Partial Oxidation Synthesis of Prussian Blue Analogues for Thermo-Rechargeable Battery
Abstract
1. Introduction
2. Materials and Methods
2.1. Partial Oxidation Synthesis
2.2. Electrode Fabrication
2.3. Battery Assembly
2.4. Thermal Cycle Measurement
3. Results and Discussion
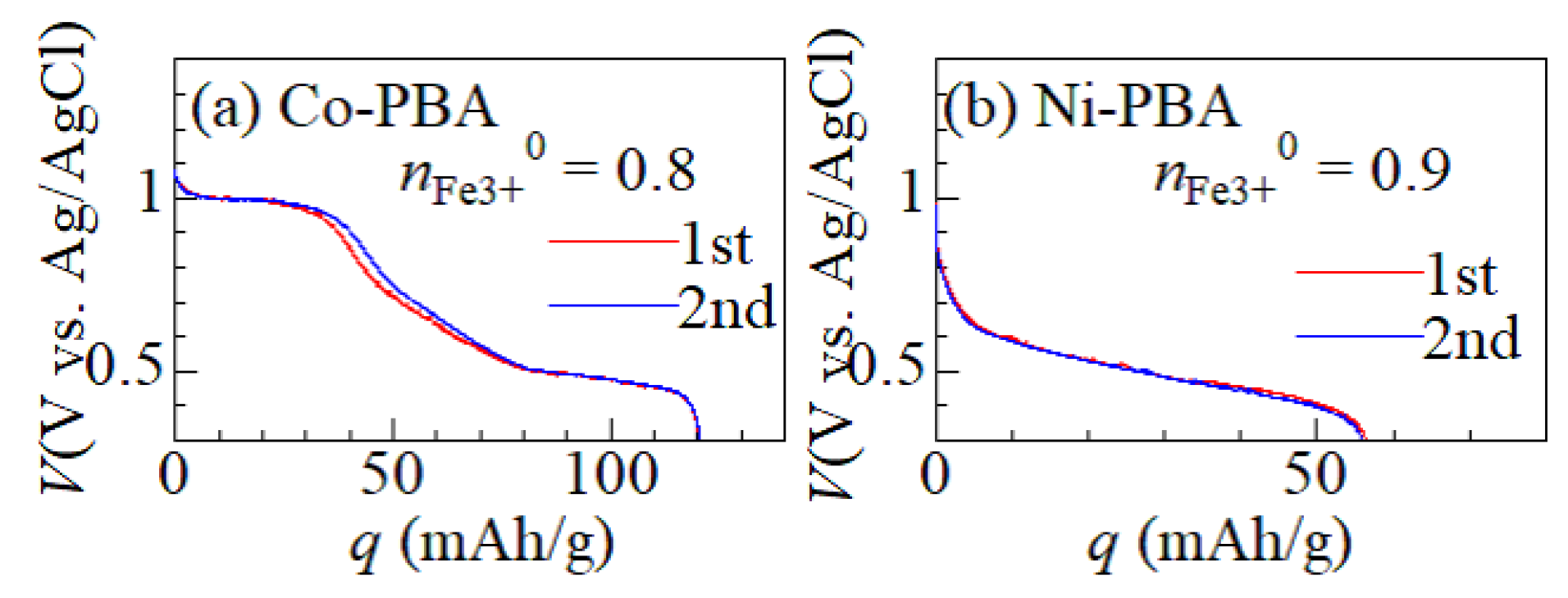
3.1. Degree of Oxidization
3.2. Thermal Cycle Properties
3.3. Comparison between Observed and Calculated Anmd
4. Conclusions
Author Contributions
Funding
Data Availability Statement
Acknowledgments
Conflicts of Interest
References
- Lee, S.W.; Yang, Y.; Lee, H.-W.; Ghasemi, H.; Kraemer, D.; Chen, G.; Cui, Y. An electrochemical system for efficiently harvesting low-grade heat energy. Nat. Commun. 2014, 5, 3942. [Google Scholar] [CrossRef] [PubMed]
- Yang, Y.; Lee, S.W.; Ghasemi, H.; Loomis, J.; Li, X.; Kraemer, D.; Zheng, G.; Cui, Y.; Chen, G. Charging-free electrochemical system for harvesting low-grade thermal energy. Proc. Natl. Acad. Sci. USA 2014, 111, 17011–17016. [Google Scholar] [CrossRef] [PubMed]
- Wang, J.; Feng, S.-P.; Yang, Y.; Hau, N.Y.; Munro, M.; Ferreira-Yang, E.; Chen, G. Thermal charging phenomenon in electrical double layer capacitors. Nano Lett. 2015, 15, 5784–5790. [Google Scholar] [CrossRef]
- Shibata, T.; Fukuzumi, Y.; Kobayashi, W.; Moritomo, Y. Thermal power generation during heat cycle near room temperature. Appl. Phys. Express 2018, 11, 017101. [Google Scholar] [CrossRef]
- Takahara, I.; Shibata, T.; Fukuzumi, Y.; Moritomo, Y. Improved thermal cyclability of tertiary battery made of Prussian blue analogues. ChemistrySelect 2018, 4, 8558–8563. [Google Scholar] [CrossRef]
- Nagai, I.; Shimaura, Y.; Shibata, T.; Moritomo, Y. Performance of tertiary battery made of Prussian blue analogues. Appl. Phys. Express 2021, 14, 094004. [Google Scholar] [CrossRef]
- Shimaura, Y.; Shibata, T.; Moritomo, Y. Interrelation between discharge capacity and charge coefficient of redox potential in tertiary batteries made of transition metal hexacyanoferrate. Jpn. J. Appl. Phys. 2022, 61, 044004. [Google Scholar] [CrossRef]
- Shibata, T.; Nakamura, K.; Nozaki, S.; Iwaizumi, H.; Ohnuki, H.; Moritomo, Y. Optimization of electrode parameters of NaxCo[Fe(CN)6]0.88/NaxCd[Fe(CN)6]0.99 tertiary battery. Sustain. Mater. Technol. 2022, 33, e00483. [Google Scholar]
- Imanishi, N.; Morikawa, T.; Kondo, J.; Takeda, Y.; Yamamoto, O.; Kinugasa, N.; Yamagishi, T. Lithium intercalation behavior into iron cyanide complex as positive electrode of lithium secondary battery. J. Power Sources 1999, 79, 215–219. [Google Scholar] [CrossRef]
- Imanishi, N.; Morikawa, T.; Kondo, J.; Yamane, R.; Takeda, Y.; Yamamoto, O.; Sakaebe, H.; Tabuchi, M. Lithium intercalation behavior of iron cyanometallates. J. Power Sources 1999, 81–82, 530–534. [Google Scholar] [CrossRef]
