Next Article in Journal
Recycling of Poly(Propylene) Based Car Bumpers in the Perspective of Polyolefin Nanoclay Composite Film Production
Previous Article in Journal
Rethinking PE-HD Bottle Recycling—Impacts of Reducing Design Variety
 
 
Font Type:
Arial Georgia Verdana
Font Size:
Aa Aa Aa
Line Spacing:
Column Width:
Background:
Article

An Environmental and Economic Assessment of Household Food Waste Management Scenarios in Ireland

1
Sustainability and Health Research Hub, Technological University Dublin, D07 EWV4 Dublin, Ireland
2
School of Business, Maynooth University, W23 DD4R Maynooth, Ireland
*
Author to whom correspondence should be addressed.
Recycling 2025, 10(3), 94; https://doi.org/10.3390/recycling10030094
Submission received: 31 January 2025 / Revised: 21 April 2025 / Accepted: 22 April 2025 / Published: 9 May 2025

Abstract

Effective management of household food waste (HFW) is essential for sustainability and aligning with Ireland’s waste reduction goals. This study evaluates the environmental and economic impacts of four HFW management scenarios—incineration, anaerobic digestion (AD) with digestate composting, AD with digestate incineration, and AD with digestate gasification—using life cycle assessment (LCA) and life cycle costing (LCC) analyses. The functional unit is 1000 tons of daily HFW treatment. The results show that AD scenarios offer significant environmental advantages over incineration, with AD combined with digestate composting identified as the most sustainable option. This scenario achieves the greatest reduction in greenhouse gas emissions and enhances nutrient recovery. Economically, while AD involves higher capital investments (€677,000–€2,033,000), its long-term cost effectiveness is demonstrated through LCCs ranging from €1,016,000 to €3,386,000, partially offset by revenues of €339,000–€677,000. The sensitivity analysis highlights opportunities for improvement, such as optimizing water use and reducing emissions from biogas engines. The findings provide actionable insights for policymakers, emphasizing the environmental and economic benefits of integrating AD with composting as a preferred strategy for HFW management.

1. Introduction

The growing concerns surrounding global warming and the depletion of fossil fuels have led to a significant increase in the global adoption of renewable biofuels. First-generation biofuels, such as biodiesel, bioethanol, and biogas, which are derived from food crops, have faced criticism due to their negative impacts on biodiversity and the competition they create with food production [1]. In contrast, second-generation biofuels offer a promising alternative by utilizing non-food biomass sources, including agricultural and forestry residues, aquatic biomass, and urban biowaste. These sources are both abundant and economically viable. Among these, urban biowaste, particularly food waste (FW), stands out as an excellent feedstock for biofuel production due to its consistent availability and large volumes. However, despite the increasing recognition of food waste as a resource, there is a lack of consensus on the optimal management strategy that balances both environmental performance and economic feasibility. Most prior studies focus either on environmental impacts through life cycle assessment (LCA) or on economic factors through separate cost–benefit analyses without integrating the two. Moreover, recent reviews emphasize the growing need for localized, data-driven models that reflect region-specific waste composition, infrastructure, and policy contexts [2]. This is particularly relevant for Ireland, where national waste policies are shifting toward circular economy frameworks but where practical, LCA+ life cycle costing (LCC) based guidance is still scarce.
Anaerobic digestion (AD) is increasingly recognized as a sustainable method for managing food waste (FW) due to its ability to convert organic waste into renewable energy while recovering valuable nutrients. Compared to incineration, AD offers higher energy yields (1–2 times more), requires less land than landfilling, and results in lower acidification and eutrophication impacts than composting [3]. The biogas generated through AD can be used for electricity and heat or upgraded to biomethane for transport fuel [4,5]. Post-digestion, the residual digestate contains both degradable organics and essential nutrients such as nitrogen, phosphorus, and potassium, making it suitable for further treatment or valorization.
Digestate can be managed through several downstream options—most notably composting, incineration, or gasification—each with distinct environmental and economic implications. While gasification, for example, offers promising energy recovery through syngas and nutrient-rich biochar, the long-term sustainability of these alternatives remains underexplored [4]. The current literature lacks comprehensive, comparative LCA that evaluate the environmental trade-offs of these digestate treatment pathways in an integrated and region-specific manner. For instance, [6] examined AD’s potential in Ireland for biogas production but did not assess digestate end-of-life options with more alternative scenarios, focusing solely on cogasification.
This gap is particularly relevant for Ireland, where waste infrastructure, energy policies, and climate targets require evidence-based decision making. By applying LCA (and life cycle costing) to multiple digestate management scenarios, this study provides the first holistic assessment of their environmental and economic performance in the Irish context. The findings aim to guide policymakers and practitioners toward optimal food waste strategies that align with national circular economy goals.
In Ireland, [6] evaluated the potential for producing bio-SNG (synthetic natural gas) from various waste and residues, using a spatially explicit LCA. While it does not directly compare AD with gasification or incineration, the LCA methodology is applied to assess environmental sustainability in bio-SNG production. The study emphasizes the importance of spatially explicit data collection and modeling to capture the environmental impacts of waste conversion processes, considering factors like transport distances and local infrastructure availability. The transferability of these findings, however, may be limited to regions with similar infrastructure and waste management systems. Generalizing the results to other geographic contexts would require adjustments for local factors such as waste composition and the availability of bio-SNG production technologies. Comprehensive studies that specifically address the environmental implications of managing distinct types of household FW are still scarce. Ref. [7] highlights the need for more research to enhance the generalizability of waste treatment strategies by examining how different waste streams affect the efficiency and environmental impacts of treatment processes. Addressing this gap is critical for optimizing waste management strategies and reducing the environmental footprint of FW in various contexts.
Recent studies have also examined the environmental and economic implications of household food waste management in other European contexts. For example, ref. [6] conducted a comprehensive assessment of source-separation efficiency and pretreatment strategies in a German case study, highlighting the importance of upstream waste management practices in reducing environmental impacts. While that study focused primarily on the efficiency of source separation and pretreatment processes, there remains a knowledge gap regarding the comparative sustainability of downstream treatment options, particularly for digestate management. This study seeks to address that gap within the Irish context by evaluating multiple end-of-life treatment scenarios for unavoidable household food waste, integrating LCA, LCC, and multi-criteria analysis to support evidence-based policy decisions.
Although the previous research in Ireland has evaluated specific treatment options such as AD [8,9,10] and composting or incineration [11,12], these studies typically examine technologies in isolation and rarely combine LCA and LCC into a single, decision-support framework. Furthermore, studies such as [13,14] have demonstrated the utility of integrated LCA-LCC approaches in the UK and EU, but their applicability to the Irish context remains limited due to different energy mixes, landfill policies, and waste collection infrastructure. Our study builds on these efforts by offering an Ireland-specific, comparative assessment of food waste treatment pathways using both LCA and LCC methods, including emerging options such as digestate gasification.
This study contributes new insight in several key areas. First, it addresses a geographical gap by providing the first integrated environmental and economic assessment of household food waste (HFW) treatment scenarios in Ireland using primary data. Unlike studies from countries with more established biowaste infrastructure (e.g., Germany, UK), Ireland is at an earlier stage of circular economy implementation. Second, the study offers a comparative evaluation of multiple digestate treatment options—an area still underexplored in the literature. Third, by combining LCA, LCC, and MCDA, the study provides a decision-support framework for policymakers aiming to design cost-effective, low-impact waste management strategies. The findings may also serve as a reference for cross-national comparisons and inform policy design in regions with similar waste management challenges.

2. Material and Methods

2.1. Element Composition of FW Collected from Irish Households

Table 1 presents the composition of food waste as derived from the surveyed Irish households. The table provides a detailed breakdown of various food categories, including the corresponding weekly mass of food waste for each category, their proportion of the total waste, composting potential, and biochemical methane potential (BMP). The analysis is based on data collected from 974 completed surveys, conducted across multiple households in Ireland. The online cross-sectional survey was carried out over an approximately fifteen-month period, beginning on 27 April 2023 and concluding on 5 August 2024. The survey was promoted through a variety of outlets, such as institutional, public, and private social media platforms (e.g., X/Twitter, Facebook, LinkedIn, Instagram), institutional mailing lists, and a national radio broadcast. This strategy helped capture a diverse group of participants, which improved the overall representation of the results.
Participants self-selected into the study and were required to be over 18 and responsible for household food waste disposal. While the sample is not fully randomized, efforts were made to enhance representativeness by using diverse recruitment channels and maintaining broad geographic reach across urban and rural settings in Ireland.
Respondents reported weekly quantities of discarded food across 12 major categories (e.g., vegetables, fruits, dairy, bread, meat), enabling estimation of waste mass flows and BMP. The survey responses were screened for consistency and completeness before being aggregated. Any incomplete or inconsistent entries were excluded from analysis. These data served as inputs for estimating composting potential (based on C:N ratio), energy content (MJ/kg), and digestion yield.
It is worth noting that accurately quantifying household food waste (HFW) is inherently challenging due to self-reporting biases in survey-based methods. Prior studies, including [15], highlight that self-reported waste data often significantly underestimates actual disposal volumes, with underreporting typically ranging from 30–50%. In our survey, respondents reported an average of ~1 kg per person per week, which is lower than estimates from direct waste audits. This discrepancy likely arises from recalling errors, social desirability bias, and misclassification of discarded food, as mentioned in the household food waste review by [2]. However, despite these challenges, self-reported surveys were the most feasible approach given the nationwide scale of our study and the available resources. As extensively discussed by [2], self-reported surveys remain a practical and widely used method in large-scale studies where direct measurement techniques, such as bin audits or waste composition analysis, may be logistically and financially challenging. Future studies should consider triangulating survey results with direct measurement techniques to improve data reliability [2]. More details of surveys can be found on the Supplementary Materials.
The analysis of food waste potential is based on several key parameters, including the mass of food waste (MFW), energy content, composting potential, and BMP. Each food type’s mass was asked in surveys to be filled out by participants (Kg/week), providing a baseline for calculating the potential impact of wasted food. The energy content (MJ/Kg) was then used to estimate the total energy embedded in the waste. The energy content in food waste was calculated by applying a standard energy conversion factor to the mass of each type of food waste, collected from survey responses (Kg/week). Each food type’s mass was multiplied by its specific energy content (MJ/Kg), which represents the amount of energy embedded per kilogram of that food item. By summing these values across all food types reported by participants, the total energy potential of the food waste was estimated. Composting potential was calculated using a fixed carbon-to-nitrogen (C:N) ratio of 15:1 and a density of 0.59 g/cm3, giving an estimate of the compostable material that could be diverted from landfills. For anaerobic digestion, BMP values (mL CH4/g VS) were applied to determine the methane production potential of each food type, with values ranging from 150 to 450 mL CH4 depending on the food category.
Table 1. Characterization data for each fraction of waste collected from 974 respondents.
Table 1. Characterization data for each fraction of waste collected from 974 respondents.
Food CategoriesMFW 1 (Kg per Week)Energy Content 2 (MJ/Kg)Composting Potential 3 (Kg)—C:N = 15:1, Density = 0.59 g/cm3Biochemical Methane Potential 4 (BMP)—(mL CH4/g VS)
Bread, Rice, Grain226.721460.29250–450
Fruits159.28842.21200–400
Vegetables161.75642.73200–400
Potato65.40417.28200–400
Nut seed19.55255.17200–400
Soup–sauce90.49323.92-
Fish42.381011.20150–300
Red meat56.252014.87200–400
White meat61.731516.32200–400
Egg25.11126.64200–400
Milk, yogurt118.91331.51200–400
ProcessDescription
Transport EmissionsBased on Euro IV standards and fuel emission factors reported in [16]
Primary Environmental Concerns from IncinerationBunker leachate, air emissions, bottom ash, and fly ash.
Bunker LeachateMSW stored in bunkers for 3–5 days before incineration; 263 L of leachate generated per ton of household FW (based on 313 L/ton for the organic fraction).
Leachate TreatmentOnsite treatment followed by further purification at a local WWTP [16]
Flue Gas TreatmentData on lime powder consumption and dioxin control from [4,17]
Lime ConsumptionCalculated based on local conditions for fly ash precipitation
Dioxin/Furan ControlCatalytic bag filter used to control dioxin/furan emissions before releasing exhaust gas into the atmosphere.
Air Emissions EstimationDetermined by applying transfer coefficients to waste composition data; site-specific data prioritized for process-specific air emissions.
Solid Residue ManagementBottom ash, boiler, economizer ash, and APC residues quenched or sprayed with water to reach 17% moisture content before being transported to the landfill.
Transportation to LandfillSolid residues transported to Tuas Marine Transfer Station by truck, then to Semakau landfill by diesel-powered barge. Emissions estimated using Ecoinvent dataset.
Metal Content in LeachateEstimated using NEA landfill disposal criteria for industrial waste. The floating WWTP at Semakau landfill Phase II removes 70% of metals; 30% discharged into seawater
1 Mean Food Waste (MFW, in kg per week) was estimated based on household surveys conducted in Ireland. Further details are provided in the Supplementary Information (SI). 2 Energy content (MJ/Kg), sourced from [18] and supplemented with industry averages from [19]. 3 Composting potential is the amount of material from food waste that can be converted into compost, a valuable soil amendment. It is calculated using the following steps: Determination of dry matter: The moisture content of each food waste type is determined to estimate the dry matter content. Carbon-to-nitrogen (C) ratio: An ideal C ratio of 15:1 is assumed for optimal composting, as this ratio is conducive to microbial activity [20]. 4 Biochemical methane potential (BMP) refers to the maximum volume of methane gas that can be produced per unit of volatile solids (VS) in the food waste during anaerobic digestion. BMP is an essential parameter in biogas production as it indicates the energy yield potential of different waste types. The BMP values provided in the table are typically expressed in milliliters of methane (CH4) per gram of volatile solids (mL CH4/g VS) [20].
As shown in Table 1, coffee and tea leaf with a weekly MFW of 13,338.6 Kg represent 10.19% of the total, with a composting potential of 3.58 Kg and a BMP range of 150–300 mL CH4/g, whereas bread, rice, and grains produce 8628.85 Kg per week (6.59%) with a composting potential of 2.31 Kg and a BMP of 250–450 mL CH4/g VS. Fruit juice, potatoes, fruits, and vegetables also significantly contribute to the waste, with fruit juice alone at 5812.06 Kg (4.44%) and a composting potential of 1.56 Kg. The total composting potential for all listed food types is 35.154 Kg. The BMP values vary among the food types, reflecting different levels of methane production during anaerobic digestion, with bread, rice, and grain waste showing the highest BMP potential.
Table 1 also summarizes the key processes and environmental considerations involved in the incineration of food waste, with a focus on emissions, leachate generation, treatment, and solid residue management. Transport emissions were assessed based on the Euro IV standard, while flue gas and leachate treatments were detailed, incorporating site-specific data and literature references. Solid residues were managed through quenching and subsequent transport to landfill, and the process of metal removal from leachate was based on National Environment Agency (NEA) criteria. The table highlights the role of various control mechanisms, such as the use of electrostatic precipitators, dry scrubbers, and catalytic bag filters, in reducing environmental impacts during incineration.

