Advancements and Challenges in Handwritten Text Recognition: A Comprehensive Survey
Abstract
1. Introduction
1.1. Purpose and Contributions
1.2. Selection Methodology
2. Literature Review
2.1. State-of-the-Art Recent Surveys
2.2. Handwritten Text Recognition Workflow
2.2.1. Image Digitization
2.2.2. Pre-Processing
- Binarization: This process involves converting digital images into binary images consisting of dual collections of pixels in black and white (0 and 1). Binarization is valuable for segmenting the image into foreground text and background.
- Noise removal: This process involves eliminating unwanted pixels from the digitized image that can affect the original information. This noise may originate from the image sensor and electronic components of a scanner or digital camera. Various methods have been proposed for noise removal or reduction, such as Non-local means [32] and Anisotropic diffusion [33], as well as filters like Gaussian, Mean, and Median filters.
- Edges detection: This process involves identifying the edges of the text within the digitized image using various methods such as Sobel, Laplacian, Canny, and Prewitt edge detection.
- Skew detection and correction: Skew refers to the misalignment of text within a digital image. In other words, it indicates the amount of rotation needed to align the text horizontally or vertically. Various methods for skew detection and correction have been proposed to address this objective, such as Hough transforms and clustering.
- Normalization: This process involves reducing the shape and size variation of digital images. Additionally, it scales the input image features to a fixed range (e.g., between 0 and 1), while maintaining the relationship between these features. This process plays a valuable role in the training stage of deep learning models.
2.2.3. Segmentation
2.2.4. Feature Extraction
2.2.5. Classification
2.2.6. Post-Processing
2.3. Advancements in Handwritten Text Recognition: A State-of-the-Art Overview
| Reference | Architecture | Dataset | HTR Level |
|---|---|---|---|
| [64] | Grapheme-based MLP-HMM + Gaussian Mixture HMM + MDLSTM-RNN | RIMES | Word and multi-word level |
| [68] | Decoupled Attention Network (DAN) | IAM and RIMES | Word level |
| [72] | Deep Convolutional Network + Recurrent Encoder-Decoder Network | IAM and RIMES | Word level |
| [65] | MDLSTM + RNN + CTC | IAM and RIMES | Line level |
| [74] | CNN + 1D-LSTM + CTC | IAM and RIMES | Line level |
| [66] | MDLSTM + Covolution Layers + FCN + CTC | IAM, RIMES 2011 and OpenHaRT | Line level |
| [91] | MDLSTM + CTC | IAM, RIMES and OpenHaRT | Line level |
| [67] | Attention-based RNN + LSTM | RIMES | Line level |
| [73] | CNN + BLSTM + S2S + CTC | IAM, RIMES and StAZH | Line level |
| [75] | Gated-CRNN | IAM and RIMES | Paragraph level |
| [80] | Transformer joint | ICDAR 2017 Esposalles and FHMR | Paragraph level |
| [78] | Simple Predict & Align Network (SPAN) | RIMES, IAM and READ 2016 | Paragraph level |
| [79] | Vertical Attention Network (VAN) | RIMES, IAM and READ 2016 | Paragraph level |
| [83,84] | Document Attention Network (DAN) | RIMES 2009 and READ 2016 | Page level |
2.4. Commercial Systems in Handwritten Text Recognition
3. Datasets
3.1. IAM
3.2. Washington
3.3. Saint Gall
3.4. Bentham
3.5. KHATT
3.6. EPARCHOS
3.7. READ
3.8. Esposalles
3.9. StAZH
3.10. MAURDOR
3.11. RIMES
3.12. e-NDP
3.13. HOME-Alcar
3.14. HIMANIS Guérin
3.15. FHMR
3.16. ICDAR and ICFHR Competitions
3.17. HTR-United
3.18. The Belfort Civil Registers of Births
3.18.1. Belfort Records Transcription Challenges
- Document layout: The Belfort registers of birth exhibit two document layouts. The first type consists of double pages with only one entire entry on each page, while the second type comprises double pages with two entire entries per page. Each entry within these layouts contains the information outlined in Table 9. However, there are some documents where entries begin on the first page and extend to the second page.
- Reading order: It is important to identify the reading order of text regions, including the main text and marginal annotation text within the entry.
- Hybrid format: Some of the registers consists of entries that includes printed and handwritten text, as shown in Figure 4.
- Marginal mentions: These mentions pertain to the individual born but are added after the birth, often in different writing styles and by means of scriptural tools that can be quite distinct. Moreover, they are placed in variable positions compared to the main text of the declaration.
- Text styles: The registers are written in different handwritten styles that consist of angular, spiky letters, varying character sizes, and ornate flourishes, resulting in overlapped word and text lines within the script.
- Skewness: Skewness refers to the misalignment of handwritten text caused by human writing. Many handwritten text lines in the main paragraphs and margins exhibit variations in text skew, including vertical text (90 degrees of rotation). Effective processes are needed to correct the skewness of the images for any degree of rotation.
- Degradation: The images exhibit text degradation caused by fading handwriting and page smudging (ink stains and yellowing of pages).
