Applying Radiomics to Predict Outcomes in Patients with High-Grade Retroperitoneal Sarcoma Treated with Preoperative Radiotherapy
Abstract
1. Introduction
2. Methods
2.1. Segmentation
2.2. Radiomics Feature Extraction
2.3. Statistical Analysis
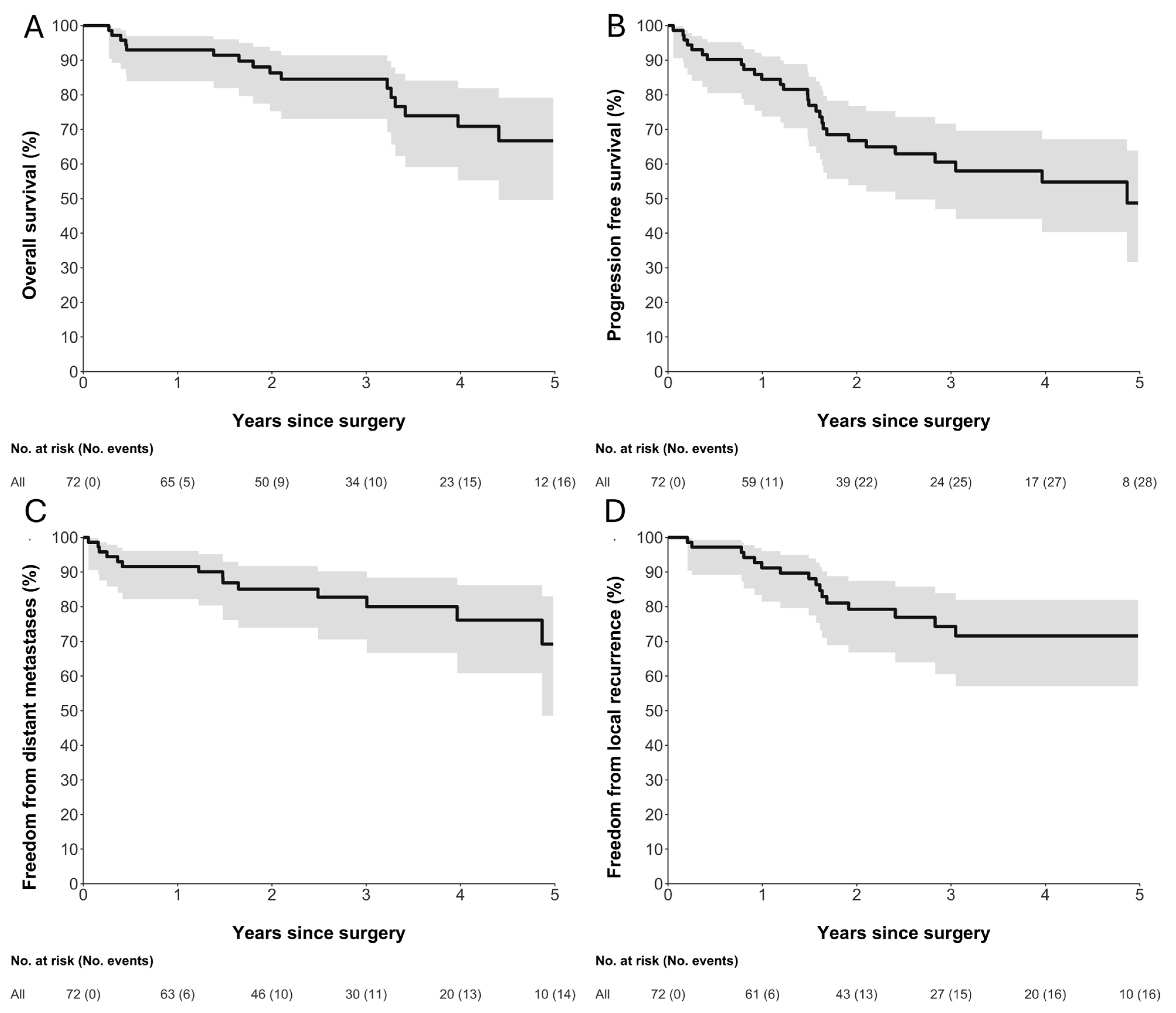
3. Results
3.1. Recurrence and Survival Outcomes
3.2. Clinical Predictors of Survival
3.3. Radiomics
4. Discussion
5. Conclusions
Supplementary Materials
Author Contributions
Funding
Institutional Review Board Statement
Informed Consent Statement
Data Availability Statement
Conflicts of Interest
Abbreviation
| RPS | Retroperitoneal sarcoma |
| STS | Soft-tissue sarcoma |
| UPS | Undifferentiated pleomorphic sarcoma |
| WD-DDLPS | Well-differentiated/De-differentiated liposarcoma |
| LMS | Leiomyosarcoma |
| OS | Overall survival |
| RFS | Relapse-free survival |
| TLR | Time to local recurrence |
| TDM | Time to distant metastasis |
| HR | Hazard ratio |
| CI | Confidence interval |
| CT | Computed tomography |
| RT | Radiotherapy |
| GTV | Gross tumour volume |
| ROI | Region of interest |
| GLCM | Gray level co-occurrence matrix |
| GLDM | Gray Level Dependence Matrix |
| GLRLM | Gray Level Run Length Matrix |
| GLSZM | Gray Level Size Zone Matrix |
| NGTDM | Neighbourhood Gray-Tone Difference Matrix |
| IDN | Inverse difference normalized |
| IMC1 | Informational measure of correlation 1 |
| IQR | Interquartile range |
| ECOG | Eastern Cooperative Oncology Group (Performance Status) |
| C-statistic | Concordance statistic |
| QA | Quality assurance |
| STRASS | EORTC-62092: Preoperative Radiotherapy Plus Surgery Versus Surgery Alone for Primary Retroperitoneal Sarcoma |
| ANZSA | Australian and New Zealand Sarcoma Association |
References
- Yamagata, Y.; Komiyama, M.; Iwata, S. Clinical Characteristics and Management of Primary Retroperitoneal Sarcoma: A Literature Review. Ann. Gastroenterol. Surg. 2024, 8, 21–29. [Google Scholar] [CrossRef]
