We Need to Talk About Lung Ultrasound Score: Prediction of Intensive Care Unit Admission with Machine Learning
Abstract
1. Introduction
2. Materials and Methods
2.1. Dataset
2.2. Lung Ultrasound Scoring Systems
2.3. Selection of Laboratory Parameters
2.4. Prediction Models Development
3. Results
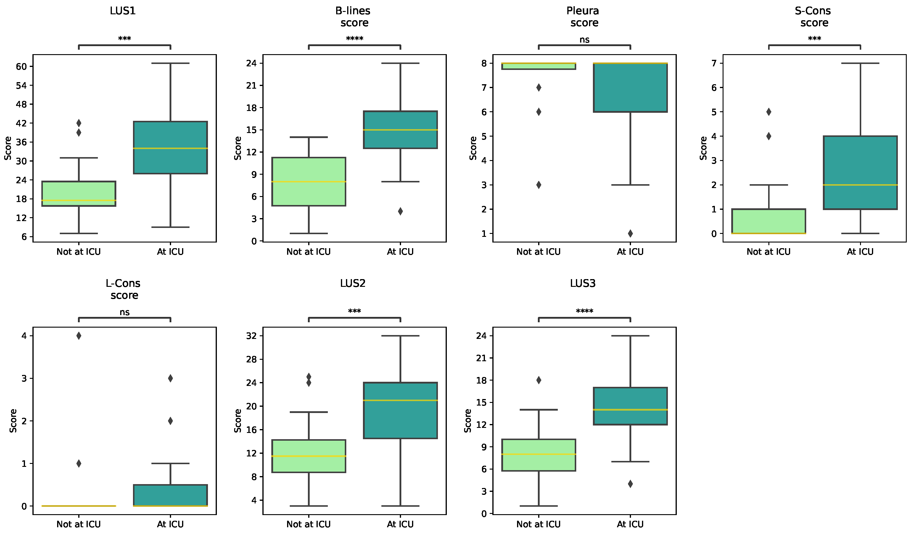
3.1. Lung Ultrasound Scoring Systems
3.2. Laboratory Parameters
3.3. Combination of Lung Ultrasound, Venous Blood Tests, and Blood Gas Analysis
4. Discussion
4.1. Lung Ultrasound Scoring Systems
4.2. Prediction of Intensive Care Unit Admission
4.2.1. Comparison Between the Different Medical Exams
4.2.2. Comparison Between the Combination of the Different Medical Exams
5. Conclusions
Author Contributions
Funding
Institutional Review Board Statement
Informed Consent Statement
Data Availability Statement
Conflicts of Interest
Appendix A
Appendix A.1. Laboratory Parameters

Appendix A.2. Web App
Appendix A.2.1. Illustrative Example

Appendix A.3. ROC Curves of All Models

References
- Leote, J.; Judas, T.; Broa, A.L.; Lopes, M.; Abecasis, F.; Pintassilgo, I.; Gonçalves, A.; Gonzalez, F. Time course of lung ultrasound findings in patients with COVID-19 pneumonia and cardiac dysfunction. Ultrasound J. 2022, 14, 28. [Google Scholar] [CrossRef]
- Tzotzos, S.J.; Fischer, B.; Fischer, H.; Zeitlinger, M. Incidence of ARDS and outcomes in hospitalized patients with COVID-19: A global literature survey. Crit. Care 2020, 24, 516. [Google Scholar] [CrossRef] [PubMed]
- Fujishima, S. Guideline-based management of acute respiratory failure and acute respiratory distress syndrome. J. Intensive Care 2023, 11, 10. [Google Scholar] [CrossRef]
- Bos, L.D.J.; de Grooth, H.J.; Tuinman, P.R. A structured diagnostic algorithm for patients with ARDS. Crit. Care 2023, 27, 94. [Google Scholar] [CrossRef] [PubMed]
- Bellani, G.; Laffey, J.G.; Pham, T.; Fan, E.; Brochard, L.; Esteban, A.; Gattinoni, L.; Van Haren, F.M.; Larsson, A.; McAuley, D.F.; et al. Epidemiology, Patterns of Care, and Mortality for Patients with Acute Respiratory Distress Syndrome in Intensive Care Units in 50 Countries. JAMA 2016, 315, 788–800. [Google Scholar] [CrossRef] [PubMed]
- Liang, W.; Liang, H.; Ou, L.; Chen, B.; Chen, A.; Li, C.; Li, Y.; Guan, W.; Sang, L.; Lu, J.; et al. Development and Validation of a Clinical Risk Score to Predict the Occurrence of Critical Illness in Hospitalized Patients With COVID-19. JAMA Intern. Med. 2020, 180, 1081–1089. [Google Scholar] [CrossRef] [PubMed]