4. Results
4.1. Evaluation Metrics
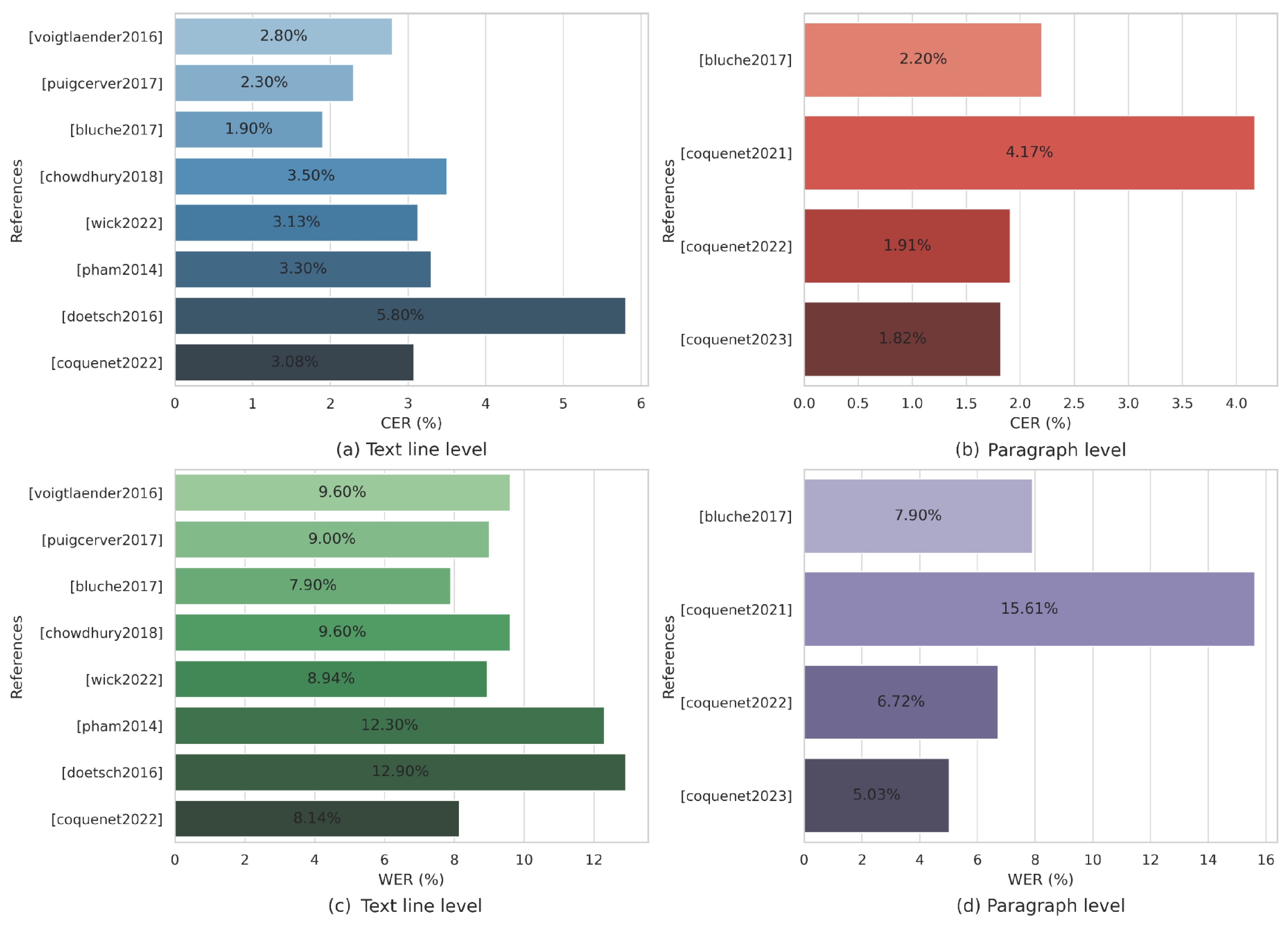
4.2. Advances in Model Performance: State-of-the-Art Results
State-of-the-Art Techniques Limitations
4.3. Commercial HTR Systems
5. Discussion
6. Suggestions for Future Directions
- Pre-processing: Developing an effective approach based on machine learning techniques for historical text skew detection and correction, text degradation, and document layout analysis could highly improve the recognition accuracy of the models.
- Segmentation: Implement an additional process after the segmentation stage to refine the segments and preserve the shape of historical handwritten text.
- Classification models: Combining various classifiers to handle the recognition of hybrid-form documents, in other words, documents that include printed and historical handwritten text. This also involves utilizing different optimizers within the model to improve the accuracy rate.
- Post-processing: Extend the existing post-processing techniques to capture semantic relationships between words and reduce errors by excluding less reliable predictions.
7. Conclusions
Author Contributions
Funding
Institutional Review Board Statement
Informed Consent Statement
Data Availability Statement
Conflicts of Interest
Abbreviations
| DL | Deep Learning |
| HTR | Handwritten Text Recognition |
| OCR | Optical Character Recognition |
| HMM | Hidden Markov Model |
| CNN | Convolutional Neural Networks |
| FCN | Fully Convolutional Network |
| RNN | Recurrent Neural Networks |
| CRNN | Convolutional Recurrent Neural Networks |
| BGRU | Bidirectional Gated Recurrent Units |
| LSTM | Long Short Term Memory |
| MDLSTM | Multi Dimensional Long Short Term Memory |
| BLSTM | Bidirectional Long Short Term Memory |
| S2S | Sequence-To-Sequence |
| CTC | Connectionist Temporal Classification |
| GPU | Graphics Processing Unit |
| LOER | Layout Ordering Error Rate |
| mAPCER | mean Average Precision Character Error Rate |
| mAP | mean Average Precision |
| CER | Character Error Rate |
| WER | Word Error Rate |
| XML | Extensible Markup Language |
| MLP | Multi-Layer Perceptron |
References
- Fontanella, F.; Colace, F.; Molinara, M.; Di Freca, A.S.; Stanco, F. Pattern recognition and artificial intelligence techniques for cultural heritage. Pattern Recognit. Lett. 2020, 138, 23–29. [Google Scholar] [CrossRef]
- Kamalanaban, E.; Gopinath, M.; Premkumar, S. Medicine box: Doctor’s prescription recognition using deep machine learning. Int. J. Eng. Technol. (UAE) 2018, 7, 114–117. [Google Scholar] [CrossRef]
- Bezerra, B.L.D.; Zanchettin, C.; Toselli, A.H.; Pirlo, G. Handwriting: Recognition, Development and Analysis; Nova Science Publishers, Inc.: Hauppauge, NY, USA, 2017. [Google Scholar]
- Lu, Z.; Schwartz, R.; Natarajan, P.; Bazzi, I.; Makhoul, J. Advances in the bbn byblos ocr system. In Proceedings of the Fifth International Conference on Document Analysis and Recognition. ICDAR’99 (Cat. No. PR00318), Bangalore, India, 22–22 September 1999; IEEE: Piscataway, NJ, USA, 1999; pp. 337–340. [Google Scholar]
- Schantz, H.F. History of OCR, Optical Character Recognition; Recognition Technologies Users Association: Manchester, VT, USA, 1982. [Google Scholar]
- Saritha, B.; Hemanth, S. An efficient hidden markov model for offline handwritten numeral recognition. arXiv 2010, arXiv:1001.5334. [Google Scholar]
- Rodríguez-Serrano, J.A.; Perronnin, F. A model-based sequence similarity with application to handwritten word spotting. IEEE Trans. Pattern Anal. Mach. Intell. 2012, 34, 2108–2120. [Google Scholar] [CrossRef] [PubMed]
- Sánchez, J.A.; Romero, V.; Toselli, A.H.; Villegas, M.; Vidal, E. A set of benchmarks for handwritten text recognition on historical documents. Pattern Recognit. 2019, 94, 122–134. [Google Scholar] [CrossRef]
- Schuster-Böckler, B.; Bateman, A. An introduction to hidden Markov models. Curr. Protoc. Bioinform. 2007, 18, A.3A.1–A.3A.9. [Google Scholar] [CrossRef] [PubMed]
- Toselli, A.H.; Juan, A.; González, J.; Salvador, I.; Vidal, E.; Casacuberta, F.; Keysers, D.; Ney, H. Integrated handwriting recognition and interpretation using finite-state models. Int. J. Pattern Recognit. Artif. Intell. 2004, 18, 519–539. [Google Scholar] [CrossRef]
- Guo, Q.; Wang, F.; Lei, J.; Tu, D.; Li, G. Convolutional feature learning and Hybrid CNN-HMM for scene number recognition. Neurocomputing 2016, 184, 78–90. [Google Scholar] [CrossRef]
- Cheikhrouhou, A.; Kessentini, Y.; Kanoun, S. Hybrid HMM/BLSTM system for multi-script keyword spotting in printed and handwritten documents with identification stage. Neural Comput. Appl. 2020, 32, 9201–9215. [Google Scholar] [CrossRef]
- Wu, J. Introduction to Convolutional Neural Networks; National Key Lab for Novel Software Technology, Nanjing University: Nanjing, China, 2017; Volume 5, p. 495. [Google Scholar]
- Sherstinsky, A. Fundamentals of recurrent neural network (RNN) and long short-term memory (LSTM) network. Phys. D Nonlinear Phenom. 2020, 404, 132306. [Google Scholar] [CrossRef]
