Next Article in Journal
From Mission to Mindset: How Organizational Purpose Shapes First Responder Resilience-Building
Previous Article in Journal
Trust, Fear, and the Dual Domains of Safety Culture in Aviation Maintenance: A Structural Equation Modeling Approach
 
 
Font Type:
Arial Georgia Verdana
Font Size:
Aa Aa Aa
Line Spacing:
Column Width:
Background:
Article

Adverse Weather Modulates Risk Effects and Injury Dependencies Between Alcohol-Impaired and Sober Drivers

1
School of Systems Science, Beijing Jiaotong University, Beijing 100044, China
2
School of Transportation and Logistics, Southwest Jiaotong University, Chengdu 611756, China
*
Author to whom correspondence should be addressed.
Safety 2026, 12(2), 38; https://doi.org/10.3390/safety12020038
Submission received: 14 December 2025 / Revised: 4 February 2026 / Accepted: 2 March 2026 / Published: 6 March 2026

Abstract

Existing research on driving under the influence (DUI) crashes predominantly employs independent modeling frameworks that overlook the interdependency between injury outcomes of impaired and sober drivers, potentially leading to biased parameter estimates and an incomplete understanding of crash mechanisms. This study develops a copula-based bivariate ordered response modeling framework to investigate how injury severities of DUI and non-DUI drivers are interdependent and how this dependency varies systematically across weather conditions. Using crash data from the U.S. Crash Report Sampling System (2016–2022), we analyze 3773 two-vehicle crashes involving one alcohol-impaired and one sober driver under clear, rain/snow, and fog conditions. Three key findings emerge from our analysis. First, injury severities between DUI and non-DUI drivers exhibit significant dependency, with both the strength and structure of this association varying systematically across weather conditions. Dependency intensity increases progressively from clear weather (Kendall’s τ = 0.2717) to rain/snow (0.2966) and peaks under fog (0.3239). Moreover, the optimal dependency structure differs by weather conditions. Second, DUI and non-DUI drivers demonstrate markedly differentiated response patterns to risk factors, with the same factor often producing opposite-direction or substantially different magnitude effects on the two parties. Third, weather conditions play a critical moderating role, with most risk factors exhibiting significant amplification effects on crash injury severity under adverse weather. For example, on curved roadways under fog compared to clear weather, severe/fatal injury risk increases from 4.45% to 5.81% for DUI drivers and from 7.99% to 11.36% for non-DUI drivers. These findings highlight the importance of joint dependency modeling in alcohol-related crash research and provide evidence-based insights for weather-sensitive DUI enforcement and targeted safety interventions.

1. Introduction

Alcohol-impaired driving remains a persistent public health and traffic safety challenge. In the U.S., alcohol-impaired crashes, as reported by the National Highway Traffic Safety Administration (NHTSA), account for more than 30% of all traffic-related fatalities each year, with alcohol levels of 0.08 g/dL or higher [1]. The complexity of crashes related to driving under the influence (DUI) extends beyond the impaired driver themselves, as these incidents invariably involve non-impaired drivers, whose injury outcomes become inextricably linked to the alcohol-impaired party through the crash event itself.
Although multivariate approaches that incorporate outcome dependence have been used in general road safety research, their application to alcohol-impaired crashes remains very limited. Most DUI severity studies still rely on univariate frameworks that model impaired and non-impaired drivers independently. This independence assumption is especially problematic in DUI settings, where the behavioral asymmetry between the two parties creates joint injury mechanisms shaped by shared crash dynamics and unobserved factors [2]. As a result, separate models may yield biased estimates and overlook key DUI-specific risk patterns. Meanwhile, while machine learning methods (e.g., gradient boosting, random forests) can capture complex patterns, they typically function as black-box algorithms that lack the interpretable dependency parameters and formal statistical inference capacity essential for understanding causal mechanisms in policy-oriented research [3,4]. Joint modeling helps address these issues by capturing cross-outcome dependence and, more importantly, by identifying asymmetric and jointly determined injury mechanisms that neither independent models nor non-parametric approaches can adequately detect. Copula-based multivariate frameworks provide additional flexibility by allowing separate specification of marginal distributions and the dependence structure [5], combining the mechanistic transparency of parametric models with the capacity to explicitly quantify cross-driver injury correlations—making them particularly suitable for discrete, ordered injury outcomes with complex or nonlinear dependencies [6].
Crash outcomes are shaped by multiple dimensions of the road-safety system, including roadway geometry, pavement condition, vehicle characteristics, and driver behavior [7,8]. Among these factors, environmental conditions, particularly adverse weather, introduce additional layers of complexity that remain inadequately explored in the DUI crash literature. Weather conditions not only directly affect crash occurrence and severity through reduced visibility, compromised road surface traction, and altered vehicle handling characteristics [9], but they also potentially moderate the relationship between alcohol impairment and injury outcomes. The question of whether and how the dependency structure between DUI and non-DUI driver injuries varies across different weather contexts remains largely unanswered. Clear weather, rain or snow, and fog represent distinctly different driving environments that may fundamentally alter risk mechanisms, yet existing research has rarely examined these weather-specific dependency patterns in a systematic manner.
This study addresses these critical gaps by developing a Copula-based bivariate ordered response modeling framework to investigate the dependency structure between DUI and non-DUI driver injury severities and its systematic variation across weather conditions. Specifically, we address three interrelated research questions: (1) Do injury severities of DUI and non-DUI drivers in two-vehicle crashes exhibit systematic dependency, and if so, what is the strength and structure of this dependency? (2) Does the dependency structure vary systematically across different weather conditions (clear, rain/snow, fog)? (3) How do weather conditions moderate the effects of specific risk factors on injury severity outcomes for both impaired and sober drivers?
Drawing upon crash data from the U.S. Crash Report Sampling System (CRSS) spanning 2016 to 2022, we focus exclusively on two-vehicle crashes where one driver is alcohol-impaired and the other is sober, yielding a rigorously screened analytical sample of 3773 valid cases. We construct a comprehensive analytical framework that explicitly models the joint distribution of injury outcomes for both parties while accounting for a rich set of roadway, temporal, driver, and vehicle characteristics. By stratifying the analysis across overall, clear weather, rain/snow, and fog conditions, we examine how environmental contexts moderate both the magnitude of dependency and the effects of specific risk factors on injury severity outcomes.
This study makes three main contributions. Methodologically, it demonstrates that Copula-based joint models outperform independent frameworks and that injury dependencies vary systematically across weather conditions. Empirically, it identifies strong alcohol–weather interactions and asymmetric effects between impaired and sober drivers. From a policy perspective, it provides fine-grained, weather-specific implications for targeted DUI enforcement, translating statistical evidence into actionable strategies.
The remainder of this paper is organized as follows. Section 2 reviews the relevant literature. Section 3 describes the CRSS data, variable construction, and descriptive statistics. Section 4 presents the Copula-based bivariate ordered response modeling framework and estimation procedures. Section 5 discusses estimation results, including model comparison, marginal effects analysis, and conditional probability patterns across weather conditions. Section 6 concludes with key findings, policy implications, study limitations, and directions for future research.

2. Literature Review

Recent developments in crash-severity research have produced a diverse set of methodological directions, ranging from extended ordered-response models and random-parameter specifications to multivariate and dependency-aware frameworks. Alongside these advances, empirical studies have increasingly incorporated richer roadway, environmental, behavioral, and vehicle-related factors, reflecting a broader shift toward more holistic interpretations of crash mechanisms. To situate the present study within this evolving landscape, Table 1 provides a concise overview of recent studies relevant to these methodological directions.
Alcohol-involved crashes, characterized by high injury and fatality rates, have long been recognized as a central issue in road safety research. Extensive empirical evidence demonstrates that alcohol significantly amplifies collision severity and impairs drivers’ risk perception and response capabilities [23,24,25,26]. With the evolution of statistical modeling methodologies, alcohol-involved crash analysis has advanced from early ordered response models to extended frameworks incorporating more explanatory variables and error structures. However, most studies remain focused on single-driver or single-vehicle crashes, failing to reveal the inherent dependencies between injury outcomes of different drivers in two-vehicle scenarios and their underlying mechanisms [27,28,29]. In particular, research on how environmental factors (such as adverse weather) further modulate these dependency relationships remains limited. This section reviews the methodological evolution and model structures in injury dependency modeling, establishing theoretical and empirical foundations for the subsequent Copula-based bivariate framework.

2.1. Methodological Limitations of Independent Modeling

Fundamental problems exist in studies employing univariate or independent modeling approaches for multi-party crashes. Traditional methods model injury outcomes of each party independently, ignoring common unobserved factors such as collision speed, vehicle structural strength, impact angle, and environmental conditions that simultaneously affect all participants [2].
Early efforts by [27] constructed a bivariate ordered response probit model for driver and passenger injuries in fixed-object collisions, providing the first validation of a significant positive correlation between driver and passenger injuries. Ignoring this correlation leads to inefficient coefficient estimation. Ref. [28] further proposed a bivariate generalized ordered probit (BGOP) model, relaxing the parallel lines assumption and revealing that injuries of both parties in the same crash are correlated due to shared characteristics, with independent estimation causing bias. The BGOP model demonstrated superior goodness of fit and prediction accuracy compared to traditional models.
Theoretically, the rationale for dependency modeling lies in: unobserved factors (such as specific impact velocity, driver reaction time, environmental conditions) jointly affecting multiple outcomes and shared exposure variables (such as road geometry, traffic conditions, weather) simultaneously influencing multiple parties. Ignoring these correlations leads to biased standard errors and significance tests, inefficient parameter estimation, model misspecification, and loss of information about cross-outcome relationships.

2.2. Multivariate and Dependency Modeling in Traffic Safety

Multivariate approaches that explicitly account for correlated injury outcomes have gradually supplanted independent modeling frameworks as more robust alternatives. These techniques—ranging from random parameter specifications and seemingly unrelated regressions to simultaneous equation systems and copula-based models—provide flexible means to capture shared unobserved influences across crash outcomes. Empirical applications have substantiated their advantages. Using maximum simulated likelihood estimation, Ref. [30] developed a multivariate Poisson joint model and demonstrated that unobserved factors, such as driving behavior, roadway characteristics, and environmental conditions, jointly shape crash frequencies of varying severities, thereby enhancing estimation efficiency. Similarly, Ref. [31] applied a Bayesian multivariate Poisson–lognormal model and found strong positive correlations among crash counts across injury levels. More recently, Ref. [32] utilized a generalized estimating equations framework, which simplified computation via working correlation structures, and confirmed that explicitly modeling intra-crash dependencies between parties markedly improves predictive performance. Collectively, these studies highlight that neglecting correlated outcomes can distort statistical inference and compromise the accuracy of crash risk estimation.

2.3. Copula Model Applications in Crash Analysis

Copula-based methods have revolutionized dependency modeling in traffic safety research by separating marginal distributions from dependence structure, providing flexible frameworks for capturing complex correlations [33]. Copulas enable modeling arbitrary numbers of correlated outcomes without imposing restrictive assumptions on joint distributions, accommodating asymmetric dependence, tail dependence, and heterogeneity in correlation structures across observations [34].
Multi-occupant injury analysis demonstrates the core advantages of copula methods. For example, Ref. [35] pioneered copula application in crash severity analysis through Frank copula-based ordered response probit models, enabling simultaneous analysis of injury severities for any number of vehicle occupants. Joint modeling of endogenous crash characteristics represents a key application domain. Ref. [29] developed a copula-based framework using multiple Archimedean copulas (Frank, Clayton, Gumbel, Joe) to jointly model collision type (multinomial logit) and injury severity (ordered logit). Their approach treats collision type as an endogenous variable for injury severity rather than merely an explanatory variable, capturing how collision types fundamentally alter injury patterns through common observed and unobserved factors.
Multivariate copula frameworks extend these advantages to high-dimensional applications. Ref. [36] employed copula-based multivariate temporal ordered probit models to simultaneously estimate four crash outcome indicators—driver error, crash type, vehicle damage, and injury severity—with a parameterized dependence structure. Mixed discrete outcomes further illustrate the versatility of copulas, as demonstrated by the bivariate negative binomial specification that jointly modeled crash frequencies by severity and vehicle involvement while accounting for shared unobserved influences [6].
Copula applications in macroscopic crash analysis reveal spatial dependencies. Ref. [37] developed copula-based bivariate negative binomial models for pedestrian and bicycle crash frequencies at traffic analysis zone levels. Their approach captures correlations in area-level active traveler crashes, with pedestrian and bicycle crash counts sharing common unobserved spatial factors related to built environment, land use, and traffic characteristics. Significant positive dependence between the two crash types reveals synergistic effects of vulnerable road user safety interventions.

2.4. Weather Effects on Alcohol-Involved Crash Severity

Weather conditions have been widely recognized as critical factors affecting crash risk across different geographic contexts. Studies in Europe [38,39], the United States [19], and Asia [20] have documented systematic associations between meteorological variables and crash risk or injury severity patterns. However, how weather conditions modify the dependency structure between injury outcomes of alcohol-impaired and sober drivers within the same crash event remains unexplored. To address this gap, it is necessary to first understand how weather affects injury severity in general crash contexts.
Adverse weather typically increases crash frequency but does not always accompany higher injury severity, reflecting a decoupling between crash frequency and injury severity that has received sustained attention. Risk compensation theory suggests that drivers facing weather hazards proactively adjust their driving behaviors to maintain acceptable risk levels, such as reducing speed, increasing following distance, and heightening alertness [40]. However, alcohol intoxication undermines this compensatory mechanism.
At physiological and cognitive levels, alcohol impairs drivers’ risk perception, decision-making, and operational control capabilities, preventing adaptive adjustments to environmental changes. Refs. [23,41] compared sober and intoxicated drivers, finding that sober groups exhibited greater injury variation under adverse weather, while alcohol-involved groups showed consistency, demonstrating loss of “environmental responsiveness”. Ref. [24] further validated this through case–control studies: life-threatening alcohol-involved crash risk increased 19% under adverse weather conditions compared to clear conditions, while sober drivers showed no change, indicating a significant alcohol–weather interaction.
At the macroscopic level, Ref. [42] found lower proportions of fatal alcohol-involved crashes under adverse weather, but this reflects reduced alcohol-involved exposure rather than lower conditional risk. Once alcohol-impaired drivers crash under adverse weather, injury severity significantly increases. Overall, alcohol blocks risk compensation mechanisms through prolonged reaction time and impaired perception and behavioral control, causing alcohol-impaired drivers to exhibit compounded risk under adverse meteorological conditions.
Existing research primarily focuses on single-vehicle crashes or aggregate trends, without examining how weather conditions influence dependency structures between alcohol-involved and non-involved driver injury outcomes in two-vehicle crashes. If loss of control by alcohol-involved parties under adverse weather alters collision dynamics (such as speed and angle), this may lead to injury outcome asymmetry, leaving important research space for understanding the coupling effects of environmental factors and behavioral impairment.