- Boero, E.; Rovida, S.; Schreiber, A.; Berchialla, P.; Charrier, L.; Cravino, M.M.; Converso, M.; Gollini, P.; Puppo, M.; Gravina, A.; et al. The COVID-19 Worsening Score (COWS)—A predictive bedside tool for critical illness. Echocardiography 2021, 38, 207. [Google Scholar] [CrossRef]
- Wimalasena, Y.; Kocierz, L.; Strong, D.; Watterson, J.; Burns, B. Lung ultrasound: A useful tool in the assessment of the dyspnoeic patient in the emergency department. Fact or fiction? Emerg. Med. J. 2018, 35, 258–266. [Google Scholar] [CrossRef] [PubMed]
- de Alencar, J.C.G.; Marchini, J.F.M.; Marino, L.O.; da Costa Ribeiro, S.C.; Bueno, C.G.; da Cunha, V.P.; Lazar Neto, F.; Brandão Neto, R.A.; Souza, H.P.; Valente, F.S.; et al. Lung ultrasound score predicts outcomes in COVID-19 patients admitted to the emergency department. Ann. Intensive Care 2021, 11, 6. [Google Scholar] [CrossRef] [PubMed]
- Trias-Sabrià, P.; Molina-Molina, M.; Aso, S.; Argudo, M.H.; Diez-Ferrer, M.; Sabater, J.; Dorca, J.; Santos, S.; Suarez-Cuartin, G. Lung Ultrasound Score to Predict Outcomes in COVID-19. Respir. Care 2021, 66, 1263–1270. [Google Scholar] [CrossRef]
- Skaarup, S.H.; Aagaard, R.; Ovesen, S.H.; Kirkegaard, J.W.H.; Espersen, C.; Lassen, M.C.H.; Skaarup, K.G.; Posth, S.; Laursen, C.B.; Bock, A.; et al. Focused lung ultrasound to predict respiratory failure in patients with symptoms of COVID-19: A multicentre prospective cohort study. ERJ Open Res. 2022, 8, 00128-2022. [Google Scholar] [CrossRef] [PubMed]
- Stecher, S.S.; Anton, S.; Fraccaroli, A.; Götschke, J.; Stemmler, H.J.; Barnikel, M. Lung ultrasound predicts clinical course but not outcome in COVID-19 ICU patients: A retrospective single-center analysis. BMC Anesthesiol. 2021, 21, 178. [Google Scholar] [CrossRef] [PubMed]
- Ji, L.; Cao, C.; Gao, Y.; Zhang, W.; Xie, Y.; Duan, Y.; Kong, S.; You, M.; Ma, R.; Jiang, L.; et al. Prognostic value of bedside lung ultrasound score in patients with COVID-19. Crit. Care 2020, 24, 700. [Google Scholar] [CrossRef] [PubMed]
- Dargent, A.; Chatelain, E.; Kreitmann, L.; Quenot, J.P.; Cour, M.; Argaud, L.; Antoine, M.; Baudry, T.; Bertrand, P.J.; Bougnaud, J.; et al. Lung ultrasound score to monitor COVID-19 pneumonia progression in patients with ARDS. PLoS ONE 2020, 15, e0236312. [Google Scholar] [CrossRef] [PubMed]
- Saadatmand, S.; Salimifard, K.; Mohammadi, R.; Kuiper, A.; Marzban, M.; Farhadi, A. Using machine learning in prediction of ICU admission, mortality, and length of stay in the early stage of admission of COVID-19 patients. Ann. Oper. Res. 2023, 328, 1043–1071. [Google Scholar] [CrossRef] [PubMed]