- Markou, K.; Tsochatzidis, L.; Zagoris, K.; Papazoglou, A.; Karagiannis, X.; Symeonidis, S.; Pratikakis, I. A convolutional recurrent neural network for the handwritten text recognition of historical Greek manuscripts. In Proceedings of the Pattern Recognition. ICPR International Workshops and Challenges, Virtual Event, 10–15 January 2021; Proceedings, Part VII. Springer: Berlin, Germany, 2021; pp. 249–262. [Google Scholar]
- de Sousa Neto, A.F.; Bezerra, B.L.D.; Toselli, A.H.; Lima, E.B. HTR-Flor: A deep learning system for offline handwritten text recognition. In Proceedings of the 2020 33rd SIBGRAPI Conference on Graphics, Patterns and Images (SIBGRAPI), Porto de Galinhas, Brazil, 7–10 November 2020; IEEE: Piscataway, NJ, USA, 2020; pp. 54–61. [Google Scholar]
- Zayene, O.; Touj, S.M.; Hennebert, J.; Ingold, R.; Ben Amara, N.E. Multi-dimensional long short-term memory networks for artificial Arabic text recognition in news video. IET Comput. Vis. 2018, 12, 710–719. [Google Scholar] [CrossRef]
- Memon, J.; Sami, M.; Khan, R.A.; Uddin, M. Handwritten optical character recognition (OCR): A comprehensive systematic literature review (SLR). IEEE Access 2020, 8, 142642–142668. [Google Scholar] [CrossRef]
- Purohit, A.; Chauhan, S.S. A literature survey on handwritten character recognition. Int. J. Comput. Sci. Inf. Technol. (IJCSIT) 2016, 7, 1–5. [Google Scholar]
- Singh, L.; Sandhu, J.K.; Sahu, R. A Literature Survey on Handwritten Character Recognition. In Proceedings of the 2023 International Conference on Circuit Power and Computing Technologies (ICCPCT), Kollam, India, 10–11 August 2023; IEEE: Piscataway, NJ, USA, 2023; pp. 1755–1760. [Google Scholar]
- Narang, S.R.; Jindal, M.K.; Kumar, M. Ancient text recognition: A review. Artif. Intell. Rev. 2020, 53, 5517–5558. [Google Scholar] [CrossRef]
- Dhivya, S.; Devi, U.G. Study on automated approach to recognize characters for handwritten and historical document. ACM Trans. Asian Low Resour. Lang. Inf. Process. 2021, 20. [Google Scholar]
- Faizullah, S.; Ayub, M.S.; Hussain, S.; Khan, M.A. A Survey of OCR in Arabic Language: Applications, Techniques, and Challenges. Appl. Sci. 2023, 13, 4584. [Google Scholar] [CrossRef]
- Ehrmann, M.; Hamdi, A.; Pontes, E.L.; Romanello, M.; Doucet, A. Named entity recognition and classification in historical documents: A survey. ACM Comput. Surv. 2023, 56, 1–47. [Google Scholar] [CrossRef]
- Maarand, M.; Beyer, Y.; Kåsen, A.; Fosseide, K.T.; Kermorvant, C. A comprehensive comparison of open-source libraries for handwritten text recognition in norwegian. In Proceedings of the International Workshop on Document Analysis Systems, La Rochelle, France, 22–25 May 2022; Springer: Berlin, Germany, 2022; pp. 399–413. [Google Scholar]
- Nikolaidou, K.; Seuret, M.; Mokayed, H.; Liwicki, M. A survey of historical document image datasets. Int. J. Doc. Anal. Recognit. (IJDAR) 2022, 25, 305–338. [Google Scholar] [CrossRef]
- Hussain, R.; Raza, A.; Siddiqi, I.; Khurshid, K.; Djeddi, C. A comprehensive survey of handwritten document benchmarks: Structure, usage and evaluation. EURASIP J. Image Video Process. 2015, 2015, 1–24. [Google Scholar] [CrossRef]
- Philips, J.; Tabrizi, N. Historical Document Processing: A Survey of Techniques, Tools, and Trends. In Proceedings of the 12th International Joint Conference on Knowledge Discovery, Knowledge Engineering and Knowledge Management (IC3K 2020), Virtual Event, 2–4 November 2020; pp. 341–349. [Google Scholar]
- El Qacimy, B.; Hammouch, A.; Kerroum, M.A. A review of feature extraction techniques for handwritten Arabic text recognition. In Proceedings of the 2015 International Conference on Electrical and Information Technologies (ICEIT), Marrakech, Morocco, 25–27 March 2015; IEEE: Piscataway, NJ, USA, 2015; pp. 241–245. [Google Scholar]
- Binmakhashen, G.M.; Mahmoud, S.A. Document layout analysis: A comprehensive survey. ACM Comput. Surv. (CSUR) 2019, 52, 1–36. [Google Scholar] [CrossRef]
- Srivastva, R.; Raj, A.; Patnaik, T.; Kumar, B. A survey on techniques of separation of machine printed text and handwritten text. Int. J. Eng. Adv. Technol. 2013, 2, 552–555. [Google Scholar]
- Buades, A.; Coll, B.; Morel, J.M. A non-local algorithm for image denoising. In Proceedings of the 2005 IEEE Computer Society Conference on Computer Vision and Pattern Recognition (CVPR’05), San Diego, CA, USA, 20–25 June 2005; IEEE: Piscataway, NJ, USA, 2005; Volume 2, pp. 60–65. [Google Scholar]
- Perona, P.; Malik, J. Scale-space and edge detection using anisotropic diffusion. IEEE Trans. Pattern Anal. Mach. Intell. 1990, 12, 629–639. [Google Scholar] [CrossRef]
- Abliz, A.; Simayi, W.; Moydin, K.; Hamdulla, A. A survey on methods for basic unit segmentation in off-line handwritten text recognition. Int. J. Future Gener. Commun. Netw. 2016, 9, 137–152. [Google Scholar] [CrossRef]
- Naik, G.R.; Kumar, D.K. An overview of independent component analysis and its applications. Informatica 2011, 35, 63–81. [Google Scholar]
- Qu, X.; Swanson, R.; Day, R.; Tsai, J. A guide to template based structure prediction. Curr. Protein Pept. Sci. 2009, 10, 270–285. [Google Scholar] [CrossRef] [PubMed]
