Rethinking PE-HD Bottle Recycling—Impacts of Reducing Design Variety
Abstract
1. Introduction
2. Results and Discussion
2.1. Base Characterisation
2.2. Rheological Analyses
2.2.1. Dynamic Rheology
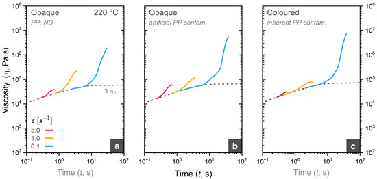
2.2.2. Extensional Rheology and Time Sweep
2.3. Tensile Tests
2.4. Creep Tests
2.5. Strain Hardening Moduli
2.6. SEM and EDX Analyses
3. Materials and Methods
3.1. Recycling Procedure and Materials
) and filled (
) block arrows, respectively. Laboratory conditions for specimen storage and testing were 23 ± 2 °C and 40 ± 5% relative air humidity (RH).3.2. Bottle and Specimen Preparation
3.2.1. Sample Bottles (Extrusion Blow-Moulding)
3.2.2. Laboratory Extrusion and Milling
3.3. Initial Material Characterisation
3.3.1. Melt Flow Rate
3.3.2. Infrared Analyses
3.3.3. Thermal Analyses
3.3.4. Specific Gravity
3.4. Rheological Analyses
3.5. Mechanical Tests
3.6. Scanning Electron Microscopy
4. Conclusions
Supplementary Materials
Author Contributions
Funding
Data Availability Statement
Acknowledgments
Conflicts of Interest
Abbreviations
| ATR | Attenuated Total Reflection |
| CM | Compression-moulded |
| cont. | Contaminated |
| DSC | Differential Scanning Calorimetry |
| EBM | Extrusion blow-moulded |
| ESCR | Environmental stress cracking resistance |
| EU | European Union |
| FTIR | Fourier-transformed infrared (Spectroscopy) |
| MFR | Melt–flow rate |
| MR | Mechanical recycling |
| MWD | Molecular mass distribution |
| ND | Not detected |
| NIR | Near infrared |
| PE-HD | High-density polyethylene |
| PP | Polypropylene |
| PP−h | Polypropylene homopolymer |
| PTFE | Polytetrafluorethylene |
| rPE−HD | Post-consumer high-density polyethylene |
| TGA | Thermogravimetric Analysis |
References
- Wang, P.-Y.; Zhao, Z.-Y.; Siddique, K.H.M.; Xiong, X.-B.; Tao, H.-Y.; Ma, Y.; Mo, F.; Chen, Y.; Song, Y.; Burch, W.R.; et al. Microplastics positively mediate soil multifunctionality in dryland. Resour. Conserv. Recycl. 2024, 209, 107754. [Google Scholar] [CrossRef]
- MacLeod, M.; Arp, H.P.H.; Tekman, M.B.; Jahnke, A. The global threat from plastic pollution. Science 2021, 373, 61–65. [Google Scholar] [CrossRef] [PubMed]
- ISO 59000 Series: Circular Economy Standards -Terminology (ISO 59004), Business Models (59010), Measurement and Evaluation (59020), DIN Deutsches Institut für Normung e. V., 2024-05. [Online]. Available online: https://www.dinmedia.de/en/standard/iso-59004/380983795 (accessed on 23 January 2025).
- Zorpas, A.A. The hidden concept and the beauty of multiple “R” in the framework of waste strategies development reflecting to circular economy principles. Sci. Total Environ. 2024, 952, 175508. [Google Scholar] [CrossRef]
- Plastics Europe. Plastics—The Fast Facts 2024; Plastics Europe: Brussels, Belgium, 2023; Available online: https://plasticseurope.org/knowledge-hub/plastics-the-fast-facts-2024/ (accessed on 23 January 2025).