- Altini, N.; Brunetti, A.; Mazzoleni, S.; Moncelli, F.; Zagaria, I.; Prencipe, B.; Lorusso, E.; Buonamico, E.; Carpagnano, G.E.; Bavaro, D.F.; et al. Predictive machine learning models and survival analysis for covid-19 prognosis based on hematochemical parameters. Sensors 2021, 21, 8503. [Google Scholar] [CrossRef] [PubMed]
- Podder, P.; Mondal, M.R.H. Machine learning to predict COVID-19 and ICU requirement. In Proceedings of the 2020 11th International Conference on Electrical and Computer Engineering, ICECE 2020, Dhaka, Bangladesh, 17–19 December 2020; pp. 483–486. [Google Scholar] [CrossRef]
- Aznar-Gimeno, R.; Esteban, L.M.; Labata-Lezaun, G.; Del-Hoyo-alonso, R.; Abadia-Gallego, D.; Paño-Pardo, J.R.; Esquillor-Rodrigo, M.J.; Lanas, Á.; Serrano, M.T. A Clinical Decision Web to Predict ICU Admission or Death for Patients Hospitalised with COVID-19 Using Machine Learning Algorithms. Int. J. Environ. Res. Public Health 2021, 18, 8677. [Google Scholar] [CrossRef] [PubMed]
- Wu, J.; Chen, X.Y.; Zhang, H.; Xiong, L.D.; Lei, H.; Deng, S.H. Hyperparameter Optimization for Machine Learning Models Based on Bayesian Optimization. J. Electron. Sci. Technol. 2019, 17, 26–40. [Google Scholar] [CrossRef]





| LUS1 | |||||||||
|---|---|---|---|---|---|---|---|---|---|
| Pleura | B-lines | Consolidations | Total | ||||||
| Normal | Irregular | 0 | 1–3 | 4–7 | confluent | 0 | Sum of | ||
| B-lines | B-lines | B-lines | B-lines | Consolidations | S-Cons | L-Cons | All | ||
| 0 | 1 | 0 | 1 | 2 | 3 | 0 | 4 | 5 | Scores |
| LUS2 | |||||||||
| Pleura | B-lines and Consolidations | Total | |||||||
| Normal | Irregular | B-lines | B-lines | confluent B-lines | consolidation | Sum of | |||
| 0 | 1 | 0 | 1 | 2 | 3 | All Scores | |||
| LUS3 | |||||||||
| Pleura, B-lines, and Consolidations | Total | ||||||||
| Normal | B-lines | confluent B-lines | consolidation + normal pleura | consolidation + normal pleura | Sum of | ||||
| 0 | 1 | 2 | 2 | 3 | All Scores | ||||
| LUF | |||||||||
| Pleura Score | B-lines Score | S-Cons Score | L-Cons Score | ||||||
| Normal | Irregular | No B-lines | 1–3 B-lines | 4–7 B-lines | confluent | No | No | ||
| B-lines | S-Cons | S-Cons | L-Cons | L-Cons | |||||
| 0 | 1 | 0 | 1 | 2 | 3 | 0 | 1 | 0 | 1 |
| Features | Acc | Sensitivity | Specificity | PPV | NPV | AUC |
|---|---|---|---|---|---|---|
| LUS1 | 76.5 | 83.9 | 65.0 | 78.8 | 72.2 | 76.6 |
| LUS2 | 74.5 | 80.6 | 65.0 | 78.1 | 68.4 | 68.0 |
| LUS3 | 76.5 | 83.9 | 65.0 | 78.8 | 72.2 | 71.0 |
| B-lines | 78.4 | 83.9 | 70.0 | 81.2 | 73.7 | 85.3 |
| Pleura | 58.8 | 96.8 | 0.0 | 60.0 | 0.0 | 24.0 |