- Hazza, A.; Shoaib, M.; Alshebeili, S.A.; Fahad, A. An overview of feature-based methods for digital modulation classification. In Proceedings of the 2013 1st International Conference on Communications, Signal Processing, and Their Applications (ICCSPA), Sharjah, United Arab Emirates, 12–14 February 2013; IEEE: Piscataway, NJ, USA, 2013; pp. 1–6. [Google Scholar]
- Balaha, H.M.; Ali, H.A.; Saraya, M.; Badawy, M. A new Arabic handwritten character recognition deep learning system (AHCR-DLS). Neural Comput. Appl. 2021, 33, 6325–6367. [Google Scholar] [CrossRef]
- Das, N.; Sarkar, R.; Basu, S.; Kundu, M.; Nasipuri, M.; Basu, D.K. A Genetic Algorithm Based Region Sampling for Selection of Local Features in Handwritten Digit Recognition Application. Appl. Soft Comput. 2012, 12, 1592–1606. [Google Scholar] [CrossRef]
- Das, N.; Reddy, J.M.; Sarkar, R.; Basu, S.; Kundu, M.; Nasipuri, M.; Basu, D.K. A Statistical-topological Feature Combination for Recognition of Handwritten Numerals. Appl. Soft Comput. 2012, 12, 2486–2495. [Google Scholar] [CrossRef]
- Torki, M.; Hussein, M.E.; Elsallamy, A.; Fayyaz, M.; Yaser, S. Window-based descriptors for Arabic handwritten alphabet recognition: A comparative study on a novel dataset. arXiv 2014, arXiv:1411.3519. [Google Scholar]
- Momeni, S.; Babaali, B. Arabic Offline Handwritten Text Recognition with Transformers. Available online: https://www.researchsquare.com/article/rs-2300065/v1 (accessed on 1 January 2024). [CrossRef]
- Mahmoud, S.A.; Ahmad, I.; Alshayeb, M.; Al-Khatib, W.G.; Parvez, M.T.; Fink, G.A.; Märgner, V.; El Abed, H. Khatt: Arabic offline handwritten text database. In Proceedings of the 2012 International Conference on Frontiers in Handwriting Recognition, Bari, Italy, 18–20 September 2012; IEEE: Piscataway, NJ, USA, 2012; pp. 449–454. [Google Scholar]
- Mahmoud, S.A.; Ahmad, I.; Al-Khatib, W.G.; Alshayeb, M.; Parvez, M.T.; Märgner, V.; Fink, G.A. KHATT: An open Arabic offline handwritten text database. Pattern Recognit. 2014, 47, 1096–1112. [Google Scholar] [CrossRef]
- Ahmad, R.; Naz, S.; Afzal, M.Z.; Rashid, S.F.; Liwicki, M.; Dengel, A. Khatt: A deep learning benchmark on arabic script. In Proceedings of the 2017 14th IAPR International Conference on Document Analysis and Recognition (ICDAR), Kyoto, Japan, 9–15 November 2017; IEEE: Piscataway, NJ, USA, 2017; Volume 7, pp. 10–14. [Google Scholar]
- Barrere, K.; Soullard, Y.; Lemaitre, A.; Coüasnon, B. A light transformer-based architecture for handwritten text recognition. In Proceedings of the Document Analysis Systems: 15th IAPR International Workshop, DAS 2022, La Rochelle, France, 22–25 May 2022; Springer: Berlin, Germany, 2022; pp. 275–290. [Google Scholar]
- Li, M.; Lv, T.; Chen, J.; Cui, L.; Lu, Y.; Florencio, D.; Zhang, C.; Li, Z.; Wei, F. Trocr: Transformer-based optical character recognition with pre-trained models. arXiv 2021, arXiv:2109.10282. [Google Scholar] [CrossRef]
- Parvez, M.T.; Mahmoud, S.A. Offline Arabic handwritten text recognition: A survey. ACM Comput. Surv. (CSUR) 2013, 45, 1–35. [Google Scholar] [CrossRef]
- Jannoud, I.A. Automatic Arabic handwritten text recognition system. Am. J. Appl. Sci. 2007, 4, 857–864. [Google Scholar]
- Alrobah, N.; Albahli, S. Arabic handwritten recognition using deep learning: A Survey. Arab. J. Sci. Eng. 2022, 47, 9943–9963. [Google Scholar] [CrossRef]
- Balaha, H.M.; Ali, H.A.; Youssef, E.K.; Elsayed, A.E.; Samak, R.A.; Abdelhaleem, M.S.; Tolba, M.M.; Shehata, M.R.; Mahmoud, M.R.; Abdelhameed, M.M.; et al. Recognizing arabic handwritten characters using deep learning and genetic algorithms. Multimed. Tools Appl. 2021, 80, 32473–32509. [Google Scholar] [CrossRef]
- Kass, D.; Vats, E. AttentionHTR: Handwritten text recognition based on attention encoder-decoder networks. In Proceedings of the Document Analysis Systems: 15th IAPR International Workshop, DAS 2022, La Rochelle, France, 22–25 May 2022; Springer: Berlin, Germany, 2022; pp. 507–522. [Google Scholar]
- Abdallah, A.; Hamada, M.; Nurseitov, D. Attention-based fully gated CNN-BGRU for Russian handwritten text. J. Imaging 2020, 6, 141. [Google Scholar] [CrossRef] [PubMed]
- Marti, U.V.; Bunke, H. A full English sentence database for off-line handwriting recognition. In Proceedings of the Fifth International Conference on Document Analysis and Recognition. ICDAR’99 (Cat. No. PR00318), Bangalore, India, 22 September 1999; IEEE: Piscataway, NJ, USA, 1999; pp. 705–708. [Google Scholar]
- Fischer, A.; Frinken, V.; Fornés, A.; Bunke, H. Transcription alignment of Latin manuscripts using hidden Markov models. In Proceedings of the 2011 Workshop on Historical Document Imaging and Processing, Beijing, China, 16–17 September 2011; pp. 29–36. [Google Scholar]
- Causer, T.; Wallace, V. Building a volunteer community: Results and findings from Transcribe Bentham. Digit. Humanit. Q. 2012, 6, 2. Available online: https://www.digitalhumanities.org/dhq/vol/6/2/000125/000125.html (accessed on 1 January 2024).