- Okubo, M.; Asakura, D.; Mizuno, Y.; Kim, J.-D.; Mizokawa, T.; Kudo, T.; Honma, I. Switching redox-active sites by valence tautomerism in prussian blue analogues AxMny[Fe(CN)6]nH2O (A = K, Rb): Robust frameworks for reversible Li storage. J. Phys. Chem. Lett. 2010, 1, 2063–2071. [Google Scholar] [CrossRef]
- Matsuda, T.; Moritomo, Y. Thin film electrode of Prussian blue analogue for Li-ion battery. Appl. Phys. Express 2010, 4, 047101. [Google Scholar] [CrossRef]
- Takachi, M.; Matsuda, T.; Moritomo, Y. Structural, electronic, and electrochemical properties of LixCo[Fe(CN)6]0:902.9H2O. Jpn. J. Appl. Phys. 2013, 52, 044301. [Google Scholar] [CrossRef]
- Moritomo, Y.; Takachi, M.; Kurihara, Y.; Matsuda, T. Thin Fflm electrodes of Prussian blue analogues with rapid Li+ intercalation. Appl. Phys. Express 2012, 5, 041801. [Google Scholar] [CrossRef]
- Lu, Y.; Wang, L.; Cheng, J.; Goodenough, J.B. Prussian blue: A new framework of electrode materials for sodium batteries. Chem. Commun. 2012, 48, 6544–6546. [Google Scholar] [CrossRef]
- Matsuda, T.; Takachi, M.; Moritomo, Y. A sodium manganese ferrocyanide thin film for Na-ion batteries. Chem. Commun. 2013, 49, 2750–2752. [Google Scholar] [CrossRef] [PubMed]
- Takachi, M.; Matsuda, T.; Moritomo, Y. Cobalt hexacyanoferrate as cathode material for Na+ secondary battery. Appl. Phys. Express 2013, 6, 025802. [Google Scholar] [CrossRef]
- Takachi, M.; Matsuda, T.; Moritomo, Y. Redox reactions in Prussian blue analogue films with fast Na+ intercalation. Jpn. J. Appl. Phys. 2013, 52, 090202. [Google Scholar] [CrossRef]
- Yang, D.; Xu, J.; Liao, X.-Z.; He, Y.-S.; Liu, H.; Ma, Z.-F. Structure optimization of Prussian blue analogue cathode materials for advanced sodium ion batteries. Chem. Commum. 2014, 50, 13377–13380. [Google Scholar] [CrossRef]
- Lee, H.W.; Wang, R.Y.; Pasta, M.; Lee, S.W.; Liu, N.; Cui, Y. Manganese hexacyanomanganate open framework as a high-capacity positive electrode material for sodium-ion batteries. Nat. Commun. 2014, 5, 5280. [Google Scholar] [CrossRef]
- Wang, L.; Song, J.; Qiao, R.Q.; Wray, L.A.; Hossain, M.A.; Chuang, Y.-D.; Yang, W.; Lu, Y.; Evans, D.; Lee, J.-J.; et al. Rhombohedral Prussian white as cathode for rechargeable sodium-ion batteries. J. Am. Chem. Soc. 2015, 137, 2548–2554. [Google Scholar] [CrossRef] [PubMed]
- You, Y.; Wu, X.-L.; Yin, Y.-X.; Guo, Y.-G.; You, Y.; Wu, X.-L.; Yin, Y.-X.; Guo, Y.-G. A zero-strain insertion cathode material of nickel ferricyanide for sodium-ion batteries. J. Mater. Chem. A 2013, 1, 14061–14065. [Google Scholar] [CrossRef]
- Yu, S.; Li, Y.; Lu, Y.; Xu, B.; Wang, Q.; Yan, M.; Jiang, Y.A. A promising cathode material of sodium iron–nickel hexacyanoferrate for sodium ion batteries. J. Power Sources 2015, 275, 45–49. [Google Scholar] [CrossRef]