2.5. CRSS-Supported U.S. Traffic Safety Research

U.S. crash report databases, particularly the Crash Report Sampling System (CRSS), have served as foundational data sources for traffic safety research over the past four decades. Research using these databases has evolved through several methodological generations: early studies employed univariate ordered response models [43] to identify risk factors affecting individual driver injury severity; subsequent work introduced random parameters and mixed logit approaches to capture unobserved heterogeneity across observations; and more recently, scholars have developed bivariate and multivariate frameworks [29,36,44] to model interdependencies between multiple crash outcomes or parties involved in the same collision event. Data integration approaches have also been explored to expand the severity spectrum [45].
Thematically, CRSS-based research has extensively examined weather effects on crash risk [46], alcohol-impaired driving patterns through comparative DUI versus non-DUI crash analysis [25], and multi-party collision dynamics. Machine learning applications using CRSS data have recently emerged [47], prioritizing prediction accuracy over mechanistic interpretation. However, existing studies predominantly treat injury outcomes of impaired and sober drivers as independent events and employ context-invariant dependency structures, leaving the weather-varying interdependency between DUI and non-DUI parties within the same collision largely unexplored.

2.6. Research Gap

Existing alcohol-involved crash severity research predominantly employs univariate modeling methods, treating each driver’s injury outcome independently, even in two-vehicle crashes where one party is intoxicated and the other sober. This independent modeling ignores a fundamental reality: common characteristics within the same crash—collision speed, impact angle, vehicle mass differential, and environmental conditions—simultaneously determine both parties’ injury outcomes. Ignoring this inherent dependency leads to: statistical inference bias (inaccurate standard errors and hypothesis tests), inefficient parameter estimation (underutilization of available information), and omission of important insights into how both parties’ injuries co-evolve.
From a methodological perspective, recent crash severity modeling research has increasingly incorporated validation procedures. Among the studies in Table 1, Ref. [10] employed temporal stability testing in their copula framework, Ref. [15] assessed both out-of-sample prediction and temporal instability, and the machine learning studies [16,17,18] employed cross-validation for model evaluation. These developments reflect growing recognition of the importance of model validation in the field.
Beyond methodological considerations, fundamental substantive gaps remain. Despite extensive research on crash severity modeling, copula-based frameworks have not been applied to explicitly model dependency structures between alcohol-involved and non-involved driver injuries within the same crash. Additionally, how weather–alcohol interactions affect injury severity of intoxicated versus sober drivers in two-vehicle crashes remains unexamined. Furthermore, changes in dependency structures under specific weather contexts have not been systematically investigated.
To address these gaps, this study develops a copula-based bivariate ordered probit framework to jointly model alcohol-involved and non-involved driver injury severities in two-vehicle crashes, explicitly examining how dependency structures vary with weather conditions. By parameterizing copula dependence as a function of weather states (clear, rain/snow, fog) and testing multiple copula families (Gaussian, Frank, Clayton, Gumbel, Joe) to identify optimal tail dependence properties, this study will provide the first comprehensive examination of weather-conditional dependency structures in alcohol-related multi-party crashes.

3. Methodology

This study develops an inferential modeling framework to examine how the injury severities of alcohol-impaired and sober drivers are jointly determined in two-vehicle crashes and how these joint outcomes vary across weather conditions. The framework builds on ordered response models to characterize each driver’s marginal injury severity distribution and extends to copula-based structures to represent cross-driver dependency. This approach enables statistical inference, mechanism-based interpretation, and systematic comparison across weather strata.

3.1. Modeling Framework

This study follows a structured analytical procedure to model the joint injury outcomes of DUI and non-DUI drivers across different weather conditions. As illustrated in Figure 1, the analysis begins with two-vehicle crashes involving one impaired driver and one sober driver, after which the sample is stratified into clear weather, rain or snow, and fog. For each weather group, ordered response models are estimated for the injury severity of both the DUI driver and the non-DUI driver to construct the marginal distributions. These marginals are subsequently linked using alternative copula functions, allowing the dependence parameter to vary across weather conditions so that cross-driver injury dependencies can be characterized. After model estimation, shared contextual factors and side-specific characteristics are incorporated to interpret risk patterns and identify how weather modifies marginal effects and dependence structures. This sequence provides a coherent process from data stratification to dependence modeling and final interpretation.

3.2. Ordered Probit Model

The baseline ordered probit model treats injury severity as an ordered categorical outcome Y i { 1 , 2 , 3 } (no injury, minor injury, severe/fatal injury) linked to a continuous latent variable Y i * [43]:
Y i * = x i β + ε i ,   ε i   ~   N ( 0 ,   1 ) ,
where x i denotes covariates and β regression coefficients, and ε i is a random error term assumed to follow a standard normal distribution. The observed outcome follows:
Y i = j ,   i f   μ j 1 < Y i * μ j ,
with threshold parameters = μ 0 < μ 1 < μ 2 < μ 3 = + . The probability of observing severity level j is:
P ( Y i = j | x i ) = Φ ( μ j x i β ) Φ ( μ j 1 x i β ) ,
where Φ ( · ) is the standard normal cumulative distribution function. Parameters are estimated via maximum likelihood.

3.3. Copula-Based Bivariate Ordered Response Model

Recent applications in crash analysis [29,35] demonstrate copulas’ superiority in capturing complex injury dependencies. Copula functions provide a flexible approach to modeling multivariate distributions by separating marginal behavior from dependence structure. This theorem establishes that any joint distribution F ( y 1 , y 2 ) can be decomposed as:
F ( y 1 , y 2 ) = C ( F 1 ( y 1 ) ,   F 2 ( y 2 ) ;   θ ) ,
where F k are marginal distributions and C : [ 0 , 1 ] 2 [ 0 , 1 ] is a copula function with dependence parameter θ . This decomposition offers critical advantages over traditional multivariate probit models [48,49], providing greater flexibility by allowing marginal distributions and dependence structures to be specified independently—thus accommodating non-elliptical forms—and enabling the modeling of tail dependence, which captures asymmetric relationships in extreme outcomes such as severe injuries.

3.3.1. Marginal Specifications

Each driver’s injury severity follows the ordered probit specification:
Y i k * = x i k β k + ϵ i k , k = 1 , 2 ,
with marginal cumulative distribution:
F k ( y ) = P ( Y i k y x i k ) = Φ ( μ k , y x i k β k ) .
Unlike multivariate probit that restricts errors to a multivariate normal, copulas allow arbitrary marginal distributions while capturing dependence through C ( ) .

3.3.2. Copula Function Specifications

Five copula families from the Archimedean and elliptical classes are employed in this study: Gaussian, Frank, Clayton, Gumbel, and Joe. These copulas represent three fundamental dependence structures: symmetric dependence, lower-tail dependence, and upper-tail dependence. This selection allows for systematic examination of how the joint injury outcomes of DUI and non-DUI drivers vary across different extreme scenarios. The selection of copula functions is guided by their ability to capture distinct dependence patterns in the joint distribution of injury severities, with the appropriate copula family determined by comparing model fit within each weather stratum.
Tail dependence is a critical feature for modeling injury severity dependencies. Lower-tail dependence is captured by the Clayton copula, which characterizes situations where both drivers are more likely to experience minor injuries simultaneously. This pattern may arise when crash dynamics, such as low collision speed or favorable impact angles, uniformly protect both parties. Conversely, upper-tail dependence is captured by the Gumbel and Joe copulas, which characterize situations where both drivers are more likely to sustain severe or fatal injuries together. This pattern may occur when extreme crash conditions, such as high-speed collisions or head-on impacts, expose both parties to catastrophic forces. Symmetric dependence is represented by the Frank and Gaussian copulas, which assume that the joint probability of injury outcomes is evenly distributed across all severity levels, without preferential clustering at either extreme. Given that weather conditions may fundamentally alter these dependency patterns, for instance, shifting from relatively symmetric dependencies under clear weather toward upper-tail dependencies under fog, testing multiple copula families enables identification of the functional form that best represents the dependency structure under specific environmental conditions.
(1)
Gaussian Copula:
C G a ( u 1 , u 2 ; ρ ) = Φ 2 ( Φ 1 ( u 1 ) ,   Φ 1 ( u 2 ) ;   ρ ) ,
where Φ 2 is the bivariate normal cumulative distribution function (CDF) with linear correlation ρ ( 1 , 1 ) . It exhibits symmetric dependence with no tail emphasis, equivalent to a standard bivariate probit when marginals are normal [50]. Kendall’s τ = 2 π a r c s i n ( ρ ) .
(2)
Frank Copula:
C F r ( u 1 , u 2 ; α ) = 1 α log [ 1 + ( e α u 1 1 ) ( e α u 2 1 ) e α 1 ] ,
where α is a real-valued parameter except 0. Derived from generator φ ( t ) = l o g   ( e α t 1 e α 1 ) , it provides symmetric dependence across all severity ranges without tail concentration [51]. Kendall’s τ = 1 4 [ D 1 ( α ) 1 ] α , where D 1 is the first Debye function.
(3)
Clayton Copula:
C C l ( u 1 , u 2 ; δ ) = ( u 1 δ + u 2 δ 1 ) 1 δ ,
where δ > 0 , with generator φ ( t ) = t δ 1 δ . It exhibits strong lower-tail dependence, capturing scenarios where both drivers experience minor injuries simultaneously [52]. Lower tail dependence coefficient λ L = 2 1 / δ ; upper tail λ U = 0 . Kendall’s τ = δ δ + 2 .
(4)
Gumbel Copula:
C G u ( u 1 , u 2 ; γ ) = exp ( l o g u 1 ) γ + ( l o g u 2 ) γ ] 1 γ ,
where γ 1 , with generator φ ( t ) = ( l o g t ) γ . It features upper-tail dependence ( λ U = 2 2 1 / γ ; λ L = 0 ), suitable for modeling co-occurrence of severe/fatal injuries. Kendall’s τ = 1 1 γ .
(5)
Joe Copula:
C J o ( u 1 , u 2 ; λ ) = 1 [ ( 1 u 1 ) λ + ( 1 u 2 ) λ ( 1 u 1 ) λ ( 1 μ 2 ) λ ] 1 λ ,
where λ 1 , with generator φ ( t ) = l n ( 1 ( 1 t ) λ ) . It exhibits asymmetric upper-tail dependence ( λ U = 2 2 1 / λ ) with distinct curvature properties [53]. Kendall’s τ = 1 + 4 0 1 l o g t λ ( 1 t ) λ 1 d t .

3.3.3. Likelihood Construction and Estimation

For crash i with observed severities ( y i 1 , y i 2 ) { 1 , 2 , 3 } 2 , the joint probability under copula C is:
P ( Y i 1 = j 1 ,   Y i 2 = j 2 ) = C ( F 1 ( j 1 ) ,   F 2 ( j 2 ) ;   θ ) C ( F 1 ( j 1 1 ) ,   F 2 ( j 2 ) ;   θ )
C ( F 1 ( j 1 ) ,   F 2 ( j 2 1 ) ;   θ ) + C ( F 1 ( j 1 1 ) ,   F 2 ( j 2 1 ) ;   θ ) ,
where F k ( j ) = Φ ( μ k , j x i k β k ) . This expression represents the probability rectangle induced by the copula [54].
The full log-likelihood for parameter vector Ω = ( β 1 , β 2 , μ 1 , μ 2 , θ ) is:
L ( Ω ) = i = 1 N l o g P ( Y i 1 = y i 1 ,   Y i 2 = y i 2 ;   Ω ) .
All models are estimated using simultaneous maximum likelihood estimation implemented via the GJRM package in R (version 4.5.0) [55]. This approach maximizes the full joint log-likelihood in Equation (13) to estimate all parameters (β1, β2, μ1, μ2, θ) simultaneously. Marginal parameters (β1, β2, μ1, μ2) are initialized by fitting separate univariate ordered probit models, while the copula dependence parameter θ is initialized to values close to independence (e.g., ρ = 0.1 for the Gaussian copula, α = 1 for the Frank copula). Convergence is assessed using the standard criteria implemented in the GJRM package, including gradient convergence and numerical stability of the Hessian matrix. All models reported in this study achieved convergence.

4. Data Description

This study uses data from the U.S. Crash Report Sampling System (CRSS), 2016–2022. After data cleaning, the analytic sample is strictly restricted to two-vehicle crashes where the two drivers belong to different alcohol-involvement states: one alcohol-impaired (DUI side) and the other non-impaired (non-DUI side). Records with missing alcohol involvement, incomplete driver information, or unavailable injury severity were excluded. To ensure stability, severe injury and fatality were merged into a single category, resulting in three injury levels: none, minor, and severe/fatal. Table 2 summarizes the detailed sample selection process. The final dataset includes 3773 valid cases, which are consistently stratified by weather conditions into overall, clear, rain/snow, and fog subsamples. For weather conditions, CRSS assigns a primary category based on its internal priority rule [56], ensuring that the categories used in our stratified samples remain mutually exclusive. To assess multicollinearity, we computed Variance Inflation Factors (VIFs) for all explanatory variables. All VIF values were below 3, well under the commonly accepted threshold of 5, indicating that multicollinearity was not a concern. Descriptive statistics are summarized in Table 1.
Descriptive statistics are summarized in Table 3, reporting means and standard deviations of roadway, temporal, and driver–vehicle characteristics to provide baseline profiles of crash contexts. All covariates are dummy variables, including those derived from grouped continuous variables such as driver age [7,57]. For binary variables, the mean corresponds to the proportion of the sample in the indicated category, and the variance reflects how concentrated or dispersed this proportion is. Table 4 provides the underlying distributional characteristics (median and IQR) of the continuous variables before categorization.
Cross-tabulations of DUI-side versus non-DUI-side injury severities are then presented in three-by-three tables (Table 5). Pearson standardized residual heatmaps further test whether outcomes deviate from independence, as shown in Figure 2. The results indicate strong positive concordance under the overall and clear-weather samples, where minor or severe/fatal outcomes tend to co-occur across both drivers, while mismatched low–high combinations are systematically underrepresented. Although sample sizes are smaller, rain/snow and fog conditions still reveal a tendency for severe injuries to cluster, with fog in particular showing a deficit of no-injury outcomes. These findings confirm that DUI and non-DUI injury severities are not independent but exhibit systematic dependencies moderated by weather, laying an empirical foundation for subsequent modeling.