- European Parliament. REGULATION (EU) 2024/… OF THE EUROPEAN PARLIAMENT AND OF THE COUNCIL on Packaging and Packaging Waste, Amending Regulation (EU) 2019/1020 and Directive (EU) 2019/904, and Repealing Directive 94/62/EC; European Parliament: Brussels, Belgium, 2024; Available online: https://data.consilium.europa.eu/doc/document/PE-73-2024-INIT/en/pdf (accessed on 5 May 2025).
- Plastics Recyclers Europe. HDPE & PP Market in Europe—State of Play; PRODUCTION, COLLECTION AND RECYCLING DATA; Plastics Recyclers Europe: Brussels, Belgium, 2020; Available online: http://www.plasticsrecyclers.eu/wp-content/uploads/2022/10/hdpe-pp-market-in-europe.pdf (accessed on 1 April 2024).
- DIN EN 18120-6:2024; Packaging—Design for Recycling for Plastic Packaging—Part 6: Guideline for PE and PP Rigid Packaging. DIN Deutsches Institut für Normung e. V.: Brussels, Belgium, 2024.
- Uekert, T.; Singh, A.; DesVeaux, J.S.; Ghosh, T.; Bhatt, A.; Yadav, G.; Afzal, S.; Walzberg, J.; Knauer, K.M.; Nicholson, S.R.; et al. Technical, Economic, and Environmental Comparison of Closed-Loop Recycling Technologies for Common Plastics. ACS Sustain. Chem. Eng. 2023, 11, 965–978. [Google Scholar] [CrossRef]
- McLauchlin, A.R.; Hall, D.; Feldman, D.; Anderson, P.; Newman, M.; Hasell, T.; McDonald, T.O. Improving the performance of post-consumer resin feedstocks for rigid packaging applications: A pilot-scale assessment. Resour. Conserv. Recycl. 2023, 199, 107209. [Google Scholar] [CrossRef]
- Cabanes, A.; Fullana, A. New methods to remove volatile organic compounds from post-consumer plastic waste. Sci. Total Environ. 2021, 758, 144066. [Google Scholar] [CrossRef]
- Cucuzza, P.; Serranti, S.; Capobianco, G.; Bonifazi, G. Multi-level color classification of post-consumer plastic packaging flakes by hyperspectral imaging for optimizing the recycling process. Spectrochim. Acta Part A Mol. Biomol. Spectrosc. 2023, 302, 123157. [Google Scholar] [CrossRef]
- Pimenov, A.; Nesteruk, S.; Mazanov, G.; Ilyushina, A.; Stepanov, A.; Mikhailova, N.; Somov, A. Machine Vision for Solid Waste Detection. In Scanning Technologies for Autonomous Systems; Rodríguez-Quiñonez, J.C., Flores-Fuentes, W., Castro-Toscano, M.J., Sergiyenko, O., Eds.; Springer Nature Switzerland: Cham, Switzerland, 2024; pp. 343–403. [Google Scholar]
- Papo, M.; Corona, B. Life cycle sustainability assessment of non-beverage bottles made of recycled High Density Polyethylene. J. Clean. Prod. 2022, 378, 134442. [Google Scholar] [CrossRef]
- Karaagac, E.; Koch, T.; Archodoulaki, V.-M. The effect of PP contamination in recycled high-density polyethylene (rPE-HD) from post-consumer bottle waste and their compatibilization with olefin block copolymer (OBC). Waste Manag. 2021, 119, 285–294. [Google Scholar] [CrossRef]
- Sjöqvist, M.; Boldizar, A. Molecular Modification and Compatibilization of Collected Polyethylene. J. Polym. Environ. 2011, 19, 335–340. [Google Scholar] [CrossRef]
- Sepet, H.; Tarakcioglu, N.; Misra, R. Investigation of mechanical, thermal and surface properties of nanoclay/HDPE nanocomposites produced industrially by melt mixing approach. J. Compos. Mater. 2016, 50, 3105–3116. [Google Scholar] [CrossRef]
