Abstract
The primary objective of this research is to utilize an industrial waste byproduct such as waste foundry sand (WFS) as an alternative for fine aggregate in self-compacting concrete (SCC). This research focuses on the use of WFS in SCC to enhance durability and mechanical properties, to find an alternative for fine aggregate in SCC, to reduce the disposal challenges of WFS, and to make SCC lightweight and environmentally friendly. Initially, WFS was treated with chemical (H2SO4), segregating, and sieving to remove the foreign matter and clay content. For this study, WFS is considered in varying percentages such as 0, 10, 20, 30, 40, and 50. For this investigation, M60 grade SCC is considered as per Indian standards and EFNARC guidelines. After that, this research focuses on tests on various fresh properties of SCC in each batch to find the flowability and passing ability of various mixes prepared using WFS. Similarly, the mechanical properties of SCC such as compressive, flexural, and split tensile strength tests were performed at 7, 28, and 90 days curing periods, respectively. Likewise, durability properties of SCC were found in all the mixes prepared using WFS such as water absorption, sorptivity, resistance to chemical attack, and chloride ion penetration; tests of these properties were performed at 28 and 90 days curing periods, respectively. Based on the experimental investigation of SCC, it was found that WFS can be used in M60 grade SCC as an alternative for fine aggregate up to 30% without compromising much on its properties. Finally, this establishes that using treated WFS in SCC helps in reducing the generation of waste and prevails as a meaningful utilization method. This research will also establish that the use of treated WFS will reduce the density and make SCC a lightweight, green, and sustainable material.
1. Introduction
Concrete is a versatile material used throughout the world. Without concrete, we cannot make a perfect structure [1,2]. The development of India also means an increase in concrete infrastructure. It leads to the depression of natural resources [3]. It also leads to urbanization and industrialization taking place. The consumption of natural resources for infrastructure and construction projects significantly increased from 1900 to the current date [4]. The overexploitation of resources such as gravel and river sand has been identified as one of the main factors that contributes to the depletion of natural resources [5,6]. In addition, industrialization has led to the dumping of waste in landfills, which negatively affects the environment [7,8].
Waste foundry sand (WFS) is a waste byproduct obtained from the metal/alloy casting industries. Similarly, the use of WFS in concrete mainly impacts the quality, hydration, setting time, and long-term performance of concrete. However, treatment of foundry sand with chemicals or water will reduce the contaminants present in WFS and help in improving the strength and durability properties of concrete. Therefore, the use of treated foundry sand (TWFS) is more beneficial when compared to WFS. Due to the unawareness about the favorable reuse of treated foundry sand, it has been difficult for end-users to make informed decisions. However, this practice has become more accepted as more industries are aware of its potential [9]. Reuse of TWFS continues to become more accepted as a means of overcoming disposal and landfilling activities [10].
In the past few years, the utilization of waste foundry sand in concrete mixtures has been on the rise due to its environmental and economic benefits [11,12]. Numerous studies [13,14] have been carried out on the impact of WFS on concrete’s durability and strength. The various industrial practices that contribute to the creation of each waste type are responsible for its source. These materials are then recycled and disposed of globally [11]. The characteristics of WFS can be affected by the industry it comes from and the casting process adopted. About 84% to 93% of it is composed of particles that are smaller than 100 mm. According to data collected from 39 foundries, the average particle size of WFS is around 0.50 to 2.00 mm [4].
Studies have shown that the use of WFS in concrete mixtures can have varying negative and positive effects on the compressive strength of the concrete [15]. Some studies claim that up to a certain level, up to 20%, can improve the concrete’s compressive strength [16,17]. This is attributed to the various properties of the filler and pozzolanic properties. Although the use of WFS can improve the strength of concrete by reducing the usage of fine aggregate (FA), it can also lead to a decrease in compressive strength. This issue can be caused by the presence of binders in the particles [18].
Although there has been conflicting evidence presented regarding the effects of WFS on SCC durability, some studies claim that it can help improve its resistance to various types of attacks. The pozzolanic reaction of WFS can enhance the concrete’s resistance to chemical attacks and reduce its permeability [19]. However, other studies claim that the addition of WFS did not improve the durability of the concrete. Particle size distribution, quality, and presence of impurities or contaminants can affect the performance of WFS in certain concrete mixtures [20].
Through various analytical techniques, such as X-ray diffraction, scanning electron microscopy, and mercury intrusion morphometry, researchers have been able to study the effects of the utilization of WFS on certain structural features of concrete. They discovered that the concrete’s hydration products, pore structure, and ITZ have changed due to the presence of WFS. These changes could affect the concrete’s durability and mechanical properties [21]. To minimize the negative effects of WFS on the concrete’s durability, various optimization techniques have been proposed. These include the use of particle size control and pre-treatment of WFS to remove contaminants. To create sustainable and high-quality concrete mixtures, producers and researchers can use the proper mix techniques and choose the right materials. This can help them develop concrete that is more durable and resilient.
The primary aim of this research is to improve the properties of concrete by partially replacing manufactured sand (manufactured sand or crushed sand is a type of sand produced by grinding hard granite into fine particles) with WFS (0–50%). In a study, researchers conclude that the non-ferrous and ferrous foundry industries produce around 6 and 10 MT of waste annually, and estimates show that only 15% of this waste is recycled. There is a requirement to provide an alternative form of disposal for this huge industrial waste because of the declining availability of dumping sites and the cost of disposal [22].
Compared to existing concrete, SCC provides various advantages when it comes to production and placement. These include its ability to reduce the need for external or internal vibration, improved workability, durability, and better bonding strength [23,24]. The placement and production of SCC can be faster than that of conventional concrete. In terms of durability, mechanical performance, and appearance, it offers a superior alternative [25]. Besides the mechanical and appearance characteristics, the various aspects of production and placement are also important when it comes to the success of SCC. These include quality control and finishing techniques. If the processes and guidelines are highly specific for the project, it can affect the construction ability of the concrete [26]. Various factors, such as the concrete mixer used, the duration of its transport, and the methods used in the final pour and finish, can affect the concrete’s characteristics. Therefore, strict quality control measures are implemented during the manufacturing process of SCC [27]. Pumping is the ideal installation technique for SCC because of its better workability than conventional concrete. However, a larger flow rate increases the likelihood of air entrainment, which can lead to segregation and bleeding. SCC typically has fewer surface flaws than regular concrete, although cracking and honeycombing can occur if production and placement rules are not properly followed [28]. To produce SCC reliably, this chapter discusses how to manage the admixtures, aggregate moisture content, and water-to-solids ratio [29].
The use of WFS as an alternative for FA is almost equivalent to the requirements needed to match the characteristics that are used in concrete. The outcome of this study specifies that the concrete with TWFS performed better than the reference mix. Concrete with 30% TWFS is more resistant than the reference mix with improved durability properties. Researchers also demonstrated that TWFS could be used to produce high-strength concrete. [4]. A study conducted on the sustainable properties of concrete shows that WFS can be used as a building material. A similar program was then used on a control material, which is a sand-sized recycled glass. When it comes to construction projects, utilizing WFS instead of natural sand can have positive environmental effects. It can help reduce greenhouse gas emissions and prevent landfills from being expanded [30]. One study [4] analyzed the impacts of WFS and fly ash on the fresh and hardened state of concrete mixes. It revealed that the use of up to 30% WFS can enhance the hardened properties of the concrete. According to a study [31] performed on concrete, a density of less than 1230 kg/m3 can be considered lightweight with WFS as a substitute for natural sand. The light weight can be attributed to the air voids created by the aerating agents such as aluminum powder and hydrogen peroxide. The concrete commonly used at the time of the study had a compressive strength of around 25 MPa. By adding 40% TWFS, its strength had risen to 30.5 MPa [32,33].
The researchers of [34] also discovered that the concrete produced using recycled aggregate and 20% WFS exhibits better characteristics when compared to the controlled concrete. According to this study, the use of WFS, obtained from manufacturing and processing various metals, as a partial replacement for FA in concrete for effective strength gain and long-term performance [35]. This research proposes a framework for the development of WFS reclamation in India through a multi-stakeholder approach. It includes technology, resources, and potential markets [36]. Due to the properties of the waste products, the researchers determined that the optimal replacement levels for coconut shells and WFS were found to be 25% and 15%, respectively [37]. The researchers of [38] studied the effects of ground granulated blast furnace slag (GGBFS) on concrete strength and how much WFS should be used as an alternative to FA. They discovered that a mixture of 15% bagasse ash, 30% GGBFS, and 30% WFS can produce superior concrete. Critical findings from the literature review and the significance of this research are highlighted in the next section.
2. Research Significance
Due to the rapid growth of construction, it is important to note that the basic materials used for the production of SCC need special attention regarding sustainability and environmental friendliness. This can be done using waste materials such as byproducts of industrial waste. However, there are also various alternatives that can be used to make the process more economical. Extensive research is already being carried out on the use of WFS in traditional concrete. However, there has been a lack of sufficient literature on the subject, which suggests that further studies are needed. The use of WFS is lacking in SCC in both durability studies and life cycle assessments. In this study, the researchers suggest that fine aggregates are a more effective alternative to WFS in SCC. The use of WFS and TWFS enhances the strength, durability, microstructure, and fresh properties of the SCC. In this study, an attempt is made to utilize TWFS as an alternative to FA and assess properties such as its micro-structure, durability, and fresh properties to explore its use in the preparation of SCC. This research also attempts the LCA of SCC prepared based on the hardened properties of SCC. The outcome of this investigation demonstrates that the use of TWFS in the production of SCC can be favorable as it can deliver a cost-effective and sustainable alternative to FA in SCC.