2.2. Life Cycle Assessment

2.2.1. Goal and Scope

This study follows the ISO 14040/44 framework [21], ensuring methodological consistency. A cradle-to-gate approach is applied, where all upstream environmental impacts of food waste management, including collection, transport, treatment, and energy recovery, are considered. The objective of the LCAwas to evaluate the environmental impacts of three AD scenarios with varying digestate treatments for managing FW from Irish households. The study aimed to identify a waste management system with reduced environmental impact for use by governmental organizations. The functional unit (FU) was defined as the treatment of 1000 tons of daily food waste generated by households. A functional unit of ‘1 ton of food waste treated’ is selected to allow direct comparisons across treatment options. The system included all processes from waste collection to the final disposal of solid residues. Four waste conversion scenarios were assessed: Incineration (Inci), AD followed by digestate composting (AD-compost), AD followed by digestate incineration (AD-incineration), and AD followed by digestate gasification (AD-gas). This study follows the ISO 14040/44 LCA framework [21] and applies the CML-IA baseline method (2001) for impact assessment, covering global warming potential (GWP), acidification, eutrophication, abiotic depletion, and ecotoxicity. The system boundary includes direct emissions from waste treatment, energy substitution effects, and nutrient recovery benefits, with a 1% cut-off criterion for minor waste fractions. Environmental burdens on multi-output processes are allocated using the system expansion approach, replacing equivalent products in the economy (e.g., compost replacing synthetic fertilizers). For energy-producing processes, allocation is based on lower heating values (LHV) of energy carriers to ensure equivalency. To enhance comparability, impact categories are normalized using ILCD 2018 factors, and a weighted impact assessment (ReCiPe H 2016) prioritizes climate change, resource depletion, and toxicity.
The selection of LCA and LCC methods was guided by their proven ability to holistically evaluate environmental and economic trade-offs in waste management scenarios [13]. LCA follows the ISO 14040/44 framework [21] to ensure methodological consistency, while LCC captures financial implications over the life cycle. Self-reported household food waste surveys were used due to the large geographic scope and resource constraints, consistent with previous national-scale studies [2].

2.2.2. Life Cycle Inventory

This section provides an overview of each scenario, with detailed calculations available in the Supplementary Materials. For clarity, Figure 1 outlines the system boundaries for the incineration (Inci) and AD scenarios, Figure 2 depicts the mass flow within the AD process.
The life cycle inventory provided comprehensive descriptions and calculations for each scenario, clearly outlining system boundaries and mass flows. The baseline scenario in Ireland assumed that household waste was separated into different streams, with residual waste disposed of in plastic bags and transported to incineration facilities as part of the municipal solid waste stream. In accordance with Ireland’s current waste management policies, recyclable materials and food waste are typically separated at the source, reducing the volume of waste sent to incineration. Collection trucks, carrying an average load of 5.0 tons of residual waste, travelled an average distance of 25 km to the incineration plant, as reported by [22]. Recent practices reflect a greater emphasis on source separation for recycling and organic treatment, which has slightly altered the composition and volume of waste directed toward incineration.

2.2.3. LCA Model Specification

This study applies the ISO 14040/44 framework [21] to assess the environmental impacts of different food waste treatment pathways, aligning with best practices in waste management LCA. The CML-IA baseline method (2001) is employed for impact assessment, covering GWP, acidification, eutrophication, abiotic depletion, and ecotoxicity.
1.
System Boundaries and Allocation Procedures
The LCA follows a cradle-to-grave approach, encompassing food waste collection, transportation, treatment, energy recovery, and final emissions or by-product utilization. The cut-off criterion for minor waste fractions is set at 1% of total system mass, ensuring computational feasibility. To ensure consistency with prior studies (e.g., [22]), this study employs a system expansion approach to allocating environmental burdens in multi-output processes. Specifically, when treatment processes generate multiple co-products (e.g., digestate in anaerobic digestion, compost in composting), allocation follows a mass-based approach. For energy-producing pathways, allocation is based on lower heating values (LHV) of energy carriers, ensuring equivalency in substitution calculations.
This study used the system expansion method to allocate environmental burdens and credits associated with co-products such as biogas, electricity, and compost. Substitution was modelled linearly, assuming that biogas displaces grid electricity and compost offsets the production of synthetic fertilizers. While this approach aligns with ISO 14044 guidelines [21] and is widely used in comparative LCA studies, it does not account for real-world market dynamics. In practice, the environmental benefits of compost may be limited by factors such as oversupply, seasonal demand, or application restrictions. Future research should explore market-based allocation or partial crediting approaches that reflect the economic elasticity of substituted products.
2.
Impact Category Prioritization and Multi-Criteria Decision Approach
In response to prior studies that emphasize structured impact assessment frameworks, this study implements a weighted impact evaluation using the ReCiPe (H) 2016 methodology. This ensures a multi-criteria decision analysis (MCDA) approach, ranking treatment scenarios based on their overall environmental performance across multiple categories [23,24].
3.
Acknowledging Emerging Environmental Contaminants (Microplastics and PFAS)
The recent research highlights the growing concern of microplastics and per- and polyfluoroalkyl substances (PFAS) in food waste streams and their long-term environmental persistence [25,26]. While this study does not explicitly quantify these pollutants, their potential influence is recognized as a limitation. In this regard, future research should expand impact assessment categories to incorporate plastic particle accumulation in soil and aquatic systems. PFAS mobility in digestate and composted outputs, particularly in regions with high industrial or packaging contamination should be assessed. Furthermore, emerging LCA methodologies that account for microplastic fate modeling and persistent chemical compounds in waste streams should be integrated.

2.2.4. Scenario 1—Anaerobic Digestion Followed by Digestate Composting (AD-Compost)

Food waste (FW) from households was collected separately by garbage compactor trucks and transported to a centralized AD plant with a daily treatment capacity of 1000 tons. Upon delivery, the food waste was subjected to initial processing. A bag breaker was used to release the bagged waste, followed by a screening process to remove large pieces of plastic and non-biodegradable materials, such as glass and metal. The organic slurry was then milled using an ADOS mill to reduce the particle size. With a water content of approximately 92%, the slurry was transferred to a sedimentation tank, where it separated into three layers. The floating and bottom layers, primarily consisting of plastic and inorganic materials, were sent to the nearest incineration plant. The rejection rates for inorganic impurities and organic matter were assumed to be 95% and 8%, respectively. The middle layer, which was rich in putrescible material, was pumped into an anaerobic digester for a 21-day thermophilic fermentation process. Biogas production, with 60% methane, was calculated based on the biological methane potential per Kg of volatile solids (VS) entering the digester, using a realistic output coefficient of 0.7 to account for operational limitations. The produced biogas, with a heating value of 23 MJ/m3, was combusted in a combined heat and power (CHP) unit with an electrical conversion efficiency of 40%. Heat from combustion was used to maintain the digester’s thermophilic conditions. The digestion residue was dewatered, with the liquid fraction being reused on site or sent to a nearby wastewater treatment plant. The dewatered digestate, with a water content of 74%, was co-composted with horticultural waste for an average 30-day maturation treatment. Gas emissions during composting were purified through a biofilter, with significant removal rates for NH3, CH4, and volatile organic compounds (VOCs). The resulting compost product could be sold commercially as topsoil or soil amendment for landscaping, with its nutrient content substituting mineral fertilizers. Emissions following compost application to land were calculated based on reported coefficients [27]. A carbon storage factor of 0.15 Kg C per Kg C content of compost was adopted, assuming carbon sequestration in the soil over a 100-year timeframe.

2.2.5. Scenario 2—Anaerobic Digestion Followed by Digestate Incineration (AD-Incineration)

Similar to AD-compost, the dewatered digestate produced from the AD process underwent incineration at a nearby facility instead of being co-composted. The digestate was transported to the incineration plant by trucks, and emissions from the incineration process were assessed using the methodology outlined in Scenario 0—Inci. The elemental composition of the digestate was calculated assuming that the carbon lost during digestion was equivalent to the carbon content present in the biogas, with an additional 6% carbon loss during dewatering. Similarly, it was estimated that 30% of the nitrogen within the processed FW organic fraction dissolved into the liquid fraction and was treated at the WWTP. The remaining hydrogen content in the digestate was estimated using a C/H mass ratio of 8. Sulfur was assumed to transfer from the feedstock organic fraction to biogas at a rate of 22.3%, and it was assumed that all metal elements were fully transferred to the dewatered digestate without being emitted in the gas and liquid phases.

