitoring’s aircraft state awareness during go-around execution in aviation: A behavioral and eye tracking study. Int. J. Aerosp. Psychol. 2017, 27, 15–28. [Google Scholar] [CrossRef] [Green Version]
- Reynal, M.; Colineaux, Y.; Vernay, A.; Dehais, F. Pilot flying vs. pilot monitoring during the approach phase: An eye-tracking study. In Proceedings of the International Conference on Human-Computer Interaction in Aerospace, Paris, France, 14–16 September 2016; p. 7. [Google Scholar]
- Adam, G.; Condette, J. Study on Aeroplane State Awareness during Go-Around; Bureau d’Enquetes et d’Analyses pour la Securite de L’Aviation Civile: Le Bourget, France, 2013. [Google Scholar]
- Lefrancois, O.; Matton, N.; Gourinat, Y.; Peysakhovich, V.; Causse, M. The role of pilots’ monitoring strategies in flight performance. In Proceedings of the European Association for Aviation Psychology Conference (EAAP32), Cascais, Portugal, 26–30 September 2016. [Google Scholar]
- Haslbeck, A.; Hoermann, H.-J. Flying the needles: Flight deck automation erodes fine-motor flying skills among airline pilots. Hum. Factors 2016, 58, 533–545. [Google Scholar] [CrossRef] [PubMed] [Green Version]
- Benson, A.J. Spatial Disorientation—A Perspective; Royal Air Force Centre of Aviation Medecine: Bedfordshire, UK, 2003. [Google Scholar]
- Puentes, A. The Manual Flight Skill of Airline Pilots; San Jose State University: San Jose, CA, USA, 2011. [Google Scholar]
- Ebbatson, M. The Loss of Manual Flying Skills in Pilots of Highly Automated Airliners; Cranfield University: Cranfield, UK, 2009. [Google Scholar]
- Haslbeck, A.; Zhang, B. I spy with my little eye: Analysis of airline pilots’ gaze patterns in a manual instrument flight scenario. Appl. Ergon. 2017, 63, 62–71. [Google Scholar] [CrossRef]
- Lounis, C.; Peysakhovich, V.; Causse, M. Visual scanning strategies in the cockpit are modulated by pilots’ expertise: A flight simulator study. PLoS ONE 2021, 16, e0247061. [Google Scholar] [CrossRef]
- Bellenkes, A.H.; Wickens, C.D.; Kramer, A.F. Visual scanning and pilot expertise: The role of attentional flexibility and mental model development. Aviat. Space Environ. Med. 1997, 68, 569–579. [Google Scholar] [PubMed]
- Katoh, Z. Saccade amplitude as a discriminator of flight types. Aviat. Space Environ. Med. 1997, 68, 205–208. [Google Scholar]
- Just, M.A.; Carpenter, P.A. Eye fixations and cognitive processes. Cognit. Psychol. 1976, 8, 441–480. [Google Scholar] [CrossRef]
- Gegenfurtner, A.; Lehtinen, E.; Säljö, R. Expertise differences in the comprehension of visualizations: A meta-analysis of eye-tracking research in professional domains. Educ. Psychol. Rev. 2011, 23, 523–552. [Google Scholar] [CrossRef]
- Law, B.; Atkins, M.S.; Kirkpatrick, A.E.; Lomax, A.J. Eye Gaze Patterns Differentiate Novice and Experts in a Virtual Laparoscopic Surgery Training Environment; ACM: New York, NY, USA, 2004; pp. 41–48. [Google Scholar]
- Ziv, G. Gaze behavior and visual attention: A review of eye tracking studies in aviation. Int. J. Aviat. Psychol. 2016, 26, 75–104. [Google Scholar] [CrossRef]
- Yang, J.H.; Kennedy, Q.; Sullivan, J.; Fricker, R.D. Pilot performance: Assessing how scan patterns & navigational assessments vary by flight expertise. Aviat. Space Environ. Med. 2013, 84, 116–124. [Google Scholar] [PubMed] [Green Version]
- Robinski, M.; Stein, M. Tracking Visual Scanning Techniques in Training Simulation for Helicopter Landing. J. Eye Mov. Res. 2013, 6, 1–17. [Google Scholar]
- Kasarskis, P.; Stehwien, J.; Hickox, J.; Aretz, A.; Wickens, C. Comparison of expert and novice scan behaviors during VFR flight. In Proceedings of the 11th International Symposium on Aviation Psychology, Daton, OH, USA, 2–5 May 2001. [Google Scholar]
- Sullivan, J.; Yang, J.H.; Day, M.; Kennedy, Q. Training simulation for helicopter navigation by characterizing visual scan patterns. Aviat. Space Environ. Med. 2011, 82, 871–878. [Google Scholar] [CrossRef] [PubMed] [Green Version]