3. Materials
3.1. Ordinary Portland Cement (OPC)
For this research, OPC53–grade cement conforming to Indian standards [39] is used as a basic binding agent. The chemical and physical properties of binders used in SCC are presented in Table 1 and Table 2, respectively. Similarly, the binders (OPC, ground granulated blast furnace slag (GGBFS), and Alccofine) are presented in Figure 1.
Table 1.
Physical properties of binders used in SCC.
Table 2.
Chemical properties of binders used in SCC (OPC, GGBFS, and Alccofine).
Figure 1.
Binders used in SCC.
3.2. Mineral Admixture
Mineral admixtures are primarily used in SCC to improve its various characteristics, including strength and durability. For this research, GGBFS and Alccofine are employed as additives in SCC. GGBFS is a byproduct of the iron production process. It is mainly used to enhance the durability and strength of SCC. It is also used to reduce the heat of hydration and to improve the resistance of SCC to alkali-silica reactions. For this research, GGBFS was collected from the locally available market, where large quantities of iron waste are processed and packaged for easy availability. Alccofine is a low-calcium silicate material commonly used as a cementitious additive in SCC. Alccofine is made from GGBFS, which is a waste material generated by India’s iron ore industry. It has a high concentration of glass and ore. As it is fine when compared to other SCMs, it exhibits reactive characteristics. For this research, Alccofine 1203 was considered as a mineral admixture for the SCC.
3.3. Chemical Admixture
Chemical admixtures play a vibrant role in enhancing the flowability, durability, strength, and other properties of SCC. For this research, polycarboxylate ether-based superplasticizers are used as a chemical admixture.
3.4. Fine and Coarse Aggregate
For this study, coarse aggregate (CA) of a nominal size of 20 mm and fine aggregate (FA) of a size smaller than 4.75 mm were used. Locally available crushed angular shaped CA was considered. Similarly, manufactured sand was considered as a FA for this research. The physical properties of FA and CA used in this study are specified in Table 3. Similarly, the particle size distribution of the FA used is presented in Figure 2.
Table 3.
Physical characteristics of WFS, TWFS and M-Sand.
Figure 2.
Particle size distribution of FA used in SCC.
3.5. Water
In the process of concrete production, water is a vital component, as it shows a significant function in the mixing, placing, and curing of concrete. For this research, tap water was used for the preparation of the SCC.
3.6. Waste Foundry Sand (WFS)
WFS is a byproduct produced from the metal casting process. It is usually composed of high-grade silica sand and clay mixed with varying additives, binders, and residual metals. WFS exhibits certain characteristics like its natural counterpart, such as its particle size and shape; it may have higher levels of organic matter, fines, and clay, which influences its reuse as a FA in concrete. Due to the environmental impact of WFS, foundries that produce large quantities of waste are constantly looking for ways to manage it. This can be done through various means, such as recycling and landfilling. To overcome the challenges of landfilling and disposal concerns and reduce the potential environmental and health risks, WFS is used as a FA in this study.
Due to the presence of unwanted foreign concentrations like clay, carbon, and other concentrations, WFS will affect the hydration, strength, and other properties of concrete. Hence, in this study, WFS is treated with 5% concentrated H2SO4 and considered TWFS to remove the foreign matter present in WFS. After treatment, TWFS is considered as an alternative to fine aggregate in SCC with varying proportions such as 0, 10, 20, 30, 40, and 50% by weight of manufactured sand. The physical properties of WFS and TWFS are presented and compared with manufactured sand in Table 3. The grain size distribution of WFS and TWFS and its comparison to manufactured sand is presented in Figure 2. Similarly, the WFS and TWFS used for this research are presented in Figure 3. The morphology of WFS and TWFS is presented in Figure 4. Energy dispersion X–ray (EDX) analysis and the chemical composition of TWFS and WFS are presented in Figure 5 and Table 4, respectively.
Figure 3.
Foundry sand used in SCC (WFS and TWFS).
Figure 4.
Morphology of WFS and TWFS.
Figure 5.
EDX analysis of WFS and TWFS.
Table 4.
Chemical composition of TWFS and WFS based on EDX analysis.
4. Methodology
This research mainly focuses on the use of treated WFS in varying ratios (0, 10, 20, 30, 40 and 50%) by weight of fine aggregate (FA) in M60 grade SCC. The research methodology followed for this study is rendered in Figure 6. This research mainly focuses on two parts. The first part mainly focuses on the treatment of WFS, characterization of WFS, and its effects on fresh, mechanical, and durability properties of SCC. The second part of this research mainly focuses on studying the effect of SCC prepared using WFS on carbon footprint, environment, and other impact categories. To this end, this research mainly focuses on studying the impact of SCC on a life cycle assessment (LCA). For this LCA study, SimaPro software and the EcoInvent database were used.
Figure 6.
Research methodology followed for this study.
4.1. Treatment of Waste Foundry Sand
This research mainly focuses on the use of WFS in SCC as an alternative to FA to reduce the consumption of natural resources and landfilling and disposal challenges of WFS. The use of WFS in SCC makes concrete eco-friendly. WFS is accumulated from the nearby foundry industries. After collection, it is segregated and cleaned to remove the unwanted foreign matter. After that, WFS is dried and treated with 1 M 5% concentrated H2SO4. After treatment, WFS is dried and sieved using a 4.75 mm sieve. After treatment, WFS is considered treated foundry sand (TWFS).
4.2. Experimental Program
This experimental research mainly focuses on the fresh, strength, and durability properties of SCC prepared using TWFS as a partial replacement of FA. Mix calculations for M60 grade SCC are conducted as per Indian standards IS:10262-2019 [40] and presented in Table 5. To determine the flowability properties of the SCC, slump flow, T500 mm, and V-funnel flow time tests were performed. The ability of fresh SCC mixes to pass through tight and small openings is measured by performing three tests, namely the U-box, L-box, and J-ring tests as per Indian standards and EFNARC guidelines [41,42]. Similarly, mechanical properties of SCC, such as flexural, split tensile, and compressive strength were tested as per Indian Standards [43]. To assess the long-term performance of concrete structures in terms of water absorption and chloride ion ingression, sorptivity, water absorption, and RCPT tests were performed as per Indian standards [44]. Likewise, resistance to chemical attacks is a vital property of concrete structures, particularly in environments prone to such attacks. The degradation of concrete can compromise its integrity, durability, and strength. Hence, tests on chemical attacks are very important and were performed for concrete test specimens as per Indian standards [44] to assess their ability under various exposure conditions. Based on the strength properties of SCC, statistical analysis was performed and is presented in Section 5.5. A summary of the experimental program followed for this study is presented in Table 6. The process of mixing the SCC and the preparation of test mixes is presented in Figure 7.
Table 5.
Mix proportions of M60 grade SCC (kg/m3).
Table 6.
Summary of experimental program.
Figure 7.
Process of mixing and preparation of SCC test specimens prepared using TWFS.
4.3. Lifecycle Assessment (LCA)
Based on the end results of experimental analysis, a LCA was performed for all the SCC mixes with and without TWFS to assess the environmental impact. For LCA, SimaPro 9.1 software and EcoInvent 3.2 database were used in this research. For the LCA, cradle-to-gate stage is considered as per the standard guidelines of ISO14040-2006 [45]. The process flow chart followed for SCC mixes is presented in Figure 8.
Figure 8.
Process flow diagram followed for LCA in cradle-to-gate stage.
5. Results and Discussion
5.1. Fresh Properties
5.1.1. Tests on Flowability Properties of SCC
Performed tests on fresh properties of SCC like the slump flow, T500 mm, L-Box, and J-Ring are highlighted in Figure 9. The test results of the slump flow and T500 mm are presented in Figure 10a–c. In Figure 10a, it is shown that as the percentage of TWFS increases, the slump flow also exhibits a decrease. The marginal decrease in the slump flow diameter test results indicates that the TWFS content is absorbing water towards its surface and decreases the flowability properties of SCC. Similarly, the same trend of decrease in the flowability test results is noticed in T500 mm. Similarly, all of the mixes exhibit satisfactory flowability properties of SCC as per EFNARC 2005 [42].
Figure 9.
Fresh properties tests on SCC. (A) Slump flow, (B) J-Ring, (C) L-Box, and (D) V-Funnel.
Figure 10.
SCC fresh properties test results. (a) Slump flow; (b) T500 mm; (c) V-Funnel flow; (d) L-Box; (e) U-Box; (f) J-Ring; and (g) density tests.
A V-funnel flow time test was conducted to assess the viscosity of the SCC mixes. The viscosity of the SCC mixes determines the initial flow and the flowability properties of specific mixes. The test results of the SCC mixes prepared using TWFS are presented in Figure 10c. In Figure 10c, it is shown that as the WFS content increases, a decrease in flowability is seen for SCC mixes prepared using TWFS. When compared to the reference mix, all of the mixes exhibit an insignificant decrease in flowability properties. This is because the presence of contaminated foreign matter in TWFS has decreased the fresh properties of the SCC.