5. Estimation Results

This study adopts a systematic approach to construct both univariate ordered probit models and multivariate ordered response model frameworks, incorporating a variety of Copula functions to capture the key influencing factors in the dataset. The inclusion of variables in model building follows a combined principle of statistical significance, theoretical plausibility, and model parsimony. Based on this principle, this study first employs the ordered probit framework to separately model the injury severity of DUI and non-DUI drivers in order to identify important factors associated with injury outcomes. The full estimation results and marginal effects are presented in Appendix A (Table A1 for coefficient estimates and Table A2 for marginal effects). Subsequently, building on the univariate analyses, the framework is extended to a bivariate ordered response model by introducing five commonly used Copula functions (Gaussian, Clayton, Frank, Gumbel, and Joe) to characterize and test the potential random dependence structure between the injury outcomes of the two groups of drivers.

5.1. Comparative Performance of Copulas in Capturing Injury Outcome Dependence

Table 6 summarizes core statistical indicators for the final estimated models under various copula specifications, alongside corresponding indicators from the independent model (i.e., two separate univariate ordered probit models for DUI and non-DUI drivers). Following information criterion theory, this study employs the Bayesian Information Criterion (BIC) and Akaike Information Criterion (AIC) to evaluate competing alternative model specifications. The results indicate that all copula models yield substantially lower AIC and BIC values compared to the independent ordered probit model, demonstrating improved model fit. Furthermore, Table 6 shows that the dependence parameter θ achieves statistical significance (p < 0.05) across all copula specifications, confirming the presence of a statistically reliable dependence relationship between DUI and non-DUI driver injury outcomes and validating the superiority of the copula framework over the independence assumption. The corresponding Kendall’s τ values also achieve statistical significance (p < 0.05) across all copula specifications, further corroborating this systematic dependence.
Beyond this, fitting performance varies across copula types. For the overall sample, the Frank copula exhibits optimal fit (AIC = 11,324.47, BIC = 11,542.71), representing a substantial improvement over the independent ordered probit model (ΔAIC = 263.16). The Frank copula yields a Kendall’s τ of 0.2794, indicating a moderate positive correlation between DUI and non-DUI driver injury severity. This finding confirms that injury outcomes in traffic crashes are not mutually independent, but rather systematically linked through shared observed and unobserved factors.
More importantly, copula selection patterns under different weather conditions reveal the environmental sensitivity of the dependence structure between DUI and non-DUI driver injuries. Under clear weather, the Frank copula remains optimal (AIC = 8957.02) with Kendall’s τ = 0.2717. Under rain/snow conditions, the Gaussian copula demonstrates a superior fit (AIC = 900.38), with Kendall’s τ rising significantly to 0.2966. Under foggy conditions, the Frank copula again emerges as the optimal choice (AIC = 1512.03), with Kendall’s τ further increasing to 0.3239—the strongest correlation observed across all weather conditions.
The results under different weather conditions also reveal variations in the dependence structure. The Frank Copula provides the best fit under both clear and fog conditions, yet the dependence patterns it captures differ. In clear weather, the estimated Kendall’s τ is 0.2717, indicating a balanced and moderate level of association, with relatively even linkage across injury severity categories. In contrast, under fog conditions, Kendall’s τ increases to 0.3239, reflecting a stronger systematic dependence, particularly in the tendency for both drivers to simultaneously experience severe or fatal injuries—an extreme-environment “co-deterioration” effect. By comparison, under rain and snow, the Gaussian Copula achieves the best fit, with dependence concentrated around moderate injury levels and weaker tail association, suggesting that both drivers’ injuries are more likely to cluster in the middle severity range, while the joint occurrence of very minor or very severe outcomes remains relatively unlikely.
To assess out-of-sample predictive performance, we conducted 5-fold cross-validation on binary injury outcomes (0 = no injury, 1 = any injury). The results show that all copula models and the independent baseline achieved nearly identical performance: accuracy ranged from 72.2% to 73.3%, Brier scores from 0.186 to 0.193, and AUC values from 0.649 (non-DUI) to 0.728 (DUI), with minimal differences across copula types (≤0.21 percentage points). These findings confirm that dependency structures contribute primarily to mechanistic interpretation rather than predictive accuracy, as individual driver and crash-level characteristics dominate prediction performance.

5.2. DUI and Non-DUI Driver Injury Determinants Across Weather Conditions

This study identifies the best-fitting copula specification for each weather condition and compares it with independent ordered probit models that do not account for the dependence between DUI and non-DUI drivers. Coefficient estimates for the overall and clear-weather models are reported in Table 7, and those for rain/snow and fog in Table 8. Although both approaches often yield similar coefficient directions, meaningful differences appear in effect magnitudes and statistical significance because independent models ignore cross-equation dependence.
The average marginal effects are presented in Table 9, Table 10, Table 11 and Table 12 for the overall, clear-weather, rain/snow, and fog models, respectively, with Appendix A Table A1 and Table A2 providing the corresponding results from the independent models. For clarity, all percentage point differences reported below indicate changes in the predicted probabilities of different injury outcomes based on the estimated marginal effects. Comparison across modeling approaches indicates that ignoring outcome dependence can systematically distort covariate effects.
All interpretations below rely on the best-fitting copula model for each weather condition, focusing on the direction, magnitude, and significance of variable effects and their differential implications for DUI and non-DUI drivers. Cross-weather comparisons further show that these effects vary systematically with the driving environment.

5.2.1. Road Environment Characteristics

Roadway curves consistently elevate severe/fatal injury (SI/FI) risks for both parties. In the overall sample, SI/FI increases by 4.81 percentage points for DUI drivers and 8.60 points for non-DUI drivers; under clear weather, the effects remain similar (4.45 and 7.99 points). Under rain/snow, significance persists only for DUI drivers (9.05 points), whereas under fog, both parties reach their highest severity levels, with SI/FI rising by 5.81 (DUI) and 11.36 points (non-DUI). High-speed-limit roadways show meaningful effects only for impaired drivers, increasing DUI SI/FI by 1.51 points overall, 1.68 points under clear weather, and 3.99 points under fog. Lighting conditions demonstrate a clear contrast: darkness without lighting increases SI/FI by 2.91 (DUI) and 5.65 points (non-DUI) overall, rising to 8.80 points for DUI drivers under rain/snow; in contrast, roadway lighting provides measurable protection, reducing DUI SI/FI by 1.17–2.64 points, and reducing non-DUI SI/FI by 5.32 points in rain/snow.

5.2.2. Temporal Characteristics

Temporal patterns show that the morning peak substantially increases injury severity, particularly for impaired drivers. DUI SI/FI increases by 6.16 points overall and intensifies under adverse conditions, rising to 13.85 points in rain/snow and 11.31 points in fog; non-DUI SI/FI under fog similarly increases by 15.49 points. Afternoon/evening peak is associated with lower severity, reducing SI/FI by 1.44 (DUI) and 3.21 points (non-DUI) in the overall sample.

5.2.3. DUI Driver Characteristics

Among DUI-side characteristics, age ≥ 55 is associated with reduced injury severity for the opposing driver: in the overall sample, non-DUI MI decreases by 2.65 points, SI/FI by 3.86 points, and NI increases by 6.51 points, with stronger effects under clear weather. DUI seatbelt non-use is the most influential DUI-side determinant, increasing SI/FI by 27.77–30.70 points across overall and clear-weather conditions and remaining strongly adverse in rain/snow (24.27 points) and fog (28.84 points). DUI drug involvement also produces substantial increases in severity, raising SI/FI by 3.49 (overall) and 3.09 points (clear), and intensifying under rain/snow with DUI and non-DUI SI/FI increases of 13.46 and 10.52 points, respectively. Vehicle types further introduce asymmetry: DUI SUVs increase non-DUI SI/FI by 2.60–3.64 points, while DUI trucks reduce their own SI/FI (e.g., −1.90 points overall) but elevate non-DUI SI/FI by 4.37–4.77 points.

5.2.4. Non-DUI Driver Characteristics

Older non-DUI drivers (≥55 years) are more vulnerable in crashes, with SI/FI increases of 4.72 points overall, 5.07 points under clear weather, and 6.25 points under fog. Non-DUI seatbelt non-use is the strongest determinant on the sober-driver side, raising SI/FI by 29.44 points overall and by 27.67, 38.18, and 31.63 points under clear, rain/snow, and fog conditions, respectively. Non-DUI drug involvement generates bilateral deterioration, increasing DUI SI/FI by 33.93 points and non-DUI SI/FI by 29.75 points. Vehicle type again shapes risk transfer. Non-DUI SUVs reduce their own SI/FI (e.g., −3.12 points overall and −8.66 points under fog) but increase DUI SI/FI (+1.96 points). In contrast, non-DUI trucks substantially increase DUI SI/FI (e.g., +7.27 overall) while reducing their own severity (−6.75 to −10.19 points).

5.3. Conditional Probability Distributions

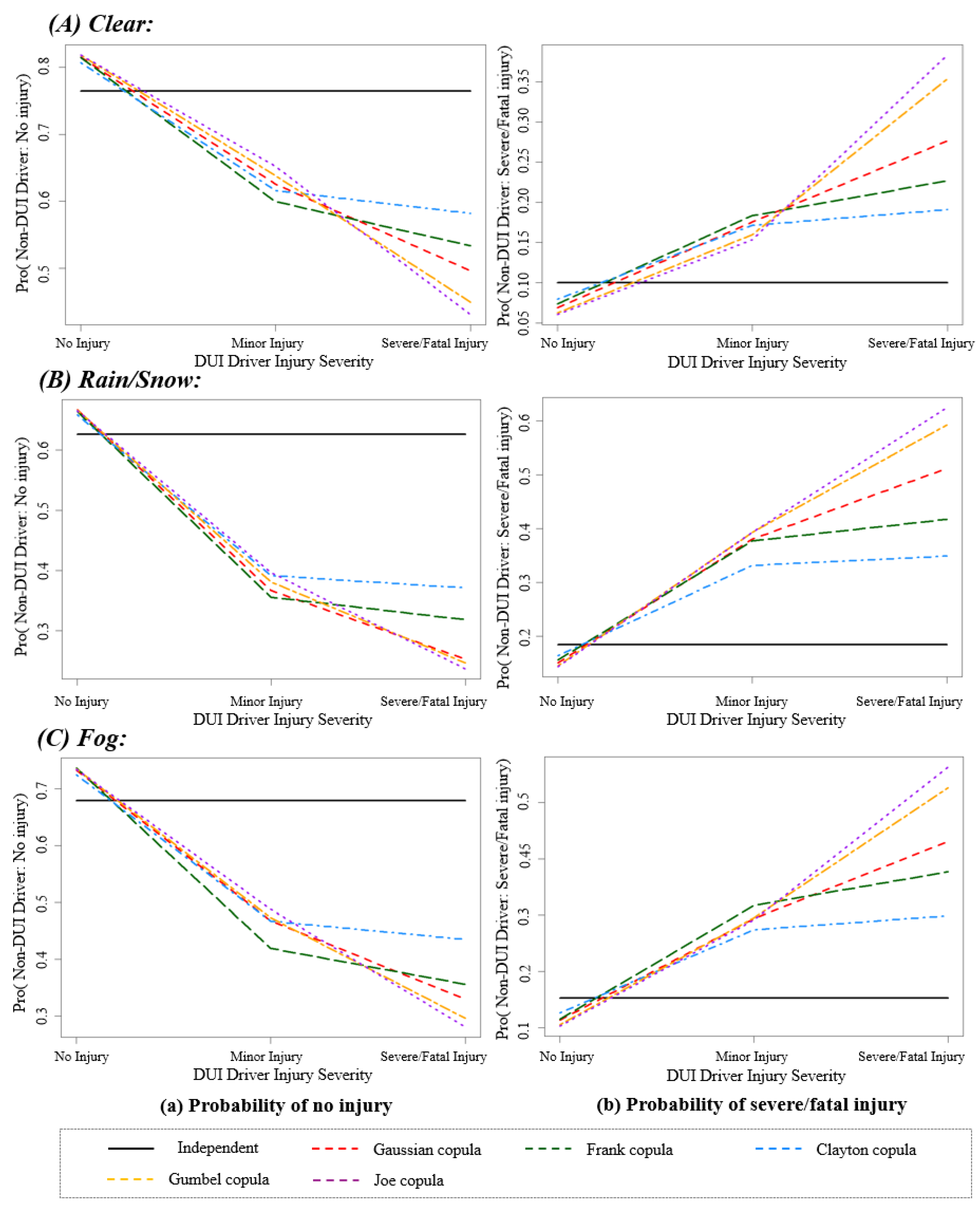
Figure 3 presents the conditional probability distributions of non-DUI driver injury severity given the DUI driver’s injury level across different weather conditions (overall, clear, rain/snow, and fog). The figure compares predictions from the independent ordered probit model (black horizontal lines) with those from various copula-based bivariate models (colored lines). Under the independent model, conditional probabilities remain constant across DUI driver severity levels. In contrast, all copula models show that as the DUI driver’s injury level increases from no injury to severe/fatal, the conditional probability of the non-DUI driver experiencing severe/fatal injuries rises systematically (Figure 3b), while the probability of no injury decreases correspondingly (Figure 3a). This pattern is consistently observed across all weather conditions.

5.4. Weather-Specific Marginal Effects Summary

Table 13 summarizes the key weather-specific marginal effects on severe/fatal injury probability identified in this study. The table systematically compares marginal effects across clear weather, rain/snow, and fog conditions, with percentage changes calculated relative to the clear weather baseline. The table highlights variables that demonstrate substantial amplification effects under adverse weather conditions, including environmental and roadway characteristics (roadway curves, high speed limits), temporal factors (morning peak periods), and behavioral factors (seatbelt non-use, drug involvement). The rightmost column indicates potential directions for targeted interventions based on these empirical patterns.

6. Discussion

This study investigated how injury severities of alcohol-impaired and sober drivers are interdependent in two-vehicle crashes and how this dependency varies across weather conditions. Using a Copula-based bivariate ordered response framework with U.S. CRSS data (2016–2022), we examined three core questions: whether systematic dependency exists between both parties’ injury outcomes, how dependency structure shifts across clear, rain/snow, and fog conditions, and how weather moderates risk factor effects on each driver. Building on these empirical findings, this discussion examines how the identified determinants shape injury outcomes in alcohol-involved two-vehicle crashes. We interpret these patterns in relation to existing research, highlight interaction mechanisms that become visible only through joint modeling, and outline their implications for enforcement and safety management. Together, these discussions provide a broader understanding of how impairment, roadway conditions, driver behavior, and weather jointly influence the distribution and transmission of injury risk between the two parties.