- Gronchi, A.; Strauss, D.C.; Miceli, R.; Bonvalot, S.; Swallow, C.J.; Hohenberger, P.; Van Coevorden, F.; Rutkowski, P.; Callegaro, D.; Hayes, A.J.; et al. Variability in Patterns of Recurrence After Resection of Primary Retroperitoneal Sarcoma (RPS): A Report on 1007 Patients From the Multi-Institutional Collaborative RPS Working Group. Ann. Surg. 2016, 263, 1002–1009. [Google Scholar] [CrossRef]
- Guo, Q.; Zhao, J.; Du, X.; Huang, B. Survival Outcomes of Surgery for Retroperitoneal Sarcomas: A Systematic Review and Meta-Analysis. PLoS ONE 2022, 17, e0272044. [Google Scholar] [CrossRef]
- Linehan, D.C.; Lewis, J.J.; Leung, D.; Brennan, M.F. Influence of Biologic Factors and Anatomic Site in Completely Resected Liposarcoma. JCO 2000, 18, 1637–1643. [Google Scholar] [CrossRef]
- Bonvalot, S.; Gronchi, A.; Le Péchoux, C.; Swallow, C.J.; Strauss, D.; Meeus, P.; van Coevorden, F.; Stoldt, S.; Stoeckle, E.; Rutkowski, P.; et al. Preoperative Radiotherapy plus Surgery versus Surgery Alone for Patients with Primary Retroperitoneal Sarcoma (EORTC-62092: STRASS): A Multicentre, Open-Label, Randomised, Phase 3 Trial. Lancet Oncol. 2020, 21, 1366–1377. [Google Scholar] [CrossRef]
- Callegaro, D.; Miceli, R.; Mariani, L.; Raut, C.P.; Gronchi, A. Soft Tissue Sarcoma Nomograms and Their Incorporation into Practice. Cancer 2017, 123, 2802–2820. [Google Scholar] [CrossRef]
- Callegaro, D.; Miceli, R.; Bonvalot, S.; Ferguson, P.C.; Strauss, D.C.; van Praag, V.V.M.; Levy, A.; Griffin, A.M.; Hayes, A.J.; Stacchiotti, S.; et al. Development and External Validation of a Dynamic Prognostic Nomogram for Primary Extremity Soft Tissue Sarcoma Survivors. EClinicalMedicine 2019, 17, 100215. [Google Scholar] [CrossRef] [PubMed]
- Lai-Kwon, J.; Siva, S.; Lewin, J. Assessing the Clinical Utility of Computed Tomography-Based Radiomics. Oncologist 2018, 23, 747–749. [Google Scholar] [CrossRef] [PubMed]
- Guiot, J.; Vaidyanathan, A.; Deprez, L.; Zerka, F.; Danthine, D.; Frix, A.; Lambin, P.; Bottari, F.; Tsoutzidis, N.; Miraglio, B.; et al. A Review in Radiomics: Making Personalized Medicine a Reality via Routine Imaging. Med. Res. Rev. 2022, 42, 426–440. [Google Scholar] [CrossRef]