5.1.2. Tests on Passing Ability Properties of SCC
The passing ability test results of all of the mixes prepared using TWFS are presented in Figure 10d–f. Like the tests on the flowability properties of SCC mixes prepared using TWFS, the passing ability test results also exhibit a decrease in the fresh properties of the SCC. From the U-Box test results, it is noticed that, with respect to reference mix TWFS0, there is a marginal increase in the U-box ratio (h2–h1). It is also noticed that there is a decrease in passing ability until the TWFS30 mix. Thereafter, a decrease in passing ability is found to be marginal. The same trend of decrease in the fresh properties of the SCC is noticed for the U-Box and J-Ring tests. This indicates that the use of TWFS will not affect the passing and flowability properties of SCC mixes until TWFS30. Similarly, all of the mixes prepared using TWFS (10%, 20%, 30%, 40%, and 50%) lie within the permissible limits of SCC as per EFNARC guidelines [42]. Therefore, based on the fresh properties of SCC, it is found that up to 30% TWFS can be used as an alternative to fine aggregate (FA) in SCC.
5.1.3. Density
Like with the passing and flowability properties of the SCC, a density test on fresh concrete was performed as per Indian standards [40]. The test results of all of the SCC mixes prepared using TWFS as an alternative to FA are presented in Figure 10g. In the density test results, it is shown that, as the TWFS content increases (0–50%), there is a decrease in the density of the SCC with respect to reference mix TWFS0. It indicates that the chemical treatment of the WFS has effectively decreased the unwanted foreign material, clay, metal particles, and hazardous waste from WFS, and its application in SCC has proved there is a decrease in density that makes the SCC lightweight [40].
5.2. Mechanical Properties
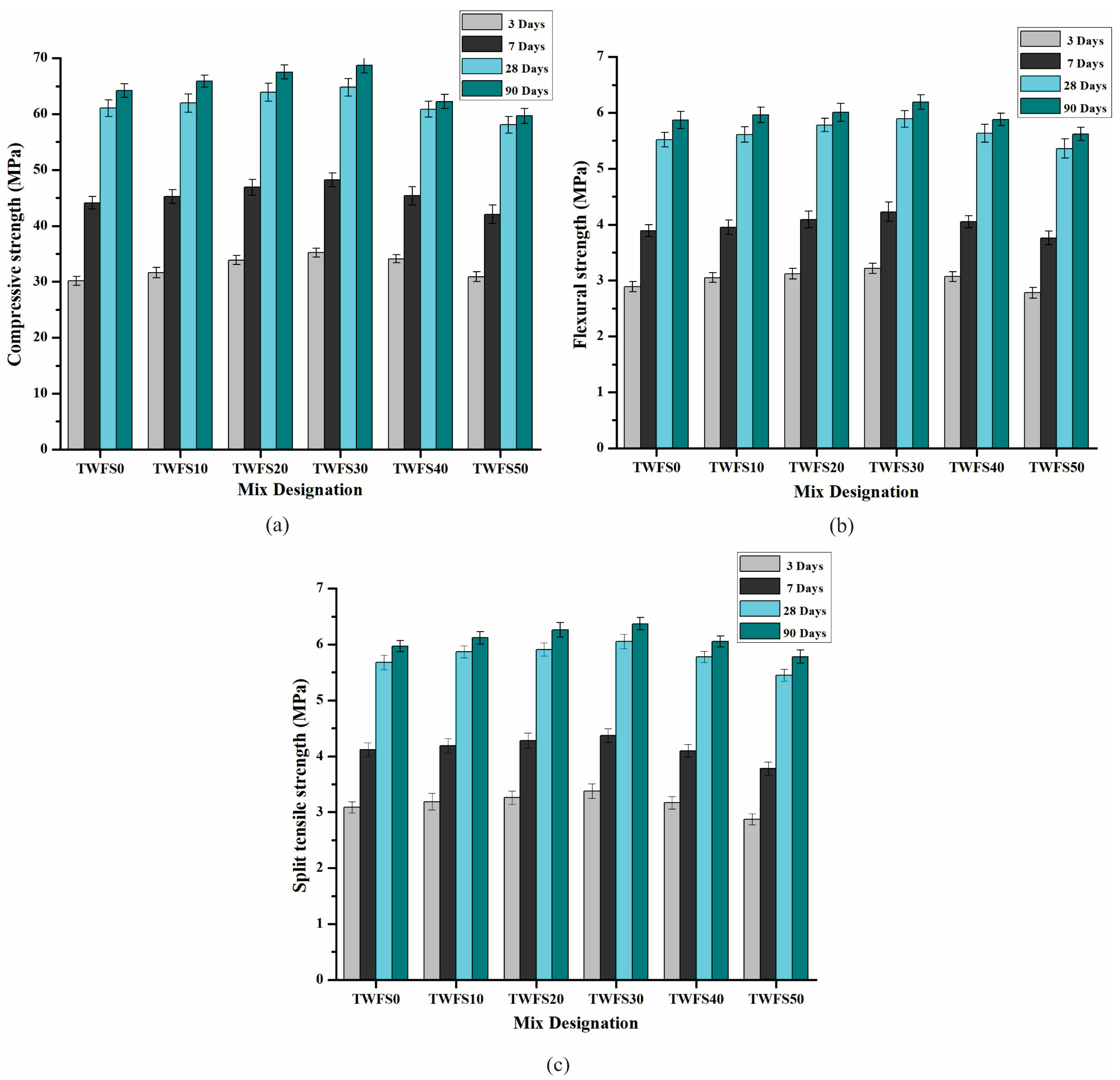
Split tensile, compressive, and flexural strength tests were performed as per Indian standards [43] to find out the mechanical properties of the SCC. The summary of the experimental program is also highlighted in Table 6.
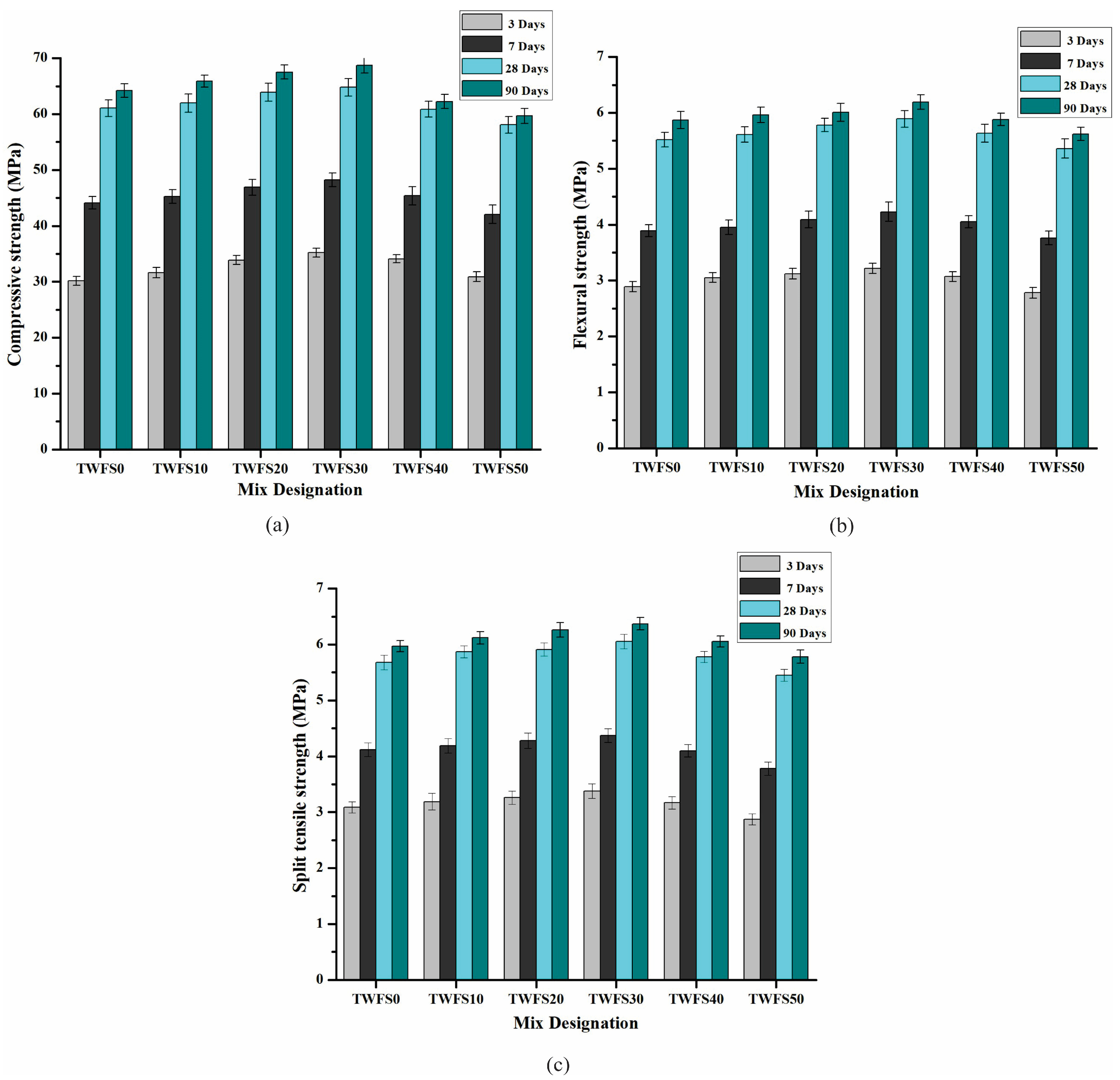
5.2.1. Compressive Strength
To determine the mechanical properties of the SCC mixes prepared using TWFS in varying proportions (0–50%) by weight of the FA, a compressive strength test was performed on all of the mixes at 7, 28, and 90 days curing periods. The test results of the various combinations of mixes are highlighted in Figure 11a. In Figure 11a, it is observed that, as the TWFS content in the M60 grade SCC mixes increases, there is an enhancement in compressive strength. Enhancement in strength is noticed in the TWFS30 mix in comparison to TWFS0. Likewise, a marginal decrease in strength was noticed for the TWFS40 and TWFS50 mixes. One can also notice that the strength improvement of the mixes prepared with TWFS exhibited better strength (6–8%) when compared to TWFS0. This indicates that the treatment of WFS with chemicals proved to reduce the unwanted clay and other impurities present in WFS and helped in achieving an improvement in the strength of cement mortar up to a 30% replacement level.