- Reingold, E.M.; Sheridan, H. Eye movements and visual expertise in chess and medicine. In The Oxford Handbook of Eye Movements; Oxford University Press: New York, NY, USA, 2011; pp. 523–550. ISBN 978-0-19-953978-9. [Google Scholar]
- Haider, H.; Frensch, P.A. The role of information reduction in skill acquisition. Cognit. Psychol. 1996, 30, 304–337. [Google Scholar] [CrossRef] [PubMed] [Green Version]
- Schriver, A.T.; Morrow, D.G.; Wickens, C.D.; Talleur, D.A. Expertise differences in attentional strategies related to pilot decision making. Hum. Factors 2008, 50, 864–878. [Google Scholar] [CrossRef]
- van Meeuwen, L.W.; Jarodzka, H.; Brand-Gruwel, S.; Kirschner, P.A.; de Bock, J.J.; van Merriënboer, J.J. Identification of effective visual problem solving strategies in a complex visual domain. Learn. Instr. 2014, 32, 10–21. [Google Scholar] [CrossRef]
- Jarodzka, H.; Scheiter, K.; Gerjets, P.; Van Gog, T. In the eyes of the beholder: How experts and novices interpret dynamic stimuli. Learn. Instr. 2010, 20, 146–154. [Google Scholar] [CrossRef] [Green Version]
- Wolff, C.E.; Jarodzka, H.; van den Bogert, N.; Boshuizen, H.P.A. Teacher vision: Expert and novice teachers’ perception of problematic classroom management scenes. Instr. Sci. 2016, 44, 243–265. [Google Scholar] [CrossRef] [Green Version]
- Charness, N.; Reingold, E.M.; Pomplun, M.; Stampe, D.M. The perceptual aspect of skilled performance in chess: Evidence from eye movements. Mem. Cognit. 2001, 29, 1146–1152. [Google Scholar] [CrossRef]
- Van Hecke, A.V.; Mundy, P. Neural systems and the development of gaze following and related joint attention skills. In Gaze-Following Its Development and Significance; Taylor and Francis: Milton Park, UK, 2007. [Google Scholar]
- Symons, L.A.; Lee, K.; Cedrone, C.C.; Nishimura, M. What are you looking at? Acuity for triadic eye gaze. J. Gen. Psychol. 2004, 131, 451. [Google Scholar]
- Van Marlen, T.; Van Wermeskerken, M.; Jarodzka, H.; Van Gog, T. Effectiveness of eye movement modeling examples in problem solving: The role of verbal ambiguity and prior knowledge. Learn. Instr. 2018, 58, 274–283. [Google Scholar] [CrossRef]
- Brennan, S.E.; Chen, X.; Dickinson, C.A.; Neider, M.B.; Zelinsky, G.J. Coordinating cognition: The costs and benefits of shared gaze during collaborative search. Cognition 2008, 106, 1465–1477. [Google Scholar] [CrossRef]
- Shapiro, K.L.; Raymond, J.E. Training of efficient oculomotor strategies enhances skill acquisition. Acta Psychol. 1989, 71, 217–242. [Google Scholar] [CrossRef]
- Velichkovsky, B.M. Communicating attention: Gaze position transfer in cooperative problem solving. Pragmat. Cogn. 1995, 3, 199–223. [Google Scholar] [CrossRef]
- Salmerón, L.; Delgado, P.; Mason, L. Using eye-movement modelling examples to improve critical reading of multiple webpages on a conflicting topic. J. Comput. Assist. Learn. 2020, 36, 1038–1051. [Google Scholar] [CrossRef]
- Bednarik, R.; Schulte, C.; Budde, L.; Heinemann, B.; Vrzakova, H. Eye-movement modeling examples in source code comprehension: A classroom study. In Proceedings of the 18th Koli Calling International Conference on Computing Education Research, Koli, Finland, 22–25 November 2018; pp. 1–8. [Google Scholar]
- Jarodzka, H.; Balslev, T.; Holmqvist, K.; Nyström, M.; Scheiter, K.; Gerjets, P.; Eika, B. Conveying clinical reasoning based on visual observation via eye-movement modelling examples. Instr. Sci. 2012, 40, 813–827. [Google Scholar] [CrossRef] [Green Version]
- Litchfield, D.; Ball, L.J.; Donovan, T.; Manning, D.J.; Crawford, T. Viewing another person’s eye movements improves identification of pulmonary nodules in chest x-Ray inspection. J. Exp. Psychol. Appl. 2010, 16, 251. [Google Scholar] [CrossRef] [PubMed]
- Nalanagula, D.; Greenstein, J.S.; Gramopadhye, A.K. Evaluation of the effect of feedforward training displays of search strategy on visual search performance. Int. J. Ind. Ergon. 2006, 36, 289–300. [Google Scholar] [CrossRef]