- Fischer, A.; Keller, A.; Frinken, V.; Bunke, H. Lexicon-free handwritten word spotting using character HMMs. Pattern Recognit. Lett. 2012, 33, 934–942. [Google Scholar] [CrossRef]
- Nurseitov, D.; Bostanbekov, K.; Kurmankhojayev, D.; Alimova, A.; Abdallah, A.; Tolegenov, R. Handwritten Kazakh and Russian (HKR) database for text recognition. Multimed. Tools Appl. 2021, 80, 33075–33097. [Google Scholar] [CrossRef]
- Kumari, L.; Singh, S.; Rathore, V.; Sharma, A. A Lexicon and Depth-Wise Separable Convolution Based Handwritten Text Recognition System. In Proceedings of the Image and Vision Computing: 37th International Conference, IVCNZ 2022, Auckland, New Zealand, 24–25 November 2022; Revised Selected Papers. Springer: Berlin, Germany, 2023; pp. 442–456. [Google Scholar]
- Tsochatzidis, L.; Symeonidis, S.; Papazoglou, A.; Pratikakis, I. HTR for greek historical handwritten documents. J. Imaging 2021, 7, 260. [Google Scholar] [CrossRef]
- Augustin, E.; Carré, M.; Grosicki, E.; Brodin, J.M.; Geoffrois, E.; Prêteux, F. RIMES evaluation campaign for handwritten mail processing. In Proceedings of the International Workshop on Frontiers in Handwriting Recognition (IWFHR’06), La Baule, France, 23–26 October 2006; pp. 231–235. [Google Scholar]
- Yousef, M.; Bishop, T.E. OrigamiNet: Weakly-supervised, segmentation-free, one-step, full page text recognition by learning to unfold. In Proceedings of the IEEE/CVF Conference on Computer Vision and Pattern Recognition, Seattle, WA, USA, 13–19 June 2020; pp. 14710–14719. [Google Scholar]
- Grosicki, E.; El-Abed, H. Icdar 2011-french handwriting recognition competition. In Proceedings of the 2011 International Conference on Document Analysis and Recognition, Beijing, China, 18–21 September 2011; IEEE: Piscataway, NJ, USA, 2011; pp. 1459–1463. [Google Scholar]
- Menasri, F.; Louradour, J.; Bianne-Bernard, A.L.; Kermorvant, C. The A2iA French handwriting recognition system at the Rimes-ICDAR2011 competition. In Proceedings of the Document Recognition and Retrieval XIX. SPIE, Burlingame, CA, USA, 25–26 January 2012; Volume 8297, pp. 263–270. [Google Scholar]
- Voigtlaender, P.; Doetsch, P.; Ney, H. Handwriting recognition with large multidimensional long short-term memory recurrent neural networks. In Proceedings of the 2016 15th International Conference on Frontiers in Handwriting Recognition (ICFHR), Shenzhen, China, 23–26 October 2016; IEEE: Piscataway, NJ, USA, 2016; pp. 228–233. [Google Scholar]
- Louradour, J.; Kermorvant, C. Curriculum learning for handwritten text line recognition. In Proceedings of the 2014 11th IAPR International Workshop on Document Analysis Systems, Tours, France, 7–10 April 2014; IEEE: Piscataway, NJ, USA, 2014; pp. 56–60. [Google Scholar]
- Doetsch, P.; Zeyer, A.; Ney, H. Bidirectional decoder networks for attention-based end-to-end offline handwriting recognition. In Proceedings of the 2016 15th International Conference on Frontiers in Handwriting Recognition (ICFHR), Shenzhen, China, 23–26 October 2016; IEEE: Piscataway, NJ, USA, 2016; pp. 361–366. [Google Scholar]
- Wang, T.; Zhu, Y.; Jin, L.; Luo, C.; Chen, X.; Wu, Y.; Wang, Q.; Cai, M. Decoupled attention network for text recognition. In Proceedings of the AAAI Conference on Artificial Intelligence, New York, NY, USA, 7–12 February 2020; Volume 34, pp. 12216–12224. [Google Scholar]
- Moysset, B.; Bluche, T.; Knibbe, M.; Benzeghiba, M.F.; Messina, R.; Louradour, J.; Kermorvant, C. The A2iA multi-lingual text recognition system at the second Maurdor evaluation. In Proceedings of the 2014 14th International Conference on Frontiers in Handwriting Recognition, Hersonissos, Greece, 1–4 September 2014; IEEE: Piscataway, NJ, USA, 2014; pp. 297–302. [Google Scholar]
- Brunessaux, S.; Giroux, P.; Grilheres, B.; Manta, M.; Bodin, M.; Choukri, K.; Galibert, O.; Kahn, J. The maurdor project: Improving automatic processing of digital documents. In Proceedings of the 2014 11th IAPR International Workshop on Document Analysis Systems, Tours, France, 7–10 April 2014; IEEE: Piscataway, NJ, USA, 2014; pp. 349–354. [Google Scholar]
- Oprean, C.; Likforman-Sulem, L.; Mokbel, C.; Popescu, A. BLSTM-based handwritten text recognition using Web resources. In Proceedings of the 2015 13th International Conference on Document Analysis and Recognition (ICDAR), Tunis, Tunisia, 23–26 August 2015; IEEE: Piscataway, NJ, USA, 2015; pp. 466–470. [Google Scholar]
- Chowdhury, A.; Vig, L. An efficient end-to-end neural model for handwritten text recognition. arXiv 2018, arXiv:1807.07965. [Google Scholar]
- Wick, C.; Zöllner, J.; Grüning, T. Rescoring sequence-to-sequence models for text line recognition with ctc-prefixes. In Proceedings of the Document Analysis Systems: 15th IAPR International Workshop, DAS 2022, La Rochelle, France, 22–25 May 2022; Springer: Berlin, Germany, 2022; pp. 260–274. [Google Scholar]
- Puigcerver, J. Are multidimensional recurrent layers really necessary for handwritten text recognition? In Proceedings of the 2017 14th IAPR International Conference on Document Analysis and Recognition (ICDAR), Kyoto, Japan, 9–15 November 2017; IEEE: Piscataway, NJ, USA, 2017; Volume 1, pp. 67–72. [Google Scholar]
- Bluche, T.; Messina, R. Gated convolutional recurrent neural networks for multilingual handwriting recognition. In Proceedings of the 2017 14th IAPR International Conference on Document Analysis and Recognition (ICDAR), Kyoto, Japan, 9–15 November 2017; IEEE: Piscataway, NJ, USA, 2017; Volume 1, pp. 646–651. [Google Scholar]
- Torres Aguilar, S.O.; Jolivet, V. Handwritten Text Recognition for Documentary Medieval Manuscripts. J. Data Min. Digit. Humanit. 2023. Available online: https://hal.science/hal-03892163v2 (accessed on 1 January 2024). [CrossRef]
- Stutzmann, D.; Moufflet, J.F.; Hamel, S. La recherche en plein texte dans les sources manuscrites médiévales: Enjeux et perspectives du projet HIMANIS pour l’édition électronique. Médiévales 2017, 67–96. [Google Scholar] [CrossRef][Green Version]