6.1. Injury-Severity Determinants Within the Interaction Between DUI and Non-DUI Drivers

This study reveals several important injury mechanisms in two-vehicle crashes involving an alcohol-impaired driver. The findings indicate that traditional roadway, behavioral, and vehicle-related factors remain core determinants of injury severity for both parties. When examined within an interactional framework between DUI and non-DUI drivers, these factors display clear asymmetries and conditional dependencies. Some patterns correspond to previous research that modeled each driver separately, and others introduce new or less documented dynamics that broaden the understanding of injury transmission in alcohol-involved crashes.
Several results correspond to conclusions reported in earlier driver-level studies. Roadway curves in this study are associated with significantly higher probabilities of severe or fatal injuries for both parties. Limited sight distance and increased steering demand on curves have been shown to elevate crash severity in earlier work [58]. High-speed roadway environments are also associated with higher injury severity for impaired drivers, which aligns with the principle that higher speeds correspond to greater collision energy and more serious injury outcomes [59]. Simultaneous alcohol and drug use is associated with increased injury severity, consistent with epidemiological findings showing that combined substance use substantially increases crash severity [60]. Safety belt use shows its well-established association with lower injury severity, as non-restraint has been shown to be strongly associated with higher probabilities of severe or fatal injury [61]. Larger vehicles are associated with lower injury severity for their own occupants and higher severity for occupants of lighter vehicles, a pattern consistent with existing evidence on vehicle incompatibility [59]. The vulnerability of older drivers also appears in this study, which corresponds to prior research attributing elevated severity in this group to age-related biomechanical fragility [62].
This study also identifies several interaction patterns that have not been fully documented in earlier research, especially when the injury severities of both drivers are examined jointly. One notable finding is the high level of severity observed in DUI-related crashes during the morning peak. Earlier studies often considered late-night hours to be the most dangerous period for alcohol-impaired driving. More recent evidence suggests that substance-involved crashes during congested periods may become more severe because complex driving environments and limited reaction times contribute to higher crash forces [60]. The present results further indicate that, under adverse weather conditions, morning-peak crashes are associated with patterns where severe injury risk appears more concentrated in the sober driver relative to the impaired driver. Separate driver-level models cannot reveal this form of risk amplification.
The analysis also shows that avoidance maneuvers performed by the non-DUI driver are positively associated with higher injury severity. This relationship has rarely been documented in studies that treated each driver independently. Existing research on vehicle dynamics offers a plausible behavioral and mechanical interpretation. Abrupt steering or braking on curves or grades can reduce vehicle stability and may induce sideslip or rollover [63]. In alcohol-involved crashes, the impaired driver’s unpredictable trajectory may compel the sober driver to respond abruptly, potentially increasing the likelihood of losing control or altering the collision angle, and thereby being associated with more severe injury outcomes for both parties. However, it should be emphasized that avoidance maneuvers are inherently reactive responses occurring in the final moments of a crash sequence. As such, their observed association with higher injury severity may partly reflect endogeneity and selection effects, whereby more imminent and severe crashes are more likely to prompt emergency avoidance attempts. Accordingly, this result should be interpreted as a conditional association rather than evidence of a direct causal impact of avoidance maneuvers on injury severity.
The study also reveals a new pattern regarding how age influences the transmission of injury severity between drivers. Younger non-DUI drivers do not experience higher personal injury severity, yet crashes involving younger non-DUI drivers are associated with significantly higher probabilities of severe injury for the impaired driver. Prior work on older-driver vulnerability has typically examined age-related fragility within a single-driver framework [62]. The present results provide initial evidence, in two-vehicle alcohol-involved crashes, that younger drivers have a greater impact on the opposing driver’s severity, whereas older drivers primarily influence their own outcomes rather than the transfer of risk. Patterns of this nature cannot be captured under approaches that treat injury severities as independent.
Overall, the findings confirm the relevance of several well-established risk factors, including curves, high speeds, substance use, safety belt use, and vehicle incompatibility. The study also uncovers complex interaction mechanisms, distinct patterns of injury transfer, and effects that vary with weather conditions. These patterns become visible only when the injury severities of both drivers are analyzed jointly rather than independently. This highlights the importance of considering reciprocal risk interactions between impaired and sober drivers in alcohol-related crash research. A more complete understanding of these mechanisms can support the development of more informed safety policies.

6.2. Injury Dependency Structures and Their Weather-Specific Variations

The conditional probability patterns presented in Figure 3 provide empirical evidence that DUI and non-DUI driver injuries are systematically associated rather than independent. Under the independence assumption, the conditional probability of a non-DUI driver experiencing severe/fatal injury remains unchanged regardless of the DUI driver’s injury level. This assumption is inconsistent with the observed data across all weather conditions. The copula-based models reveal a consistent positive association: higher injury severity in DUI drivers corresponds to higher conditional probabilities of severe/fatal outcomes for non-DUI drivers. This pattern likely reflects shared exposure to common crash characteristics such as collision speed, impact angle, and environmental conditions.
The strength of this association varies systematically with weather conditions, as reflected in Kendall’s τ progressing from 0.27 (clear) to 0.30 (rain/snow) and 0.32 (fog). Under adverse weather, both parties show a stronger tendency to simultaneously experience severe outcomes, suggesting an intensified coupling of injury risks. This weather-varying dependency has important implications. Methodologically, it demonstrates that independent modeling approaches may produce biased conditional probability predictions, as evidenced by the divergence between independent and copula-based models in Figure 3. Substantively, it reveals that alcohol-involved crashes under adverse weather exhibit stronger injury co-occurrence patterns that cannot be adequately captured by analyzing each driver separately, underscoring the value of joint modeling frameworks in understanding injury mechanisms in alcohol-related multi-party collisions.

6.3. Policy Implications

The weather-specific marginal effects summarized in Table 13 reveal systematic amplification patterns with implications for traffic safety policy and enforcement strategies. Several risk factors show substantially larger magnitudes under adverse weather conditions, with some variables exhibiting amplification exceeding 100% relative to the clear weather baseline. These patterns, combined with the intensified dependency structure under adverse conditions (Figure 3), suggest potential shifts from uniform enforcement approaches to weather-adaptive strategies, though these implications represent preliminary findings from the current analysis that, in the absence of temporal transferability validation, require further verification across different time periods and regions.
For roadway design and traffic management, the pronounced amplification of curve and high-speed-limit effects under fog conditions (103.4% and 137.5% increases for DUI drivers, respectively; 42.2% increase for non-DUI drivers on curves) corresponds to enhanced DUI checkpoints at curved road segments combined with infrastructure improvements such as variable speed limits and real-time warning systems. For temporal enforcement allocation, the substantial amplification of morning peak risks under rain/snow and fog conditions (173.7% and 123.5% increases, respectively) is associated with weather-adaptive patrol schedules that shift resources toward peak-hour coverage during adverse weather, complemented by random roadside checks on major commuting corridors. For behavioral interventions, the persistent baseline effects of seatbelt non-use with amplification under rain/snow (134.7% increase for non-DUI drivers) and the pronounced amplification of drug-involved effects (335.6% increase for DUI drivers under rain/snow) correspond to dual enforcement combining DUI detection with seatbelt compliance checks and joint alcohol–drug testing protocols at weather-sensitive locations. By incorporating the observed dependency between DUI and non-DUI driver outcomes and its weather-specific variation, enforcement frameworks may target high-risk scenarios more precisely.

6.4. Limitations and Future Research Directions

This study has several limitations. First, the analysis relies on U.S. CRSS data from 2016 to 2022, which reflect roadway environments, driving behaviors, and reporting practices specific to the United States. This background may influence the applicability of the findings to other regions. Second, this study uses only the single-category weather field available in CRSS, which prevents the identification of compound meteorological conditions, such as simultaneous fog and precipitation, thereby limiting the ability to characterize complex weather interactions. Third, the model adopts a fixed-parameter specification that assumes constant effects across all observations. The impacts of roadway geometry or adverse weather may vary across driver subgroups defined by age, gender, or vehicle type, but such heterogeneity cannot be represented within the current framework. Fourth, the modeling approach relies primarily on parametric structures, making it difficult to fully capture nonlinear relationships and multidimensional interaction effects that may exist in the underlying injury mechanisms. Fifth, as an observational study, this research identifies associations rather than causal relationships. The observed patterns may reflect unobserved confounding, selection effects, or reverse causality. Causal inference would require experimental or quasi-experimental designs with exogenous variation. Sixth, out-of-sample validation shows that copula models excel at mechanistic interpretation but offer limited predictive advantages, reflecting their design emphasis on understanding injury dependencies rather than optimizing prediction. Seventh, this study does not assess the temporal transferability of parameter estimates across the 2016–2022 period. As the reviewer correctly noted, traffic safety relationships may evolve over time due to changes in enforcement practices, vehicle technologies, and driver behaviors. The policy implications should therefore be interpreted as preliminary findings requiring validation across different time periods before implementation.
Future research can address these limitations in several ways. First, incorporating data from other regions or countries and evaluating the stability of the dependence structure under different roadway environments and reporting practices may enhance the generalizability of the findings. Second, using finer and multi-source meteorological information will allow for the identification of compound weather conditions and provide a more comprehensive understanding of weather-related risks. Third, developing random parameter or hierarchical models with heterogeneous means and variances can help reveal subgroup-specific injury mechanisms that remain masked under fixed-parameter specifications. Fourth, complementing the parametric Copula framework with ensemble machine learning methods (e.g., XGBoost, random forests) can explore potential higher-order nonlinear interactions and validate the robustness of key findings across different modeling paradigms, recognizing the trade-off between interpretability and flexibility. Fifth, employing causal inference frameworks (e.g., instrumental variables, propensity score matching, natural experiments) can isolate causal effects from the documented associations. Sixth, exploring machine learning methods (e.g., neural networks, gradient boosting) for prediction-oriented applications. Seventh, conducting temporal transferability analysis by splitting data into early and late periods to assess parameter stability over time, as recommended by the reviewer, particularly given the potential evolution of vehicle safety technologies, enforcement strategies, and driver behaviors.

7. Conclusions

Based on traffic accident data involving DUI from the U.S. CRSS database between 2016 and 2022, this study systematically investigates the dependency relationship between injury severity levels of DUI and non-DUI drivers in traffic accidents and its differential manifestations under varying weather conditions through the construction of a Copula-based bivariate ordered response model. The findings confirm the limitations of traditional independence modeling assumptions at the methodological level and reveal complex and systematic mechanisms underlying traffic accident injury analysis at the empirical level.
From a methodological contribution perspective, this study validates the effectiveness of the Copula framework in capturing the dependence structure of injury severities between both parties involved in traffic crashes. All Copula models significantly outperform the independent ordered probit model, with the Frank Copula achieving an AIC improvement of 263.16 points in the overall sample. The variation in optimal Copula types across weather conditions confirms the environmental sensitivity of the dependence structure and the modeling flexibility of the Copula framework. These findings underscore the necessity of adopting joint modeling frameworks in traffic safety research, as neglecting the dependency between injury severities leads to biased parameter estimation and misguided policy recommendations.
From an empirical finding perspective, this study reveals the profound moderating role of weather conditions on the injury severities of both DUI and non-DUI drivers. The dependence intensity between both parties’ injury severities increases progressively from Kendall’s τ = 0.27 under clear weather to 0.30 under rain/snow and 0.32 under fog, reflecting intensified coupling under adverse conditions. Most risk factors exhibit substantially amplified effects under adverse weather, with DUI driver injury risks during morning peaks increasing by 174% under rain/snow and curve effects amplifying by 103% under fog compared to clear weather. These weather-varying dependency patterns and systematic amplification effects correspond to targeted, weather-adaptive enforcement strategies that can more precisely address high-risk scenarios in alcohol-related crashes.

Author Contributions

Conceptualization, Z.H., X.Y. (Xiaobao Yang), X.L., and X.Y. (Xuedong Yan); methodology, Z.H., X.Y. (Xiaobao Yang), and X.L.; software, Z.H.; validation, Z.H., X.Y. (Xiaobao Yang), and X.L.; formal analysis, Z.H., X.Y. (Xiaobao Yang), and X.L.; investigation, Z.H.; resources, Z.H.; data curation, Z.H.; writing—original draft preparation, Z.H.; writing—review and editing, Z.H., X.Y. (Xiaobao Yang), and X.L.; visualization, Z.H.; supervision, X.Y. (Xuedong Yan); project administration, X.Y. (Xiaobao Yang), X.L.; funding acquisition, X.Y. (Xiaobao Yang). All authors have read and agreed to the published version of this manuscript.

Funding

This research was supported by the Fundamental Research Funds for the Central Universities (Grant No. 2024YJS154) and the National Natural Science Foundation of China (Grant No. 62333016).

Institutional Review Board Statement

Not applicable.

Informed Consent Statement

Not applicable.

Data Availability Statement

The data presented in this study are derived from public domain resources. Specifically, the data analyzed are publicly available from the U.S. National Highway Traffic Safety Administration (NHTSA) Crash Report Sampling System (CRSS) (2016–2023) at https://www.nhtsa.gov/crash-data-systems/crash-report-sampling-system-crss (accessed on 1 March 2026).

Conflicts of Interest

The authors declare no conflicts of interest.

