Recycling of Commercial E-glass Reinforced Thermoset Composites via Two Temperature Step Pyrolysis to Improve Recovered Fiber Tensile Strength and Failure Strain
Abstract
1. Introduction
2. Results
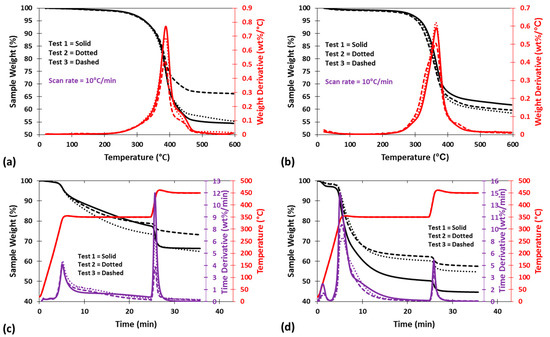
2.1. Thermal Testing
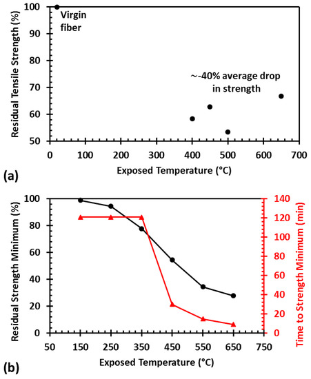
2.2. Post-Pyrolysis Fiber Characterization
3. Discussion
4. Materials and Methods
4.1. Surveyed Composite Materials
4.2. Thermal Treatment Methodology
4.3. Post-Pyrolysis Products Characterization
5. Conclusions
- Adopting a two temperature stage pyrolysis process can achieve polymeric phase removal and yield recycled glass fibers with improved filament strengths and failure strains.
- Though pyrolysis optimization can improve the quality of recovered fibers, pre-existing damage from manufacturing, in-service use, and size reduction (shredding) may still act as a limiting factor for the quality of reclaimed fibers.
- Experimental observations coupled with basic fracture mechanics theory indicate that the improvement in pyrolyzed fiber strength likely comes from an overall reduction in growth rate of pre-existing surface flaws while at elevated temperature.
Supplementary Materials
Author Contributions
Funding
Acknowledgments
Conflicts of Interest
References
- Thomason, J.; Jenkins, P.; Yang, L. Glass Fibre Strength—A Review with Relation to Composite Recycling. Fibers 2016, 4, 18. [Google Scholar] [CrossRef]
- Pickering, S.J. Recycling technologies for thermoset composite materials—current status. Compos. Part A: Appl. Sci. 2005, 37, 1206–1215. [Google Scholar] [CrossRef]
- Oliveux, G.; Dandy, L.O.; Leeke, G.A. Current status of recycling fibre reinforced polymers. Prog. Mater. Sci. 2015, 72, 61–99. [Google Scholar] [CrossRef]
- Yip, H.L.H.; Pickering, S.J.; Rudd, C.D. Characterization of carbon fibres recycled from scrap composites using fluidized bed process. Plast. Rubber Compos. 2002, 31, 278–282. [Google Scholar] [CrossRef]
- Lester, W.; Kingman, S.; Wong, K.H.; Rudd, C.; Pickering, S.; Hilal, N. Microwave heating as a means for carbon fibre recovery from polymer composites: A technical feasibility study. Mater. Res. Bull. 2004, 39, 1549–1556. [Google Scholar] [CrossRef]
- Feih, S.; Boiocchi, E.; Mathys, G.; Mathys, Z.; Gibson, A.G.; Mouritz, A.P. Mechanical properties of thermally-treated and recycled glass fibres. Compos. Part. B 2011, 42, 350–358. [Google Scholar] [CrossRef]
- Cunliffe, A.M.; Jones, N.; Williams, P.T. Pyrolysis of Composites Plastic Waste. Environ. Technol. 2003, 24, 653–663. [Google Scholar] [CrossRef] [PubMed]
- Thomason, J.L.; Kao, C.C.; Ure, J.; Yang, L. The strength of glass fibre reinforcement after exposure to elevated composite processing temperatures. J. Mater. Sci. 2014, 49, 153–162. [Google Scholar] [CrossRef]
- Feih, S.; Manatpon, K.; Mathys, Z.; Gibson, A.G.; Mouritz, A.P. Strength degradation of glass fibers at high temperatures. J. Mater. Sci. 2009, 44, 392–400. [Google Scholar] [CrossRef]
- Feih, S.; Mouritz, A.P.; Case, S.W. Determining the mechanism controlling glass fibre strength loss during thermal recycling of waste composites. Compos. Part. A Appl. Sci. Manuf. 2015, 76, 255–261. [Google Scholar] [CrossRef]
- Cunliffe, A.M.; Williams, P.T. Characterization of products from the recycling of glass fibre reinforced polyester waste by pyrolysis. Fuel 2003, 82, 2223–2230. [Google Scholar] [CrossRef]