- Coquenet, D.; Chatelain, C.; Paquet, T. SPAN: A simple predict & align network for handwritten paragraph recognition. In Proceedings of the Document Analysis and Recognition–ICDAR 2021: 16th International Conference, Lausanne, Switzerland, 5–10 September 2021; Proceedings, Part III 16. Springer: Berlin, Germany, 2021; pp. 70–84. [Google Scholar]
- Coquenet, D.; Chatelain, C.; Paquet, T. End-to-end handwritten paragraph text recognition using a vertical attention network. IEEE Trans. Pattern Anal. Mach. Intell. 2022, 45, 508–524. [Google Scholar] [CrossRef] [PubMed]
- Rouhou, A.C.; Dhiaf, M.; Kessentini, Y.; Salem, S.B. Transformer-based approach for joint handwriting and named entity recognition in historical document. Pattern Recognit. Lett. 2022, 155, 128–134. [Google Scholar] [CrossRef]
- Romero, V.; Fornés, A.; Serrano, N.; Sánchez, J.A.; Toselli, A.H.; Frinken, V.; Vidal, E.; Lladós, J. The ESPOSALLES database: An ancient marriage license corpus for off-line handwriting recognition. Pattern Recognit. 2013, 46, 1658–1669. [Google Scholar] [CrossRef]
- Dhiaf, M.; Jemni, S.K.; Kessentini, Y. DocNER: A deep learning system for named entity recognition in handwritten document images. In Proceedings of the Neural Information Processing: 28th International Conference, ICONIP 2021, Sanur, Bali, Indonesia, 8–12 December 2021; Proceedings, Part VI 28. Springer: Berlin, Germany, 2021; pp. 239–246. [Google Scholar]
- Coquenet, D.; Chatelain, C.; Paquet, T. DAN: A segmentation-free document attention network for handwritten document recognition. IEEE Trans. Pattern Anal. Mach. Intell. 2023, 45, 8227–8243. [Google Scholar] [CrossRef] [PubMed]
- Coquenet, D.; Chatelain, C.; Paquet, T. Faster DAN: Multi-target Queries with Document Positional Encoding for End-to-end Handwritten Document Recognition. arXiv 2023, arXiv:2301.10593. [Google Scholar]
- Cloppet, F.; Eglin, V.; Helias-Baron, M.; Kieu, C.; Vincent, N.; Stutzmann, D. Icdar2017 competition on the classification of medieval handwritings in latin script. In Proceedings of the 2017 14th IAPR International Conference on Document Analysis and Recognition (ICDAR), Kyoto, Japan, 9–15 November 2017; IEEE: Piscataway, NJ, USA, 2017; Volume 1, pp. 1371–1376. [Google Scholar]
- Cilia, N.D.; De Stefano, C.; Fontanella, F.; di Freca, A.S. A ranking-based feature selection approach for handwritten character recognition. Pattern Recognit. Lett. 2019, 121, 77–86. [Google Scholar] [CrossRef]
- Clanuwat, T.; Lamb, A.; Kitamoto, A. KuroNet: Pre-modern Japanese Kuzushiji character recognition with deep learning. In Proceedings of the 2019 International Conference on Document Analysis and Recognition (ICDAR), Sydney, NSW, Australia, 20–25 September 2019; IEEE: Piscataway, NJ, USA, 2019; pp. 607–614. [Google Scholar]
- Shi, B.; Bai, X.; Yao, C. An end-to-end trainable neural network for image-based sequence recognition and its application to scene text recognition. IEEE Trans. Pattern Anal. Mach. Intell. 2016, 39, 2298–2304. [Google Scholar] [CrossRef]
- Swaileh, W.; Lerouge, J.; Paquet, T. A unified French/English syllabic model for handwriting recognition. In Proceedings of the 2016 15th International Conference on Frontiers in Handwriting Recognition (ICFHR), Shenzhen, China, 23–26 October 2016; IEEE: Piscataway, NJ, USA, 2016; pp. 536–541. [Google Scholar]
- Bhunia, A.K.; Das, A.; Bhunia, A.K.; Kishore, P.S.R.; Roy, P.P. Handwriting recognition in low-resource scripts using adversarial learning. In Proceedings of the IEEE/CVF Conference on Computer Vision and Pattern Recognition, Long Beach, CA, USA, 15–20 June 2019; pp. 4767–4776. [Google Scholar]
- Pham, V.; Bluche, T.; Kermorvant, C.; Louradour, J. Dropout improves recurrent neural networks for handwriting recognition. In Proceedings of the 2014 14th International Conference on Frontiers in Handwriting Recognition, Hersonissos, Greece, 1–4 September 2014; pp. 285–290. [Google Scholar]
- Ingle, R.R.; Fujii, Y.; Deselaers, T.; Baccash, J.; Popat, A.C. A scalable handwritten text recognition system. In Proceedings of the 2019 International Conference on Document Analysis and Recognition (ICDAR), Sydney, NSW, Australia, 20–25 September 2019; IEEE: Piscataway, NJ, USA, 2019; pp. 17–24. [Google Scholar]
- Bluche, T. Joint line segmentation and transcription for end-to-end handwritten paragraph recognition. Adv. Neural Inf. Process. Syst. 2016, 29. [Google Scholar] [CrossRef]
- Bluche, T.; Louradour, J.; Messina, R. Scan, attend and read: End-to-end handwritten paragraph recognition with mdlstm attention. In Proceedings of the 2017 14th IAPR International Conference on Document Analysis and Recognition (ICDAR), Kyoto, Japan, 9–15 November 2017; IEEE: Piscataway, NJ, USA, 2017; Volume 1, pp. 1050–1055. [Google Scholar]
- Moysset, B.; Kermorvant, C.; Wolf, C. Full-page text recognition: Learning where to start and when to stop. In Proceedings of the 2017 14th IAPR International Conference on Document Analysis and Recognition (ICDAR), Kyoto, Japan, 9–15 November 2017; IEEE: Piscataway, NJ, USA, 2017; Volume 1, pp. 871–876. [Google Scholar]
- Wigington, C.; Tensmeyer, C.; Davis, B.; Barrett, W.; Price, B.; Cohen, S. Start, follow, read: End-to-end full-page handwriting recognition. In Proceedings of the European Conference on Computer Vision (ECCV), Munich, Germany, 8–14 September 2018; pp. 367–383. [Google Scholar]
- Nockels, J.; Gooding, P.; Ames, S.; Terras, M. Understanding the application of handwritten text recognition technology in heritage contexts: A systematic review of Transkribus in published research. Arch. Sci. 2022, 22, 367–392. [Google Scholar] [CrossRef] [PubMed]