| S-Cons | 64.7 | 83.9 | 35.0 | 66.7 | 58.3 | 64.0 |
| L-Cons | 58.8 | 96.8 | 0.0 | 60.0 | 0.0 | 26.3 |
| B-Lines + Pleura | 78.4 | 87.1 | 65.0 | 79.4 | 76.5 | 87.4 |
| B-lines + S-Cons | 78.4 | 87.1 | 65.0 | 79.4 | 76.5 | 82.3 |
| B-lines + L-Cons | 74.5 | 83.9 | 60.0 | 76.5 | 70.6 | 80.2 |
| Pleura + S-Cons | 78.4 | 83.9 | 70.0 | 81.2 | 73.7 | 74.8 |
| Pleura + L-Cons | 60.8 | 100.0 | 0.0 | 60.8 | 0.0 | 33.0 |
| S-Cons + L-Cons | 72.5 | 87.1 | 50.0 | 73.0 | 71.4 | 67.4 |
| B-Lines + Pleura + S-Cons | 86.3 | 93.5 | 75.0 | 85.3 | 88.2 | 89.2 |
| B-lines + Pleura + L-Cons | 74.5 | 90.3 | 50.0 | 73.7 | 76.9 | 87.9 |
| B-lines + S-Cons + L-Cons | 76.5 | 87.1 | 60.0 | 77.1 | 75.0 | 84.0 |
| Pleura + S-Cons + L-Cons | 80.4 | 93.5 | 60.0 | 78.4 | 85.7 | 75.9 |
| B-Lines + Pleura + S-Cons + L-Cons | 82.4 | 90.3 | 70.0 | 82.4 | 82.4 | 86.9 |
| Features | Acc | Sensitivity | Specificity | PPV | NPV | AUC |
|---|---|---|---|---|---|---|
| Venous Blood Tests | ||||||
| Lymphocytes | 56.9 | 90.3 | 5.0 | 59.6 | 25.0 | 39.7 |
| CRP | 64.7 | 90.3 | 25.0 | 65.1 | 62.5 | 55.0 |
| Urea | 52.9 | 83.9 | 5.0 | 57.8 | 16.7 | 33.1 |
| Lymphocytes + CRP | 68.6 | 87.1 | 40.0 | 69.2 | 66.7 | 75.5 |
| Lymphocytes + Urea | 51.0 | 83.9 | 0.0 | 56.5 | 0.0 | 35.6 |
| CRP + Urea | 64.7 | 80.6 | 40.0 | 67.6 | 57.1 | 68.1 |
| Lymphocytes + CRP + Urea | 51.0 | 83.9 | 0.0 | 56.5 | 0.0 | 49.1 |
| Blood Gas Analysis | ||||||
| P/F | 86.3 | 90.3 | 80.0 | 87.5 | 84.2 | 89.7 |
| Features | Acc | Sensitivity | Specificity | PPV | NPV | AUC |
|---|---|---|---|---|---|---|
| Blood Gas Analysis + Venous Blood Tests | ||||||
| Lymphocytes + CRP + P/F | 82.4 | 90.3 | 70.0 | 82.4 | 82.4 | 90.8 |
| CRP + Urea + P/F | 84.3 | 90.3 | 75.0 | 84.8 | 83.3 | 90.6 |
| Lymphocytes + CRP + Urea + P/F | 82.4 | 90.3 | 70.0 | 82.4 | 82.4 | 90.3 |
| Lymphocytes + Urea + P/F | 92.2 | 93.5 | 90.0 | 93.5 | 90.0 | 88.4 |
| Lymphocytes + P/F | 88.2 | 90.3 | 85.0 | 90.3 | 85.0 | 87.4 |
| Lung Ultrasound + Venous Blood Tests | ||||||
| B-lines + Pleura + S-Cons + Lymphocytes + CRP + Urea | 88.2 | 90.3 | 85.0 | 90.3 | 85.0 | 93.1 |
| B-lines + Pleura + S-Cons + L-Cons + Lymphocytes + Urea | 88.2 | 90.3 | 85.0 | 90.3 | 85.0 | 92.9 |
| B-lines + Pleura + Lymphocytes + CRP + Urea | 86.3 | 90.3 | 80.0 | 87.5 | 84.2 | 92.4 |
| B-lines + Pleura + Lymphocytes + CRP | 86.3 | 90.3 | 80.0 | 87.5 | 84.2 | 91.8 |
| B-lines + Pleura + S-Cons + Lymphocytes | 88.2 | 90.3 | 85.0 | 90.3 | 85.0 | 90.8 |
| Blood Gas Analysis + Lung Ultrasound | ||||||
| B-lines + Pleura + S-Cons + P/F | 88.2 | 90.3 | 85.0 | 90.3 | 85.0 | 95.6 |