Figure 11.
Test results of mechanical properties of SCC. (a) Compressive, (b) STS, and (c) Split tensile strength.
5.2.2. Split Tensile Strength (STS)
STS test was performed to measure the mechanical properties of the SCC test specimens prepared using TWFS, as mentioned in Table 5. Similarly, the experimental program followed for this experimental investigation is presented in Table 6. The test results of the STS of all of the SCC mixes are presented in Figure 11c. As noticed with the compressive strength, an enhancement in STS is also noticed in the SCC mixes prepared using TWFS. In Figure 11b, it is also observed that enhancement in STS is noticed until the TWFS30 mix. Thereafter, a marginal strength reduction is noticed, maybe because of the occurrence of clay or any other foreign matter in the TWFS. Based on the strength enhancement of the SCC mixes until TWFS30, it is observed that chemical treatment has decreased the amount of unwanted foreign matter, and the occurrence of silica and other compositions present in TWFS has helped to enhance the split tensile strength of the SCC.
5.2.3. Flexural Strength
A flexural strength test was also performed as per Indian standards [43]. For the flexural strength test, the test mixes and experimental programs were considered for all of the mixes, as presented in Table 5 and Table 6. Similarly, the flexural strength test results of the SCC mixes are presented in Figure 11b. Like with the STS and compressive strength, the same trend of increment in flexural strength is noticed for the TWFS10, TWFS20, and TWFS30 mixes. This is mainly because of the use of treated WFS (TWFS) in the SCC. After the chemical treatment, the presence of silica and other compositions in the TWFS helped in achieving incremental strength. Similarly, a marginal reduction in strength is noticed for the TWFS40 and TWFS50 mixes. Based on the mechanical properties of the SCC mixes, it is noticed that the optimum use of the TWFS in the SCC was found to be 30% as an alternative to FA.
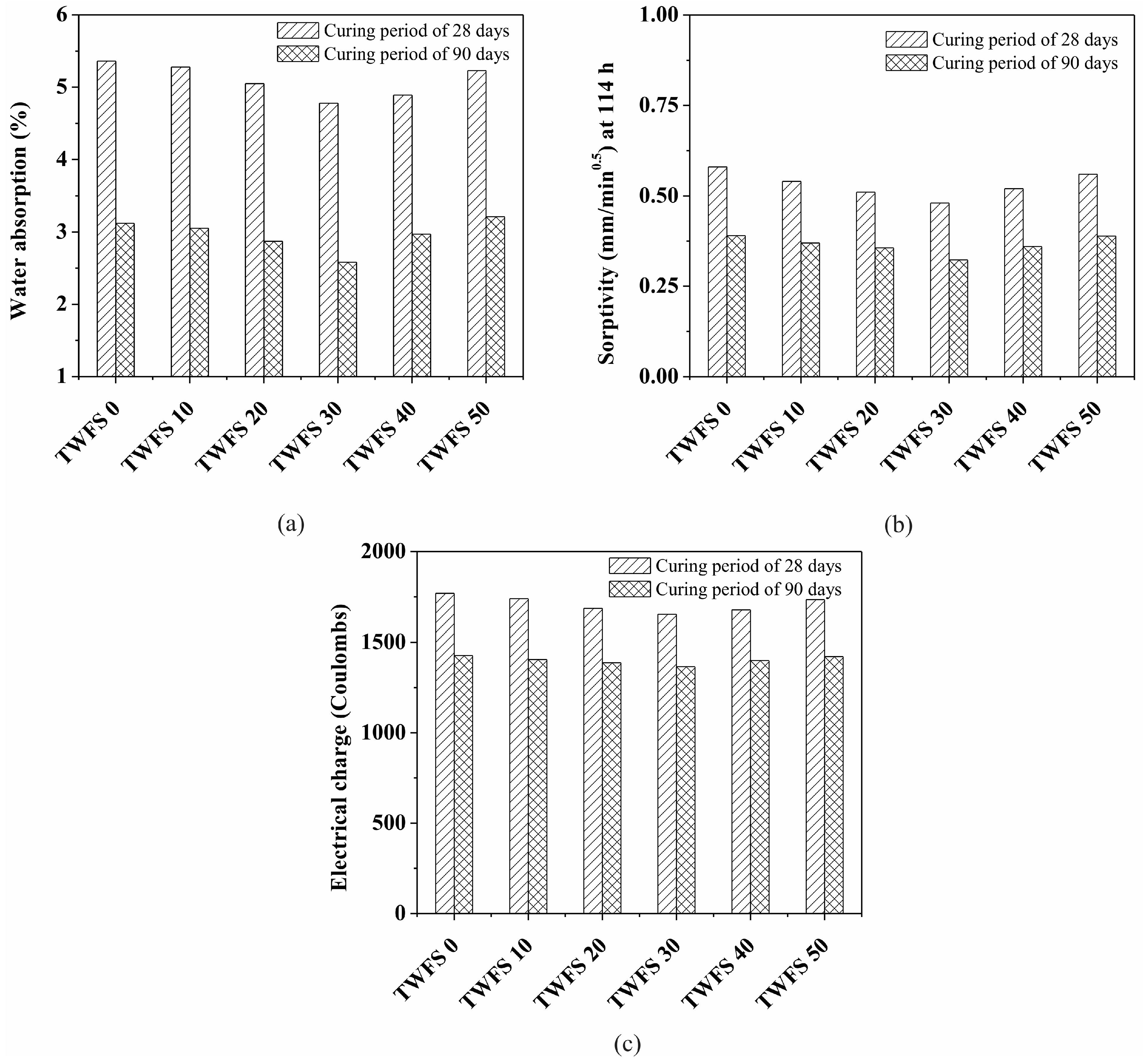
5.3. Durability Properties
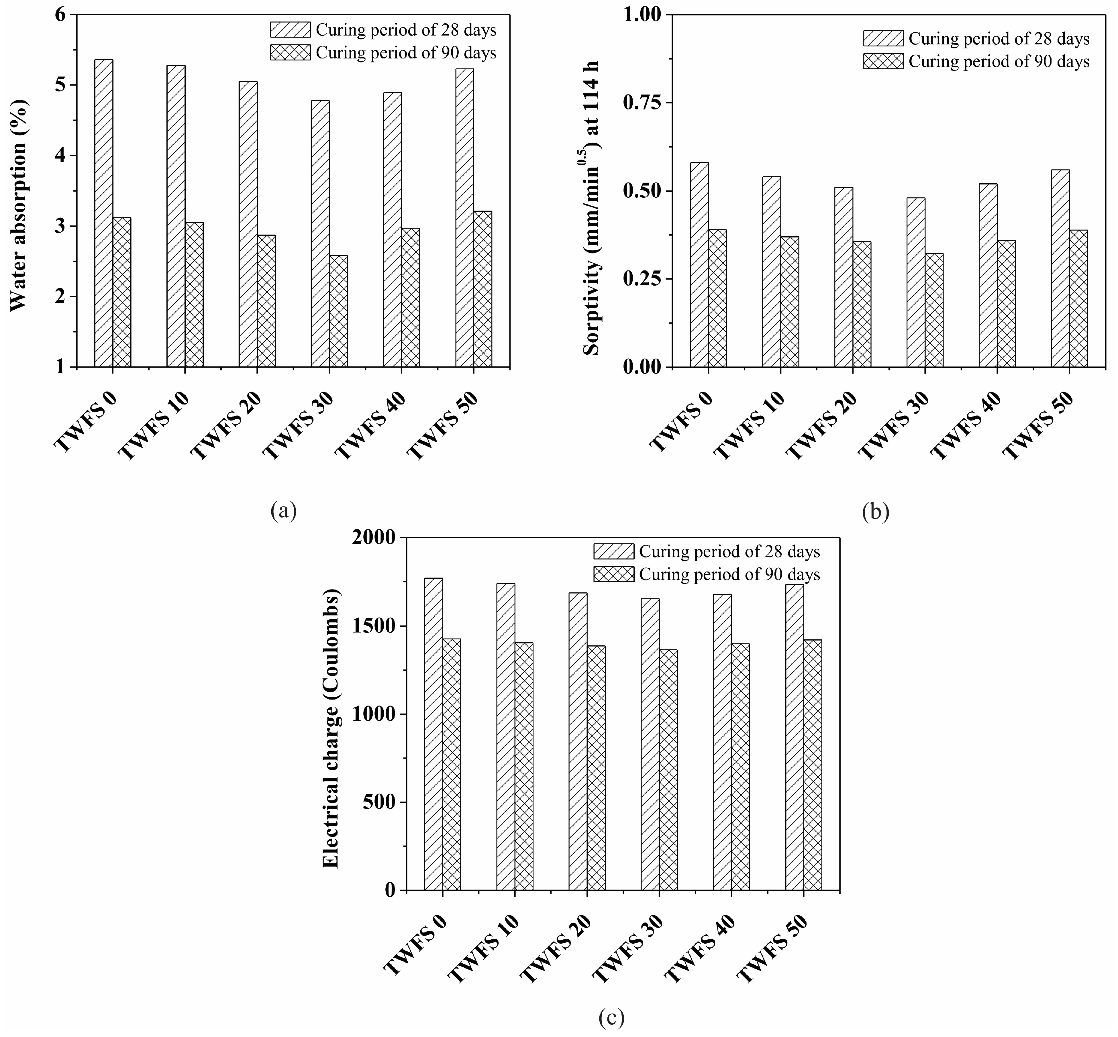
5.3.1. Water Absorption
A water absorption test was performed on all of the SCC test mixes prepared using the TWFS at various replacement levels as presented in Table 5. The water absorption test results of all of the test mixes prepared using the TWFS are highlighted in Figure 12a. As the percentage of TWFS increases in the SCC, a marginal decrease in water absorption is noticed. This reveals that the use of fine particles of treated WFS makes SCC denser and decreases the durability of SCC. Similarly, a marginal increase in water absorption is noticed for the mixes prepared with 30% TWFS (TWFS30), specifically compared to TWFS40 and TWFS50 mixes. Similarly, one can also notice that the water absorption test results of the TWFS40 and TWFS50 mixes present a marginal increase in water absorption when compared to TWFS0. WFS contains a thick film of burnt carbon and is coated with various hazards, dust, and resins. Its hydrophilic surface makes concrete attractive to water. This anhydrate burnt carbon, and the other thin films of WFS binders attract more water towards the surface. However, the chemical treatment of TWFS has improved the durability properties of the SCC.