- Rath, T.M.; Manmatha, R.; Lavrenko, V. A search engine for historical manuscript images. In Proceedings of the 27th Annual International ACM SIGIR Conference on Research and Development in Information Retrieval, Sheffield, UK, 25–29 July 2004; pp. 369–376. [Google Scholar]
- Wieprecht, C.; Rothacker, L.; Fink, G.A. Word spotting in historical document collections with online-handwritten queries. In Proceedings of the 2016 12th IAPR Workshop on Document Analysis Systems (DAS), Santorini, Greece, 11–14 April 2016; IEEE: Piscataway, NJ, USA, 2016; pp. 162–167. [Google Scholar]
- Fischer, A.; Indermühle, E.; Bunke, H.; Viehhauser, G.; Stolz, M. Ground truth creation for handwriting recognition in historical documents. In Proceedings of the 9th IAPR International Workshop on Document Analysis Systems, Boston, MA, USA, 9–11 June 2010; pp. 3–10. [Google Scholar]
- Moyle, M.; Tonra, J.; Wallace, V. Manuscript transcription by crowdsourcing: Transcribe Bentham. Liber Q. 2010, 20, 347–356. [Google Scholar] [CrossRef][Green Version]
- Sanchez, J.A.; Romero, V.; Toselli, A.H.; Vidal, E. ICFHR2016 competition on handwritten text recognition on the READ dataset. In Proceedings of the 2016 15th International Conference on Frontiers in Handwriting Recognition (ICFHR), Shenzhen, China, 23–26 October 2016; IEEE: Piscataway, NJ, USA, 2016; pp. 630–635. [Google Scholar]
- Sanchez, J.A.; Romero, V.; Toselli, A.H.; Villegas, M.; Vidal, E. ICDAR2017 competition on handwritten text recognition on the READ dataset. In Proceedings of the 2017 14th IAPR International Conference on Document Analysis and Recognition (ICDAR), Kyoto, Japan, 9–15 November 2017; IEEE: Piscataway, NJ, USA, 2017; Volume 1, pp. 1383–1388. [Google Scholar]
- Sánchez, J.A.; Romero, V.; Toselli, A.H.; Vidal, E. ICFHR2014 competition on handwritten text recognition on transcriptorium datasets (HTRtS). In Proceedings of the 2014 14th International Conference on Frontiers in Handwriting Recognition, Hersonissos, Greece, 1–4 September 2014; IEEE: Piscataway, NJ, USA, 2014; pp. 785–790. [Google Scholar]
- Sanchez, J.A.; Toselli, A.H.; Romero, V.; Vidal, E. ICDAR 2015 competition HTRtS: Handwritten Text Recognition on the tranScriptorium dataset. In Proceedings of the 2015 13th International Conference on Document Analysis and Recognition (ICDAR), Tunis, Tunisia, 23–26 August 2015; IEEE: Piscataway, NJ, USA, 2015; pp. 1166–1170. [Google Scholar]
- Strauß, T.; Grüning, T.; Leifert, G.; Labahn, R. Citlab ARGUS for historical handwritten documents. arXiv 2014, arXiv:1412.3949. [Google Scholar]
- Rusakov, E.; Rothacker, L.; Mo, H.; Fink, G.A. A probabilistic retrieval model for word spotting based on direct attribute prediction. In Proceedings of the 2018 16th International Conference on Frontiers in Handwriting Recognition (ICFHR), Niagara Falls, NY, USA, 5–8 August 2018; IEEE: Piscataway, NJ, USA, 2018; pp. 38–43. [Google Scholar]
- Haldar, R.; Mukhopadhyay, D. Levenshtein distance technique in dictionary lookup methods: An improved approach. arXiv 2011, arXiv:1101.1232. [Google Scholar]







| Reference | Architecture | Dataset | HTR Level |
|---|---|---|---|
| [38] | AHCR-DLS (2-CNN) | HMBD, CMATER and AIA9k | Character level |
| [42] | Transformer-T and Transformer with Cross-Attention | KHATT | Character (Subword) level |
| [46] | Light Transformer | IAM | Character level |
| [53] | Attention-Gated-CNN-BGRU | Kazakh | Character level |
| [59] | CRNN-MDLSTM | IAM and George Washington | Line level |
| [60] | OctCNN-BGRU | EPARCHOS, IAM and RIMES | Line level |
| [15] | CRNN-FCNN | EPARCHOS, IAM and RIMES | Line level |
| [62] | OrigamiNet | IAM ICDAR 2017 | Page level |
| Name | Link |
|---|---|
| Transkribus | https://readcoop.eu/transkribus/ (accessed on 21 November 2023) |
| Ocelus | https://ocelus.teklia.com/ (accessed on 21 November 2023) |
| Konfuzio | https://konfuzio.com/en/document-ocr/ (accessed on 21 November 2023) |
| DOCSUMO | https://www.docsumo.com/free-tools/online-ocr-scanner (accessed on 21 November 2023) |
| 1999 | ![]() | IAM (English) [54] |
| 2001 | Washington (English) [98,99] | |
| 2006 | Saint Gall (Latin) [100] RIMES (French) [61] | |
| 2012 | KHATT (Arabic) [43,44] | |
| 2013 | Esposalles (Spanish) [81] MAURDOR (French, English and Arabic) [70] | |
| 2016 | Bentham (English) [101] READ (German) [102,103] | |
| 2017 | HIMANIS Guérin(French) [77] | |
| 2019 | e-NDP (French) StAZH (Swiss-German) | |
| 2020 | EPARCHOS (Greek) [60] | |
| 2021 | HOME-Alcar (French) |
| Dataset | Language | Total Pages | Total Lines | Total Words |
|---|---|---|---|---|
| IAM | English | 1539 | 13,353 | 115,320 |
| Bentham | English | 25,000 | - | - |
| Washington | English | 20 | 656 | 4894 |
| KHATT | Arabic | 2000 Paragraph | 6742 | - |
| EPARCHOS | Greek | 120 | 9285 | 18,809 |
| READ | German | 30,000 | - | - |
| Saint Gall | Latin | 60 | 1410 | 11,597 |
| Esposalles | Spanish | 199 | 7063 | - |
| MAURDOR (HT) | French, English, and Arabic | 8129 | 49,412 | - |
| RIMES | French | 1500 | 12,723 | - |
| HOME-Alcar | French | 330 acts | - | - |
| e-NDP | French | 500 | 33,735 | - |
| HIMANIS Guérin | French | 1500 | 30,000 | - |
| Competition | Dataset | Winner | Winner Approach |
|---|---|---|---|
| ICFHR 2014 | Bentham | [106] | CRNN+lexicon |
| ICDAR 2015 | TranScriptorium | [105,106] | CRNN B1&B2 |
| ICFHR 2016 | READ | [102] | CRNN+char10-gram |
| ICDAR 2017 | READ | [103] | CRNN+char10-gram |
| ICFHR 2018 | RASM, READ and others | [107] | STPP-PHOCNet |
| Competition | Link |
|---|---|
| ICFHR 2014 | http://doi.org/10.5281/zenodo.44519 (accessed on 24 October 2023) |
| ICDAR 2015 | http://doi.org/10.5281/zenodo.248733 (accessed on 24 October 2023) |
| ICFHR 2016 | http://doi.org/10.5281/zenodo.1164045 (accessed on 24 October 2023) |
| ICDAR 2017 | http://doi.org/10.5281/zenodo.835489 (accessed on 24 October 2023) |
| ICFHR 2018 | http://doi.org/10.5281/zenodo.1442182 (accessed on 24 October 2023) |
| Structure | Content |
|---|---|
| Head margin | Registration number. |