Abbreviations

The following abbreviations are used in this manuscript:
DUIDriving Under the Influence
CRSSCrash Report Sampling System

Appendix A

Table A1. Estimation results of independent ordered probit models.
Table A1. Estimation results of independent ordered probit models.
VariableOverallClearRain/SnowFog
DUINon-DUIDUINon-DUIDUINon-DUIDUINon-DUI
CoefzCoefzCoefzCoefzCoefzCoefzCoefzCoefz
Environmental and Road Characteristics
Roadway curve indicator0.0991.320.127 *1.71--0.152 *1.80----0.2371.18--
High speed limit0.218 ***4.71--0.203 ***3.90------0.402 ***3.26--
Darkness, no lighting0.129 **2.150.171 ***3.280.0951.470.156 ***2.630.572 ***3.32------
Darkness, with lighting−0.079−1.45--−0.126 **−2.21----−0.413 **−2.45----
Poor surface condition----------------
Temporal Characteristics
Morning peak0.323 ***3.760.143 *1.680.296 ***3.08--0.847 **2.42--0.438 **2.340.359 *1.93
Afternoon/evening peak−0.105 *−1.95−0.157 ***−3.06--−0.130 **−2.28--------
Nighttime----------0.442 **2.59----
Weekend--------0.325 **2.00------
DUI Driver and Vehicle Characteristics
DUI driver age (≥55 years)--−0.208 ***−3.30--−0.244 ***−3.42--------
DUI speeding0.186 ***3.24--------------
DUI no restraint1.143 ***20.09--1.147 ***17.97--1.277 ***5.94--1.270 ***8.26--
DUI hit-and-run----------------
DUI drug involvement0.207 ***3.500.199 ***3.340.156 **2.300.168 **2.440.783 ***3.720.434 **2.08----
DUI vehicle (SUV)--0.099 *1.75--0.143 **2.25--------
DUI vehicle (truck)−0.157 ***−2.890.174 ***3.22−0.130 **−2.140.195 ***3.17----−0.297 *−1.92--
Non-DUI Driver and Vehicle Characteristics
Non-DUI male driver--−0.157 ***−3.42--−0.147 ***−2.84--------
Non-DUI driver age (≤22 years)0.157 ***2.93--0.209 ***3.56----------
Non-DUI driver age (≥55 years)--0.204 ***3.93--0.207 ***3.53------0.325 **2.28
Non-DUI no restraint--0.969 ***10.57--0.918 ***9.05--2.181 ***3.77--1.010 ***4.19
Non-DUI avoidance maneuver1.012 ***14.441.131 ***16.660.910 ***12.121.057 ***14.201.228 ***6.311.047 ***5.681.035 ***5.501.029 ***5.60
Non-DUI drug involvement1.205 **2.230.903 *1.85------------
Non-DUI vehicle (SUV)0.124 **2.25−0.180 ***−3.36--−0.137 **−2.29------−0.410 **−2.56
Non-DUI vehicle (truck)0.405 ***7.76−0.446 ***−7.820.360 ***6.55−0.417 ***−6.47----0.491 ***3.75−0.661 ***−4.44
α11.079 ***17.040.682 ***12.670.927 ***17.340.621 ***11.041.428 ***10.070.994 ***7.050.939 ***8.800.417 ***4.17
α21.631 ***24.801.286 ***22.831.479 ***26.091.220 ***20.681.938 ***12.301.632 ***10.291.526 ***12.991.034 ***9.57
Note: ***, **, and *: Significance at the 1%, 5%, and 10% levels. Coef = coefficient estimate; z = z-statistic.
Table A2. Marginal effects of independent ordered probit models.
Table A2. Marginal effects of independent ordered probit models.
VariableOverallClearRain/SnowFog
DUINon-DUIDUINon-DUIDUINon-DUIDUINon-DUI
NIMISI/FINIMISI/FINIMISI/FINIMISI/FINIMISI/FINIMISI/FINIMISI/FINIMISI/FI
Environmental and Road Characteristics
Roadway curve indicator−2.950.842.11−3.841.402.44---−4.611.692.91------−6.661.794.87---
High speed limit−6.521.864.66---−6.191.804.39---------−11.313.048.27---
Darkness, no lighting−3.841.092.74−5.161.883.27−2.910.842.07−4.731.742.99−14.453.7610.69---------
Darkness, with lighting2.36−0.67−1.69---3.85−1.12−2.73------11.57−4.54−7.03------
Poor surface condition------------------------
Temporal Characteristics
Morning peak−9.632.756.88−4.311.572.74−9.022.626.40---−21.395.5715.83---−12.323.319.01−10.663.657.00
Afternoon/evening peak3.12−0.89−2.234.74−1.73−3.01---3.95−1.45−2.50------------
Nighttime---------------−12.384.867.52------
Weekend------------−8.202.136.07---------
DUI Driver and Vehicle Characteristics
DUI driver age (≥55 years)---6.25−2.28−3.97---7.42−2.73−4.69------------
DUI speeding−5.531.583.95---------------------
DUI no restraint−34.079.7224.36---−35.0010.1624.84---−32.278.3923.87---−35.769.6126.15---
DUI hit-and-run------------------------
DUI drug involvement−6.161.764.40−5.992.193.81−4.761.383.38−5.101.883.23−19.795.1514.64−12.144.767.38------
DUI vehicle (SUV)---−2.991.091.90---−4.341.592.75------------
DUI vehicle (truck)4.68−1.33−3.34−5.251.923.343.97−1.15−2.82−5.922.183.75------8.37−2.25−6.12---
Non-DUI Driver and Vehicle Characteristics
Non-DUI male driver---4.74−1.73−3.01---4.48−1.64−2.83------------
Non-DUI driver age (≤22 years)−4.671.333.34---−6.381.854.53---------------
Non-DUI driver age (≥55 years)---−6.152.243.91---−6.282.313.97---------−9.633.306.33
Non-DUI no restraint---−29.1810.6518.53---−27.9210.2617.66---−61.0423.9537.09---−29.9610.2719.69
Non-DUI avoidance maneuver------------------------
Non-DUI drug involvement−35.9310.2525.68−27.229.9317.28------------------
Non-DUI vehicle (SUV)−3.711.062.655.43−1.98−3.45---4.18−1.53−2.64---------12.17−4.17−8.00
Non-DUI vehicle (truck)−12.083.448.6313.44−4.91−8.54−10.973.197.7912.68−4.66−8.02------−13.813.7110.1019.60−6.72−12.88