- Leff, D.R.; James, D.R.C.; Orihuela-Espina, F.; Kwok, K.-W.; Sun, L.W.; Mylonas, G.; Athanasiou, T.; Darzi, A.W.; Yang, G.-Z. The impact of expert visual guidance on trainee visual search strategy, visual attention and motor skills. Front. Hum. Neurosci. 2015, 9, 526. [Google Scholar] [CrossRef] [Green Version]
- Sadasivan, S.; Greenstein, J.S.; Gramopadhye, A.K.; Duchowski, A.T. Use of Eye Movements as Feedforward Training for a Synthetic Aircraft Inspection Task; ACM: New York, NY, USA, 2005; pp. 141–149. [Google Scholar]
- Van Gog, T.; Jarodzka, H.; Scheiter, K.; Gerjets, P.; Paas, F. Attention guidance during example study via the model’s eye movements. Comput. Hum. Behav. 2009, 25, 785–791. [Google Scholar] [CrossRef]
- Salmerón, L.; Llorens, A. Instruction of digital reading strategies based on eye-movements modeling examples. J. Educ. Comput. Res. 2019, 57, 343–359. [Google Scholar] [CrossRef]
- Wetzel, P.A.; Anderson, G.M.; Barelka, B.A. Instructor use of eye position based feedback for pilot training. In Proceedings of the Human Factors and Ergonomics Society Annual Meeting, Santa Monica, CA, USA, 5–9 October 1998; SAGE Publications: Los Angeles, CA, USA, 1998; 42, pp. 1388–1392. [Google Scholar]
- Kang, Z.; Landry, S.J. Using scanpaths as a learning method for a conflict detection task of multiple target tracking. Hum. Factors 2014, 56, 1150–1162. [Google Scholar] [CrossRef]
- Weir, D.H.; McRuer, D.T. Pilot Dynamics for Instrument Approach Tasks: Full Panel Multiloop and Flight Director Operations; National Aeronautics and Space Administration: Washington, DC, USA, 1972. [Google Scholar]
- Dutch Safety Board (DSB). Turkish Airlines, Crashed during Approach, Boeing 737-800, Amsterdam Schiphol Airport, 5 February 2000; Dutch Safety Board: The Hague, The Netherlands, 2010. [Google Scholar]
- Ale, B.J.; Bellamy, L.; Cooper, J.; Ababei, D.; Kurowicka, D.; Morales, O.; Spouge, J. Analysis of the Crash of TK 1951 Using CATS. Reliab. Eng. Syst. Saf. 2010, 95, 469–477. [Google Scholar] [CrossRef]
- Causse, M.; Péran, P.; Dehais, F.; Caravasso, C.F.; Zeffiro, T.; Sabatini, U.; Pastor, J. Affective decision making under uncertainty during a plausible aviation task: An FMRI study. Neuroimage 2013, 71, 19–29. [Google Scholar] [CrossRef] [PubMed] [Green Version]
- Reducing the Risk of Runway Excursion; Flight Safety Foundation: Alexandria, VA, USA, 2009.
- Mason, L.; Pluchino, P.; Tornatora, M.C. Eye-movement modeling of integrative reading of an illustrated text: Effects on processing and learning. Contemp. Educ. Psychol. 2015, 41, 172–187. [Google Scholar] [CrossRef]
- Weir, D.H.; Klein, R.H. Measurement and analysis of pilot scanning behavior during simulated instrument approaches. J. Aircr. 1971, 8, 897–904. [Google Scholar] [CrossRef]
- Fitts, P.M.; Jones, R.E.; Milton, J.L. Eye movements of aircraft pilots during instrument-landing approaches. Aeronaut. Eng. Rev. 1950, 9, 24–29. [Google Scholar]
- Pennington, J.E. Single Pilot Scanning Behavior in Simulated Instrument Flight; National Aeronautics and Space Administration: Washington, DC, USA, 1979. [Google Scholar]
- Mumaw, R.J.; Billman, D.; Feary, M. Analysis of Pilot Monitoring Skills and a Review of Training Effectiveness; NASA/TM-20210000047; National Aeronautics and Space Administration: Washington, DC, USA, 2020. [Google Scholar]
- Hollnagel, E.; Woods, D.D. Joint Cognitive Systems: Foundations of Cognitive Systems Engineering; CRC Press: Boca Raton, FL, USA, 2005; ISBN 0-429-12222-5. [Google Scholar]
- Adriaensen, A.; Patriarca, R.; Smoker, A.; Bergström, J. A Socio-technical analysis of functional properties in a joint cognitive system: A case study in an aircraft cockpit. Ergonomics 2019, 62, 1598–1616. [Google Scholar] [CrossRef]