- Libling, W.A.; Korn, R.; Weiss, G.J. Review of the Use of Radiomics to Assess the Risk of Recurrence in Early-Stage Non-Small Cell Lung Cancer. Transl. Lung Cancer Res. 2023, 12, 1575–1589. [Google Scholar] [CrossRef] [PubMed]
- Yang, C.; Jiang, Z.; Cheng, T.; Zhou, R.; Wang, G.; Jing, D.; Bo, L.; Huang, P.; Wang, J.; Zhang, D.; et al. Radiomics for Predicting Response of Neoadjuvant Chemotherapy in Nasopharyngeal Carcinoma: A Systematic Review and Meta-Analysis. Front. Oncol. 2022, 12, 893103. [Google Scholar] [CrossRef]
- Brancato, V.; Cerrone, M.; Lavitrano, M.; Salvatore, M.; Cavaliere, C. A Systematic Review of the Current Status and Quality of Radiomics for Glioma Differential Diagnosis. Cancers 2022, 14, 2731. [Google Scholar] [CrossRef]
- Harding-Theobald, E.; Louissaint, J.; Maraj, B.; Cuaresma, E.; Townsend, W.; Mendiratta-Lala, M.; Singal, A.G.; Su, G.L.; Lok, A.S.; Parikh, N.D. Systematic Review: Radiomics for the Diagnosis and Prognosis of Hepatocellular Carcinoma. Aliment. Pharmacol. Ther. 2021, 54, 890–901. [Google Scholar] [CrossRef] [PubMed]
- Chen, S.; Ren, S.; Guo, K.; Daniels, M.J.; Wang, Z.; Chen, R. Preoperative Differentiation of Serous Cystic Neoplasms from Mucin-Producing Pancreatic Cystic Neoplasms Using a CT-Based Radiomics Nomogram. Abdom. Radiol. 2021, 46, 2637–2646. [Google Scholar] [CrossRef]
- Scapicchio, C.; Gabelloni, M.; Barucci, A.; Cioni, D.; Saba, L.; Neri, E. A Deep Look into Radiomics. Radiol. Med. 2021, 126, 1296–1311. [Google Scholar] [CrossRef]
- Crombé, A.; Fadli, D.; Italiano, A.; Saut, O.; Buy, X.; Kind, M. Systematic Review of Sarcomas Radiomics Studies: Bridging the Gap between Concepts and Clinical Applications? Eur. J. Radiol. 2020, 132, 109283. [Google Scholar] [CrossRef]
- Xu, J.; Miao, J.; Wang, C.; Zhu, Y.; Liu, K.; Qin, S.; Chen, H.; Lang, N. CT-Based Quantification of Intratumoral Heterogeneity for Predicting Distant Metastasis in Retroperitoneal Sarcoma. Insights Imaging 2025, 16, 99. [Google Scholar] [CrossRef]