| First and last name of the person born. | |
| Main text | Time and date of declaration. |
| Surname, first name and position of the official registering. | |
| Surname, first name, age, profession and address of declarant. | |
| Sex of the newborn. | |
| Time and date of birth. | |
| First and last name of the father (if different of the declarant). | |
| Surname, first name, status (married or other), profession (sometimes) and address (sometimes) of the mother. | |
| Surnames of the newborn. | |
| surnames, first names, ages, professions and addresses (city) of the 2 witnesses. | |
| Mention of absence of signature or illiteracy of the declarant (very rarely). | |
| Margins (annotations) | Mention of official recognition of paternity/maternity (by father or/and mother): surname, name of the declarant, date of recognition (by marriage or declaration). |
| Mention of marriage: date of marriage, wedding location, surname and name of spouse. | |
| Mention of divorce: date of divorce, divorce location. | |
| Mention of death: date and place of death, date of the declaration of death. |
| Dataset | Ref. | Classifier | Feature Extraction | Segme- ntation | CER (%) | WER (%) | Level |
|---|---|---|---|---|---|---|---|
| RIMES 2006 | [65] | MDLSTM | Automatic | No | 2.8 | 9.6 | Line |
| RIMES 2006 | [74] | CNN + 1D-LSTM | Automatic | No | 2.3 | 9.0 | Line |
| RIMES 2006 | [75] | GCRNN | Convolutional gates encoder | Yes | 1.9 | 7.9 | Line |
| RIMES 2006 | [72] | Deep CN + Recurrent Encoder-Decoder Network | CNN + Sequence Learning | Yes | 3.5 | 9.6 | Word |
| RIMES 2006 | [73] | CNN + BLSTM + S2S + CTC | CNN | No | 3.13 | 8.94 | Line |
| RIMES 2006 | [75] | GCRNN | Convolutional gates encoder | No | 2.2 | 7.9 | Paragraph |
| RIMES 2009 | [68] | Decoupled text decoder | CNN encoder | No | 2.7 | 8.9 | Word |
| RIMES 2009 | [64] | Grapheme-based MLP-HMM + Gaussian Mixture HMM + RNN | Multiple methods | Yes | - | 4.82 | Multi Word |
| RIMES 2009 | [83] | Transformer decoder | FCN encoder | No | 5.46 | 13.04 | Paragraph |
| RIMES 2009 | [83] | Transformer decoder | FCN encoder | No | 4.54 | 11.85 | Page |
| RIMES 2009 | [84] | Multi-target transformer | FCN encoder | No | 6.38 | 13.69 | Page |
| RIMES 2011 | [67] | Attention-based LSTM | Automatic | No | 2.9 | 6.8 | Word |
| RIMES 2011 | [64] | Grapheme-based MLP-HMM + Gaussian Mixture HMM + RNN | Multiple methods | Yes | - | 4.75 | Multi Word |
| RIMES 2011 | [91] | MDLSTM + CTC | Automatic | No | 3.3 | 12.3 | Line |
| RIMES 2011 | [67] | Attention-based LSTM | Automatic | No | 5.8 | 12.9 | Line |
| RIMES 2011 | [79] | Hybrid attention mechanism | FCN encoder | No | 3.08 | 8.14 | Line |
| RIMES 2011 | [83] | Transformer decoder | FCN encoder | No | 2.63 | 6.78 | Line |
| RIMES 2011 | [78] | Single convolutional layer + CTC | FCN encoder | No | 4.17 | 15.61 | Paragraph |
| RIMES 2011 | [79] | Hybrid attention mechanism | FCN encoder | No | 1.91 | 6.72 | Paragraph |
| RIMES 2011 | [83] | Transformer decoder | FCN encoder | No | 1.82 | 5.03 | Paragraph |
| Year | 2012 | 2014 | 2016 | 2017 | 2018 | 2020 | 2021 | 2022 | 2023 |
|---|---|---|---|---|---|---|---|---|---|
| [64] | [66] | [65] | [74] | [72] | [68] | [78] | [73] | [83] | |
| Reference | [91] | [67] | [75] | [16] | [80] | [84] | |||
| [79] |
| Reference | Dataset | Training Set | Validation Set | Testing Set | Level |
|---|---|---|---|---|---|
| [65] | RIMES 2006 | 11,279 | - | 778 | Line |
| [74] | RIMES 2006 | 10,203 | 1130 | 778 | Line |
| [72] | RIMES 2006 | 10,203 | 1130 | 778 | Line |
| [73] | RIMES 2006 | 10,171 | 1162 | 778 | Line |
| [83] | RIMES 2009 | 5875 | 540 | 559 | Paragraph |
| [84] | RIMES 2009 | 1050 | 100 | 100 | Paragraph |
| [83] | RIMES 2009 | 1050 | 100 | 100 | Page |
| [67] | RIMES 2011 | 11,275 | 1,128 | 778 | Line |
| [83] | RIMES 2011 | 10,530 | 801 | 778 | Line |
| [91] | RIMES 2011 | 1400 | 100 | 100 | Line |
| [64] | RIMES 2011 | 1300 | 200 | 100 | Paragraph |
| [78] | RIMES 2011 | 1500 | 100 | 100 | Paragraph |
| [79] | RIMES 2011 | 1500 | 100 | 100 | Paragraph |
| [83] | RIMES 2011 | 1400 | 100 | 100 | Paragraph |
| [80] | FHMR | 997 | 103 | 132 | Paragraph |
| RIMES | Washington | |||
|---|---|---|---|---|
| System | CER (%) | WER (%) | CER (%) | WER (%) |
| Ocelus | 15 | 53 | 2 | 14 |
| Transkribus | 18 | 33 | 4 | 29 |
| DOCSUMO | 11 | 33 | 2 | 14 |
Disclaimer/Publisher’s Note: The statements, opinions and data contained in all publications are solely those of the individual author(s) and contributor(s) and not of MDPI and/or the editor(s). MDPI and/or the editor(s) disclaim responsibility for any injury to people or property resulting from any ideas, methods, instructions or products referred to in the content. |
© 2024 by the authors. Licensee MDPI, Basel, Switzerland. This article is an open access article distributed under the terms and conditions of the Creative Commons Attribution (CC BY) license (https://creativecommons.org/licenses/by/4.0/).
Share and Cite
AlKendi, W.; Gechter, F.; Heyberger, L.; Guyeux, C. Advancements and Challenges in Handwritten Text Recognition: A Comprehensive Survey. J. Imaging 2024, 10, 18. https://doi.org/10.3390/jimaging10010018
AlKendi W, Gechter F, Heyberger L, Guyeux C. Advancements and Challenges in Handwritten Text Recognition: A Comprehensive Survey. Journal of Imaging. 2024; 10(1):18. https://doi.org/10.3390/jimaging10010018
Chicago/Turabian StyleAlKendi, Wissam, Franck Gechter, Laurent Heyberger, and Christophe Guyeux. 2024. "Advancements and Challenges in Handwritten Text Recognition: A Comprehensive Survey" Journal of Imaging 10, no. 1: 18. https://doi.org/10.3390/jimaging10010018
APA StyleAlKendi, W., Gechter, F., Heyberger, L., & Guyeux, C. (2024). Advancements and Challenges in Handwritten Text Recognition: A Comprehensive Survey. Journal of Imaging, 10(1), 18. https://doi.org/10.3390/jimaging10010018