Figure 12.
Tests on durability properties of SCC test specimens prepared with TWFS. (a) Water absorption, (b) sorptivity, and (c) rapid chloride ion permeability.
5.3.2. Sorptivity
A sorptivity test was conducted on the durability properties of the SCC test specimens as presented in Table 5. The sorptivity test results of all of the mixes prepared with TWFS are presented in Figure 12b. From the sorptivity test results it is observed that an improvement in durability is noticed for all of the mixes at each curing period (28 and 90 days). A decrease in sorptivity for the SCC mixes prepared with TWFS is noticed until TWFS30, after which a marginal increase in sorptivity is observed for TWFS40 and TWFS50 compared to the reference mix, TWFS0. Hence, from the durability point of view, using TWFS (30–40%) as an alternative to M-Sand in SCC exhibits improved durability. An improvement in the durability properties of the SCC is mainly due to the chemical treatment of WFS and its application in SCC.
5.3.3. Rapid Chloride Permeability Test (RCPT)
A RCPT was carried out to determine the permeability ingress of chloride ions in SCC test specimens prepared using TWFS, as presented in Table 5. Similarly, the experimental program followed as per Indian standards is presented in Table 6. The RCPT results of the mixes prepared using TWFS are presented in Figure 12c at 28 and 90 days curing periods. In Figure 12c it is noticed that as the percentage replacement of TWFS in the SCC increases, there is a decrease in electrical charge (Coulombs) until TWFS30. It is noticed that the TWFS30 mix achieved 1620 when compared to the TWFS0 mix, which has a 1790 electrical charge (Coulombs). This shows that as the TWFS content increases, an improvement in the durability properties of the SCC is noticed. Similarly, a marginal increment in the permeability of the chloride ions is noticed for the mixes. One can also notice that all of the mixes prepared using TWFS exhibit better durability when compared to the reference mix (TWFS0). This also indicates that TWFS can be used as an alternative to FA without heavily affecting the durability properties of SCC.
5.3.4. Resistance to Chemical Attacks
To assess the resistance of the various test specimens prepared using WFS to chemical attacks, this study mainly concentrates on chloride attack resistance, sulphate attack resistance, and acid attack resistance (HCL and H2SO4). The test mixes and the experimental program followed for all of the mixes are presented in Table 5 and Table 6, respectively. The test results regarding the resistance to chemical attacks for the various test mixes are presented in Figure 13.
Figure 13.
Chemical attack test results. (a) Chloride resistance, (b) sulphate resistance, (c) acid resistance (HCL), and (d) acid resistance acid (H2SO4).
In Figure 13a, it is observed that, as the percentage of the TWFS increases, there is a decrease in weight and strength loss for the SCC mixes until TWFS30 when compared to the reference mix, TWFS0. It is also observed that, in comparison to mixes cured at 28 days, at 90 days, there is an improvement in chloride attack resistance. Similarly, at 28 and 90 days curing period, the resistance to chloride attacks is found to be less than 1.11% and 1.45% weight loss, respectively, for the mix TWFS30. One can also notice that all of the TWFS mixes exhibit marginal resistance to chloride attacks, better than that exhibited by the reference mix, TWFS0.
The test results regarding resistance to sulphate attacks are presented in Figure 13b. In Figure 13b, it is noticed that the SCC mixes prepared with TWFS have less resistance (weight and strength loss) when compared to chloride resistance attacks. At both the 28 and 90 days curing periods, the mixes prepared using TWFS (0, 10, 20, 30, 40, and 50%) highlight the decrease in sulphate resistance (weight and strength loss) when compared to the reference mix, TWFS0. It is also noticed that the TWFS30 mix showed better performance in terms of durability when compared to the other mixes.
Like the sulphate and chloride resistance tests, acid (HCL and H2SO4) resistance tests were also performed to measure the durability performance of the SCC mixes prepared using TWFS. Figure 13c highlights the acid resistance (HCL) test results of the SCC mixes prepared using various concentrations of TWFS as an alternative to FA. In Figure 13c, it is observed that, as the curing period increases, resistance to acid attack also decreases on mixes prepared using TWFS. It is also noticed that resistance to acid attacks (HCL) is found to be 3.65% (weight loss) and 3.81% (strength loss) at the 90 days curing period. It is also noticed that at the 28 day curing period, the strength loss and weight loss are found to be 4.51% and 4.78%, respectively.
The tests of resistance to acid (H2SO4) attacks are presented in Figure 13d. In Figure 13d, it is observed that, when compared to the reference mix (TWFS0), the TWFS30 mix showed better resistance (weight and strength loss). Similarly, it is also noticed that resistance to acid (H2SO4) attacks is in the range of 20.78% to 26.79% from both the strength and weight loss points of view. From the resistance to chemical attack test results, one can also notice that the TWFS mixes indicated enhanced weight and strength loss when compared to mix TWFS0.
5.4. Ultrasonic Pulse Velocity (UPV) Test
Along with the fresh, mechanical, and durability properties tests, a UPV test was also performed on all of the SCC test specimens prepared using TWFS as an alternative to FA in varying proportions (0, 10, 20, 30, 40 and 50%). The UPV test was mainly performed to measure the quality of the SCC at 28 and 90 days curing periods. The UPV test results of all of the SCC mixes prepared using TWFS are presented in Figure 14. In Figure 14, it is observed that there is an increase in the quality of the SCC as the curing period increases. This indicates that better bonding, hydration, and strength gain are noticed as the TWFS content and curing period increase. The TWFS10, TWFS20, and TWFS30 mixes showed an increase in quality when compared to the reference mix, TWFS0. The UPV test also shows that the TWFS30 mix achieved maximum UPV and was found to be optimum.
Figure 14.
UPV test results of SCC mixes prepared with TWFS.