2.2.6. Scenario 3—Anaerobic Digestion Followed by Digestate Gasification (AD-Gas)

In this scenario, similar to AD-compost, the dewatered digestate (with a water content of 74%) from the AD process was sent for co-gasification with waste wood in a fixed-bed downdraft gasifier. The gasifier had four sequential zones: drying, pyrolysis, combustion, and reduction, each serving a distinct role in the gasification process. Despite the high moisture and ash content of the digestate, co-gasification with wood chips was found to be effective in enhancing energy utilization from the AD residues. The dewatered digestate was pre-dried to a maximum allowable moisture level of 30% using a rotary dryer powered by flue gas from a nearby power plant. The controlled introduction of air into specific gasifier zones facilitated the production of syngas rich in hydrogen and carbon monoxide. The produced syngas was utilized in a syngas engine for electricity generation at an efficiency of 40%. Additionally, the gasification biochar, a byproduct, was used as a soil amendment, contributing to soil improvement and carbon sequestration. The metal content in the digestate was assumed to be transferred to gasifier fly ash, which was then disposed of at the Semakau landfill. A low-temperature wet gas cleaning system was used to remove contaminants from the syngas, ensuring environmental compliance. The system’s multifunctionality was addressed through system expansion, where compost and electricity generated from the process replaced conventional grid mix and chemical fertilizers, respectively.
This study employs the CML 2001 method for environmental impact assessment, utilizing midpoint indicators to evaluate potential environmental impacts. The methodology is aligned with ISO standards for lLCA and is widely recognized for its robustness in impact category characterization. Sensitivity analysis was performed to evaluate the influences of critical parameters and variables on the overall process, with AD-incineration serving as a reference due to practical considerations regarding local treatment infrastructure.
Finally, to understand the effect of varying impurity levels on the performance of the AD-incineration scenario, a sensitivity analysis was conducted by assessing two impurity scenarios: 5% and 10% contamination. The analysis aimed to understand how different impurity levels could influence the efficiency of the AD process across various environmental impact categories. The categories assessed included abiotic depletion potential, abiotic depletion of fossil fuels, acidification, eutrophication, freshwater aquatic ecotoxicity, global warming potential (GWP), human toxicity, marine aquatic ecotoxicity, ozone layer depletion, photochemical ozone creation, and terrestrial ecotoxicity.
For each impact category, percentage changes were recorded for both 5% and 10% impurity levels, with comparisons made against a baseline scenario (0% impurities). The sensitivity analysis highlighted how increased contamination could either mitigate or exacerbate environmental burdens, depending on the impact category. For instance, higher impurity levels showed a notable increase in acidification and global warming potential, while categories such as abiotic depletion and eutrophication exhibited negative or minimal changes at certain impurity levels. This approach allowed for the identification of key thresholds where impurities began to significantly influence the system’s environmental footprint. By understanding these thresholds, the analysis provides insights into how maintaining lower impurity levels can enhance the sustainability of the AD system.
It is worth noting that scenario 2, anaerobic digestion followed by digestate incineration (AD-incineration), is the focus of the sensitivity analysis due to the unique environmental burdens and process sensitivities associated with incineration compared to composting or gasification. Incineration typically results in higher emissions in impact categories such as acidification, global warming potential (GWP), and eutrophication, making it particularly relevant when evaluating the effect of varying impurity levels. Impurities, such as metals or non-combustible materials, can significantly impact the efficiency of the incineration process by reducing combustion efficiency, increasing toxic emissions, and contributing to the production of hazardous ash. As a result, understanding how different impurity levels influence these environmental burdens is critical. Additionally, incineration offers a more direct and linear energy recovery process compared to composting or gasification, where impurities might not have as immediate or significant effects. This makes incineration an ideal scenario for examining how impurities affect environmental performance under varying conditions.

2.3. Life Cycle Cost Analysis

LCC analysis is a comprehensive method for evaluating the total economic impact of a project over its entire lifespan [13]. This analysis includes all costs associated with the project, from initial capital investments to ongoing operational and maintenance expenses and even revenue generated. In this context, we conducted an LCC analysis for managing household food waste through four different processes: incineration, AD followed by digestate composting, AD followed by digestate incineration, and AD followed by digestate gasification The following formulation proposed by Gransberg (2010) calculates the LCC:
L C C = C C a p i t a l   +   t = 1 n C O p e r a t i o n a l , t     R r e v e n u e , t ( 1 + r ) t
For each waste management technology—AD, composting, fermentation, and incineration—capital costs, annual operational costs, and annual revenue were obtained from industry reports and relevant literature. The costs and revenues were provided as ranges to account for variability in real-world applications.

2.4. Calculation of Net Annual Costs

The net annual cost (NAC) for each technology was calculated by subtracting the annual revenue from the annual operational costs:
N A C t = C O p e r a t i o n a l , t     R r e v e n u e , t
For this analysis, the average values of the provided cost and revenue ranges were used. To account for the time value of money, the net annual costs over the 10-year period were discounted to present value using a discount rate of 5%. The present value (PV) of the NAC was calculated using the formula
P V = t = 1 n N A C ( 1 + r ) n
The total LCC was then determined by summing up the initial capital costs and the discounted net annual costs.
L C C = C C a p i t a l + P V   o f   N A C
To capture the range of potential costs, the LCC was calculated using both the lower and upper bounds of the cost provided and revenue ranges. This provided an estimate of the minimum and maximum total costs over the 10-year period.

2.5. Multi-Criteria Ranking of Food Waste Treatment Scenarios

To provide a structured comparison of the environmental performance of different food waste treatment scenarios, a ranking system was developed based on seven key impact categories: global warming potential (GWP), ozone depletion potential (ODP), terrestrial acidification (TA), human toxicity (TE), freshwater ecotoxicity (FE), marine ecotoxicity (ME), and photochemical ozone formation (ARF). Each scenario was ranked across these impact categories, with lower numerical values indicating better environmental performance. Each scenario was assigned a ranking from 1 to 4, with 1 representing the best performance (lowest impact) and 4 the worst performance (highest impact) for each category. The average ranking was then computed to determine the overall environmental preference order among the treatment options

2.6. Limitations of Primary Data Collection

The food waste generation data used in this study were collected through a self-reported online survey of 974 Irish households. While this approach allows for broad geographic and demographic reach, it introduces several limitations.
Firstly, self-reported food waste estimates are subject to recall bias and social desirability bias, often leading to underreporting. Although the survey instrument was designed to minimize these effects through clear category definitions and weekly reporting prompts, no validation through direct waste audits or weighing protocols was conducted. As such, the reported values may not fully reflect actual household food waste quantities.
Secondly, the dataset was aggregated at the national level, without disaggregation by region, income level, or household type. This may limit the ability to detect meaningful variation across socioeconomic or geographic groups. Future work should include stratified sampling or post-survey disaggregation to better capture the diversity of waste generation behaviors.
Finally, triangulation with external data sources, such as national waste statistics or municipal bin audit reports, was not performed in this study. Integrating such sources in future analyses would improve the reliability and robustness of household waste generation estimates used in environmental and economic modeling.

3. Results and Discussion

3.1. Abiotic Depletion (Elements)

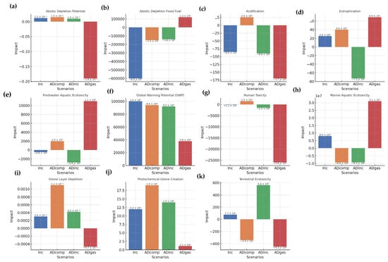
The environmental impacts of four different scenarios are summarized in Figure 3a. According to the CML 2001 impact assessment method, the category Adep-e measures the depletion of non-renewable resources excluding fossil fuels. The AD-compost scenario is the only one with a negative net score of −0.19 Kg Sb-Eq. In this scenario, 96% of the resource savings come from replacing mineral fertilizers with compost, while the remaining 4% is attributed to the electricity generated from biogas, which substitutes for grid electricity. The production of mineral fertilizers consumes non-renewable resources like phosphate rock and potash ore, and building fertilizer and power plants requires materials such as copper and gold. By reducing the use of these resources, AD-compost achieves an overall net environmental benefit. Transportation is the main contributor to Adep-e in all scenarios, accounting for about 80% of the total environmental impact. Petroleum products are used to power vehicles for waste collection, which also leads to the depletion of lead and cadmium resources. It is important to note that the CML 2001 method does not include weighting, but normalization is applied. The baseline indicators for the CML 2001 method include the depletion of abiotic resources, human toxicity, freshwater aquatic eco-toxicity, acidification potential, global warming, eutrophication, and land use [19].
The radar chart (Figure 4) highlights clear differences in environmental performance between the three anaerobic digestion scenarios: AD-incineration, AD-compost, and AD-gasification. AD-gasification shows the least environmental burden in several categories such as abiotic depletion potential and abiotic depletion of fossil fuels, indicating that it is more efficient in conserving non-renewable resources compared to the other two scenarios. On the other hand, AD-incineration performs the worst in categories like human toxicity and marine aquatic ecotoxicity, where it contributes significantly more to environmental harm, suggesting that this scenario poses higher risks for human and marine health.
Interestingly, GWP is fairly consistent across all three scenarios, implying that none of the processes offer a substantial advantage in terms of climate change mitigation. However, AD-compost stands out in categories such as freshwater aquatic ecotoxicity and photochemical ozone creation, where its impacts are much lower, indicating that it could be the preferred option in terms of reducing toxicity and air pollution. Overall, the radar chart reveals that each scenario has strengths and weaknesses, with AD-gasification generally showing the least negative impact across multiple categories, while AD-incineration tends to have the highest burdens in human and ecological health.

3.2. Acidification

Acidification, driven by the release of compounds like SOx, NOx, and NH3, poses significant environmental challenges, particularly through waste incineration and biogas/syngas combustion. The findings reveal that substituting fossil-fuel-based electricity with renewable energy from waste-to-energy processes effectively mitigates acidification across all scenarios: reductions of −86 Kg SO2-Eq for incineration, −169 Kg SO2-Eq for AD-compost, −26 Kg SO2-Eq for AD-incineration, and −90 Kg SO2-Eq for AD-gasification were observed. These results align with the literature, which emphasizes the significant role of renewable energy in reducing acidification potential by offsetting emissions from traditional power plants. For example, [18,28] highlight how anaerobic digestion and biogas combustion substantially lower acidification impacts compared to fossil fuels. However, the incineration process, despite its waste volume reduction benefits, remains a significant source of acidifying emissions, particularly due to SOx and NOx releases [29]. Although composting contributes to NH3 emissions, it offsets these impacts by reducing the need for chemical fertilizers, which are significant acidification contributors [29].

3.3. Freshwater Aquatic Ecotoxicity

The reduction in freshwater aquatic ecotoxicity (FAETox) impacts, as demonstrated in Figure 3e, aligns with findings in the literature that highlight the environmental benefits of renewable energy generation and resource recovery processes. The AD-compost scenario shows a significant reduction of −1.96 × 103 Kg DCB-Eq, while AD-gasification demonstrates an even greater reduction of −2.75 × 103 Kg DCB-Eq. These results are consistent with studies that have underscored the importance of biogas generation and composting in mitigating ecotoxicity by replacing conventional fossil-based electricity and chemical fertilizers. For example, [19] found that anaerobic digestion not only reduces greenhouse gas emissions but also significantly decreases the emission of toxic substances into freshwater ecosystems, primarily due to the reduction in the use of synthetic fertilizers and the substitution of fossil-based energy.
The incineration scenario, which shows a reduction of −7.59 × 102 Kg DCB-Eq, also contributes positively to FAETox mitigation. However, the reduction is less pronounced compared to the AD scenarios. This can be attributed to the fact that while incineration can generate electricity and reduce landfill use, it still involves the release of pollutants that can contribute to aquatic ecotoxicity. According to [30], incineration processes, while effective in reducing waste volume, may still pose risks to freshwater systems due to the emission of heavy metals and other toxic compounds if not adequately controlled.
Moreover, the environmental benefits observed in these scenarios are strongly tied to the displacement of electricity generated from fossil fuels. The substitution of fossil-based electricity with renewable sources significantly reduces the emission of heavy metals such as mercury and cadmium, which are major contributors to FAETox. This finding is supported by [30], who demonstrated that renewable energy generation, particularly from anaerobic digestion, leads to lower ecotoxicity potentials in freshwater environments compared to conventional energy sources. Transportation and raw material extraction, as noted in the original paragraph, are also important contributors to FAETox burdens. The extraction of raw materials often leads to the release of hazardous substances into the environment, exacerbating ecotoxicity. However, the reduction in ecotoxicity potential through AD and composting processes suggests that these methods can effectively offset some of the negative impacts associated with raw material extraction. As highlighted by [31], the use of AD and composting not only recovers energy but also helps in recycling nutrients back into the soil, thus reducing the reliance on synthetic fertilizers and the associated ecotoxic impacts on freshwater systems.