References

  1. Drunk Driving|Statistics and Resources. Available online: https://www.nhtsa.gov/risky-driving/drunk-driving (accessed on 31 August 2024).
  2. Wali, B.; Khattak, A.J.; Xu, J. Contributory Fault and Level of Personal Injury to Drivers Involved in Head-on Collisions: Application of Copula-Based Bivariate Ordinal Models. Accid. Anal. Prev. 2018, 110, 101–114. [Google Scholar] [CrossRef] [PubMed]
  3. Mannering, F.L.; Shankar, V.; Bhat, C.R. Unobserved Heterogeneity and the Statistical Analysis of Highway Accident Data. Anal. Methods Accid. Res. 2016, 11, 1–16. [Google Scholar] [CrossRef]
  4. Behnood, A.; Mannering, F. Determinants of Bicyclist Injury Severities in Bicycle-Vehicle Crashes: A Random Parameters Approach with Heterogeneity in Means and Variances. Anal. Methods Accid. Res. 2017, 16, 35–47. [Google Scholar] [CrossRef]
  5. Pervaz, S.; Bhowmik, T.; Eluru, N. Examining Driver Injury Severity in Motor Vehicle Crashes: A Copula-Based Approach Considering Temporal Heterogeneity in a Developing Country Context. Accid. Anal. Prev. 2024, 206, 107721. [Google Scholar] [CrossRef]
  6. Ahmad, N.; Gayah, V.V.; Donnell, E.T. Copula-Based Bivariate Count Data Regression Models for Simultaneous Estimation of Crash Counts Based on Severity and Number of Vehicles. Accid. Anal. Prev. 2023, 181, 106928. [Google Scholar] [CrossRef]
  7. Song, D.; Yang, X.; Ch. Anastasopoulos, P.; Zu, X.; Yue, X.; Yang, Y. Temporal Stability of the Impact of Factors Determining Drivers’ Injury Severities across Traffic Barrier Crashes in Mountainous Regions. Anal. Methods Accid. Res. 2023, 39, 100282. [Google Scholar] [CrossRef]
  8. Gkyrtis, K.; Pomoni, M. Use of Historical Road Incident Data for the Assessment of Road Redesign Potential. Designs 2024, 8, 88. [Google Scholar] [CrossRef]
  9. Yan, X.; He, J.; Zhang, C.; Liu, Z.; Wang, C.; Qiao, B. Spatiotemporal Instability Analysis Considering Unobserved Heterogeneity of Crash-Injury Severities in Adverse Weather. Anal. Methods Accid. Res. 2021, 32, 100182. [Google Scholar] [CrossRef]
  10. Tamakloe, R.; Hong, J.; Park, D. A Copula-Based Approach for Jointly Modeling Crash Severity and Number of Vehicles Involved in Express Bus Crashes on Expressways Considering Temporal Stability of Data. Accid. Anal. Prev. 2020, 146, 105736. [Google Scholar] [CrossRef]
  11. Rezapour, M.; Ksaibati, K. Trivariate Copula for Modeling Barriers Crash Severity, Accounting for Policy Endogeneity. Future Transp. 2021, 1, 601–614. [Google Scholar] [CrossRef]
  12. Li, Y.; Virakvichetra, L.; Zhang, J.; Li, H.; Lu, Y. Jointly Modeling the Dependence of Injury Severity and Crash Size Involved in Motorcycle Crashes in Cambodia Using a Copula-Based Approach. Front. Eng. Manag. 2025, 12, 394–413. [Google Scholar] [CrossRef]
  13. Okafor, S.; Adanu, E.K.; Jones, S. Severity Analysis of Crashes Involving In-State and out-of-State Large Truck Drivers in Alabama: A Random Parameter Multinomial Logit Model with Heterogeneity in Means and Variances. Heliyon 2022, 8, e11989. [Google Scholar] [CrossRef] [PubMed]
  14. Wu, Q.; Song, D.; Wang, C.; Chen, F.; Cheng, J.; Easa, S.M.; Yang, Y.; Yang, W. Analysis of Injury Severity of Drivers Involved Different Types of Two-Vehicle Crashes Using Random-Parameters Logit Models with Heterogeneity in Means and Variances. J. Adv. Transp. 2023, 2023, 3399631. [Google Scholar] [CrossRef]
  15. Rangaswamy, R.; Alnawmasi, N.; Zhang, Y. Analysis of Injury Severity of Work Zone Crashes on Rural and Urban Work Zones: Accounting for out-of-Sample Prediction and Temporal Instability. Accid. Anal. Prev. 2024, 203, 107641. [Google Scholar] [CrossRef]
  16. Zhang, S.; Khattak, A.; Matara, C.M.; Hussain, A.; Farooq, A. Hybrid Feature Selection-Based Machine Learning Classification System for the Prediction of Injury Severity in Single and Multiple-Vehicle Accidents. PLoS ONE 2022, 17, e0262941. [Google Scholar] [CrossRef]
  17. Jamal, A.; Zahid, M.; Tauhidur Rahman, M.; Al-Ahmadi, H.M.; Almoshaogeh, M.; Farooq, D.; Ahmad, M. Injury Severity Prediction of Traffic Crashes with Ensemble Machine Learning Techniques: A Comparative Study. Int. J. Inj. Contr. Saf. Promot. 2021, 28, 408–427. [Google Scholar] [CrossRef]
  18. Kong, J.S.; Lee, K.H.; Kim, O.H.; Lee, H.Y.; Kang, C.Y.; Choi, D.; Kim, S.C.; Jeong, H.; Kang, D.R.; Sung, T.-E. Machine Learning-Based Injury Severity Prediction of Level 1 Trauma Center Enrolled Patients Associated with Car-to-Car Crashes in Korea. Comput. Biol. Med. 2023, 153, 106393. [Google Scholar] [CrossRef]
  19. Uddin, M.; Huynh, N. Injury Severity Analysis of Truck-Involved Crashes under Different Weather Conditions. Accid. Anal. Prev. 2020, 141, 105529. [Google Scholar] [CrossRef]
  20. Zeng, Q.; Hao, W.; Lee, J.; Chen, F. Investigating the Impacts of Real-Time Weather Conditions on Freeway Crash Severity: A Bayesian Spatial Analysis. Int. J. Environ. Res. Public Health 2020, 17, 2768. [Google Scholar] [CrossRef]
  21. Rezapour, M.; Wulff, S.S.; Ksaibati, K. Bayesian Hierarchical Modelling of Traffic Barrier Crash Severity. Int. J. Inj. Contr. Saf. Promot. 2021, 28, 94–102. [Google Scholar] [CrossRef]
  22. Yang, M.; Bao, Q.; Shen, Y.; Qu, Q.; Zhang, R.; Han, T.; Zhang, H. Determinants Influencing Alcohol-Related Two-Vehicle Crash Severity: A Multivariate Bayesian Hierarchical Random Parameters Correlated Outcomes Logit Model. Anal. Methods Accid. Res. 2024, 44, 100361. [Google Scholar] [CrossRef]
  23. Behnood, A.; Mannering, F.L. The Effects of Drug and Alcohol Consumption on Driver Injury Severities in Single-Vehicle Crashes. Traffic Inj. Prev. 2017, 18, 456–462. [Google Scholar] [CrossRef] [PubMed]
  24. Redelmeier, D.A.; Manzoor, F. Life-Threatening Alcohol-Related Traffic Crashes in Adverse Weather: A Double-Matched Case–Control Analysis from Canada. BMJ Open 2019, 9, e024415. [Google Scholar] [CrossRef] [PubMed]
  25. Chen, H.; Chen, Q.; Chen, L.; Zhang, G. Analysis of Risk Factors Affecting Driver Injury and Crash Injury with Drivers under the Influence of Alcohol (DUI) and Non-DUI. Traffic Inj. Prev. 2016, 17, 796–802. [Google Scholar] [CrossRef]
  26. Zador, P.L.; Krawchuk, S.A.; Voas, R.B. Alcohol-Related Relative Risk of Driver Fatalities and Driver Involvement in Fatal Crashes in Relation to Driver Age and Gender: An Update Using 1996 Data. J. Stud. Alcohol 2000, 61, 387–395. [Google Scholar] [CrossRef]
  27. Yamamoto, T.; Shankar, V.N. Bivariate Ordered-Response Probit Model of Driver’s and Passenger’s Injury Severities in Collisions with Fixed Objects. Accid. Anal. Prev. 2004, 36, 869–876. [Google Scholar] [CrossRef]
  28. Chiou, Y.-C.; Hwang, C.-C.; Chang, C.-C.; Fu, C. Reprint of “Modeling Two-Vehicle Crash Severity by a Bivariate Generalized Ordered Probit Approach”. Accid. Anal. Prev. 2013, 61, 97–106. [Google Scholar] [CrossRef]
  29. Yasmin, S.; Eluru, N.; Pinjari, A.R.; Tay, R. Examining Driver Injury Severity in Two Vehicle Crashes—A Copula Based Approach. Accid. Anal. Prev. 2014, 66, 120–135. [Google Scholar] [CrossRef]
  30. Ye, X.; Pendyala, R.M.; Washington, S.P.; Konduri, K.; Oh, J. A Simultaneous Equations Model of Crash Frequency by Collision Type for Rural Intersections. Saf. Sci. 2009, 47, 443–452. [Google Scholar] [CrossRef]
  31. Ma, J.; Kockelman, K.M.; Damien, P. A Multivariate Poisson-Lognormal Regression Model for Prediction of Crash Counts by Severity, Using Bayesian Methods. Accid. Anal. Prev. 2008, 40, 964–975. [Google Scholar] [CrossRef]
  32. Chiou, Y.-C.; Fu, C.; Ke, C.-Y. Modelling Two-Vehicle Crash Severity by Generalized Estimating Equations. Accid. Anal. Prev. 2020, 148, 105841. [Google Scholar] [CrossRef] [PubMed]
  33. Faden, A.; Abdel-Aty, M.; Wang, C.; Yang, S. Short-Term Safety Analysis and Interdependencies of Mixed-Operation Freeways with Fully Separated Express Lanes: A Copula-Based Poisson Lognormal Lindley Approach. Accid. Anal. Prev. 2025, 217, 108050. [Google Scholar] [CrossRef] [PubMed]
  34. Maji, A.; Ghosh, I. A Copula-Based Multivariate Extreme Value Framework for Roundabout Safety Evaluation under Mixed Traffic. Accid. Anal. Prev. 2025, 221, 108219. [Google Scholar] [CrossRef] [PubMed]
  35. Eluru, N.; Paleti, R.; Pendyala, R.M.; Bhat, C.R. Modeling Injury Severity of Multiple Occupants of Vehicles: Copula-Based Multivariate Approach. Transp. Res. Rec. 2010, 2165, 1–11. [Google Scholar] [CrossRef]
  36. Wang, K.; Bhowmik, T.; Yasmin, S.; Zhao, S.; Eluru, N.; Jackson, E. Multivariate Copula Temporal Modeling of Intersection Crash Consequence Metrics: A Joint Estimation of Injury Severity, Crash Type, Vehicle Damage and Driver Error. Accid. Anal. Prev. 2019, 125, 188–197. [Google Scholar] [CrossRef]
  37. Nashad, T.; Yasmin, S.; Eluru, N.; Lee, J.; Abdel-Aty, M.A. Joint Modeling of Pedestrian and Bicycle Crashes: Copula-Based Approach. Transp. Res. Rec. 2016, 2601, 119–127. [Google Scholar] [CrossRef]
  38. Vlahogianni, E.I.; Karlaftis, M.G.; Orfanou, F.P. Modeling the Effects of Weather and Traffic on the Risk of Secondary Incidents. J. Intell. Transp. Syst. 2012, 16, 109–117. [Google Scholar] [CrossRef]
  39. Bergel-Hayat, R.; Debbarh, M.; Antoniou, C.; Yannis, G. Explaining the Road Accident Risk: Weather Effects. Accid. Anal. Prev. 2013, 60, 456–465. [Google Scholar] [CrossRef]
  40. Ahmed, M.; Ghasemzadeh, A.; Hammit, B.E.; Khan, M.N.; Das, A.; Ali, E.; Young, R.; Eldeeb, H. Driver Performance and Behavior in Adverse Weather Conditions: An Investigation Using the SHRP2 Naturalistic Driving Study Data—Phase 2. Available online: https://rosap.ntl.bts.gov (accessed on 7 October 2025).
  41. Behnood, A.; Mannering, F. The Effect of Passengers on Driver-Injury Severities in Single-Vehicle Crashes: A Random Parameters Heterogeneity-in-Means Approach. Anal. Methods Accid. Res. 2017, 14, 41–53. [Google Scholar] [CrossRef]
  42. Saha, S.; Schramm, P.; Nolan, A.; Hess, J. Adverse Weather Conditions and Fatal Motor Vehicle Crashes in the United States, 1994–2012. Environ. Health 2016, 15, 104. [Google Scholar] [CrossRef]
  43. Kockelman, K.M.; Kweon, Y.-J. Driver Injury Severity: An Application of Ordered Probit Models. Accid. Anal. Prev. 2002, 34, 313–321. [Google Scholar] [CrossRef]
  44. Chen, F.; Song, M.; Ma, X. Investigation on the Injury Severity of Drivers in Rear-End Collisions Between Cars Using a Random Parameters Bivariate Ordered Probit Model. Int. J. Environ. Res. Public Health 2019, 16, 2632. [Google Scholar] [CrossRef] [PubMed]
  45. Yasmin, S.; Eluru, N.; Pinjari, A.R. Pooling Data from Fatality Analysis Reporting System (FARS) and Generalized Estimates System (GES) to Explore the Continuum of Injury Severity Spectrum. Accid. Anal. Prev. 2015, 84, 112–127. [Google Scholar] [CrossRef] [PubMed]
  46. Black, A.W.; Mote, T.L. Characteristics of Winter-Precipitation-Related Transportation Fatalities in the United States. Weather Clim. Soc. 2015, 7, 133–145. [Google Scholar] [CrossRef]
  47. Khasawneh, M.A.; Umar, I.K.; Khasawneh, A.A. Explainable Artificial Intelligence Model for Accident Severity Modeling. Asian J. Civ. Eng. 2025, 26, 2433–2445. [Google Scholar] [CrossRef]
  48. Smith, M.D. Modelling Sample Selection Using Archimedean Copulas. Econom. J. 2003, 6, 99–123. [Google Scholar] [CrossRef]
  49. Trivedi, P.K.; Zimmer, D.M. Copula Modeling: An Introduction for Practitioners. Found. Trends® Econom. 2007, 1, 1–111. [Google Scholar] [CrossRef]
  50. Joe, H. Multivariate Models and Multivariate Dependence Concepts; CRC Press: Boca Raton, FL, USA, 1997; ISBN 978-0-412-07331-1. [Google Scholar]
  51. Nelsen, R.B. An Introduction to Copulas; Springer Series in Statistics; Springer: New York, NY, USA, 2006; ISBN 978-0-387-28659-4. [Google Scholar]
  52. Clayton, D.G. A Model for Association in Bivariate Life Tables and Its Application in Epidemiological Studies of Familial Tendency in Chronic Disease Incidence. Biometrika 1978, 65, 141–151. [Google Scholar] [CrossRef]
  53. Joe, H. Dependence Modeling with Copulas; CRC Press: Boca Raton, FL, USA, 2014; ISBN 978-1-4665-8322-1. [Google Scholar]
  54. McNeil, A.J.; Frey, R.; Embrechts, P. Quantitative Risk Management: Concepts, Techniques and Tools—Revised Edition; Princeton University Press: Princeton, NJ, USA, 2015; ISBN 978-0-691-16627-8. [Google Scholar]
  55. Marra, G.; Radice, R. A Joint Regression Modeling Framework for Analyzing Bivariate Binary Data in R. Depend. Model. 2017, 5, 268–294. [Google Scholar]
  56. Crash Report Sampling System|NHTSA. Available online: https://www.nhtsa.gov/crash-data-systems/crash-report-sampling-system (accessed on 17 November 2025).
  57. Zamani, A.; Behnood, A.; Davoodi, S.R. Temporal Stability of Pedestrian Injury Severity in Pedestrian-Vehicle Crashes: New Insights from Random Parameter Logit Model with Heterogeneity in Means and Variances. Anal. Methods Accid. Res. 2021, 32, 100184. [Google Scholar] [CrossRef]
  58. Novat, N.; Mwende, S.; Shita, H.; Mbiaji, G. Predicting Drivers’ Injury Occurrence in Vehicle Crashes Occurring at Horizontal Curve and Grade Combination Segments. ITE J. 2022, 92, 41–50. [Google Scholar]
  59. Monfort, S.S. Crash Incompatibility between Cars, SUVs, and Pickups in 2017–2022. Traffic Inj. Prev. 2025, 26, 697–702. [Google Scholar] [CrossRef]
  60. Adeyemi, O.J.; Paul, R.; DiMaggio, C.J.; Delmelle, E.M.; Arif, A.A. An Assessment of the Non-Fatal Crash Risks Associated with Substance Use during Rush and Non-Rush Hour Periods in the United States. Drug Alcohol Depend. 2022, 234, 109386. [Google Scholar] [CrossRef] [PubMed]
  61. Febres, J.D.; García-Herrero, S.; Herrera, S.; Gutiérrez, J.M.; López-García, J.R.; Mariscal, M.A. Influence of Seat-Belt Use on the Severity of Injury in Traffic Accidents. Eur. Transp. Res. Rev. 2020, 12, 9. [Google Scholar] [CrossRef]
  62. Regev, S.; Rolison, J.J.; Moutari, S. Crash Risk by Driver Age, Gender, and Time of Day Using a New Exposure Methodology. J. Safety Res. 2018, 66, 131–140. [Google Scholar] [CrossRef] [PubMed]
  63. Xu, J.; Lv, W.; Gao, C.; Bi, Y.; Mu, M.; E, G. Why Do Drivers’ Collision Avoidance Maneuvers Tend to Cause SUVs to Sideslip or Rollover on Horizontal Curve and Grade Combinations?—An Analysis of the Causes Based on a Modified Multibody Dynamics Model. Int. J. Environ. Res. Public Health 2022, 19, 15877. [Google Scholar] [CrossRef]
Figure 1. Copula-based bivariate ordered response framework for modeling DUI and non-DUI driver injury dependencies across weather conditions.
Figure 1. Copula-based bivariate ordered response framework for modeling DUI and non-DUI driver injury dependencies across weather conditions.
Safety 12 00038 g001
Figure 2. Pearson standardized residual heatmaps of injury severity between DUI-side and non-DUI-side drivers under different weather conditions. Significance levels are indicated as follows: * p < 0.05; ** p < 0.01; *** p < 0.001.
Figure 2. Pearson standardized residual heatmaps of injury severity between DUI-side and non-DUI-side drivers under different weather conditions. Significance levels are indicated as follows: * p < 0.05; ** p < 0.01; *** p < 0.001.
Safety 12 00038 g002aSafety 12 00038 g002b
Figure 3. Conditional injury severity of non-DUI drivers given the DUI driver injury level.
Figure 3. Conditional injury severity of non-DUI drivers given the DUI driver injury level.
Safety 12 00038 g003
Table 1. Summary of recent crash severity studies (2020–2025).
Table 1. Summary of recent crash severity studies (2020–2025).
StudiesTopicsMethodsKey Factors Considered
Tamakloe et al. (2020) [10]Express bus-involved crash severity and crash size on expresswaysBivariate copula regression frameworkRoadway features, pavement condition, traffic exposure, vehicle mix, and driver behavior
Rezapour, M., and Ksaibati, K. (2021) [11] Barrier crash severity with endogenous roadway design featuresTrivariate copula-based logistic modelingRoadway design attributes, traffic exposure, driver behavior, vehicle-related elements
Li et al. (2025) [12]Motorcycle crash severity and crash size dependencyBivariate copula-based ordered and count regression modelsCrash characteristics, human characteristics, roadway characteristics, and temporal characteristics
Okafor et al. (2022) [13]Large-truck crash injury severityRPL-HMVDriver traits, vehicle characteristics, roadway and traffic environments, crash circumstances
Wu et al. (2023) [14]Driver injury severity in two-vehicle crashesRPL-HMVDriver characteristics, vehicle factors, roadway environment, crash circumstances
Rangaswamy et al. (2024) [15]Injury severity of single-vehicle work zone crashes in rural vs. urban areasRPL-HMVDriver characteristics, vehicle attributes, roadway and traffic conditions, work zone features, environmental and temporal factors
Zhang et al. (2022) [16]Injury severity prediction in single- and multi-vehicle crashesMachine learning classifiers (XGBoost)Driver characteristics, vehicle factors, roadway features, environmental conditions, and crash attributes
Jamal et al. (2021) [17]Road crash injury severity predictionRandom Forest, AdaBoost, and LightGBMDriver characteristics, vehicle attributes, roadway features, traffic environment, and crash circumstances
Kong et al. (2023) [18]Severe injury prediction in car-to-car crash patientsLogistic regression and MLP, XGBoostDriver traits, restraint use, vehicle type, crash configuration, and Delta-V
Uddin and Huynh (2020) [19]Truck-involved crash injury severity under different weather conditionsMixed logit (random + parameter logit) modelsDriver characteristics, crash circumstances, vehicle types, roadway attributes, lighting and temporal conditions, and weather categories
Zeng et al. (2020) [20]Freeway crash injury severity under weather conditions with spatial correlationBayesian spatial generalized ordered logit modelDriver, vehicle, crash, temporal, EMS, roadway, and weather characteristics
Rezapour et al. (2021) [21]Traffic barrier crash severity with hierarchical structure across barrier typesBayesian hierarchical logistic regression with random interceptsDriver characteristics, vehicle and maneuver factors, roadway geometry and shoulder/barrier features, environmental and weather conditions
Yang et al. (2024) [22]Determinants of alcohol-related two-vehicle crash injury severityMBH-RPL-CO-MNLDriver, vehicle, roadway, environmental, crash, and temporal characteristics
Note: (1) RPL-HMV = random parameter logit with heterogeneity in means and variances; (2) MBH-RPL-CO-MNL = multivariate Bayesian hierarchical random parameter correlated-outcomes multinomial logit; (3) MLP = multilayer perceptron; (4) XGBoost = extreme gradient boosting; (5) Delta-V = change in velocity during impact; (6) EMS = Emergency Medical Service.
Table 2. Sample selection process for two-vehicle DUI crashes, CRSS 2016–2022.
Table 2. Sample selection process for two-vehicle DUI crashes, CRSS 2016–2022.
Selection StepSample SizeExcludedExclusion Rate
Original CRSS Sample (2016–2022)367,232--
Step 1: Retain two-vehicle crashes219,347147,88540.27%
Step 2: Retain one-DUI–one-sober driver pairs4847214,50097.79%
Step 3: Exclude cases with missing covariates484700.00%
Step 4: Exclude cases with invalid covariate coding3823102421.13%
Step 5: Exclude cases with missing/invalid injury severity3773501.31%
Final Analytical Sample3773--
Notes: Exclusion Rate = (Cases excluded at this step/Previous step sample size) × 100%.
Table 3. Descriptive statistics of roadway, temporal, and driver–vehicle characteristics by weather condition.
Table 3. Descriptive statistics of roadway, temporal, and driver–vehicle characteristics by weather condition.
VariableOverallClearRain/SnowFog
Mean/SDMean/SDMean/SDMean/SD
Environmental and Road Characteristics
Roadway curve indicator (1 if crash occurred on a curved roadway, 0 otherwise)0.086/0.280.085/0.280.073/0.260.103/0.30
Roadway slope indicator (1 if crash occurred on a sloped roadway, 0 otherwise)0.121/0.330.115/0.320.126/0.330.154/0.36
Intersection indicator (1 if crash occurred at an intersection, 0 otherwise)0.420/0.490.426/0.490.413/0.490.388/0.49
Rural roadway indicator (1 if crash occurred on a rural road, 0 otherwise)0.224/0.420.216/0.410.211/0.410.279/0.45
High speed limit (1 if posted speed limit > 55 mph, 0 otherwise)0.350/0.480.350/0.480.297/0.460.388/0.49
Daytime indicator (1 if crash occurred during daytime, 0 otherwise)0.344/0.480.347/0.480.243/0.430.388/0.49
Darkness, no lighting (1 if crash occurred in darkness without street lighting, 0 otherwise)0.215/0.410.211/0.410.243/0.430.224/0.42
Darkness, with lighting (1 if crash occurred in darkness with street lighting, 0 otherwise)0.405/0.490.406/0.490.473/0.500.356/0.48
Twilight indicator (1 if crash occurred during dawn/dusk, 0 otherwise)0.036/0.190.035/0.180.041/0.200.032/0.18
Poor surface condition (1 if roadway surface condition was poor, 0 otherwise)0.127/0.330.024/0.150.946/0.230.222/0.42
Temporal Characteristics
Morning peak (1 if crash occurred between 05:00 and 09:59, 0 otherwise)0.067/0.250.063/0.240.047/0.210.101/0.30
Mid-day (1 if crash occurred between 10:00 and 15:59, 0 otherwise)0.141/0.350.143/0.350.110/0.310.149/0.36
Afternoon/evening peak (1 if crash occurred between 16:00 and 19:59, 0 otherwise)0.273/0.450.269/0.440.284/0.450.291/0.45
Nighttime (1 if crash occurred between 20:00 and 04:59, 0 otherwise)0.519/0.500.524/0.500.558/0.500.459/0.50