- Henriqson, E.; van Winsen, R.; Saurin, T.A.; Dekker, S.W. How a cockpit calculates its speeds and why errors while doing this are so hard to detect. Cogn. Technol. Work 2011, 13, 217–231. [Google Scholar] [CrossRef]
- Rothstein, A.L. Bridging the gap: Application of research on video-tape feedback and bowling. Mot. Ski. Theory Pract. 1976, 35–62. [Google Scholar]
- Dee Gallagher, J.; Thomas, J.R. Effects of varying post-KR intervals upon children’s motor performance. J. Mot. Behav. 1980, 12, 41–46. [Google Scholar] [CrossRef]
- Denny, M.; Allard, M.; Hall, E.; Rokeach, M. Supplementary report: Delay of knowledge of results, knowledge of task, and intertrial interval. J. Exp. Psychol. 1960, 60, 327. [Google Scholar] [CrossRef]
- Clariana, R.B.; Wagner, D.; Murphy, L.C.R. Applying a connectionist description of feedback timing. Educ. Technol. Res. Dev. 2000, 48, 5–22. [Google Scholar] [CrossRef]
- Chapman, P.; Underwood, G.; Roberts, K. Visual search patterns in trained and untrained novice drivers. Transp. Res. Part F Traffic Psychol. Behav. 2002, 5, 157–167. [Google Scholar] [CrossRef]
- Haslbeck, A.; Schubert, E.; Gontar, P.; Bengler, K. The relationship between pilots’ manual flying skills and their visual behavior: A flight simulator study using eye tracking. Adv. Hum. Asp. Aviat. 2012, 561–568. [Google Scholar]
- Sarter, N.B.; Mumaw, R.J.; Wickens, C.D. Pilots’ monitoring strategies and performance on automated flight decks: An empirical study combining behavioral and eye-tracking data. Hum. Factors 2007, 49, 347–357. [Google Scholar] [CrossRef] [PubMed]
- Alamán, J.R.; Causse, M.; Peysakhovich, V. Attentional span of aircraft pilots: Did you look at the speed? In Proceedings of the 1st International Workshop (ETAVI 2020), Toulouse, France, 17 March 2020. [Google Scholar]
- Dubois, E.; Blättler, C.; Camachon, C.; Hurter, C. Eye movements data processing for ab initio military pilot training. In Proceedings of the 9th International Conference on Intelligent Decision Technologies (KES-IDT 2017), Algarve, Portugal, 21–23 June 2017; Springer: New York, NY, USA, 2017; pp. 125–135. [Google Scholar]
| 1 | Lateral deviation pattern (C) |














| Visual Scanning Patterns | Pilots’ Performance Profiles | ||
|---|---|---|---|
| Unstabilized Pilots | Standard Pilots | Most Accurate Pilots | |
| Speed pattern (A) | 4.9% (3.0%) | 8.2% (2.6%) | 13.2% (3.1%) |
| Vertical deviation pattern (B) | 7.3% (5.3%) | 8.6% (2.9%) | 12.8% (2.3%) |
| Lateral deviation pattern (C) | 4.7% (3.6%) | 10.5% (3.0%) | 13.4% (3.5%) |
| General attitude pattern (D) | 3.0% (2.0%) | 7.1% (2.5%) | 13.7% (2.5%) |
| Other patterns | 80.1% (5.9%) | 66.2% (6.8%) | 45.3% (6.3%) |
Publisher’s Note: MDPI stays neutral with regard to jurisdictional claims in published maps and institutional affiliations. |
© 2021 by the authors. Licensee MDPI, Basel, Switzerland. This article is an open access article distributed under the terms and conditions of the Creative Commons Attribution (CC BY) license (https://creativecommons.org/licenses/by/4.0/).
Share and Cite
Lefrançois, O.; Matton, N.; Causse, M. Improving Airline Pilots’ Visual Scanning and Manual Flight Performance through Training on Skilled Eye Gaze Strategies. Safety 2021, 7, 70. https://doi.org/10.3390/safety7040070
Lefrançois O, Matton N, Causse M. Improving Airline Pilots’ Visual Scanning and Manual Flight Performance through Training on Skilled Eye Gaze Strategies. Safety. 2021; 7(4):70. https://doi.org/10.3390/safety7040070
Chicago/Turabian StyleLefrançois, Olivier, Nadine Matton, and Mickaël Causse. 2021. "Improving Airline Pilots’ Visual Scanning and Manual Flight Performance through Training on Skilled Eye Gaze Strategies" Safety 7, no. 4: 70. https://doi.org/10.3390/safety7040070
APA StyleLefrançois, O., Matton, N., & Causse, M. (2021). Improving Airline Pilots’ Visual Scanning and Manual Flight Performance through Training on Skilled Eye Gaze Strategies. Safety, 7(4), 70. https://doi.org/10.3390/safety7040070