3.4. Marine Aquatic Ecotoxicity

The analysis of marine aquatic ecotoxicity impacts (Figure 3h) reveals substantial reductions across all waste management scenarios, particularly in anaerobic digestion (AD)-based processes and incineration. The AD-compost scenario reduces the impact by −9.36 × 106 Kg DCB-Eq, AD-gasification by −3.13 × 107 Kg DCB-Eq, and incineration by −7.59 × 107 Kg DCB-Eq. These reductions are largely due to the substitution of conventional electricity generation and mineral fertilizers, which are major contributors to marine ecotoxicity through the release of toxic substances like heavy metals and persistent organic pollutants (POPs).
However, while all scenarios show reductions, the magnitude of the impact varies significantly. The most notable reduction occurs in the AD-gasification scenario, indicating that this technology might provide the highest potential for mitigating marine aquatic ecotoxicity. The integration of gasification with AD not only reduces harmful emissions but also enhances resource recovery through clean energy production and biochar generation, which has further environmental benefits. As [17] suggest, the co-benefits of biochar production and the use of gasification in AD processes are critical in reducing the need for chemical fertilizers, subsequently lowering the release of toxic substances into aquatic environments.
In contrast, the incineration scenario, while beneficial in reducing ecotoxicity, still contributes significantly to marine pollution through hydrogen fluoride (HF) emissions, especially from fluoride-containing materials like plastics. This finding is consistent with [32], who documented the persistent ecotoxicity risks of HF emissions. The fact that incineration is responsible for 75% of the total marine ecotoxicity burden highlights a critical area for improvement, particularly in managing materials with high fluoride content. While incineration remains a viable waste-to-energy option, these results emphasize the need for better waste sorting and material recovery to minimize the release of harmful compounds.
The strong performance of AD-based systems in reducing marine aquatic ecotoxicity aligns with the broader literature that supports AD as a sustainable waste management solution. As noted by [31], the integration of AD with composting or gasification reduces the release of hazardous substances by displacing chemical fertilizers and fossil-based energy. However, while these reductions are notable, they raise critical questions about the scalability of AD-gasification. Given its superior performance, future research should explore the feasibility of wider adoption of AD-gasification, particularly its economic and operational viability in regions where incineration is the predominant technology.

3.5. Terrestrial Ecotoxicity Potential

The results for terrestrial ecotoxicity (Figure 3k) show a similarly complex picture. While the AD-compost scenario achieves a net reduction of −336 Kg DCB-Eq, due to electricity and compost production credits, the incineration scenario incurs a significant burden of 65 Kg DCB-Eq. This impact is primarily driven by the release of heavy metals, such as vanadium (72%) and chromium (20%), during waste combustion. Studies by [25,33] confirm that heavy metals, especially vanadium and chromium, are persistent pollutants with substantial ecotoxicity impacts on terrestrial ecosystems.
The AD-gasification scenario, despite its strong performance in marine ecotoxicity, shows a smaller net impact on terrestrial ecotoxicity (5.61 Kg DCB-Eq). This raises an interesting question about the comparative performance of AD-compost versus AD-gasification. While gasification enhances energy recovery and reduces marine ecotoxicity, composting provides more substantial credits in terrestrial ecotoxicity due to the higher utility of the compost product for soil amendment. This supports the argument that waste management strategies should be adapted to local environmental priorities. For instance, regions with vulnerable terrestrial ecosystems may benefit more from compost-based AD systems, whereas areas with significant marine biodiversity might favor gasification. These results reinforce the trade-offs inherent in different waste treatment technologies. While AD-compost offers greater benefits in terrestrial ecosystems, the high variability in its impacts on other environmental categories suggests that an optimal balance between compost production, energy recovery, and pollutant emissions must be found. Further research should investigate how to optimize the composting process to enhance benefits without exacerbating other impacts, such as eutrophication.

3.6. Eutrophication

Eutrophication (Figure 3d), a major environmental concern, presents a different challenge. The incineration scenario, with 35.3 Kg PO4-eq, exhibits the lowest eutrophication potential. This contrasts sharply with AD-incineration and AD-gasification, which show eutrophication impacts of 45.2 Kg PO4-eq and higher. This difference is largely attributed to the emissions from biogas engines, including nitrogen oxides (NOx) and ammonia, which are difficult to control during the AD process.
While AD processes have clear advantages in renewable energy generation, their high nutrient emissions, particularly in composting, pose a significant challenge. The literature, including [34] supports this finding by noting that controlling nitrogen compounds during biogas and compost production remains a key issue for reducing eutrophication. This raises critical questions about whether the current composting practices in AD scenarios can be modified to better manage nutrient releases, or whether alternative treatments, such as advanced nitrogen removal techniques, should be explored.
The eutrophication impacts highlight the limitations of AD processes, particularly in nutrient management. The findings suggest that despite the environmental benefits of AD in other categories, eutrophication remains a persistent problem. Further research is needed to investigate how biogas and composting processes can be refined to minimize nutrient emissions, possibly through improved process controls or nutrient capture technologies. The comparison between incineration and AD scenarios also underscores the complexity of waste management decision making. While incineration performs better in eutrophication, it does not offer the same level of renewable energy benefits as AD processes. Therefore, policy decisions should weigh the relative importance of reducing nutrient pollution against the broader goals of renewable energy production and marine and terrestrial ecotoxicity reductions.

3.7. Global Warming Potential

Figure 3f reveals that the anaerobic digestion gasification (AD-gas) scenario demonstrates the lowest GWP at 38.5 t CO2-eq./FU. This is primarily due to lower CH4 and nitrous oxide (N2O) emissions and efficient energy recovery. AD-incineration and AD-compost have higher GWPs of 92.5 and 94.1 t CO2-eq./FU, respectively, due to methane emissions from composting and lime consumption for flue gas treatment. Incineration (Inci) exhibits the highest GWP at 106.5 t CO2-eq./FU, largely driven by inorganic waste impurities and emissions during combustion, especially from lime usage and N2O emissions. The lower GWP in AD-gas is also attributed to higher electricity generation, which offsets emissions more effectively compared to other scenarios. Furthermore, carbon sequestration through compost and biochar production in AD-compost and AD-gas scenarios reduces the overall GWP, highlighting the advantages of these treatments over traditional incineration. The assessment aligns with the existing literature that highlights the substantial impact of CH4) and nitrous oxide (N2O) emissions from composting and organic waste treatment. Research by [34] underscores that composting emits significant quantities of these gases, contributing heavily to GWP [6].The findings that gasification (AD-gas) has the lowest GWP, primarily due to lower emissions and effective energy recovery, resonate with studies like those by [35], which emphasize gasification’s efficiency in converting waste to energy with minimal greenhouse gas emissions [35].
Additionally, the role of inorganic impurities in increasing the GWP burden in incineration scenarios is supported by the literature examining waste-to-energy processes. Moreover, contaminants such as heavy metals and lime used in flue gas cleaning are major contributors to global warming impacts in incineration plants [6].
The analysis also highlights the importance of energy production offsets in reducing the overall GWP, especially in anaerobic digestion scenarios. This is consistent with findings that higher electricity generation from biogas can compensate for some of the greenhouse gas emissions associated with waste treatment processes. Furthermore, the carbon sequestration potential of compost and biochar aligns with studies showing that organic material recycling can contribute to climate change mitigation by capturing and storing carbon [33].

3.8. Human Toxicity

Figure 3g illustrates the human toxicity impacts across different scenarios, with the highest burden observed in the incineration (Inci) scenario, contributing 1.47 × 109 Kg DCB-Eq. This high impact is mainly due to the release of heavy metals, such as cadmium, lead, and mercury, in exhaust gases [35]. Although public concern often focuses on dioxins, these contribute relatively less to the overall toxicity burden, at 0.6 t DCB-Eq/FU, owing to the effectiveness of modern control technologies that limit dioxin emissions [36]. The electricity export in the Inci scenario helps mitigate some of the negative environmental effects by offsetting the energy demand [20]. In contrast, the AD-gas scenario shows significant contributions to HumTox from benzene emissions during gasification. However, the AD-compost scenario performs best, with a significant reduction in this impact category (−2.55 × 104 Kg DCB-Eq), driven by the displacement of chemical fertilizers and the associated reduction in heavy metal emissions from agricultural activities [37].

3.9. Ozone Layer Depletion

This indicator assesses the emission of substances that break down the ozone layer, leading to increased UV-B radiation on the Earth’s surface, with detrimental consequences for human health and ecosystems. The primary contributors to ozone depletion in these scenarios are background systems, notably lime production in the Inci scenario (1.2 g R11-eq./FU) and tap water use in the AD scenarios (2.6 g R11-eq./FU) [38]. The substitution of electricity and fertilizers results in net environmental benefits, particularly in the AD-compost scenario, which shows a reduction in ozone layer emissions (−0.4 g R11-eq./FU). However, higher burdens are evident in other scenarios, such as Inci (0.4 g R11-eq./FU), AD-gas (1.1 g R11-eq./FU), and AD-incineration (2.0 g R11-eq./FU). This increase in emissions is largely attributable to water usage in the digestion process, with desalination activities contributing significantly to these impacts [39]. Effective mitigation strategies, such as reducing water use in these processes and optimizing material substitution, are essential for lowering ozone layer emissions and ensuring environmental sustainability [7].

3.10. Photochemical Ozone Creation (POC)

POC, which refers to the formation of ground-level ozone through reactions between airborne pollutants such as nitrogen oxides (NOx) and volatile organic compounds (VOCs) under sunlight, poses substantial risks to human health, ecosystems, and agriculture [40]. Figure 3d demonstrates that the AD-incineration scenario exhibits the highest POC impact at 16.8 Kg Ethene-eq./FU, driven mainly by biogas engine emissions, including CO (11.9 Kg Ethene-eq./FU) and NOx (9.7 Kg Ethene-eq./FU) [40]. Composting also contributes to POC due to methane emissions from organic degradation processes [41]. In contrast, the incineration (Inci) scenario has the lowest gross POC impact at 5.7 Kg Ethene-eq./FU, which is further offset by electricity generation, resulting in a net benefit of −3.02 Kg Ethene-eq./FU. However, the use of lime in flue gas cleaning and emissions from limestone calcination contribute significantly to POC in the Inci scenario [42]. These observations align with recent studies, such as those by [31,43], which emphasize the high POC potential linked to biogas combustion and the relative advantages of incineration in mitigating ozone precursor emissions.
Figure 5 illustrates the environmental impacts of four waste management scenarios—incineration, anaerobic digestion (AD) + composting, AD + incineration, and AD + gasification—across a range of impact categories sorted in a heat map to visualize the relative severity of each scenario. Each cell in the heatmap represents the environmental impact value associated with a given scenario and category, with the color gradient indicating the magnitude and direction of the impact. A red hue indicates higher positive impacts, which typically correlate with increased environmental burden, while blue signifies negative or lower impacts, often reflecting environmental benefits or reduced burdens.
A key observation from this figure is that marine aquatic ecotoxicity under the AD + gasification scenario (3.1 × 107) stands out with the highest impact across all categories and scenarios, reflecting significant potential harm to marine ecosystems. In contrast, AD + composting and AD + incineration exhibit negative values in this category, suggesting they mitigate marine aquatic ecotoxicity.
Similarly, abiotic depletion fossil fuel shows negative values across most scenarios, except for AD + gasification, where the value is slightly positive, indicating that this method may reduce dependency on fossil fuels more effectively than others. In terms of global warming potential, all scenarios exhibit a positive impact, with incineration having the highest value (1.0 × 105), implying that it contributes the most to greenhouse gas emissions.
Notably, human toxicity shows a significant reduction for incineration, with a negative impact value (−1.1 × 102), while AD + gasification has the largest negative impact (−2.6 × 104), indicating potential health benefits in terms of reduced toxic emissions. The variation in colors across categories highlights the trade-offs inherent in waste treatment methods, where reductions in one environmental impact may lead to increases in another. This figure emphasizes the complexity of choosing an environmentally preferable waste management strategy, depending on which impact category is prioritized.

3.11. Emerging Environmental Contaminants: Microplastics and PFAS in Food Waste Management

While this study evaluates key environmental impact categories such as global warming potential, acidification, and eutrophication, emerging contaminants such as microplastics and per- and polyfluoroalkyl substances (PFAS) have not been explicitly assessed. Recent studies highlight the persistence of microplastics in compost and digestate and the mobility of PFAS in wastewater and soil systems, raising concerns about their potential accumulation in food waste treatment by-products [25,26].
The inclusion of microplastic fate modeling and PFAS contamination pathways in future LCAs would enhance understanding of their long-term environmental risks and improve waste management decision making. In this regard, future research should include the followings:
  • Expand impact categories to account for plastic particle retention and chemical persistence in soil and water.
  • Investigate the potential transfer of PFAS through digestate, compost, and leachate pathways.
  • Integrate emerging LCA methodologies that model the behavior of persistent pollutants in food waste valorization systems.
Recognizing these limitations ensures that this study remains methodologically aligned with existing LCA frameworks while identifying critical areas for further research to refine food waste sustainability assessments.