- Tian, Z.; Cheng, Y.; Zhao, S.; Li, R.; Zhou, J.; Sun, Q.; Wang, D. Deep Learning Radiomics-Based Prediction Model of Metachronous Distant Metastasis Following Curative Resection for Retroperitoneal Leiomyosarcoma: A Bicentric Study. Cancer Imaging 2024, 24, 52. [Google Scholar] [CrossRef] [PubMed]
- Arthur, A.; Orton, M.R.; Emsley, R.; Vit, S.; Kelly-Morland, C.; Strauss, D.; Lunn, J.; Doran, S.; Lmalem, H.; Nzokirantevye, A.; et al. A CT-Based Radiomics Classification Model for the Prediction of Histological Type and Tumour Grade in Retroperitoneal Sarcoma (RADSARC-R): A Retrospective Multicohort Analysis. Lancet Oncol. 2023, 24, 1277–1286. [Google Scholar] [CrossRef] [PubMed]
- Zaffino, P.; Raudaschl, P.; Fritscher, K.; Sharp, G.C.; Spadea, M.F. Technical Note: Plastimatch Mabs, an Open Source Tool for Automatic Image Segmentation. Med. Phys. 2016, 43, 5155. [Google Scholar] [CrossRef]
- van Griethuysen, J.J.M.; Fedorov, A.; Parmar, C.; Hosny, A.; Aucoin, N.; Narayan, V.; Beets-Tan, R.G.H.; Fillion-Robin, J.-C.; Pieper, S.; Aerts, H.J.W.L. Computational Radiomics System to Decode the Radiographic Phenotype. Cancer Res. 2017, 77, e104–e107. [Google Scholar] [CrossRef]
- Gronchi, A.; Miceli, R.; Shurell, E.; Eilber, F.C.; Eilber, F.R.; Anaya, D.A.; Kattan, M.W.; Honoré, C.; Lev, D.C.; Colombo, C.; et al. Outcome Prediction in Primary Resected Retroperitoneal Soft Tissue Sarcoma: Histology-Specific Overall Survival and Disease-Free Survival Nomograms Built on Major Sarcoma Center Data Sets. J. Clin. Oncol. 2013, 31, 1649–1655. [Google Scholar] [CrossRef]
- Pasquali, S.; Palmerini, E.; Quagliuolo, V.; Martin-Broto, J.; Lopez-Pousa, A.; Grignani, G.; Brunello, A.; Blay, J.-Y.; Tendero, O.; Diaz-Beveridge, R.; et al. Neoadjuvant Chemotherapy in High-Risk Soft Tissue Sarcomas: A Sarculator-Based Risk Stratification Analysis of the ISG-STS 1001 Randomized Trial. Cancer 2022, 128, 85–93. [Google Scholar] [CrossRef]
- SARCULATOR. Available online: https://www.sarculator.com/ (accessed on 26 October 2025).