5.5. Choice of Optimum Mix Design Based on Fresh, Mechanical, and Durability Properties
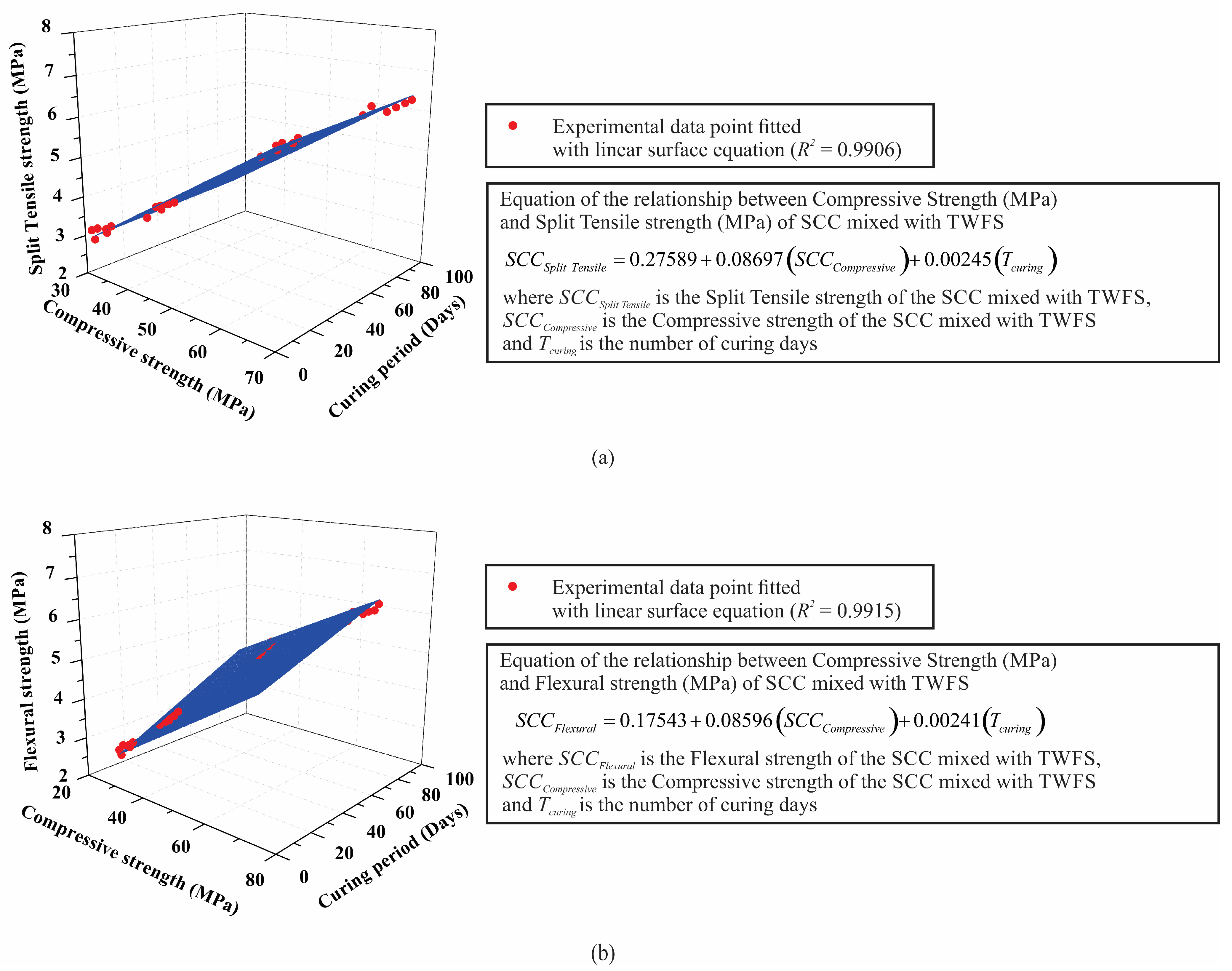
Based on the literature review and the experimental results regarding the fresh, mechanical, and durability properties, it can be observed that the presence of WFS is not suitable for SCC test specimens. It significantly affects the compressive strength and durability properties of SCC. The presence of WFS, even in small amounts, can reduce the compressive strength of the cement mortar, irrespective of the curing period. However, the results show a significantly different trend for SCC test specimens using TWFS. Up until the 30% TWFS mixed specimens, there is an increase in compressive strength, after which the compressive strength decreases subsequently. The TWFS–mixed SCC test specimens show reduced water absorption, sorptivity, and chloride ingression compared to the non-mixed control specimens (TWFS0) up until 30% (TWFS30), after which there is an increase in all of these properties. Therefore, based on the above discussion, it is established that the optimum choice in SCC was found to be 30% (TWFS30). Experimental data fitted with linear surface equation based on mechanical properties are also found to be 0.9906 (R2) as presented in Figure 15.
Figure 15.
Linear relationship between (a) compressive and split tensile strength and (b) compressive and flexural strength.
6. Life Cycle Assessment (LCA)
After determining the optimum use of TWFS in SCC, LCA models were prepared to study the potential environmental impact of the mixes prepared using TWFS as presented in Table 5. For this LCA analysis, this study follows the cradle-to-gate stage using the guidelines specified in ISO:14040-2006. After determining the fresh, durability, and mechanical properties of the SCC, the mixes prepared using TWFS were considered to generate the primary data. The raw materials required for SCC preparation were considered using the EcoInvent 3.2 database. Also, the electricity (E) and transportation (TP) required for 1 m3 of SCC preparation was also considered and adopted from the EcoInvent 3.2 database. The process flow diagram followed for the LCA (cradle-to-gate stage) is presented Figure 8. For the impact assessment of the SCC mixes prepared using TWFS, potential environmental indicators like potential global warming (GWP), fine particulate material formation potential (FPMF), potential depletion of stratospheric ozone layer (PDSO), potential freshwater eutrophication (PFE), potential freshwater ecotoxicity (PFEC), potential human carcinogenic toxicity (PHCT), and potential human non-carcinogenic toxicity (PHNCT) were considered. These categories were considered as common impact category studies associated with SCC and its impact on the use of TWFS. For an interpretation of these categories, LCA models were prepared for all of the mixes; as mentioned in Table 5, the ReCiPe 2016 (H) method was followed. The influence of the mixes prepared using various concentrations of TWFS is summarized in the form of a score (%) and highlighted in Figure 16, Figure 17 and Figure 18.
Figure 16.
Cradle-to-gate stage results of LCA on (A) GWP, (B) FPMF, and (C) PSOD.
Figure 17.
Cradle-to-gate stage results of LCA on (A) PFE, (B) FFEC, and (C) PHCT.
Figure 18.
Cradle-to-gate stage results of LCA on PHNCT.
Figure 16A highlights the potential global warming (GWP) due to the use of OPC, TWFS, and other raw materials in SCC. In Figure 16A, it is observed that the impact of OPC is more dominant when compared to other raw materials. In the TWFS0 mix, the impact of OPC on GWP is found to be 90.25%, while other materials’ impact is found to be 9.5%. This indicates that the production and consumption of OPC in SCC is found to be energy intensive and the main cause for GWP. In other mixes, as the TWFS content increases, the possibility of GWP is in the trend of decreasing. It is understood that concrete is the major source of embodied carbon emission. The manufacturing of cement and its usage in concrete, mainly, is attributed to polluting the environment and causing GWP. By incorporating waste industrial byproducts in concrete, we can lower the overall impact of concrete on carbon footprint and GWP. It is also noticed that the use of TWFS in SCC can be attempted to reduce the carbon footprint, overall energy required, and the potential global warming.
The impact of SCC mixes prepared using TWFS on potential fine particulate material formation (FPMF) is highlighted in Figure 16B. In Figure 16B it is shown that consumption of OPC in SCC causes the generation of fine material in the environment during its manufacturing and usage stage (63.25% in TWFS0). Similarly, WFS also has a stronger impact, as it is mainly used in casting steel and iron products. To avoid the impact of FPMF, TWFS can be used as an alternative to reduce the overall impact on the environment and human health.
The potential environmental impact of SCC mixes prepared using TWFS on PDSO is highlighted in Figure 16C. In Figure 16C, it is observed that the impact of OPC is greater when compared to other raw constituents of SCC. The same trend of GWP and FPMF is also seen in the case of PSOD. The consumption and usage of OPC mainly impacts the depletion of the ozone layer. Similarly, the impact of TWFS is also found to increase as the TWFS concentrations increase in other mixes (TWFS10, TWFS20, TWFS30, TWFS40 and TWFS50). The consumption of waste TWFS generated can be used to mitigate the overall impact of SCC and to attempt safe disposal to reduce the possible environmental impact. Similarly, the impact of other raw ingredients on PSOD is found to be minimal.
Figure 17A,B highlight the potential environmental impact of SCC mixes on freshwater eutrophication (PFE) and freshwater ecotoxicity (PFEC). In Figure 17A, it is noticed that, like other impact categories, OPC is mainly impacting contamination and polluting freshwater. The formation of fine particles during manufacturing and their usage is mainly causing the PFE. Similarly, the waste generation of the iron- and steel-making process also generates large quantities of WFS. The presence of hazardous chemicals, carbon, and other impurities may also contaminate freshwater. To avoid PFE and PFEC, WFS can be safely used to reduce the environmental impact. Mitigating the contamination and pollution of small quantities of freshwater will save thousands of human beings. Similarly, the impact of the other raw ingredients like E, TP, CA, FA, GGBFS, and Alccofine is found to be marginal when compared to OPC and WFS.
Figure 17C and Figure 18 highlight the potential human carcinogenic toxicity (PHCT) and non-carcinogenic toxicity (PHNCT). The impact on human health due to the consumption of SCC and TWFS is also more important. The impact of OPC, Alccofine, and GGBFS on PHCT is found to be maximum in TWFS0. Similarly, when compared to OPC, GGBFS, and Alccofine, the impact of WFS was found to be greater in SCC mixes prepared using TWFS. To reduce the possible human carcinogenic and non-carcinogenic toxicity, an attempt can be made to use TWFS in SCC. As SCC is brittle and its strength and durability is found to be greater when compared to TWFS0, TWFS can be safely used in SCC to reduce the disposal challenges, landfill challenges, and to improve the health of human beings and other life sources. Overall, based on the LCA, it is noticed that, to reduce the potential environmental impact and from the health-of-human-beings point of view, the use of TWFS can be attempted up to 50% (TWFS50). To save the earth, to avoid pollution, and to enhance the strength and durability of SCC, 30% TWFS (TWFS30) can be used, from environmental impact point of view.