3.12. Sensitivity Analysis

The sensitivity analysis of the anaerobic digestion (AD) system evaluated the impact of two impurity levels (5% and 10%) on its environmental performance. Various environmental categories were assessed, including abiotic depletion, acidification, eutrophication, global warming potential (GWP), and toxicity. The goal was to determine how impurity levels affect the efficiency of the AD process across these impact categories. The sensitivity of all impact categories to 5 and 10% impurity ranges are presented in Table 2.
The analysis of these impact categories reveals that the AD-incineration scenario generally reduces environmental impacts across several categories, particularly in terms of GWP, marine aquatic ecotoxicity, and human toxicity. However, it significantly increases acidification potential. The presence of impurities generally leads to mixed results, with some impacts increasing and others decreasing depending on the category. The findings underscore the importance of carefully managing impurities in waste streams, as they can have diverse and complex effects on environmental outcomes and are in line with the empiric example reported by [34], where they support the findings for AD and incineration impacts in different contexts. Further investigation into the specific nature of these impurities would be valuable to better understand their environmental consequences.

3.13. Impact-Based Ranking of Scenarios

The impact-based ranking of the four scenarios is given in Table 3. The ranking results indicate that AD combined with compost performs best overall (1.6 average ranking), followed closely by AD with gasification (1.7 average ranking). Both scenarios consistently exhibit lower environmental impacts across GWP, acidification, ecotoxicity, and photochemical ozone formation, making them the most sustainable food waste management strategies in this study.
To better integrate environmental and economic performance, we applied a multi-criteria decision analysis (MCDA) framework using normalized and weighted environmental impact indicators (ReCiPe H 2016), combined with LCC results for each scenario. Scenarios were ranked based on aggregated performance across both LCA and LCC dimensions.
This approach enables decision makers to evaluate trade-offs and synergies between financial feasibility and environmental sustainability. For instance, while incineration offered moderate energy recovery, its high capital and operational costs made it economically uncompetitive. In contrast, AD-compost emerged as the most balanced option, combining low environmental impact with moderate cost, reinforcing its position as the preferred solution under circular economy principles.
AD-incineration ranks third (3.1), while standalone incineration ranks lowest (3.9), exhibiting the highest environmental burden across most impact categories. The high GWP, acidification, and toxicity values for incineration reinforce the need for alternative food waste valorization pathways that prioritize energy recovery and nutrient recycling.
The results of this study align with and expand upon the findings of [22], which assessed the environmental impacts of food waste treatment technologies in the U.S. using a life cycle assessment (LCA) approach. Similar to their findings, our findings highlight anaerobic digestion (AD) as the most favorable treatment option in terms of global warming potential (GWP), terrestrial acidification (TA), and fossil resource depletion (ARF). However, while [22] found that windrow composting performed the worst among the studied alternatives, our results suggest that standalone incineration results in higher environmental burdens across most impact categories, primarily due to higher emissions and lower material recovery potential. A key methodological difference between the studies is the approach to aggregating impact categories. Ref. [22] applied a normalized and weighted impact assessment to compare treatment options, while our study implements a multi-criteria ranking approach (MCDA) based on ReCiPe (H) 2016, prioritizing climate change, resource depletion, and toxicity indicators. This approach ensures a transparent decision-making framework without relying on arbitrary weighting factors.
Moreover, our study incorporates an economic dimension through life cycle costing (LCC), providing a cost-effective analysis of food waste treatment technologies. While [22] primarily focused on environmental burdens, our results emphasize that economic viability plays a crucial role in determining the feasibility of different waste management strategies. The cost analysis reveals that composting remains the most cost-effective solution, while incineration exhibits significantly higher costs than previously reported in the literature [39] due to increasing regulatory requirements and operational expenditures.
Our findings highlight that AD combined with composting provides the lowest environmental burden among the considered scenarios, particularly in terms of greenhouse gas emissions and eutrophication. These results are highly relevant for Irish policy frameworks such as the Waste Action Plan for a Circular Economy (2020–2025), which aims to reduce landfilling and promote organic recycling. The evidence supports prioritizing funding for AD infrastructure development and composting facilities, especially in regions with high biowaste generation.
The findings of this study complement recent work by [6], who evaluated household food waste management in a German case study, with a focus on source-separation efficiency and pretreatment strategies. While their work highlights the importance of upstream interventions in enhancing environmental outcomes, our study focuses on the downstream phase, comparing multiple treatment options for unavoidable food waste, including digestate management scenarios such as composting, gasification, and incineration. This distinction reflects not only different methodological scopes but also differing infrastructure maturity levels between Germany and Ireland. As Ireland’s biowaste management infrastructure is still developing, this study contributes practical insights for regions at earlier stages of circular economy implementation.
It is also important to situate the findings of this study within the broader European literature on household food waste management. The recent work of [6] in Germany provides valuable insights into how improving source-separation and pretreatment efficiency can reduce environmental impacts at the household level. In contrast, our study complements this perspective by focusing on the comparative performance of downstream treatment technologies, including multiple digestate management pathways, within the specific waste policy and infrastructure context of Ireland. Together, these studies highlight the need for integrated approaches that consider both upstream behavioral interventions and downstream technological solutions to optimize food waste management systems
While our scenario modeling shows that AD-compost is both environmentally and economically favorable, real-world implementation must navigate barriers such as limited existing AD infrastructure, low public awareness of biowaste sorting, and regulatory gaps for digestate reuse standards. To address these, policymakers could introduce incentive schemes (e.g., feed-in tariffs for biogas), establish digestate quality certifications, and strengthen municipal source-separation mandates.
To integrate environmental and economic performance in a decision-relevant format, we developed a multi-criteria decision analysis (MCDA) using normalized LCA and LCC results. Table 4 presents the sustainability scores for each scenario, combining environmental burden (from ReCiPe-weighted LCA) and cost (€/ton). The combined score enables a clear comparison of trade-offs and supports evidence-based selection of optimal food waste treatment strategies.

3.14. Costs and Revenues

Anaerobic digestion (AD) is a widely used process for converting organic waste into renewable energy and valuable byproducts, such as biogas. This technology not only contributes to waste reduction but also offers potential economic benefits through energy generation. The financial viability of AD facilities is influenced by various cost factors and revenue streams. The capital costs for AD facilities range between €920,000 and €2,760,000. When these costs are amortized over a 10-year period (520 weeks), the weekly capital expenditure is estimated to be between €1769 and €5307 [26]. In addition to capital costs, operational expenses for AD facilities are estimated to range from €92,000 to €276,000 annually, corresponding to a weekly operational cost of €1769 to €5307 [26]. Revenue generated from biogas production, a key output of AD processes, is projected to range from €46,000 to €92,000 per year, translating to weekly revenue between €885 and €1769 [19]. Composting is a sustainable method for managing organic waste, converting it into valuable soil amendments while reducing landfill use and greenhouse gas emissions. The economic feasibility of composting facilities depends on their capital and operational costs, as well as revenue from compost sales. The capital costs for composting facilities range between €460,000 and €920,000. When amortized over a 10-year period (520 weeks), the weekly capital cost is estimated to be between €885 and €1769 [19]. Operational costs for composting facilities are estimated to range from €46,000 to €138,000 per year, translating to a weekly operational cost of €885 to €2654 [19]. The revenue from compost sales is projected to be between €9200 and €18,400 annually, equating to a weekly revenue of €177 to €354 [19]. Integrating anaerobic digestion (AD) and composting offers a dual approach to managing food waste, with each process contributing to the overall efficiency and sustainability of waste treatment. By allocating 500 Kg of the 678.731 Kg of weekly food waste to AD and the remaining 178.731 Kg to composting, the costs and revenues are adjusted proportionally. The breakdown of allocating 500 Kg of the 678.731 Kg of weekly food waste to anaerobic digestion (AD) and the remaining 178.731 Kg to composting is likely guided by both mass balance considerations and insights from the literature. The mass balance suggests that the majority of the food waste is highly suitable for AD, particularly due to its high moisture content and potential for efficient biogas production, as commonly supported by studies on food waste management. For instance, [18] highlighted that food waste with a high moisture content is ideal for AD, optimizing biogas yields. The literature further supports this approach, indicating that AD performs best when handling large volumes of easily biodegradable organic material, such as food scraps, with the goal of maximizing energy recovery [7,44].
On the other hand, the remaining fraction (178.731 Kg) is directed to composting, likely because it includes materials that are less suitable for AD, such as fibrous or drier waste. This is in line with studies like [11], which emphasize that composting is more effective for processing plant-based and fibrous materials, contributing to high-quality compost rather than biogas. The research shows that composting is more suitable for organic matter with lower moisture content or a higher lignocellulosic composition, as composting facilitates nutrient recovery and soil conditioning [11]. The combined approach can be assessed in terms of weekly costs and revenues. For anaerobic digestion (AD), the weekly capital cost ranges from €1769 to €5307, with an operational cost between €1769 and €5307, resulting in a total weekly cost of €3538 to €10,614. The revenue generated from AD is estimated at €885 to €1769 per week. In the case of composting, the weekly capital cost is between €885 and €1769, while operational costs range from €885 to €2654, leading to a total weekly cost of €1770 to €4423. The weekly revenue from compost sales is estimated at €177 to €354. When combining the costs and revenues of both processes, the total weekly capital cost amounts to €2654 to €7076, and the total weekly operational cost ranges from €2654 to €7963. Consequently, the total weekly cost for the combined approach is estimated to be between €5308 and €15,039, with a total weekly revenue of €1062 to €2123. The net weekly cost, calculated by subtracting the total weekly revenue from the total weekly cost, ranges from €4246 to €12,916. This comprehensive analysis provides a clear picture of the financial implications of integrating anaerobic digestion and composting for effective waste management.
The life cycle cost (LCC) analysis considered capital expenditure (CAPEX), operational and maintenance costs (OPEX), and potential revenue streams (e.g., energy generation, compost sales). A discount rate of 4% was applied, aligned with EU project investment appraisal standards, to account for the time value of money over the system lifespan. All cost estimates were benchmarked to a reference period of 2021–2024, using recent market rates, literature values, and publicly available data from the Environmental Protection Agency [19].
The analysis also incorporated cost variability ranges to reflect risk and uncertainty, particularly in technology-dependent processes like incineration and gasification. High-end cost scenarios were modeled to include factors such as stricter emission standards and fluctuating energy markets, while low-end scenarios assumed stable market conditions and existing infrastructure utilization. Table 5 summarizes these LCC estimates and compares them against literature benchmarks and landfill tipping fees.
Table 5 presents a detailed breakdown of the life cycle costs (LCC) for four food waste treatment scenarios, incorporating capital investment, operational costs over a 10-year period, and projected revenue streams. All values are discounted at 4% and reflect market conditions for the 2021–2024 reference period.
Among the evaluated options, composting exhibits the lowest total life cycle cost, with capital and operational costs ranging from €121,440 to €364,320 and modest revenues from compost sales (€24,288 to €48,576). This results in an overall LCC range of €218,592 to €558,624, suggesting that composting remains a financially viable low-tech option, particularly for smaller municipalities or rural settings. These estimates align with findings from [9,44], although the lower bounds in our analysis may reflect more efficient, small-scale or region-specific implementations.
Anaerobic digestion (AD) with composting demonstrates moderate to high capital and operational expenditures (€677,120 to €2,033,360), but this is partially offset by biogas revenues ranging from €338,560 to €677,120. The resulting LCC of €1,016,320 to €3,385,600 supports the viability of AD systems when combined with energy recovery and nutrient recycling. These values are consistent with [13,19], though slightly lower in some cases due to assumptions around localized efficiencies and technological optimization.
Fermentation-based systems (e.g., AD + gasification) show intermediate LCC values (€460,000 to €1,104,000), with capital and operating costs comparable to AD but higher revenue variability depending on the market value of value-added products. This reflects findings by [47,48], who emphasize the importance of end-product type and scale on profitability.
In contrast, incineration is the most expensive pathway, with capital costs between €1,380,000 and €3,680,000 and operational costs between €1,840,000 and €5,520,000. While energy recovery provides some revenue (€920,000 to €2,760,000), the total LCC still ranges from €2,300,000 to €6,440,000, making it the least cost-effective option. These results are consistent with estimates from [21,49], which attribute high costs to energy-intensive infrastructure and compliance with emissions regulations.
Overall, the cost analysis reveals that while composting offers the lowest financial barrier, AD combined with composting presents a more balanced option when environmental and economic benefits are considered together. These insights are critical for municipalities and policymakers evaluating investments under circular economy frameworks.
The LCC analysis highlights the economic implications of different waste management technologies. Anaerobic digestion (AD) and composting emerge as more cost-effective options, particularly for smaller-scale operations. In contrast, incineration, while offering higher revenue potential, demands significant capital and operational investments. According to [10], landfill tipping fees across Europe range between €50–€120 per ton, depending on national policies and landfill taxation schemes. Meanwhile, [46] report that AD costs for food waste treatment range between €30–€80 per ton, depending on plant size and efficiency, making it a potentially more cost-competitive solution than incineration or landfilling. Additionally, [45] estimate that waste-to-energy facilities can generate €10–€50 per ton in energy recovery revenues, partially offsetting the high capital costs associated with incineration. These findings reinforce the importance of a balanced approach that considers both economic and environmental outcomes when selecting waste management strategies.
However, cost variability remains a critical challenge in waste management decision-making. Costs of waste treatment technologies fluctuate due to factors such as inflation, energy price shifts, technological advancements, and policy-driven incentives [13,50] emphasize the methodological challenges in applying LCC to waste management, noting that financial modeling must account for price variations and regulatory uncertainties. To ensure robustness, this study uses benchmark cost estimates against industry data, including landfill tipping fees [19] and prevailing market rates for waste-to-energy processing. Additionally, financing aspects, including capital depreciation, maintenance, and discount rates, have been considered where applicable.
Despite these efforts, we acknowledge that certain externalities—such as the economic impact of regulatory changes, subsidies for renewable energy, and shifts in waste collection efficiency—could further influence long-term cost projections. Future research should incorporate dynamic financial modeling and real-time market data to refine cost estimations and evaluate the long-term competitiveness of emerging waste treatment technologies [46,51].
The economic feasibility of waste treatment technologies varies significantly based on capital investment, operational costs, revenue potential, and regulatory influences. Table 6 presents the life cycle cost (LCC) per ton of household food waste for anaerobic digestion (AD), composting, fermentation, and incineration, comparing study results with literature estimates. The analysis highlights key cost drivers and discrepancies, particularly for incineration, which exhibits substantially higher costs than reported in previous studies. The cost discrepancy for incineration is the most pronounced, with study results exceeding literature values by 2–4 times. Possible explanations include regulatory stringency: Modern waste-to-energy (WTE) plants require advanced emission control technologies, which increase capital costs. Energy revenue fluctuations: Incineration relies on energy recovery, but electricity market variations impact financial returns. Carbon taxes and policy incentives: Stringent EU waste policies discourage incineration, increasing operating costs and landfill fees for incineration residues. These findings suggest that incineration is becoming an increasingly cost-prohibitive waste management option, particularly in policy environments that favor circular economy strategies such as AD and composting.
In terms of landfill fees, composting is the only method consistently cheaper than landfill disposal across all cost scenarios. Anaerobic digestion (AD) is cost-competitive at its lower bound (€101.63/ton) but exceeds landfill fees at its upper bound (€338.56/ton). Fermentation remains within the landfill cost range but becomes uncompetitive at its higher estimate (€110.40/ton). Incineration is significantly more expensive than landfill fees, making it economically unviable unless substantial subsidies or incentives exist.
Composting remains the most cost-effective waste treatment option, offering stable costs and low environmental impact. AD is a viable alternative when energy valorization is optimized, but high capital requirements must be addressed. Fermentation shows economic potential, particularly if high-value by-products can offset operational costs. Incineration is economically uncompetitive compared to literature estimates, reinforcing the need for alternative waste management strategies. These findings support a shift towards low-cost, sustainable waste treatment technologies, aligning with EU circular economy policies and global sustainability goals.