Weekend (1 if crash occurred on a weekend, 0 otherwise)0.393/0.490.396/0.490.397/0.490.376/0.48
DUI Driver and Vehicle Characteristics
DUI male driver (1 if DUI driver is male, 0 otherwise)0.736/0.440.740/0.440.703/0.460.733/0.44
DUI driver age (≤22 years) (1 if DUI driver age ≤ 22, 0 otherwise)0.213/0.410.214/0.410.233/0.420.192/0.39
DUI driver age (23–54 years) (1 if DUI driver age between 23 and 54, 0 otherwise)0.633/0.480.633/0.480.603/0.490.659/0.47
DUI driver age (≥55 years) (1 if DUI driver age ≥ 55, 0 otherwise)0.153/0.360.153/0.360.164/0.370.149/0.36
DUI speeding (1 if DUI driver was speeding, 0 otherwise)0.170/0.380.174/0.380.158/0.370.158/0.36
DUI no restraint (1 if DUI driver was not wearing a seatbelt, 0 otherwise)0.146/0.350.146/0.350.120/0.330.168/0.37
DUI avoidance maneuver (1 if DUI driver attempted an avoidance maneuver, 0 otherwise)0.065/0.250.065/0.250.047/0.210.077/0.27
DUI hit-and-run (1 if DUI driver committed hit-and-run, 0 otherwise)0.113/0.320.119/0.320.091/0.290.091/0.29
DUI drug involvement (1 if DUI driver was under drug influence, 0 otherwise)0.149/0.360.142/0.350.145/0.350.196/0.40
DUI vehicle (passenger car) (1 if DUI driver operated a passenger car, 0 otherwise)0.570/0.500.576/0.490.571/0.500.533/0.50
DUI vehicle (SUV) (1 if DUI driver operated an SUV, 0 otherwise)0.192/0.390.188/0.390.174/0.380.224/0.42
DUI vehicle (truck) (1 if DUI driver operated a truck, 0 otherwise)0.213/0.410.208/0.410.240/0.430.226/0.42
Non-DUI Driver and Vehicle Characteristics
Non-DUI male driver (1 if non-DUI driver is male, 0 otherwise)0.631/0.480.631/0.480.628/0.480.634/0.48
Non-DUI driver age (≤22 years) (1 if non-DUI driver age ≤ 22, 0 otherwise)0.214/0.410.216/0.410.215/0.410.202/0.40
Non-DUI driver age (23–54 years) (1 if non-DUI driver age between 23 and 54, 0 otherwise)0.568/0.500.566/0.500.565/0.500.578/0.49
Non-DUI driver age (≥55 years) (1 if non-DUI driver age ≥ 55, 0 otherwise)0.218/0.410.217/0.410.221/0.420.220/0.41
Non-DUI speeding (1 if non-DUI driver was speeding, 0 otherwise)0.009/0.090.009/0.090.013/0.110.008/0.09
Non-DUI no restraint (1 if non-DUI driver was not wearing a seatbelt, 0 otherwise)0.048/0.210.050/0.220.019/0.140.055/0.23
Non-DUI avoidance maneuver (1 if non-DUI driver attempted an avoidance maneuver, 0 otherwise)0.081/0.270.078/0.270.104/0.310.083/0.28
Non-DUI hit-and-run (1 if non-DUI driver committed hit-and-run, 0 otherwise)0.002/0.040.002/0.040.006/0.080.000/0.00
Non-DUI drug involvement (1 if non-DUI driver was under drug influence, 0 otherwise)0.002/0.040.001/0.040.000/0.000.004/0.06
Non-DUI vehicle (passenger car) (1 if non-DUI driver operated a passenger car, 0 otherwise)0.484/0.500.487/0.500.457/0.500.485/0.50
Non-DUI vehicle (SUV) (1 if non-DUI driver operated an SUV, 0 otherwise)0.233/0.420.233/0.420.268/0.440.208/0.41
Non-DUI vehicle (truck) (1 if non-DUI driver operated a truck, 0 otherwise)0.261/0.440.256/0.440.271/0.450.287/0.45
Note: Age categories (≤22, 23–54, ≥55 years) follow the thresholds used by Ref. [23]. Sensitivity analysis using alternative age thresholds (≤20/21–54/≥55 and ≤24/25–59/≥60) confirmed that key findings regarding age effects and dependency structures remain stable across specifications.
Table 4. Summary statistics for continuous covariates: median and interquartile range.
Table 4. Summary statistics for continuous covariates: median and interquartile range.
VariableWeatherMedianQ1Q3IQR
Speed Limit (mph)Overall45.0035.0055.0020.00
Clear45.0035.0055.0020.00
Rain/Snow45.0035.0055.0020.00
Fog45.0032.5055.0022.50
DUI Driver Age (years)Overall35.0027.0048.0021.00
Clear35.0027.0048.0021.00
Rain/Snow34.0026.0049.0023.00
Fog33.0025.0049.5024.50
Non-DUI Driver Age (years)Overall39.0027.0052.0025.00
Clear39.0027.0052.0025.00
Rain/Snow38.0027.0052.0025.00
Fog48.0033.0052.5019.50
Notes: Values represent median, first quartile (Q1), third quartile (Q3), and interquartile range (IQR = Q3 − Q1) for continuous variables before categorization. Speed limit is measured in miles per hour (mph); driver ages are measured in years.
Table 5. Cross-tabulations of injury severity between DUI-side and non-DUI-side drivers across weather conditions.
Table 5. Cross-tabulations of injury severity between DUI-side and non-DUI-side drivers across weather conditions.
Non-DUI:NINon-DUI:MINon-DUI:SI/FI
Overall (N = 3773)DUI:NI2012 (53.33%)277 (7.34%)238 (6.31%)
DUI:MI305 (8.08%)127 (3.37%)106 (2.81%)
DUI:SI/FI362 (9.59%)158 (4.19%)188 (4.98%)
Clear (N = 2961)DUI:NI1573 (53.12%)219 (7.40%)190 (6.42%)
DUI:MI246 (8.31%)103 (3.48%)81 (2.74%)
DUI:SI/FI287 (9.69%)119 (4.02%)143 (4.83%)
Rain/Snow (N = 317)DUI:NI182 (57.41%)26 (8.20%)15 (4.73%)
DUI:MI21 (6.62%)9 (2.84%)6 (1.89%)
DUI:SI/FI28 (8.83%)10 (3.15%)20 (6.31%)
Fog (N = 495)DUI:NI257 (51.92%)32 (6.46%)33 (6.67%)
DUI:MI38 (7.68%)15 (3.03%)19 (3.84%)
DUI:SI/FI47 (9.49%)29 (5.86%)25 (5.05%)
Notes: NI = no injury; MI = minor injury; SI/FI = severe injury/fatal injury.
Table 6. Fit statistics of Copula models and the independent ordered probit model.
Table 6. Fit statistics of Copula models and the independent ordered probit model.
DataCopulaNLL(β)AICBICkKendall’s τ (z-Value)θ (z-Value)
OverallIndependent3773−5759.8111,587.6311,799.6434--
Gaussian Copula3773−5630.5111,331.0311,549.28350.2710 (13.84)0.4129 (20.47)
Frank Copula3773−5627.2311,324.4711,542.71350.2794 (17.01)2.6937 (15.68)
Clayton Copula3773−5640.5611,351.1311,569.38350.3607 (20.10)1.1282 (11.62)
Gumbel Copula3773−5635.9911,341.9811,560.23350.2188 (4.05)1.28 (51.08)
Joe Copula3773−5644.6611,359.3111,577.56350.1750 (5.06)1.3752 (45.73)
ClearIndependent2961−4549.859153.719315.5327--
Gaussian Copula2961−4452.888961.769129.57280.2645 (12.07)0.4037 (16.77)
Frank Copula2961−4450.518957.029124.83280.2717 (14.70)2.607 (11.59)
Clayton Copula2961−4459.268974.519142.32280.3566 (17.25)1.1084 (8.68)
Gumbel Copula2961−4456.538969.069136.87280.2129 (3.40)1.2705 (53.68)
Joe Copula2961−4462.818981.639149.44280.1704 (4.26)1.3632 (35.19)
Rain/SnowIndependent317−447.10922.20974.8314--
Gaussian Copula317−435.19900.38956.76150.2966 (4.05)0.4493 (6.04)
Frank Copula317−436.27902.54958.92150.2948 (4.87)2.868 (4.25)
Clayton Copula317−436.83903.66960.04150.3685 (5.92)1.1671 (3.3)
Gumbel Copula317−435.58901.17957.55150.2337 (2.31)1.305 (14.92)
Joe Copula317−436.21902.42958.80150.1844 (2.60)1.4005 (11.93)
FogIndependent495−762.151556.301623.5816--
Gaussian Copula495−742.011518.011589.49170.2949 (5.33)0.4468 (7.54)
Frank Copula495−739.021512.031583.51170.3239 (7.26)3.1971 (7.28)
Clayton Copula495−744.211522.421593.90170.3802 (8.51)1.2271 (3.9)
Gumbel Copula495−744.531523.061594.53170.2437 (2.13)1.3223 (19.47)
Joe Copula495−746.541527.091598.56170.1959 (2.26)1.4321 (16.3)
Note: N denotes the sample size; LL(β) is the log-likelihood value; k indicates the number of estimated parameters. Model fit is assessed using AIC and BIC, with the best-fitting specification underlined twice and the second-best underlined once.
Table 7. Coefficient estimates of Copula-based bivariate ordered response models: overall and weather.
Table 7. Coefficient estimates of Copula-based bivariate ordered response models: overall and weather.
OverallClear
DUINon-DUIDUINon-DUI
CoefzCoefzCoefzCoefz
Environmental and Road Characteristics
Roadway curve indicator0.286 ***3.970.337 ***4.730.237 ***2.890.319 ***3.94
High speed limit0.095 ***4.54--0.092 ***3.93--
Darkness, no lighting0.186 ***3.190.233 ***4.60--0.196 ***3.51
Darkness, with lighting−0.091 *−1.75--−0.187 ***−3.74--
Temporal Characteristics
Morning peak0.351 ***4.170.197 **2.380.266 ***2.92--
Afternoon/evening peak−0.114 **−2.17−0.164 ***−3.27--−0.117 **−2.15
DUI Driver and Vehicle Characteristics
DUI driver age (≥55)--−0.202 ***−3.39--−0.233 ***−3.43
DUI speeding0.0321.62------
DUI no restraint1.074 ***19.77--1.084 ***17.67--
DUI drug involvement0.218 ***3.750.240 ***4.140.172 **2.570.225 ***3.36
DUI vehicle (SUV)--0.114 **2.13--0.157 ***2.62
DUI vehicle (truck)−0.155 ***−2.910.185 ***3.49−0.129 **−2.140.202 ***3.36
Non-DUI Driver and Vehicle Characteristics
Non-DUI male driver--−0.172 ***−3.96--−0.159 ***−3.22
Non-DUI driver age (≤22)0.175 ***3.45--0.227 ***4.05--
Non-DUI driver age (≥55)--0.198 ***4.03--0.213 ***3.83
Non-DUI no restraint--0.930 ***10.69--0.889 ***9.24
Non-DUI avoidance maneuver0.243 ***3.240.187 **2.520.280 ***3.270.199 **2.33
Non-DUI drug involvement1.236 **2.300.938 *1.95----
Non-DUI vehicle (SUV)0.130 **2.39−0.159 ***−3.03--−0.157 ***−2.75
Non-DUI vehicle (truck)0.401 ***7.82−0.399 ***−7.190.358 ***6.61−0.378 ***−6.04
α10.849 ***15.410.551 ***11.360.750 ***16.970.562 ***10.44
α21.376 ***95.271.113 ***76.421.281 ***79.011.123 ***68.35
θ2.6937 (15.68) 2.6070 (11.59)
Kendall’s τ0.2794 0.2717
Note: ***, **, and *: Significance at the 1%, 5%, 10% levels. Coef = coefficient estimate; z = z-statistic; SE = standard error; CI = confidence interval. The 95% confidence interval for each coefficient can be calculated as 95% CI = Coef ± 1.96 × SE, where SE = |Coef/z|.
Table 8. Coefficient estimates of Copula-based bivariate ordered response models: rain/snow and fog weather.
Table 8. Coefficient estimates of Copula-based bivariate ordered response models: rain/snow and fog weather.
Rain/SnowFog
DUINon-DUIDUINon-DUI
CoefzCoefzCoefzCoefz
Environmental and Road Characteristics
Roadway curve indicator0.569 **2.21--0.351 *1.930.401 **2.25
High speed limit----0.224 ***4.06--
Darkness, no lighting0.557 ***3.40------
Darkness, with lighting--−0.453 ***−2.82----
Temporal Characteristics
Morning peak0.763 **2.38--0.587 ***3.270.523 ***2.97
Nighttime--0.445 ***2.76----
Weekend0.320 **2.15------
DUI Driver and Vehicle Characteristics
DUI no restraint1.101 ***5.46--1.133 ***7.99--
DUI drug involvement0.749 ***3.690.483 **2.39----
DUI vehicle (truck)----−0.298 **−2.08--
Non-DUI Driver and Vehicle Characteristics
Non-DUI driver age (≥55)------0.237 *1.82
Non-DUI no restraint--1.984 ***3.42--0.948 ***4.25
Non-DUI vehicle (SUV)------−0.482 ***−3.25
Non-DUI vehicle (truck)----0.452 ***3.61−0.614 ***−4.33
α11.191 ***9.400.767 ***5.850.785 ***9.100.466 ***5.38
α21.648 ***31.401.345 ***25.711.327 ***33.241.027 ***26.02
θ0.4493 (6.04) 3.1971 (7.28)
Kendall’s τ0.2966 0.3239
Note: ***, **, and *: Significance at the 1%, 5%, and 10% levels. Coef = coefficient estimate; z = z-statistic; SE = standard error; CI = confidence interval. The 95% confidence interval for each coefficient can be calculated as 95% CI = Coef ± 1.96 × SE, where SE = |Coef/z|.
Table 9. Marginal effects from Copula-based bivariate ordered response models for the overall sample.
Table 9. Marginal effects from Copula-based bivariate ordered response models for the overall sample.
Overall
DUINon-DUI
NIzMIzSI/FIzNIzMIzSI/FIz
Environmental and Road Characteristics
Roadway curve indicator−8.35 ***−3.643.54 ***4.144.81 ***3.38−12.46 ***−4.733.85 ***6.018.60 ***4.31
High speed limit−2.68 ***−4.511.17 ***4.681.51 ***4.42------
Darkness, no lighting−5.20 ***−2.902.29 ***3.192.91 ***2.71−8.44 ***−4.202.79 ***4.935.65 ***3.91
Darkness, with lighting2.25 *1.95−1.08 *−1.88−1.17 **−2.00------
Temporal Characteristics
Morning peak−10.49 ***−3.734.33 ***4.286.16 ***3.43−7.08 **−2.272.39 ***2.624.69 **2.13
Afternoon/evening peak2.79 **2.53−1.35 **−2.47−1.44 **−2.575.36 ***3.62−2.15 ***−3.40−3.21 ***−3.81
DUI Driver and Vehicle Characteristics
DUI driver age (≥55)------6.51 ***3.65−2.65 ***−3.37−3.86 ***−3.87
DUI speeding−0.87 **−2.010.40 **2.240.47 **1.96------
DUI no restraint−38.07 ***−20.510.30 ***44.3727.77 ***14.91------
DUI drug involvement−6.18 ***−3.782.69 ***4.043.49 ***3.57−8.71 ***−4.432.86 ***5.245.84 ***4.12
DUI vehicle (SUV)------−4.01 **−2.151.42 **2.322.60 **2.08
DUI vehicle (truck)3.71 ***3.25−1.81 ***−3.17−1.90 ***−3.39−6.62 ***−3.732.25 ***4.224.37 ***3.52
Non-DUI Driver and Vehicle Characteristics
Non-DUI male driver------5.60 ***4.12−2.26 ***−3.85−3.35 ***−4.35
Non-DUI driver age (≤22)−4.87 ***−3.092.15 ***3.312.72 ***2.95------
Non-DUI driver age (≥55)------−7.12 ***−3.992.40 ***4.524.72 ***3.78
Non-DUI no restraint------−35.68 ***−11.466.24 ***33.5129.44 ***8.95
Non-DUI avoidance maneuver−6.96 ***−2.993.00 ***3.253.96 ***2.82−6.71 ***−2.662.28 ***3.034.43 **2.50
Non-DUI drug involvement−44.37 **−2.4910.44 ***3.6733.93 *1.95−35.97 **−2.426.22 **2.4929.75 *1.89
Non-DUI vehicle (SUV)−3.56 **−2.141.59 **2.221.96 **2.075.20 ***3.20−2.08 ***−3.00−3.12 ***−3.36
Non-DUI vehicle (truck)−12.20 ***−6.624.93 ***7.867.27 ***5.9711.97 ***8.59−5.22 ***−7.58−6.75 ***−9.59
Note: All marginal effects are reported in percentage points. ***, **, and *: Significance at the 1%, 5%, and 10% levels. The 95% confidence interval (CI) for each marginal effect can be calculated as 95% CI = [ME − 1.96 × SE, ME + 1.96 × SE], where SE = |ME|/|z| is the standard error, ME is the marginal effect, and z is the corresponding z-statistic.
Table 10. Marginal effects from Copula-based bivariate ordered response models for clear weather conditions.
Table 10. Marginal effects from Copula-based bivariate ordered response models for clear weather conditions.
Clear
DUINon-DUI
NIzMIzSI/FIzNIzMIzSI/FIz
Environmental and Road Characteristics
Roadway curve indicator−7.40 **−2.562.96 ***2.904.45 **2.40−11.68 ***−3.733.70 ***4.727.99 ***3.40
High speed limit−2.83 ***−3.931.15 ***4.021.68 ***3.85------
Darkness, no lighting------−7.01 ***−3.302.39 ***3.734.62 ***3.12
Darkness, with lighting4.92 ***3.85−2.28 ***−3.60−2.64 ***−4.12------
Temporal Characteristics
Morning peak−8.37 ***−2.903.30 ***3.285.06 ***2.70------
Afternoon/evening peak------3.85 **2.22−1.53 **−2.13−2.33 **−2.29
DUI Driver and Vehicle Characteristics
DUI driver age (≥55)------7.38 ***4.10−3.06 ***−3.75−4.32 ***−4.39
DUI no restraint−39.83 ***−17.749.14 ***41.6630.70 ***13.54------
DUI drug involvement−5.25 **−2.282.15 **2.483.09 **2.13−8.10 ***−3.562.71 ***4.055.38 ***3.35
DUI vehicle (SUV)------−5.58 ***−2.751.94 ***2.973.64 ***2.64
DUI vehicle (truck)3.48 **2.55−1.58 **−2.37−1.89 ***−2.70−7.23 ***−3.492.46 ***3.924.77 ***3.29
Non-DUI Driver and Vehicle Characteristics
Non-DUI male driver------5.15 ***3.48−2.08 ***−3.27−3.07 ***−3.64
Non-DUI driver age (≤22)−7.05 ***−3.872.83 ***4.234.22 ***3.72------
Non-DUI driver age (≥55)------−7.65 ***−3.942.58 ***4.495.07 ***3.70
Non-DUI no restraint------−34.11 ***−8.556.44 ***41.3827.67 ***6.82
Non-DUI avoidance maneuver−8.85 ***−2.993.47 ***3.435.38 ***2.80−7.12 **−2.022.42 **2.214.70 *1.93
Non-DUI vehicle (SUV)------5.10 ***2.84−2.06 ***−2.67−3.04 ***−2.95
Non-DUI vehicle (truck)−11.61 ***−6.224.39 ***7.457.22 ***5.5911.35 ***7.99−4.94 ***−7.02−6.40 ***−8.93
Note: All marginal effects are reported in percentage points. ***, **, and *: Significance at the 1%, 5%, and 10% levels. The 95% confidence interval (CI) for each marginal effect can be calculated as 95% CI = [ME − 1.96 × SE, ME + 1.96 × SE], where SE = |ME|/|z| is the standard error, ME is the marginal effect, and z is the corresponding z-statistic.
Table 11. Marginal effects from Copula-based bivariate ordered response models for rain/snow weather conditions.
Table 11. Marginal effects from Copula-based bivariate ordered response models for rain/snow weather conditions.
Rain/Snow
DUINon-DUI
NIzMIzSI/FIzNIzMIzSI/FIz
Environmental and Road Characteristics
Roadway curve indicator−15.00 **−2.045.95 ***2.719.05 *1.76------
Darkness, no lighting−14.62 ***−2.905.82 ***3.698.80 **2.55------
Darkness, with lighting------11.03 ***3.59−5.71 ***−3.24−5.32 ***−4.05
Temporal Characteristics
Morning peak−21.76 *−1.947.91 ***2.97-1.62------
Nighttime------−15.22 **−2.495.74 ***3.239.48 **2.18
Weekend−7.51 *−1.873.27 **2.094.25 *1.74------
DUI Driver and Vehicle Characteristics
DUI no restraint−34.76 ***−4.9410.48 ***11.1324.27 ***3.98------
DUI drug involvement−21.24 ***−2.997.78 ***4.3313.46 **2.54−16.69 **−2.326.17 ***3.3110.52 **1.98
Non-DUI Driver and Vehicle Characteristics
Non-DUI no restraint------−66.67 ***−5.50-0.3364.94 ***3.76
Note: All marginal effects are reported in percentage points. ***, **, and *: Significance at the 1%, 5%, and 10% levels. The 95% confidence interval (CI) for each marginal effect can be calculated as 95% CI = [ME − 1.96 × SE, ME + 1.96 × SE], where SE = |ME|/|z| is the standard error, ME is the marginal effect, and z is the corresponding z-statistic.
Table 12. Marginal effects from Copula-based bivariate ordered response models for fog weather conditions.
Table 12. Marginal effects from Copula-based bivariate ordered response models for fog weather conditions.
Fog
DUINon-DUI
NIzMIzSI/FIzNIzMIzSI/FIz
Environmental and Road Characteristics
Roadway curve indicator−10.26 **−1.964.45 **2.255.81 *1.78−15.36 **−2.154.00 ***3.7211.36 *1.87
High speed limit−6.81 ***−3.782.83 ***4.083.99 ***3.60------
Temporal Characteristics
Morning peak−18.57 ***−3.077.26 ***4.2711.31 ***2.61−20.21 **−2.404.71 ***4.6515.49 **2.06
DUI Driver and Vehicle Characteristics
DUI no restraint−39.95 ***−6.9911.11 ***17.4928.84 ***5.25------
DUI vehicle (truck)6.41 ***4.20−3.36 ***−4.12−3.04 ***−4.29------
Non-DUI Driver and Vehicle Characteristics
Non-DUI driver age (≥55)------−8.87 ***−2.772.62 ***3.116.25 ***2.64
Non-DUI no restraint------−36.44 ***−4.704.81 ***4.3031.63 ***3.61
Non-DUI vehicle (SUV)------14.90 ***4.37−6.24 ***−3.66−8.66 ***−5.06
Non-DUI vehicle (truck)−13.70 ***−2.965.70 ***3.648.00 ***2.6218.06 ***5.32−7.87 ***−4.51−10.19 ***−6.17
Note: All marginal effects are reported in percentage points. ***, **, and *: Significance at the 1%, 5%, and 10% levels. The 95% confidence interval (CI) for each marginal effect can be calculated as 95% CI = [ME − 1.96 × SE, ME + 1.96 × SE], where SE = |ME|/|z| is the standard error, ME is the marginal effect, and z is the corresponding z-statistic.
Table 13. Potential policy implications for consideration.
Table 13. Potential policy implications for consideration.
VariableWeatherDUI DriverNon-DUI DriverImplications
Environmental and Road Characteristics
Roadway curve
indicator
Clear+4.45 pp ↑+7.99 pp ↑In rain/snow, add DUI checkpoints at curves with high-friction pavement, guide signs, and variable speed limits. In fog, apply radar speed enforcement, set peak-hour DUI checkpoints, and send alerts to sober drivers to slow down and keep distance.
Rain/Snow+9.05 pp (+103.4%) ↑-
Fog+5.81 pp (+30.6%) ↑+11.36 pp (+42.2%) ↑
High speed limitClear+1.68 pp ↑-In fog, increase DUI checks at ramps, tolls, and service areas, in coordination with highway police through fog-specific DUI enforcement.
Fog+3.99 pp (+137.5%) ↑-
Temporal Characteristics
Morning peakClear+5.06 pp ↑-During morning peaks, strengthen DUI checks on commuting corridors. In rain/snow/fog, conduct peak-hour DUI enforcement with police patrols and random roadside checks.
Rain/Snow+13.85 pp (+173.7%) ↑-
Fog+11.31 pp (+123.5%) ↑-
DUI Driver and Vehicle Characteristics
DUI drug
involvement
Clear+3.09 pp ↑+5.38 pp ↑In rain/snow, set up joint alcohol–drug tests at highway entries, urban corridors, and hubs. Target night/weekend peaks with mobile roadside testing.
Rain/Snow+13.46 pp (+335.6%) ↑+10.52 pp (+95.5%) ↑
DUI no restraintClear+30.70 pp ↑-In adverse weather, enforce dual checks for DUI and seatbelt use at checkpoints. Promote in-vehicle reminders or interlock systems that prevent ignition if unbelted.
Rain/Snow+24.27 pp (−20.9%) ↑-
Fog+28.84 pp (−6.1%) ↑-
DUI vehicle (truck)Clear−1.89 pp ↓+4.77 pp ↑For trucks, adopt stricter DUI rules: lower legal BAC limits (or zero), mandatory testing, and licensing restrictions.
Fog−3.04 pp (−60.8%) ↓-
Non-DUI Driver and Vehicle Characteristics
Non-DUI driver age (≥55 years)Clear-+5.07 pp ↑In fog, older sober drivers face higher risk. Install variable message signs and use in-vehicle reminders on commuting and peri-urban roads to encourage lower speeds and longer headways.
Fog-+6.25 pp (+23.3%) ↑
Non-DUI no
restraint
Clear-+27.67 pp ↑In rain/snow, sober unbelted drivers face doubled risk. Enforce seatbelt use through roadside checks and promote in-vehicle seatbelt reminders on commuting and rural roads.
Rain/Snow-+64.94 pp (+134.7%) ↑
Fog-+31.63 pp (+14.3%) ↑
Note: (1) Policy implications are derived from changes in marginal effects. Arrows indicate the trend of severe injury/fatal risk (↑ increase, ↓ decrease). Clear weather is used as the baseline for adverse-weather comparisons. For example, “+9.05 pp (+103.4%) ↑” means that under adverse weather, the marginal effect on severe injury/fatal risk is +9.05 percentage points; compared with the clear-weather baseline, the risk increases by 103.4%; the arrow ↑ denotes an upward trend in risk (↓ denotes a decrease). (2) These policy implications represent preliminary findings based on 2016–2022 CRSS data. Implementation should be preceded by validation studies assessing temporal transferability across different time periods and regional transferability across jurisdictions with varying roadway environments and enforcement practices.
Disclaimer/Publisher’s Note: The statements, opinions and data contained in all publications are solely those of the individual author(s) and contributor(s) and not of MDPI and/or the editor(s). MDPI and/or the editor(s) disclaim responsibility for any injury to people or property resulting from any ideas, methods, instructions or products referred to in the content.