- Lubongo, C.; Bin Daej, M.A.A.; Alexandridis, P. 2—Automated sorting technology for plastic waste. In Reuse of Plastic Waste in Eco-Efficient Concrete; Pacheco-Torgal, F., Khatib, J., Colangelo, F., Tuladhar, R., Eds.; Woodhead Publishing: Sawston, UK, 2024; pp. 13–35. [Google Scholar]
- Klotz, M.; Haupt, M.; Hellweg, S. Potentials and limits of mechanical plastic recycling. J. Ind. Ecol. 2023, 27, 1043–1059. [Google Scholar] [CrossRef]
- Faraca, G.; Martinez-Sanchez, V.; Astrup, T.F. Environmental life cycle cost assessment: Recycling of hard plastic waste collected at Danish recycling centres. Resour. Conserv. Recycl. 2019, 143, 299–309. [Google Scholar] [CrossRef]
- Gaduan, A.N.; Li, J.; Hill, G.; Wallis, C.; Burgstaller, C.; Lee, K.-Y. Simulating the recycling of milk bottles in the UK: Influence of blending virgin and repeatedly melt-extruded high-density polyethylene. Resour. Conserv. Recycl. 2023, 189, 106734. [Google Scholar] [CrossRef]
- Pucić, I.; Jurkin, T. FTIR assessment of poly(ethylene oxide) irradiated in solid state, melt and aqeuous solution. Radiat. Phys. Chem. 2012, 81, 1426–1429. [Google Scholar] [CrossRef]
- Kuchmenko, T.; Umarkhanov, R.; Lvova, L. E-nose for the monitoring of plastics catalytic degradation through the released Volatile Organic Compounds (VOCs) detection. Sens. Actuators B Chem. 2020, 322, 128585. [Google Scholar] [CrossRef]
- Bonten, C. Kunststoff-Werkstofftechnik. In Kunststofftechnik; Carl Hanser Verlag: Munich, Germany, 2020; pp. 69–263. [Google Scholar]
- Camacho, W.; Karlsson, S. Assessment of thermal and thermo-oxidative stability of multi-extruded recycled PP, HDPE and a blend thereof. Polym. Degrad. Stab. 2002, 78, 385–391. [Google Scholar] [CrossRef]
- Vlachopoulos, J.; Strutt, D. 6—Rheology of Molten Polymers. In Multilayer Flexible Packaging, 2nd ed.; Wagner, J.R., Ed.; William Andrew Publishing: Boston, MA, USA, 2016; pp. 77–96. [Google Scholar]
- Musil, J.; Zatloukal, M. Characterization of die drool sample produced by HDPE melt extrusion. AIP Conf. Proc. 2013, 1526, 47–58. [Google Scholar] [CrossRef]
- Gander, J.D.; Giacomin, A.J. Review of die lip buildup in plastics extrusion. Polym. Eng. Sci. 1997, 37, 1113–1126. [Google Scholar] [CrossRef]
- Pies, I.; Schultz, F.C. The governance of sustainable business model innovation—An Ordonomic Approach. Scand. J. Manag. 2023, 39, 101246. [Google Scholar] [CrossRef]
- Zhang, J.; Hirschberg, V.; Goecke, A.; Wilhelm, M.; Yu, W.; Orfgen, M.; Rodrigue, D. Effect of mechanical recycling on molecular structure and rheological properties of high-density polyethylene (HDPE). Polymer 2024, 297, 126866. [Google Scholar] [CrossRef]
- Münstedt, H. Various features of melt strain hardening of polymeric materials in uniaxial extension and their relation to molecular structure: Review of experimental results and their interpretation. Rheol. Acta 2023, 62, 333–363. [Google Scholar] [CrossRef]
- Allen, N.S.; Edge, M.; Hussain, S. Perspectives on yellowing in the degradation of polymer materials: Inter-relationship of structure, mechanisms and modes of stabilisation. Polym. Degrad. Stab. 2022, 201, 109977. [Google Scholar] [CrossRef]
- Boz Noyan, E.C.; Boldizar, A. Blow molding of mechanically recycled post-consumer rigid polyethylene packaging waste. Polym. Eng. Sci. 2024, 64, 5968–5983. [Google Scholar] [CrossRef]