- Callegaro, D.; Barretta, F.; Raut, C.P.; Johnston, W.; Strauss, D.C.; Honoré, C.; Bonvalot, S.; Fairweather, M.; Rutkowski, P.; van Houdt, W.J.; et al. New Sarculator Prognostic Nomograms for Patients With Primary Retroperitoneal Sarcoma: Case Volume Does Matter. Ann. Surg. 2024, 279, 857–865. [Google Scholar] [CrossRef]
- Borghi, A.; Gronchi, A. Sarculator: How to Improve Further Prognostication of All Sarcomas. Curr. Opin. Oncol. 2024, 36, 253–262. [Google Scholar] [CrossRef] [PubMed]
- Callegaro, D.; Tinè, G.; Oppong, F.B.; Nzokirantevye, A.; Litière, S.; Percio, S.; Carenzo, A.; De Cecco, L.; Chibon, F.; Brich, S.; et al. CINSARC and Sarculator in Patients with Primary Retroperitoneal Sarcoma: A Combined Analysis of Single-Institution Data and the EORTC-STBSG-62092 Trial (STRASS). Clin. Cancer Res. 2025, 31, 3239–3248. [Google Scholar] [CrossRef] [PubMed]
- Stanzione, A.; Cuocolo, R.; Ugga, L.; Verde, F.; Romeo, V.; Brunetti, A.; Maurea, S. Oncologic Imaging and Radiomics: A Walkthrough Review of Methodological Challenges. Cancers 2022, 14, 4871. [Google Scholar] [CrossRef] [PubMed]
- Peeken, J.C.; Bernhofer, M.; Spraker, M.B.; Pfeiffer, D.; Devecka, M.; Thamer, A.; Shouman, M.A.; Ott, A.; Nüsslin, F.; Mayr, N.A.; et al. CT-Based Radiomic Features Predict Tumor Grading and Have Prognostic Value in Patients with Soft Tissue Sarcomas Treated with Neoadjuvant Radiation Therapy. Radiother. Oncol. 2019, 135, 187–196. [Google Scholar] [CrossRef]
- Liu, Y.; Yin, P.; Cui, J.; Sun, C.; Chen, L.; Hong, N.; Li, Z. Radiomics Analysis Based on CT for the Prediction of Pulmonary Metastases in Ewing Sarcoma. BMC Med. Imaging 2023, 23, 147. [Google Scholar] [CrossRef]
- Tordjman, M.; Honoré, C.; Crombé, A.; Bouhamama, A.; Feydy, A.; Dercle, L.; Haddag, L.; Bouché, P.-A.; Ngo, C.; Le Cesne, A.; et al. Prognostic Factors of the Synovial Sarcoma of the Extremities: Imaging Does Matter. Eur. Radiol. 2022, 33, 1162–1173. [Google Scholar] [CrossRef]
- Miao, L.; Ma, S.-T.; Jiang, X.; Zhang, H.-H.; Wang, Y.-M.; Li, M. Prediction of the Therapeutic Efficacy of Epirubicin Combined with Ifosfamide in Patients with Lung Metastases from Soft Tissue Sarcoma Based on Contrast-Enhanced CT Radiomics Features. BMC Med. Imaging 2022, 22, 131. [Google Scholar] [CrossRef] [PubMed]
- Yin, P.; Zhi, X.; Sun, C.; Wang, S.; Liu, X.; Chen, L.; Hong, N. Radiomics Models for the Preoperative Prediction of Pelvic and Sacral Tumor Types: A Single-Center Retrospective Study of 795 Cases. Front. Oncol. 2021, 11, 709659. [Google Scholar] [CrossRef] [PubMed]



| Risk Group N (%) | Total N(%) | ||
|---|---|---|---|
| Characteristic | High-Risk (n = 42) | Low-Risk (n = 30) | Total (n = 72) |
| Sex | |||
| Female | 15 (36%) | 13 (43%) | 28 (39%) |
| Male | 27 (64%) | 17 (57%) | 44 (61%) |
| Age | |||
| Mean (SD) | 57 (13) | 58 (13) | 57 (13) |
| Median [range] | 61 [31–86] | 60 [33–82] | 60 [31–86] |
| IQR | 48–66 | 50–66 | 49–66 |