7. Sustainable Benefits of Using Waste Foundry Sand (WFS) as an Alternative for Fine Aggregate in SCC
As an alternative to fine aggregate in SCC, WFS can provide various sustainable and environmental benefits. These include reduced ecological impact, resource conservation, energy efficiency, and effective waste management. The waste from the metal casting sector, such as foundry sand, is typically thrown away in landfills. The use of WFS in SCC can help cut down on the environmental impact of landfills and extend their lifespan. Additionally, natural river sand, which is a finite resource, can be conserved. River sand extraction can result in severe environmental damage such as habitat destruction and riverbank erosion. WFS can help protect river sand and lessen its negative impact on the environment. The transportation and production of natural sand emit greenhouse gases and consume energy. The carbon footprint of SCC production decreased with the utilization of WFS, as it is already locally available and is a byproduct. Compared to the natural sand that is extracted and processed, the energy required for the processing of WFS is lower. This helps in reducing the overall energy consumption of concrete production. Based on the outcomes of the strength, durability, and life cycle assessments, it is revealed that WFS can enhance concrete’s resistance to chloride ion penetration and sulfate attacks. This material can lead to long-lasting structures that can reduce the need for regular maintenance and repairs, which can save energy and resources. Due to the uniform and fine particle size of WFS, it can improve the workability of SCC. In some applications, it can even enhance the tensile and compressive properties of SCC. By utilizing WFS instead of natural sand, SCC production costs can be lowered. The waste disposal costs of the construction and foundry sectors can be reduced, which results in mutually beneficial outcomes for everyone. Foundry firms can turn waste into marketable products and foster sustainable practices by creating a demand for WFS. Concrete made from this material can be certified under various building standards. Due to the increasing number of regulations regarding the disposal of waste, many regions are now requiring the use of sustainable and recycled materials in construction. By implementing WFS in construction and infrastructure projects, they can meet these new regulations and promote more eco-friendly practices. In an industrial symbiosis, waste from one industry can be transformed into a raw material for another. This concept supports the concept of the circular economy, which aims to minimize waste and maximize available resources. SCC production incorporating WFS can align with several United Nations goals, such as sustainable development goals 9 and 12, which focus on responsible consumption. The sustainable advantages of using waste foundry sand in SCC are significant. Apart from conserving resources and addressing waste management issues, this practice can also help decrease greenhouse gas emissions, boost the properties of SCC, and follow environmental regulations.
8. Conclusions
This research mainly covers the fresh, durability, and strength properties and lifecycle assessment (LCA) of M60 grade self-compacting concrete (SCC) with varying proportions of treated foundry sand (TWFS) as an alternative for fine aggregate (FA) and FA and Alccofine as a mineral admixture. Based on experimental investigation and the LCA of this research, the following conclusions are made.
- Tests conducted regarding the fresh properties of SCC prepared using TWFS exhibit the enhanced flowability and passing ability properties of SCC as per Indian and EFNARC guidelines. It is also noticed that, as the TWFS content increases, there is an increase in workability up until TWFS30 compared to the reference mix, TWFS0. Thereafter, a marginal decrease in flowability and passing ability property is noticed for the TWFS40 and TWFS50 mixes.
- Tests conducted regarding the mechanical properties of all of the mixes prepared using TWFS as an alternative for FA in SCC show that, up until TWFS30, there is an enhancement in mechanical properties when compared to the reference mix, TWFS0, at each curing period of 7, 28, or 90 days. Based on the mechanical properties of SCC, it is observed that a mixture of up to 30% TWFS can be used as an alternative for FA without affecting the strength properties of the SCC much.
- The durability properties of SCC, like water absorption, RCPT, sorptivity, and resistance to chemical attacks indicate that the mixes prepared using varying proportions of TWFS (10, 20, 30, 40 and 50%) display improved durability when compared to the reference mix, TWFS0, at curing periods of 28 and 90 days. Based on the durability properties of SCC, the optimum proportion of TWFS is found to be 30–40%.
- LCA models were prepared for all of the mixes prepared using TWFS in M60 grade SCC, based on the strength, fresh, and durability properties of SCC. Inventory analysis test results based on the lifecycle assessment as per the ReCiPe-2016(H) method indicate that the use of TWFS will not only enhance the fresh, strength, and durability properties of SCC but also reduce the overall cost of concrete. The environmental impact categories considered in this study, like GWP, PSOD, FPMF, PFE, PFEC, PHCT, and PHNCT indicate that TWFS in SCC makes concrete eco-friendly.
- Overall, based on the experimental investigation and LCA, the use of TWFS can be attempted as an alternative for FA in SCC, without affecting the strength, fluidity, flowability, and durability properties of SCC.
Author Contributions
Conceptualization, R.B.T. and P.T.R.; Methodology, R.B.T.; Software, R.B.T.; Validation, P.T.R.; Formal Analysis, R.B.T.; Investigation, R.B.T.; Resources, R.B.T.; Data Curation, P.T.R.; Writing—Original Draft Preparation, R.B.T.; Writing—Review and Editing, P.T.R.; Supervision, P.T.R. All authors have read and agreed to the published version of the manuscript.
Funding
The authors declare that no funding was received for this research.
Data Availability Statement
The data that support the findings of this study are available upon request from the corresponding author.
Acknowledgments
This research was carried out at the Department of Civil Engineering, SRM Institute of Science and Technology, Kattankulathur, Tamil Nadu, India. The authors acknowledge the support received from the institute.
Conflicts of Interest
The authors declare that they have no conflicts of interest relevant to this study.
References
- Ogunsanya, I.G.; Hansson, C.M. Influence of chloride and sulphate anions on the electronic and electrochemical properties of passive films formed on steel reinforcing bars. Materialia 2019, 8, 100491. [Google Scholar] [CrossRef]
- Marín-Genescà, M.; Rajagopal, M.R.; Ganta, J.; Pamu, Y. Enhancing the Strength and the Environmental Performance of Concrete with Pre-Treated Crumb Rubber and Micro-Silica. Recycling 2024, 9, 32. [Google Scholar] [CrossRef]
- Teja, C.; Naidu, D.A.; Venkateswarlu, D. Performance of copper slag as replacement of fine aggregate with different grades. J. Crit. Rev. 2020, 7, 731–735. [Google Scholar]
- Gurumoorthy, N.; Arunachalam, K. Durability Studies on Concrete Containing Treated Used Foundry Sand. Constr. Build. Mater. 2019, 201, 651–661. [Google Scholar] [CrossRef]
- Zito, S.V.; Irassar, E.F.; Rahhal, V.F. Recycled Construction and Demolition Waste as Supplementary Cementing Materials in Eco-Friendly Concrete. Recycling 2023, 8, 54. [Google Scholar] [CrossRef]
- Sambucci, M.; Biblioteca, I.; Valente, M. Life Cycle Assessment (LCA) of 3D Concrete Printing and Casting Processes for Cementitious Materials Incorporating Ground Waste Tire Rubber. Recycling 2023, 8, 15. [Google Scholar] [CrossRef]
- Bahij, S.; Omary, S.; Feugeas, F.; Faqiri, A. Fresh and hardened properties of concrete containing different forms of plastic waste—A review. Waste Manag. 2020, 113, 157–175. [Google Scholar] [CrossRef] [PubMed]
- Oti, J.; Adeleke, B.O.; Mudiyanselage, P.R.; Kinuthia, J. A Comprehensive Performance Evaluation of GGBS-Based Geopolymer Concrete Activated by a Rice Husk Ash-Synthesised Sodium Silicate Solution and Sodium Hydroxide. Recycling 2024, 9, 23. [Google Scholar] [CrossRef]
- Kavitha, O.R.; Shyamala, G.; Akshana, V. Study of sustainable concrete property containing waste foundry sand. Mater. Today Proc. 2020, 39, 855–860. [Google Scholar] [CrossRef]