- Alzerreca, M.; Paris, M.; Boyron, O.; Orditz, D.; Louarn, G.; Correc, O. Mechanical properties and molecular structures of virgin and recycled HDPE polymers used in gravity sewer systems. Polym. Test. 2015, 46, 1–8. [Google Scholar] [CrossRef]
- Tyun’kin, I.V.; Bazhenov, S.L.; Efimov, A.V.; Kechek’yan, A.S.; Timan, S.A. The effect of orientation on the mechanism of deformation of polymers. Polym. Sci. Ser. A 2011, 53, 715–726. [Google Scholar] [CrossRef]
- Hoffman, D.M.; McKinley, B.M. Crystallinity as a selection criterion for engineering properties of high density polyethylene. Polym. Eng. Sci. 1985, 25, 562–569. [Google Scholar] [CrossRef]
- Crist, B.; Fisher, C.J.; Howard, P.R. Mechanical properties of model polyethylenes: Tensile elastic modulus and yield stress. Macromolecules 1989, 22, 1709–1718. [Google Scholar] [CrossRef]
- McKeen, L.W. (Ed.) 7—Polyolefins and Acrylics. In The Effect of Creep and Other Time Related Factors on Plastics and Elastomers, 3rd ed.; William Andrew Publishing: Boston, MA, USA, 2015; pp. 321–353. [Google Scholar]
- Khaki, A.; Gerlach, C.; Ragaert, K.; Fiorio, R. Root causes of post-consumer high-density polyethylene failing in new bottles. Resour. Conserv. Recycl. 2024, 209, 107776. [Google Scholar] [CrossRef]
- Cheng, J.J.; Polak, M.A.; Penlidis, A. Influence of micromolecular structure on environmental stress cracking resistance of high density polyethylene. Tunn. Undergr. Space Technol. 2011, 26, 582–593. [Google Scholar] [CrossRef]
- Kibert, C.J.; Waller, D.L. Recycling post-consumer polymers into construction materials. Constr. Build. Mater. 1992, 6, 67–75. [Google Scholar] [CrossRef]
- Shirzaei Sani, I.; Demarquette, N.R.; David, E. Investigation and characterization of dielectric, thermal, and chemical properties of recycled high-density polyethylene blended with virgin polyethylene. Polym. Eng. Sci. 2023, 63, 3254–3267. [Google Scholar] [CrossRef]
- Thoden van Velzen, E.U.; Chu, S.; Alvarado Chacon, F.; Brouwer, M.T.; Molenveld, K. The impact of impurities on the mechanical properties of recycled polyethylene. Packag. Technol. Sci. 2021, 34, 219–228. [Google Scholar] [CrossRef]
- ISO 1133-1:2022; Plastics—Determination of the Melt Mass-Flow Rate (MFR) and Melt Volume-Flow Rate (MVR) of Thermoplastics—Part 1: Standard Method. DIN Deutsches Institut für Normung e. V.: Berlin, Germany, 2022.
- DIN EN ISO 1183-1:2024; Plastics—Methods for Determining the Density of Non-Cellular Plastics—Part 1: Immersion Method, Liquid Pycnometer Method and Titration Method. DIN Deutsches Institut für Normung e. V.: Berlin, Germany, 2024.
- DIN EN ISO 527-2:2024; Plastics—Determination of Tensile Properties—Part 2: Test Conditions for Moulding and Extrusion Plastics. DIN Deutsches Institut für Normung e. V.: Berlin, Germany, 2024.
- DIN EN 17096:2019; Geosynthetics—Test Method for the Determination of the Strain Hardening Modulus of PE-HD Geosynthetic Barriers. DIN Deutsches Institut für Normung e. V.: Berlin, Germany, 2019.
- DIN EN ISO 899-1:2018; Plastics—Determination of Creep Behaviour—Part 1: Tensile Creep. DIN Deutsches Institut für Normung e. V.: Berlin, Germany, 2017.