| ECOG | |||
| 0 | 23 (55%) | 19 (63%) | 42 (58%) |
| 1 | 19 (45%) | 10 (33%) | 29 (40%) |
| 2 | 0 | 1 (3%) | 1 (1%) |
| Max dimension on imaging, mm | |||
| Mean (SD) | 155 (81) | 130 (62) | 144 (74) |
| Median [range] | 136 [40–360] | 130 [23–270] | 132 [23–360] |
| IQR | 90–198 | 77–178 | 88–190 |
| Grade | |||
| 1 | 1 (3%) | 22 (79%) | 23 (35%) |
| 2 | 19 (51%) | 5 (18%) | 24 (37%) |
| 3 | 17 (46%) | 1 (4%) | 18 (28%) |
| Missing | 5 | 2 | 7 |
| Histologic subtype | |||
| Well-differentiated liposarcoma | 0 | 15 (50%) | 15 (21%) |
| Leiomyosarcoma | 7 (17%) | 3 (10%) | 10 (14%) |
| Solitary fibrous tumour | 0 | 8 (27%) | 8 (11%) |
| Undifferentiated pleomorphic sarcoma | 5 (12%) | 0 | 5 (7%) |
| Well-diff/de-differentiated liposarcoma | 30 (71%) | 0 | 30 (42%) |
| Other | 0 | 4 (13%) | 4 (6%) |
| Multifocal | |||
| No | 39 (93%) | 29 (97%) | 68 (94%) |
| Yes | 3 (7%) | 1 (3%) | 4 (6%) |
| Overall Survival | |||||||
|---|---|---|---|---|---|---|---|
| Univariable | Multivariable | ||||||
| Variable | Level | N | Events | HR (95% CI) | p-Value | HR (95% CI) | p-Value |
| Age | Per 5 years increase | 72 | 18 | 1.2 (1.0, 1.4) | 0.125 | 1.3 (1.0, 1.8) | 0.040 |
| Max dimension on imaging | Per 10 cm increase | 72 | 18 | 1.5 (0.8, 2.6) | 0.176 | 4.0 (1.2, 13.0) | 0.015 |
| Grade | 1 | 23 | 1 | ref | 0.004 | ref | 0.002 |
| 2 | 24 | 6 | 5.3 (0.6, 44.4) | 22.0 (1.5, 323.9) | |||
| 3 | 18 | 8 | 15.1 (1.8, 124.8) | 180.3 (6.8, 4802.7) | |||
| Subtype risk group | High-risk | 42 | 15 | ref | 0.023 | ref | 0.114 |
| Low-risk | 30 | 3 | 0.3 (0.1, 0.9) | 5.1 (0.8, 33.4) | |||
| Adjusted by Age and Max Dimension on Imaging | |||||
|---|---|---|---|---|---|
| Category | Variable | Level | HR (95% CI) | p-Value | C-Statistic |
| First Order | 10th percentile | Per 10 increase | 1.1 (0.9, 1.4) | 0.309 | 0.65 |
| 90th percentile | Per 10 increase | 1.2 (0.7, 2.1) | 0.430 | 0.64 | |
| Kurtosis | Per 100 increase | 0.1 (0.0, 9.3) | 0.013 | 0.69 | |
| Minimum | Per 100 increase | 1.1 (0.8, 1.4) | 0.606 | 0.61 | |
| Skewness | Per 1 increase | 1.0 (0.8, 1.1) | 0.429 | 0.62 | |
| GLCM | Cluster shade | Per 1000 increase | 0.4 (0.0, 8.2) | 0.062 | 0.69 |
| IDN | Per 0.01 increase | 0.6 (0.3, 1.0) | 0.062 | 0.74 | |
| IMC1 | Per 0.01 increase | 1.1 (1.0, 1.2) | 0.128 | 0.72 | |
| Inverse variance | Per 0.01 increase | 1.0 (0.9, 1.2) | 0.739 | 0.58 | |
| Max probability | Per 0.01 increase | 1.0 (0.9, 1.1) | 0.511 | 0.62 | |
| GLDM | Dependence variance | Per 1 increase | 0.9 (0.8, 1.1) | 0.254 | 0.68 |
| Gray level variance | Per 10 increase | 0.6 (0.3, 1.4) | 0.082 | 0.68 | |
| GLRLM | Long run low gray level emphasis | Per 0.01 increase | 0.8 (0.3, 1.9) | 0.600 | 0.63 |
| GLSZM | Gray level non-uniformity | Per 1000 increase | 1.2 (1.0, 1.4) | 0.098 | 0.71 |
| Gray level variance | Per 100 increase | 0.5 (0.1, 2.9) | 0.077 | 0.67 | |
| Large area emphasis | Per 1,000,000 increase | 1.0 (0.9, 1.0) | 0.671 | 0.59 | |