| B-lines + Pleura + L-Cons + P/F | 88.2 | 87.1 | 90.0 | 93.1 | 81.8 | 95.0 |
| B-lines + P/F | 86.3 | 90.3 | 80.0 | 87.5 | 84.2 | 94.0 |
| B-lines + S-Cons + P/F | 88.2 | 90.3 | 85.0 | 90.3 | 85.0 | 94.0 |
| B-lines + Pleura + P/F | 86.3 | 96.8 | 70.0 | 83.3 | 93.3 | 92.6 |
| Blood Gas Analysis + Lung Ultrasound + Venous Blood Tests | ||||||
| B-lines + Pleura + S-Cons + Lymphocytes + CRP + Urea + P/F | 90.2 | 93.5 | 85.0 | 90.6 | 89.5 | 96.5 |
| B-lines + L-Cons + Lymphocytes + CRP + Urea + P/F | 90.2 | 93.5 | 85.0 | 90.6 | 89.5 | 95.6 |
| B-lines + L-Cons + Lymphocytes + Urea + P/F | 94.1 | 96.8 | 90.0 | 93.8 | 94.7 | 95.6 |
| B-lines + Pleura + L-Cons + Lymphocytes + Urea + P/F | 90.2 | 93.5 | 85.0 | 90.6 | 89.5 | 95.5 |
| Pleura + Lymphocytes + CRP + Urea + P/F | 88.2 | 93.5 | 80.0 | 87.9 | 88.9 | 91.8 |
Disclaimer/Publisher’s Note: The statements, opinions and data contained in all publications are solely those of the individual author(s) and contributor(s) and not of MDPI and/or the editor(s). MDPI and/or the editor(s) disclaim responsibility for any injury to people or property resulting from any ideas, methods, instructions or products referred to in the content. |
© 2025 by the authors. Licensee MDPI, Basel, Switzerland. This article is an open access article distributed under the terms and conditions of the Creative Commons Attribution (CC BY) license (https://creativecommons.org/licenses/by/4.0/).
Share and Cite
Oliveira-Saraiva, D.; Leote, J.; Gonzalez, F.A.; Garcia, N.C.; Ferreira, H.A. We Need to Talk About Lung Ultrasound Score: Prediction of Intensive Care Unit Admission with Machine Learning. J. Imaging 2025, 11, 45. https://doi.org/10.3390/jimaging11020045
Oliveira-Saraiva D, Leote J, Gonzalez FA, Garcia NC, Ferreira HA. We Need to Talk About Lung Ultrasound Score: Prediction of Intensive Care Unit Admission with Machine Learning. Journal of Imaging. 2025; 11(2):45. https://doi.org/10.3390/jimaging11020045
Chicago/Turabian StyleOliveira-Saraiva, Duarte, João Leote, Filipe André Gonzalez, Nuno Cruz Garcia, and Hugo Alexandre Ferreira. 2025. "We Need to Talk About Lung Ultrasound Score: Prediction of Intensive Care Unit Admission with Machine Learning" Journal of Imaging 11, no. 2: 45. https://doi.org/10.3390/jimaging11020045
APA StyleOliveira-Saraiva, D., Leote, J., Gonzalez, F. A., Garcia, N. C., & Ferreira, H. A. (2025). We Need to Talk About Lung Ultrasound Score: Prediction of Intensive Care Unit Admission with Machine Learning. Journal of Imaging, 11(2), 45. https://doi.org/10.3390/jimaging11020045