- Åkesson, D.; Foltynowicz, Z.; Christéen, J.; Skrifvars, M. Microwave pyrolysis as a method of recycling glass fibre from used blades of wind turbines. J. Reinf. Plast. Compos. 2012, 31, 1136–1142. [Google Scholar] [CrossRef]
- Thomason, J.L.; Nagel, U.; Yang, L.; Sáez, E. Regenerating the strength of thermally recycled glass fibres using hot sodium hydroxide. Compos. Part. A Appl. Sci. Manuf. 2016, 87, 220–227. [Google Scholar] [CrossRef]
- Ginder, R.S.; Ozcan, S. Controlled Pyrolysis: A Case Study of Scalable Glass and Carbon Fiber Composite Recycling Technology. In Proceedings of the CAMX 2018, Dallas, TX, USA, 23–26 September 2018. [Google Scholar]
- Yang, L.; Thomason, J.L. The thermal behavior of glass fibre investigated by thermomechanical analysis. J. Mater. Sci. 2013, 48, 5768–5775. [Google Scholar] [CrossRef]
- Otto, W.H. Compaction effects in glass fibers. J. Am. Ceram. Soc. 1961, 44, 68–72. [Google Scholar] [CrossRef]
- Otto, W.H.; Preston, F.W. Evidence against oriented structure in glass fibres. J. Soc. Glass Technol. 1950, 34, 63–68. [Google Scholar]
- Griffith, A.A. The phenomena of rupture and flow in solids. Phil. Trans. R Soc. Lond. 1921, 221, 163–198. [Google Scholar] [CrossRef]
- Ghosh, S.B.; Jones, F.R.; Hand, R.J. A novel indentation based method to determine the threshold stress intensity factor for subcritical crack growth in glass. Eur. J. Glass Sci Technol. Part A 2010, 51, 156–160. [Google Scholar]
- ASTM C1557-14, Standard Test Method for Tensile Strength and Young’s Modulus of Fibers. Available online: www.astm.org (accessed on 9 August 2018).
- ASTM C1239-13, Standard Practice for Reporting Uniaxial Strength Data and Estimating Weibull Distribution Parameters for Advanced Ceramics. Available online: www.astm.org (accessed on 26 March 2018).






| Name | Weibull Strength (MPa) | Weibull Modulus |
|---|---|---|
| SMC E-glass Bobbin | 2346 | 7.5 |
| Recovered SMC Shreds | 1701 | 3.0 |
| SMC 2 Step Pyrolysis | 1311 | 8.5 |
| SMC 1 Step Pyrolysis | 1254 | 4.6 |
| Wind Blade 2 Step | 1405 | 4.1 |
| Wind Blade 1 Step | 1178 | 3.3 |
© 2019 by the authors. Licensee MDPI, Basel, Switzerland. This article is an open access article distributed under the terms and conditions of the Creative Commons Attribution (CC BY) license (http://creativecommons.org/licenses/by/4.0/).
Share and Cite
Ginder, R.S.; Ozcan, S. Recycling of Commercial E-glass Reinforced Thermoset Composites via Two Temperature Step Pyrolysis to Improve Recovered Fiber Tensile Strength and Failure Strain. Recycling 2019, 4, 24. https://doi.org/10.3390/recycling4020024
Ginder RS, Ozcan S. Recycling of Commercial E-glass Reinforced Thermoset Composites via Two Temperature Step Pyrolysis to Improve Recovered Fiber Tensile Strength and Failure Strain. Recycling. 2019; 4(2):24. https://doi.org/10.3390/recycling4020024
Chicago/Turabian StyleGinder, Ryan S., and Soydan Ozcan. 2019. "Recycling of Commercial E-glass Reinforced Thermoset Composites via Two Temperature Step Pyrolysis to Improve Recovered Fiber Tensile Strength and Failure Strain" Recycling 4, no. 2: 24. https://doi.org/10.3390/recycling4020024
APA StyleGinder, R. S., & Ozcan, S. (2019). Recycling of Commercial E-glass Reinforced Thermoset Composites via Two Temperature Step Pyrolysis to Improve Recovered Fiber Tensile Strength and Failure Strain. Recycling, 4(2), 24. https://doi.org/10.3390/recycling4020024