3.15. Limitations and Prospects for Future Research

While this study provides a comprehensive LCA and LCC assessment of food waste management scenarios, several areas remain for further refinement and exploration.

3.15.1. Expansion of Environmental Impact Categories

Although our study evaluates key impact categories, it does not include biodiversity loss, soil health impacts, and long-term carbon sequestration potential, which are increasingly relevant in food waste management. Future research should incorporate land use changes, biogenic carbon accounting, and soil quality modeling to assess the broader ecological implications of waste treatment pathways.

3.15.2. Uncertainty and Sensitivity Analysis Enhancements

This study applies a ranking-based impact assessment, but uncertainty in inventory data and impact assessment modeling remains a limitation. Future work should incorporate:
  • Monte Carlo simulations to quantify the variability in impact assessments.
  • Scenario-based sensitivity analysis to test assumptions on waste composition, energy recovery efficiencies, and digestate management methods.
  • Temporal LCA modeling to evaluate the long-term environmental impacts of food waste management under evolving regulatory and market conditions.

3.15.3. Microplastics, PFAS, and Emerging Contaminants

As highlighted in the previous research, microplastics and PFAS contamination in organic waste streams remain unaccounted for in current LCA frameworks. To enhance environmental assessments,
  • Future studies should integrate microplastic fate modeling in composting, anaerobic digestion, and incineration residues.
  • The potential leaching of PFAS from digestate into agricultural soil should be quantified through field-based experimental validation.
  • Toxicological impacts of emerging pollutants should be included in impact assessment methods, ensuring a more comprehensive evaluation of environmental risks.
While this study focuses on environmental and economic trade-offs, future work should explore social acceptability and policy feasibility of different food waste treatment options. Consumer behavior, regulatory incentives, and public perceptions play a crucial role in determining the success of AD-compost, gasification, and incineration alternatives. Future research could include the following:
  • Apply social LCA (S-LCA) and policy-driven scenario modeling to assess public and stakeholder perspectives.
  • Investigate the role of carbon pricing and circular economy incentives in promoting resource recovery solutions.
  • Explore localized regulatory frameworks that may influence treatment selection and economic viability.
While the analysis aligns with Ireland’s national circular economy goals, the study does not explicitly assess the influence of broader EU regulatory frameworks, such as the Waste Framework Directive or emerging mechanisms like the Carbon Border Adjustment Mechanism. These policy instruments can significantly impact the financial and logistical feasibility of AD-based systems through compliance costs, carbon pricing, and cross-border market effects. Future research could build on this work by incorporating dynamic policy scenarios and evaluating how evolving regulatory conditions shape the long-term viability and competitiveness of alternative waste treatment pathways.
One limitation of this study is the exclusion of long-term soil health impacts from compost and digestate application. Parameters such as heavy metal accumulation, changes in microbial biodiversity, and nutrient runoff were not modeled due to the absence of reliable regional datasets and harmonized characterization factors in current LCIA methods. Given the increasing attention to soil quality under EU soil health policies and sustainable agriculture targets, future studies should incorporate experimental field data or dynamic soil models to evaluate these impacts over time.
From an economic perspective, life cycle costing (LCC) reveals that while incineration yields some energy recovery, its high capital and operational costs make it uncompetitive in the absence of strong subsidies. This is particularly relevant for waste management companies and local municipalities evaluating investment in treatment technologies. Our results support the business case for AD-compost systems, especially when integrated with local farming sectors that can utilize compost outputs, reducing dependency on synthetic fertilizers.
Social factors also influence the success of food waste management strategies. AD-compost systems, for example, can create green jobs in rural areas, support decentralized waste treatment, and generate public acceptance due to their “natural” outputs (compost). However, successful implementation depends on citizen participation in waste separation at the source. Future planning should consider behavior change incentives and educational campaigns to boost source separation rates, especially in urban areas.
It should be noted that the LCA model uses static values for key parameters such as biogas yield and compost nutrient content that may not fully reflect seasonal or temporal variability. Future studies could incorporate time-dependent modeling frameworks to assess how variations in waste composition and technology efficiency over time influence environmental outcomes
Beyond its technical findings, this study makes a broader academic contribution by addressing a notable gap in the literature on food waste management in regions with emerging biowaste infrastructure. While several European studies have explored upstream prevention or source-separation efficiency, few have focused on downstream treatment pathways—particularly digestate management—in a national context like Ireland’s. By applying an integrated LCA–LCC–MCDA framework to primary, region-specific data, the study not only informs domestic policy but also establishes a baseline for future cross-national research and system benchmarking under evolving EU circular economy goals.

4. Conclusions

This study provides a thorough LCA and LCC analysis of household food waste management scenarios in Ireland, focusing on the environmental and economic implications of incineration and anaerobic digestion with various digestate treatments, as well as the role of these methods in achieving sustainable waste management. The findings clearly demonstrate that anaerobic digestion, particularly when combined with digestate composting, is the most environmentally and economically viable option among the scenarios considered. From an environmental perspective, the AD scenarios significantly outperform incineration, particularly in reducing greenhouse gas emissions and enhancing nutrient recovery. Among the AD scenarios, digestate composting offers the most favorable outcomes, supporting both environmental sustainability and circular economy principles by converting waste into valuable compost. This scenario aligns well with national and EU-level goals of reducing landfill waste and enhancing resource recovery.
Economically, the LCC analysis reveals that despite higher upfront capital and operational costs, AD scenarios, particularly AD with composting, present long-term cost benefits due to the revenue generated from by-products such as biogas and compost. The LCC for AD scenarios ranges from €1,016,320 to €3,385,600, with significant potential for cost recovery through energy production and compost sales. This cost effectiveness is crucial for policymakers and waste management stakeholders, as it indicates that investments in AD infrastructure could be both financially and environmentally sustainable. The sensitivity analysis further highlights opportunities for optimization, such as reducing water usage and improving emission controls from biogas engines, which could enhance the overall sustainability of the AD process. These findings underscore the importance of integrating environmental and economic considerations in waste management strategies, ensuring that policies not only meet regulatory requirements but also contribute to broader sustainability goals.
While this study offers a comprehensive LCA and LCC analysis of household food waste management scenarios in Ireland, there are several limitations that warrant consideration. One major limitation is the exclusion of certain emerging technologies in waste treatment, such as pyrolysis or gasification, which could offer alternative or complementary solutions to AD and incineration. Furthermore, the study assumes stable market prices for by-products like biogas and compost, but fluctuations in these markets could affect the long-term economic viability of AD scenarios. The analysis also does not fully account for potential social and policy barriers to implementing large-scale AD infrastructure, such as public acceptance, regulatory hurdles, or logistical challenges in digestate management and compost distribution.
Another limitation lies in the geographical scope. The study focuses specifically on Ireland, where the infrastructure, waste management practices, and policy frameworks may differ from other regions, limiting the generalizability of the findings to other countries. Additionally, the environmental analysis, while comprehensive, does not fully explore the potential impacts of air and water pollution from digestate application on agricultural soils, which could vary significantly based on local conditions.
Beyond its technical assessment, this study offers broader implications for the design and implementation of sustainable food waste management systems in socio-political contexts with emerging circular economy frameworks. The integration of LCA, LCC, and MCDA provides a holistic decision-support tool that enables policymakers and planners to evaluate trade-offs between environmental performance and economic feasibility. Although the case study focuses on Ireland, the findings and methodological approach are transferable to other regions facing similar infrastructure limitations, policy transitions, or behavioral challenges in household food waste management. As such, the study contributes not only to academic discourse but also to evidence-based strategy development for sustainable resource recovery.
For future research, it would be valuable to conduct comparative studies that include other innovative waste treatment technologies, providing a broader range of options for decision makers. Further studies could also assess the long-term impacts of digestate application on soil health and biodiversity, as well as its potential to mitigate climate change impacts through carbon sequestration. In addition, incorporating a broader set of socio-economic factors, such as public perception and the role of subsidies or government incentives, could provide a more holistic view of the feasibility of large-scale AD adoption. Lastly, expanding the analysis to include a wider range of geographic locations and waste compositions could improve the applicability of the findings to diverse waste management contexts across the EU and globally.