Share and Cite

MDPI and ACS Style

Huo, Z.; Yang, X.; Liu, X.; Yan, X. Adverse Weather Modulates Risk Effects and Injury Dependencies Between Alcohol-Impaired and Sober Drivers. Safety 2026, 12, 38. https://doi.org/10.3390/safety12020038

AMA Style

Huo Z, Yang X, Liu X, Yan X. Adverse Weather Modulates Risk Effects and Injury Dependencies Between Alcohol-Impaired and Sober Drivers. Safety. 2026; 12(2):38. https://doi.org/10.3390/safety12020038

Chicago/Turabian Style

Huo, Zhengqi, Xiaobao Yang, Xiaobing Liu, and Xuedong Yan. 2026. "Adverse Weather Modulates Risk Effects and Injury Dependencies Between Alcohol-Impaired and Sober Drivers" Safety 12, no. 2: 38. https://doi.org/10.3390/safety12020038

APA Style

Huo, Z., Yang, X., Liu, X., & Yan, X. (2026). Adverse Weather Modulates Risk Effects and Injury Dependencies Between Alcohol-Impaired and Sober Drivers. Safety, 12(2), 38. https://doi.org/10.3390/safety12020038

Note that from the first issue of 2016, this journal uses article numbers instead of page numbers. See further details here.

Article Metrics

Back to TopTop