- Sartorius Weighing Technology GmbH. Sartorius YDK01, YDK01-0D, YDK01B, YDK01LP, YDK01MS, YDK02MS—Density Determination Kit. p. 17. Available online: https://www.bayernwaage.de/de/download/?dl=YDK01LP_Bedienungsanleitung_de.pdf (accessed on 5 May 2025).
- Kissin, Y.V. Melt Index and Melt Flow Ratio of Polyethylene Resin. In Polyethylene, 2nd ed.; Kissin, Y.V., Ed.; Hanser: Munich, Germany, 2020; Chapter 2; pp. 35–55. [Google Scholar]
- Haynes, W.M. Fluid Properties. In CRC Handbook of Chemistry and Physics, 93rd ed.; CRC Press LLC: Baton Rouge, LA, USA, 2012; Chapter 6; pp. 6–8. [Google Scholar]













| Opaque Unblended | Coloured 2.8 wt.% PP | Opaque 2.5 wt.% PP | |
|---|---|---|---|
| Sheets | 0.954 | 0.950 | 0.950 |
| Bottles | 0.944 | 0.946 | - |
| rPE−HD | Gp MPa |
|---|---|
| Opaque | |
| Longitudinal | 4.18 ± 0.68 |
| Circumferential | 4.21 ± 0.88 |
| Coloured | |
| Longitudinal | 4.84 ± 0.34 |
| Circumferential | 4.53 ± 0.37 |
| Sample | MFR g∙(600 s)−1 | Melting Temperature °C | PP Content wt.% | 1 kg∙mol−1 | |
|---|---|---|---|---|---|
| PE-HD | PP | ||||
| rPE−HD | |||||
| Opaque | 2.2 ± 0.1 | 133 | - | <0.1 | 102.8 |
| Opaque + intentional PP−h cont. | 2.1 ± 0.1 | 133 | 164 | 2.5 | 110.8 |
| Coloured (intrinsic PP cont.) | 0.9 ± <0.1 | 131 | 164 | 2.8 ± 0.2 | 112.1 |
| PP−h2 | |||||
| HC 600 TF | 4.3 ± 0.2 | - | 164 | 100 | 393.0 |
Disclaimer/Publisher’s Note: The statements, opinions and data contained in all publications are solely those of the individual author(s) and contributor(s) and not of MDPI and/or the editor(s). MDPI and/or the editor(s) disclaim responsibility for any injury to people or property resulting from any ideas, methods, instructions or products referred to in the content. |
© 2025 by the authors. Licensee MDPI, Basel, Switzerland. This article is an open access article distributed under the terms and conditions of the Creative Commons Attribution (CC BY) license (https://creativecommons.org/licenses/by/4.0/).
Share and Cite
Bichler, L.P.; Koch, T.; Krempl, N.; Archodoulaki, V.-M. Rethinking PE-HD Bottle Recycling—Impacts of Reducing Design Variety. Recycling 2025, 10, 93. https://doi.org/10.3390/recycling10030093
Bichler LP, Koch T, Krempl N, Archodoulaki V-M. Rethinking PE-HD Bottle Recycling—Impacts of Reducing Design Variety. Recycling. 2025; 10(3):93. https://doi.org/10.3390/recycling10030093
Chicago/Turabian StyleBichler, Lorenz P., Thomas Koch, Nina Krempl, and Vasiliki-Maria Archodoulaki. 2025. "Rethinking PE-HD Bottle Recycling—Impacts of Reducing Design Variety" Recycling 10, no. 3: 93. https://doi.org/10.3390/recycling10030093
APA StyleBichler, L. P., Koch, T., Krempl, N., & Archodoulaki, V.-M. (2025). Rethinking PE-HD Bottle Recycling—Impacts of Reducing Design Variety. Recycling, 10(3), 93. https://doi.org/10.3390/recycling10030093