- Yeo, J.S.; Koting, S.; Onn, C.C.; Mo, K.H. An overview on the properties of eco-friendly concrete paving blocks incorporating selected waste materials as aggregate. Environ. Sci. Pollut. Res. 2021, 28, 29009–29036. [Google Scholar] [CrossRef]
- Iloh, P.; Fanourakis, G.; Ogra, A. Evaluation of Physical and Chemical Properties of South African Waste Foundry Sand (WFS) for Concrete Use. Sustainability 2019, 11, 193. [Google Scholar] [CrossRef]
- Bilal, H.; Yaqub, M.; Ur Rehman, S.K.; Abid, M.; Alyousef, R.; Alabduljabbar, H.; Aslam, F. Performance of foundry sand concrete under ambient and elevated temperatures. Materials 2019, 12, 2645. [Google Scholar] [CrossRef] [PubMed]
- Smarzewski, P. Mechanical properties of ultra-high performance concrete with partial utilization of waste foundry sand. Buildings 2020, 10, 11. [Google Scholar] [CrossRef]
- Martins, M.A.d.B.; da Silva, L.R.R.; Ranieri, M.G.A.; Barros, R.M.; Dos Santos, V.C.; Gonçalves, P.C.; Rodrigues, M.R.B.; Lintz, R.C.C.; Gachet, L.A.; Martinez, C.B.; et al. Physical and chemical properties of waste foundry exhaust sand for use in self-compacting concrete. Materials 2021, 14, 5629. [Google Scholar] [CrossRef] [PubMed]
- Aneke, F.I.; Awuzie, B.O.; Mostafa, M.M.H.; Okorafor, C. Durability assessment and microstructure of high-strength performance bricks produced from pet waste and foundry sand. Materials 2021, 14, 5635. [Google Scholar] [CrossRef] [PubMed]
- Sgarlata, C.; Ariza-Tarazona, M.C.; Paradisi, E.; Siligardi, C.; Lancellotti, I. Use of Foundry Sands in the Production of Ceramic and Geopolymers for Sustainable Construction Materials. Appl. Sci. 2023, 13, 5166. [Google Scholar] [CrossRef]
- Agudelo, G.; Palacio, C.A.; Neves Monteiro, S.; Colorado, H.A. Foundry Sand Waste and Residual Aggregate Evaluated as Pozzolans for Concrete. Sustainability 2022, 14, 9055. [Google Scholar] [CrossRef]
- Tiwary, A.K.; Singh, S.; Kumar, R.; Chohan, J.S.; Sharma, S.; Singh, J.; Li, C.; Ilyas, R.A.; Asyraf, M.R.M.; Malik, M.A. Effects of Elevated Temperature on the Residual Behavior of Concrete Containing Marble Dust and Foundry Sand. Materials 2022, 15, 3632. [Google Scholar] [CrossRef] [PubMed]
- Raja, K.C.P.; Thaniarasu, I.; Elkotb, M.A.; Ansari, K.; Saleel, C.A. Shrinkage study and strength aspects of concrete with foundry sand and coconut shell as a partial replacement for coarse and fine aggregate. Materials 2021, 14, 7420. [Google Scholar] [CrossRef] [PubMed]
- Paul, P.; Belhaj, E.; Diliberto, C.; Apedo, K.L.; Feugeas, F. Comprehensive characterization of spent chemical foundry sand for use in concrete. Sustainability 2021, 13, 12881. [Google Scholar] [CrossRef]
- Ahmad, J.; Zhou, Z.; Martínez-García, R.; Vatin, N.I.; De-Prado-gil, J.; El-Shorbagy, M.A. Waste Foundry Sand in Concrete Production Instead of Natural River Sand: A Review. Materials 2022, 15, 2365. [Google Scholar] [CrossRef] [PubMed]
- Dyer, P.P.O.L.; Coppio, G.J.L.; Silva, S.A.; Cividanes, L.S.; Klinsky, L.M.G.; de Lima, M.G. Mechanical and microstructural assessments of waste foundry sand in hot mix asphalt. Constr. Build. Mater. 2021, 311, 125329. [Google Scholar] [CrossRef]
- Mahalakshmi, S.H.V.; Khed, V.C. Experimental study on M-sand in self-compacting concrete with and without silica fume. Proc. Mater. Today 2020, 27, 1061–1065. [Google Scholar] [CrossRef]
- Manjunatha, M.; Seth, D.; Kvgd, B.; Roy, S.; Tangadagi, R.B. Utilization of industrial-based PVC waste powder in self-compacting concrete: A sustainable building material. J. Clean. Prod. 2023, 428, 139428. [Google Scholar] [CrossRef]
- Nandhini, K.; Ponmalar, V. Effect of Blending Micro and Nano Silica on the Mechanical and Durability Properties of Self-Compacting Concrete. Silicon 2021, 13, 687–695. [Google Scholar] [CrossRef]
- Zhang, Z.; Xiao, J.; Zhang, Q.; Han, K.; Wang, J.; Hu, X. A state-of-the-art review on thsse stability of self-consolidating concrete. Constr. Build. Mater. 2021, 268, 121099. [Google Scholar] [CrossRef]
- Al-Hadithi, A.I.; Hilal, N.N. The possibility of enhancing some properties of self-compacting concrete by adding waste plastic fibers. J. Build. Eng. 2016, 8, 20–28. [Google Scholar] [CrossRef]
- Anandaraj, S.; Karthik, S.; Elango, K.S.; Nishiketan, S.; Pandiyarajan, G.; Nithis Kumar, P.; Palanikumar, R.; Harihanandh, M. An experimental study on Fly Ash (FA) and marble powder in the properties of Self-Compacting Concrete (SCC). Mater. Today Proc. 2022, 52, 1771–1774. [Google Scholar] [CrossRef]
- Saini, G.; Vattipalli, U. Assessing properties of alkali activated GGBS based self-compacting geopolymer concrete using nano-silica. Case Stud. Constr. Mater. 2020, 12, e00352. [Google Scholar] [CrossRef]
- Arulrajah, A.; Yaghoubi, E.; Imteaz, M.; Horpibulsuk, S. Recycled waste foundry sand as a sustainable subgrade fill and pipe-bedding construction material: Engineering and environmental evaluation. Sustain. Cities Soc. 2017, 28, 343–349. [Google Scholar] [CrossRef]
- Kumar, S.; Silori, R.; Kumar Sethy, S. Insight into the perspectives of waste foundry sand as a partial or full replacement of fine aggregate in concrete. Total Environ. Res. Themes 2023, 6, 100048. [Google Scholar] [CrossRef]
- Golafshani, E.M.; Behnood, A. Predicting the mechanical properties of sustainable concrete containing waste foundry sand using multi-objective ANN approach. Constr. Build. Mater. 2021, 291, 123314. [Google Scholar] [CrossRef]
- Yaghoubi, E.; Arulrajah, A.; Yaghoubi, M.; Horpibulsuk, S. Shear strength properties and stress–strain behavior of waste foundry sand. Constr. Build. Mater. 2020, 249, 118761. [Google Scholar] [CrossRef]
- Ashish, D.K.; Verma, S.K. Robustness of self-compacting concrete containing waste foundry sand and metakaolin: A sustainable approach. J. Hazard. Mater. 2021, 401, 123329. [Google Scholar] [CrossRef] [PubMed]
- Karumanchi, M.; Bellum, R.R.; Chennupati, M.; Kunchala, V.; Regulagunta, M. Influence on mechanical properties of concrete of cement replacement with fly ash and river sand replacement with foundry sand. Mater. Today Proc. 2022, 65, 3547–3551. [Google Scholar] [CrossRef]
- Khan, M.M.; Mahajani, S.M.; Jadhav, G.N.; Vishwakarma, R.; Malgaonkar, V.; Mandre, S. Mechanical and thermal methods for reclamation of waste foundry sand. J. Environ. Manag. 2021, 279, 111628. [Google Scholar] [CrossRef] [PubMed]
- Kalyana Chakravarthy, P.R.; Ilango, T.; Pugazhenthi, R. Mechanical properties of concrete with foundry sand andcoconut shell as partial replacement for coarse and fine aggregate. Mater. Today Proc. 2022, 52, 537–543. [Google Scholar] [CrossRef]
- Kumar Parashar, A.; Sharma, P.; Sharma, N. A study of GGBS based cement concrete with the inclusion of waste foundry sand on mechanical properties. Mater. Today Proc. 2022, 62, 4134–4139. [Google Scholar] [CrossRef]
- 12269-2013; Ordinary Portland Cement, 53 Grade—Specifications. Bureau of Indian Standards: New Delhi, India, 2013; pp. 1–17.
- 10262-2019; Concrete Mix Proportioning-Guidelines. Bureau of Indian Standards: New Delhi, India, 2019; pp. 1–44.
- 1199-2018; Methods of Sampling, Testing and Analysis. Bureau of Indian Standards: New Delhi, India, 2018; pp. 1–44.
- EFNARC. Specification and Guidelines for Self-Compacting Concrete; EFNARC: Farnham, UK, 2002; pp. 4–32. [Google Scholar]
- 516-1959; Method of Tests for Strength of Concrete. Bureau of Indian Standards: New Delhi, India, 1959; pp. 1–30.
- ASTM C1585-13; Standard Test Method for Measurement of Rate of Absorption of Water by Hydraulic-Cement Concretes. ASTM International: West Conshohocken, PA, USA, 2013; pp. 1–3.
- ISO 14040:2006; Environmental Management—Life Cycle Assessment—Principles and Framework. International Organization for Standardization: Geneva, Switzerland, 2006; pp. 1–14.
Disclaimer/Publisher’s Note: The statements, opinions and data contained in all publications are solely those of the individual author(s) and contributor(s) and not of MDPI and/or the editor(s). MDPI and/or the editor(s) disclaim responsibility for any injury to people or property resulting from any ideas, methods, instructions or products referred to in the content. |
© 2024 by the authors. Licensee MDPI, Basel, Switzerland. This article is an open access article distributed under the terms and conditions of the Creative Commons Attribution (CC BY) license (https://creativecommons.org/licenses/by/4.0/).

