| Large area low gray level emphasis | Per 10,000 increase | 1.2 (0.9, 1.7) | 0.179 | 0.65 | |
| Size zone non-uniformity normalized | Per 0.01 increase | 1.0 (0.8, 1.1) | 0.572 | 0.62 | |
| Zone entropy | Per 1 increase | 0.5 (0.1, 1.9) | 0.261 | 0.68 | |
| Zone percentage | Per 0.01 increase | 1.0 (0.8, 1.3) | 0.964 | 0.58 | |
| NGTDM | Busyness | Per 100 increase | 2.4 (1.2, 4.8) | 0.036 | 0.73 |
| Contrast | Per 0.01 increase | 0.7 (0.1, 5.3) | 0.723 | 0.61 | |
| Strength | Per 1 increase | 0.1 (0.0, 47.8) | 0.036 | 0.72 | |
| Shape | Elongation | Per 0.1 increase | 1.0 (0.6, 1.8) | 0.891 | 0.59 |
| Flatness | Per 0.1 increase | 1.3 (0.8, 2.1) | 0.364 | 0.67 | |
| Major axis length | Per 100 increase | 1.5 (0.4, 4.8) | 0.544 | 0.62 | |
| Sphericity | Per 0.1 increase | 0.8 (0.4, 1.7) | 0.594 | 0.57 | |
Disclaimer/Publisher’s Note: The statements, opinions and data contained in all publications are solely those of the individual author(s) and contributor(s) and not of MDPI and/or the editor(s). MDPI and/or the editor(s) disclaim responsibility for any injury to people or property resulting from any ideas, methods, instructions or products referred to in the content. |
© 2025 by the authors. Licensee MDPI, Basel, Switzerland. This article is an open access article distributed under the terms and conditions of the Creative Commons Attribution (CC BY) license (https://creativecommons.org/licenses/by/4.0/).
Share and Cite
Shahnam, A.; Hardcastle, N.; Gyorki, D.E.; Ingley, K.M.; Tran, K.; Mitchell, C.; Chander, S.; Chu, J.; Henderson, M.; Herschtal, A.; et al. Applying Radiomics to Predict Outcomes in Patients with High-Grade Retroperitoneal Sarcoma Treated with Preoperative Radiotherapy. J. Imaging 2025, 11, 450. https://doi.org/10.3390/jimaging11120450
Shahnam A, Hardcastle N, Gyorki DE, Ingley KM, Tran K, Mitchell C, Chander S, Chu J, Henderson M, Herschtal A, et al. Applying Radiomics to Predict Outcomes in Patients with High-Grade Retroperitoneal Sarcoma Treated with Preoperative Radiotherapy. Journal of Imaging. 2025; 11(12):450. https://doi.org/10.3390/jimaging11120450
Chicago/Turabian StyleShahnam, Adel, Nicholas Hardcastle, David E. Gyorki, Katrina M. Ingley, Krystel Tran, Catherine Mitchell, Sarat Chander, Julie Chu, Michael Henderson, Alan Herschtal, and et al. 2025. "Applying Radiomics to Predict Outcomes in Patients with High-Grade Retroperitoneal Sarcoma Treated with Preoperative Radiotherapy" Journal of Imaging 11, no. 12: 450. https://doi.org/10.3390/jimaging11120450
APA StyleShahnam, A., Hardcastle, N., Gyorki, D. E., Ingley, K. M., Tran, K., Mitchell, C., Chander, S., Chu, J., Henderson, M., Herschtal, A., Bressel, M., & Lewin, J. (2025). Applying Radiomics to Predict Outcomes in Patients with High-Grade Retroperitoneal Sarcoma Treated with Preoperative Radiotherapy. Journal of Imaging, 11(12), 450. https://doi.org/10.3390/jimaging11120450