Supplementary Materials

The following supporting information can be downloaded at: https://www.mdpi.com/article/10.3390/recycling10030094/s1, File S1.

Author Contributions

M.B.: writing—original draft, visualization, software, methodology, investigation, formal analysis, data curation, conceptualization. C.K.: writing—original draft, software, methodology, investigation, data curation, conceptualization. P.H.: review and editing, supervision. A.P.: review and editing, supervision. All authors have read and agreed to the published version of the manuscript.

Funding

This work was supported by the Irish Research Council [Project ID: COALESCE/2022/804] for the FORWARD project (Food Waste in Ireland—Assessment, Environmental and Economic Burden, and Mitigation Strategies).

Institutional Review Board Statement

Not applicable.

Informed Consent Statement

Not applicable.

Data Availability Statement

The raw data supporting the conclusions of this article will be made available by the authors on request.

Conflicts of Interest

The authors declare no conflict of interest.

Nomenclature

C = Carbon-to-Nitrogen, C C a p i t a l = Capital cost (initial cost of purchase, installation, or setup), C O p e r a t i o n a l , t = Annual operational cost at time t. This is the cost incurred annually for operating and maintaining the technologies, NAC = net annual cost, n = Number of periods (e.g., years), PV = Present value, R R e v e n u e , t = Annual revenue generated at time t. This is the income generated annually from the outputs or by-products of the waste management processes, r = Discount rate.

Abbreviations

ADAnaerobic digestion
AD-compostAnaerobic digestion followed by digestate composting
AD-gasAnaerobic digestion followed by digestate gasification
AD-incinerationAnaerobic digestion followed by digestate incineration
BMPBiochemical methane potential
CH4Methane
FAEToxFreshwater aquatic ecotoxicity
GWPGlobal warming potential
HFHydrogen fluoride
HFWHousehold food waste
InciIncineration
LCALife cycle assessment
LCCLife cycle cost
MFWMass of food waste
N2ONitrous oxide
NEANational Environment Agency
NoxNitrogen oxides
POCPhotochemical ozone creation
POPsPersistent organic pollutants
SNGSynthetic natural gas

References

  1. Porterfield, K.K.; Hobson, S.A.; Neher, D.A.; Niles, M.T.; Roy, E.D. Microplastics in composts, digestates, and food wastes: A review. J. Environ. Qual. 2023, 52, 225–240. [Google Scholar] [CrossRef]
  2. Krah, C.Y.; Bahramian, M.; Hynds, P.; Priyadarshini, A. Household food waste generation in high-income countries: A scoping review and pooled analysis between 2010 and 2022. J. Clean. Prod. 2024, 471, 143375. [Google Scholar] [CrossRef]
  3. Kenny, S.; Smyth, B.M.; Murphy, J.D. The potential of bioenergy production from Irish agricultural wastes. Renew. Energy 2017, 105, 495–504. [Google Scholar] [CrossRef]
  4. Kabeyi, M.J.B.; Olanrewaju, O.A. Technologies for biogas to electricity conversion. Energy Rep. 2022, 8, 774–786. [Google Scholar] [CrossRef]
  5. Davenport, J.; Davenport, J.L. The Ecology of Transportation: Managing Mobility for the Environment; Springer: Dordrecht, The Netherlands, 2006; Volume 10. [Google Scholar] [CrossRef]
  6. Singlitico, A.; Goggins, J.; Monaghan, R.F.D. Evaluation of the potential and geospatial distribution of waste and residues for bio-SNG production: A case study for the Republic of Ireland. Renew. Sustain. Energy Rev. 2018, 98, 288–301. [Google Scholar] [CrossRef]
  7. Andersen, S.O.; Sarma, K.M. Protecting the Ozone Layer: The United Nations History; Earthscan Publications: Oxford, UK, 2002. [Google Scholar]
  8. Afshar, M.; Mofatteh, S. Biochar for a sustainable future: Environmentally friendly production and diverse applications. Results Eng. 2024, 23, 102433. [Google Scholar] [CrossRef]
  9. Ahamed, A.; Yin, K.; Ng, B.J.H.; Ren, F.; Chang, V.W.-C.; Wang, J.-Y. Life cycle assessment of the present and proposed food waste management technologies from environmental and economic impact perspectives. J. Clean. Prod. 2016, 131, 607–614. [Google Scholar] [CrossRef]
  10. Bakas, I.; Herczeg, M.; Vea, E.B.; Fråne, A.; Youhanan, L.; Baxter, J. Critical Metals in Discarded Electronics: Mapping Recycling Potentials from Selected Waste Electronics in the Nordic Region; Nordic Council of Ministers: Copenhagen, Denmark, 2016. [Google Scholar] [CrossRef]
  11. Muñoz-Torres, M.J.; Ferrero-Ferrero, I.; Gisbert-Navarro, J.V.; Rivera-Lirio, J.M. Environmental assessment of food loss and waste prevention and reduction solutions: Navigating the complexity of integrating stakeholders’ decisions. Environ. Impact Assess. Rev. 2025, 112, 107788. [Google Scholar] [CrossRef]
  12. O’Shea, R.; Lin, R.; Wall, D.M.; Murphy, J.D. Assessing decarbonization pathways in the food and beverage sector: A multi-criteria decision analysis approach. J. Clean. Prod. 2022, 371, 133534. [Google Scholar] [CrossRef]
  13. Slorach, P.C.; Jeswani, H.K.; Cuéllar-Franca, R.; Azapagic, A. Assessing the economic and environmental sustainability of household food waste management in the UK: Current situation and future scenarios. Sci. Total Environ. 2020, 710, 135580. [Google Scholar] [CrossRef]
  14. Singh, R.; Nolan, P.; Lalor, S.; Humphreys, J. Environmental impact of applying anaerobic digestate to agricultural soils in Ireland. J. Environ. Manag. 2020, 262, 110269. [Google Scholar] [CrossRef]
  15. Rathje, W.; Murphy, C. Rubbish!: The Archaeology of Garbage; University of Arizona Press: Tucson, AZ, USA, 2001; ISBN 978-0816521432. [Google Scholar]
  16. Hong, J.; Hong, J.; Otaki, M.; Jolliet, O. Environmental and economic life cycle assessment for sewage sludge treatment processes in Japan. Waste Manag. 2017, 61, 533–542. [Google Scholar] [CrossRef] [PubMed]
  17. Astrup, T.; Møller, J.; Fruergaard, T. Incineration and co-combustion of waste: Accounting of greenhouse gases and global warming contributions. Waste Manag. Res. 2009, 27, 789–799. [Google Scholar] [CrossRef] [PubMed]
  18. Finnveden, G.; Johansson, J.; Lind, P.; Moberg, Å. Life cycle assessment of energy from solid waste—Part 1: General methodology and results. J. Clean. Prod. 2005, 13, 213–229. [Google Scholar] [CrossRef]
  19. Evangelisti, S.; Lettieri, P.; Borello, D.; Clift, R. Life cycle assessment of energy from waste via anaerobic digestion: A UK case study. Waste Manag. 2014, 34, 226–237. [Google Scholar] [CrossRef]
  20. Astrup, T.; Tonini, D.; Turconi, R.; Boldrin, A. Life Cycle Assessment of Thermal Waste-to-Energy Technologies: Review and Recommendations. Waste Manag. 2015, 37, 104–115. [Google Scholar] [CrossRef]
  21. ISO 14040:2006; Environmental Management Life Cycle Assessment Principles and Framework. [Standard]. ISO. 2006. Available online: https://www.iso.org/standard/37456.html (accessed on 8 November 2024).
  22. Thyberg, K.L.; Tonjes, D.J. The Environmental Impacts of Alternative Food Waste Treatment Technologies in the U.S. J. Clean. Prod. 2017, 158, 101–108. [Google Scholar] [CrossRef]
  23. Morais, T.G.; Teixeira, R.F.M.; Domingos, T. A step toward regionalized scale-consistent agricultural life cycle assessment inventories. Integr. Environ. Assess. Manag. 2017, 35, 939–951. [Google Scholar] [CrossRef]
  24. Smith, J.; Brown, A. Leachate Generation from Organic Waste: An Analysis of Bunker Leachate Production Rates. J. Environ. Eng. 2019, 145, 04019035. [Google Scholar] [CrossRef]
  25. Buekers, J.; Van Holderbeke, M.; Bierkens, J.; Panis, L.I. Health and environmental benefits related to electric vehicle introduction in EU countries. Transp. Res. Part D Transp. Environ. 2014, 33, 26–38. [Google Scholar] [CrossRef]
  26. Accinelli, C.; Abbas, H.K.; Bruno, V.; Khambhati, V.H.; Little, N.S.; Bellaloui, N.; Shier, W.T. Field Studies on the Deterioration of Microplastic Films from Ultra-Thin Compostable Bags in Soil. J. Environ. Manag. 2022, 305, 114407. [Google Scholar] [CrossRef]
  27. Tie, J.; Gao, X.; Liu, Y.; Chen, W.; Hu, L.; Yu, J.; Li, T. Improving the value of planting and breeding waste compost in agricultural applications: A zucchini cultivation case and circular agricultural models analysis. Chem. Eng. J. 2024, 496, 153984. [Google Scholar] [CrossRef]
  28. Börjesson, P.; Berglund, M. Environmental systems analysis of biogas systems—Part II: The environmental impact of replacing various reference systems. Biomass Bioenergy 2007, 31, 326–344. [Google Scholar] [CrossRef]
  29. Al-Rumaihi, A.; McKay, G.; Mackey, H.R.; Al-Ansari, T. Environmental Impact Assessment of Food Waste Management Using Two Composting Techniques. Sustainability 2020, 12, 1595. [Google Scholar] [CrossRef]
  30. Laurent, A.; Bakas, I.; Clavreul, J.; Bernstad, A.; Niero, M.; Gentil, E.; Christensen, T.H.; Hauschild, M.Z. Review of LCA studies of solid waste management systems—Part I: Lessons learned and perspectives. Waste Manag. 2014, 34, 573–588. [Google Scholar] [CrossRef]
  31. Mills, G.; Pleijel, H.; Malley, C.S.; Sinha, B.; Cooper, O.R.; Schultz, M.G.; Neufeld, H.S.; Simpson, D.; Sharps, K.; Feng, Z.; et al. Tropospheric Ozone Assessment Report: Present-day Tropospheric Ozone Distribution and Trends Relevant to Vegetation. Elem. Sci. Anthr. 2018, 6, 47. [Google Scholar] [CrossRef]
  32. Cherubini, F.; Bargigli, S.; Ulgiati, S. Life cycle assessment (LCA) of waste management strategies: Landfilling, sorting plant and incineration. Energy 2009, 34, 2116–2123. [Google Scholar] [CrossRef]
  33. Zhou, H.; Meng, A.; Long, Y.; Li, Q.; Zhang, Y.; Li, L. An overview of characteristics of municipal solid waste fuel in China: Physical, chemical composition and heating value. Renew. Sustain. Energy Rev. 2015, 50, 147–158. [Google Scholar] [CrossRef]
  34. Singlitico, A.; Goggins, J.; Monaghan, R.F.D. The Role of Life Cycle Assessment in the Sustainable Transition to a Decarbonised Gas Network through Green Gas Production. Renew. Sustain. Energy Rev. 2019, 99, 16–28. [Google Scholar] [CrossRef]
  35. Carus, M.; Dammer, L.; Essel, R.; Piotrowski, S. Market dynamics of the bio-based economy: Global trends and developments. Ind. Biotechnol. 2015, 11, 154–159. [Google Scholar] [CrossRef]
  36. El-Fadel, M.; Findikakis, A.N.; Leckie, J.O. Environmental Impacts of Solid Waste Landfilling. J. Environ. Manag. 1997, 50, 1–25. [Google Scholar] [CrossRef]
  37. McKay, G. Dioxin Characterization, Formation, and Minimization During Municipal Solid Waste (MSW) Incineration: Review. Chem. Eng. J. 2002, 86, 343–368. [Google Scholar] [CrossRef]
  38. López-Mosquera, M.E.; Moirón, M.A.C.; Carral, E.R. Use of Municipal Solid Waste Compost for Crop Production. Plant Soil 2011, 242, 203–213. [Google Scholar]
  39. Solomon, S. Stratospheric ozone depletion: A review of concepts and history. Rev. Geophys. 1999, 37, 275–316. [Google Scholar] [CrossRef]
  40. Biddy, M.J.; Davis, R.; Humbird, D.; Tao, L.; Dowe, N.; Guarnieri, M.T.; Linger Karp, J.E.M.; Salvachua Vardon, D.R.; Beckham, G.T. The Techno-Economic Basis for Coproduct Manufacturing to Enable Hydrocarbon Fuel Production from Lignocellulosic Biomass. ACS Sustain. Chem. Eng. 2016, 4, 3196–3211. [Google Scholar] [CrossRef]
  41. WMO (World Meteorological Organization). Scientific Assessment of Ozone Depletion: 2018. Global Ozone Research and Monitoring Project-Report No. 58; World Meteorological Organization: Geneva, Switzerland, 2018. [Google Scholar]
  42. Zhou, Y.; Zhao, L.; Wang, Z.; Han, Y.; Li, X. Environmental and Economic Assessment of Biogas Power Generation: A Life Cycle Approach. Renew. Energy 2022, 181, 859–870. [Google Scholar]
  43. Jiang, Y.; Li, F.; Luo, Y. Life Cycle Assessment of Different Composting Approaches. Bioresour. Technol. 2020, 319, 124118. [Google Scholar]
  44. Raman, V.; Masiello, C.A.; Dugan, B. Cement Production and Flue Gas Cleaning: A Life Cycle Assessment of Pollutant Mitigation Strategies. J. Clean. Prod. 2021, 318, 128531. [Google Scholar]
  45. Awasthi, M.K.; Pandey, A.K.; Bundela, P.S.; Zhang, Z. Comparative Environmental Impact of Solid Waste Management: Incineration vs. Biogas Generation. Waste Manag. Res. 2022, 40, 312–322. [Google Scholar]
  46. IEA Bioenergy. Quality Management of Digestate from Biogas Plants Used as Fertiliser (Task 37). IEA Bioenergy. 2012. Available online: https://www.ieabioenergy.com/wp-content/uploads/2012/05/digestate_quality_web_new.pdf (accessed on 30 January 2025).
  47. Bogner, J.; Pipatti, R.; Hashimoto, S.; Diaz, C.; Mareckova, K.; Diaz, L.; Kjeldsen, P.; Monni, S.; Faaij, A.; Gao, Q.; et al. Mitigation of global greenhouse gas emissions from waste: Conclusions and strategies from the Intergovernmental Panel on Climate Change (IPCC) Fourth Assessment Report. Waste Manag. Res. 2008, 26, 11–32. [Google Scholar] [CrossRef]
  48. Biddy, M.J.; Scarlata, C.; Kinchin, C.; Tao, L. Chemicals from Biomass: A Market Assessment of Bioproducts with Near-Term Potential; National Renewable Energy Laboratory: Golden, CO, USA, 2016. Available online: http://www.osti.gov/scitech (accessed on 25 April 2025).
  49. Huiru, Z.; Yunjun, Y.; Liberti, F.; Bartocci, P.; Fantozzi, F. Technical and Economic Feasibility Analysis of an Anaerobic Digestion Plant Fed with Canteen Food Waste. Energy Convers. Manag. 2019, 180, 938–948. [Google Scholar] [CrossRef]
  50. Laurent, A.; Bakas, I.; Clavreul, J.; Bernstad, A.; Niero, M.; Gentil, E.; Hauschild, M.Z. Review of LCA studies of solid waste management systems—Part II: Methodological guidance for a better practice. Waste Manag. 2014, 34, 589–606. [Google Scholar] [CrossRef] [PubMed]
  51. Chen, T.; Zhao, Y.; Qiu, X.; Zhu, X.; Liu, X.; Yin, J.; Shen, D.; Feng, H. Economics analysis of food waste treatment in China and its influencing factors. Front. Environ. Sci. Eng. 2021, 15, 33. [Google Scholar] [CrossRef]
  52. European Commission, Joint Research Centre (JRC). Guidance on Life Cycle Thinking (LCT) and Life Cycle Assessment (LCA) Applied to Bio-Waste Management. Publications Office of the European Union: Luxembourg, 2023; Available online: https://eplca.jrc.ec.europa.eu/uploads/waste-Guidance-on-LCT-LCA-applied-to-BIO-WASTE-Management-Final-ONLINE.pdf (accessed on 30 January 2025).
Figure 1. System boundaries for incineration scenario (a) and anaerobic digestion scenarios (b). Anaerobic digestion scenario includes three different extensions.
Figure 1. System boundaries for incineration scenario (a) and anaerobic digestion scenarios (b). Anaerobic digestion scenario includes three different extensions.
Recycling 10 00094 g001
Figure 2. Flow of household food waste during its mass balance (The mass unit is Kg).
Figure 2. Flow of household food waste during its mass balance (The mass unit is Kg).
Recycling 10 00094 g002
Figure 3. Environmental and economic performance of household food waste management scenarios across 11 midpoint impact categories.The figure presents a comparative assessment of four food waste treatment scenarios: Incineration (Inc), Anaerobic Digestion with Composting of digestate (ADcomp), Anaerobic Digestion with Incineration of digestate (ADinc), and Anaerobic Digestion with Gasification of digestate (ADgas). (ak) represent specific environmental impact category based on the ReCiPe 2016 (H) life cycle impact assessment method.
Figure 3. Environmental and economic performance of household food waste management scenarios across 11 midpoint impact categories.The figure presents a comparative assessment of four food waste treatment scenarios: Incineration (Inc), Anaerobic Digestion with Composting of digestate (ADcomp), Anaerobic Digestion with Incineration of digestate (ADinc), and Anaerobic Digestion with Gasification of digestate (ADgas). (ak) represent specific environmental impact category based on the ReCiPe 2016 (H) life cycle impact assessment method.
Recycling 10 00094 g003
Figure 4. LCA impact comparison across three different scenarios.
Figure 4. LCA impact comparison across three different scenarios.
Recycling 10 00094 g004
Figure 5. The heat map illustrates the environmental impact of four waste treatment scenarios across different impact categories. The scenarios compared include incineration, anaerobic digestion followed by composting, anaerobic digestion followed by incineration, and anaerobic digestion followed by gasification. Color intensity represents the magnitude of each impact, with red indicating higher values and blue indicating lower (or negative) values. Impact categories range from abiotic depletion potential to terrestrial ecotoxicity.
Figure 5. The heat map illustrates the environmental impact of four waste treatment scenarios across different impact categories. The scenarios compared include incineration, anaerobic digestion followed by composting, anaerobic digestion followed by incineration, and anaerobic digestion followed by gasification. Color intensity represents the magnitude of each impact, with red indicating higher values and blue indicating lower (or negative) values. Impact categories range from abiotic depletion potential to terrestrial ecotoxicity.
Recycling 10 00094 g005
Table 2. Impact Assessment of Anaerobic Digestion-Incineration and the Effect of Impurities on Various Impact Categories.
Table 2. Impact Assessment of Anaerobic Digestion-Incineration and the Effect of Impurities on Various Impact Categories.
Impact CategoryAD-Incineration (%)5% Impurity Level (%)10% Impurity Level (%)
Abiotic Depletion Potential−420
Abiotic Depletion Fossil Fue−420
Acidification229−1.5−4
Eutrophication−55−70
Freshwater Aquatic Ecotoxicity−1920
GWP−4013
Human Toxicity−2912
Marine Aquatic Ecotoxicity−520−2
Ozone Layer Depletion−29212
Photochemical Ozone Creation−18212
Terrestrial Ecotoxicity−1721
Table 3. Multi-Criteria Ranking of Food Waste Treatment Scenarios Based on Environmental Impact Categories.
Table 3. Multi-Criteria Ranking of Food Waste Treatment Scenarios Based on Environmental Impact Categories.
ScenarioGWPODPTATEFEMEARFAverage Ranking
AD-Compost12211221.6 (best)
AD-Gasification21122111.7
AD-Incineration34333333.1
Incineration43444443.9 (Worst)
Table 4. Integrated sustainability ranking of household food waste treatment scenarios based on multi-criteria decision analysis (MCDA). Normalized scores represent relative environmental impact (LCA) and life cycle cost (LCC) on a 0–1 scale, where lower values indicate better performance. The combined score reflects the average of normalized LCA and LCC values, providing a balanced metric for decision-making.
Table 4. Integrated sustainability ranking of household food waste treatment scenarios based on multi-criteria decision analysis (MCDA). Normalized scores represent relative environmental impact (LCA) and life cycle cost (LCC) on a 0–1 scale, where lower values indicate better performance. The combined score reflects the average of normalized LCA and LCC values, providing a balanced metric for decision-making.
ScenarioNormalized LCA Score (0–1) *Normalized LCC (€/ton) **Combined Sustainability Score ***Final Rank
AD + Composting0.220.330.271st
AD + Gasification0.350.410.382nd
AD + Digestate Incineration0.480.550.513rd
Incineration (baseline)0.670.790.734th
* LCA Score: Based on ReCiPe H 2016 weighted impacts, normalized to 0–1 scale (lower = better). ** LCC Score: Life cycle cost per ton, normalized for comparability (lower = better). *** Combined Score = Average of normalized LCA and LCC values.
Table 5. Combined Lifecycle Cost (Anaerobic Digestion, Composting, Fermentation, Incineration).
Table 5. Combined Lifecycle Cost (Anaerobic Digestion, Composting, Fermentation, Incineration).
CapitalOperation (10 Years)Revenue (10 Years)LCC (Lower Bound)LCC (Upper Bound)
AD677,120–2,033,360677,120–2,033,360338,560–677,1201,016,3203,385,600
Composting121,440–242,880121,440–364,32024,288–48,576218,592558,624
Fermentation276,000–644,000276,000–920,00092,000–460,000460,0001,104,000
Incineration1,380,000–3,680,0001,840,000–5,520,000920,000–2,760,0002,300,0006,440,000
Sources: Cost and revenue ranges derived from [13,19,21,45,46]. Note: All cost estimates are based on a 10-year operational period and discounted at 4%, reflecting 2021–2024 pricing. Life cycle cost (LCC) values incorporate capital, operational, and revenue streams. Ranges represent variability in plant size, technology, and market assumptions.
Table 6. Comparison of Life Cycle Cost (LCC) per Ton of Household Food Waste Across Treatment Technologies and Literature Benchmarks.
Table 6. Comparison of Life Cycle Cost (LCC) per Ton of Household Food Waste Across Treatment Technologies and Literature Benchmarks.
Technology LCC Lower Bound (€/ton)LCC Higher Bound (€/ton)Landfill Fee Comparison (€/ton)Literature (€/ton)
AD€101.63€338.56€50–€170 [19]€30–€80 [35] €50–€120 [10]
Composting €21.86€55.86€50–€170 [19]€20–€60 [52]
Fermentation€46.00€110.40€50–€170 [19]€45–€90 [34]
Incineration €230.00€644.00€50–€170 [19]€80–€150 [45]
Disclaimer/Publisher’s Note: The statements, opinions and data contained in all publications are solely those of the individual author(s) and contributor(s) and not of MDPI and/or the editor(s). MDPI and/or the editor(s) disclaim responsibility for any injury to people or property resulting from any ideas, methods, instructions or products referred to in the content.

Share and Cite

MDPI and ACS Style

Bahramian, M.; Krah, C.; Hynds, P.; Priyadarshini, A. An Environmental and Economic Assessment of Household Food Waste Management Scenarios in Ireland. Recycling 2025, 10, 94. https://doi.org/10.3390/recycling10030094

AMA Style

Bahramian M, Krah C, Hynds P, Priyadarshini A. An Environmental and Economic Assessment of Household Food Waste Management Scenarios in Ireland. Recycling. 2025; 10(3):94. https://doi.org/10.3390/recycling10030094

Chicago/Turabian Style

Bahramian, Majid, Courage Krah, Paul Hynds, and Anushree Priyadarshini. 2025. "An Environmental and Economic Assessment of Household Food Waste Management Scenarios in Ireland" Recycling 10, no. 3: 94. https://doi.org/10.3390/recycling10030094

APA Style

Bahramian, M., Krah, C., Hynds, P., & Priyadarshini, A. (2025). An Environmental and Economic Assessment of Household Food Waste Management Scenarios in Ireland. Recycling, 10(3), 94. https://doi.org/10.3390/recycling10030094

Article Metrics

Back to TopTop