- Xu, L.; Li, H.; Wu, X.; Shao, M.; Liu, S.; Wang, B.; Zhao, G.; Sheng, P.; Chen, X.; Han, Y.; et al. Well-defined Na2Zn3[Fe(CN)6]2 nanocrystals as a low-cost and cycle-stable cathode material for Na-ion batteries. Electrochem. Commun. 2019, 98, 78–81. [Google Scholar] [CrossRef]
- Peng, J.; Zhang, W.; Liu, Q.; Wamg, J.; Chou, S.; Liu, H.; Dou, S. Prussian Blue Analogues for Sodium-Ion Batteries: Past, Present, and Future. Adv. Mater. 2022, 34, 2108384. [Google Scholar] [CrossRef]
- Geng, W.; Zhang, Z.; Yang, Z.; Tang, H.; He, G. Non-aqueous synthesis of high-quality Prussian blue analogues for Na-ion batteries. Chem. Commun. 2022, 58, 4472–4475. [Google Scholar] [CrossRef]
- Liu, X.; Cao, Y.; Sun, J. Defect Engineering in Prussian Blue Analogs for High-Performance Sodium-Ion Batteries. Adv. Energy Mater. 2022, 12, 2205232. [Google Scholar] [CrossRef]
- Zhang, H.; Peng, J.; Li, L.; Zhao, Y.; Guo, Y.; Wang, J.; Cao, Y.; Dou, S.; Chou, S. Low-Cost Zinc Substitution of Iron-Based Prussian Blue Analogs as Long Lifespan Cathode Materials for Fast Charging Sodium-Ion Batteries. Adv. Funct. Mater. 2023, 33, 2210725. [Google Scholar] [CrossRef]
- Wang, W.; Gang, Y.; Peng, J.; Hu, Z.; Yan, Z.; Lai, W.; Ahu, Y.; Appadoo, D.; Ye, M.; Cao, Y.; et al. Effect of Eliminating Water in Prussian Blue Cathode for Sodium-Ion Batteries. Adv. Funct. Mater. 2022, 32, 2111721. [Google Scholar] [CrossRef]
- He, M.; Davis, R.; Chartouni, D.; Johnson, M.; Abplanalp, M.; Troendle, P.; Suetterlin, R.-P. Assessment of the first commercial Prussian blue-based sodium-ion battery. J. Power Sources 2023, 548, 232036. [Google Scholar] [CrossRef]
- Wu, C.; Hu, J.; Chen, H.; Zhang, C.; Xu, M.; Zhuang, L.; Ai, X.; Qian, J. Chemical lithiation methodology enabled Prussian blue as a Li-rich cathode material for secondary Li-ion batteries. Energy Storage Mater. 2023, 60, 102803. [Google Scholar] [CrossRef]
- Wang, P.; Li, Y.; Zhu, D.; Gong, F.; Fang, S.; Zhang, Y.; Sun, S. Treatment dependent sodium-rich Prussian blue as a cathode material for sodium-ion batteries. Dalton Trans. 2023, 51, 9622–9626. [Google Scholar] [CrossRef] [PubMed]
- Naskar, P.; Debnath, S.; Biplab, B.; Laha, S.; Benerjee, A. High-Performance and Scalable Aqueous Na-Ion Batteries Comprising a Co-Prussian Blue Analogue Framework Positive Electrode and Sodium Vanadate Nanorod Negative Electrode for Solar Energy Storage. ACS Appl. Energy Mater. 2023, 6, 4604–4617. [Google Scholar] [CrossRef]
- Liu, X.; Gong, H.; Han, C.; Cao, Y.; Li, Y.; Sun, J. Barium ions act as defenders to prevent water from entering Prussian blue lattice for sodium-ion battery. Energy Storage Mater. 2023, 57, 118–124. [Google Scholar] [CrossRef]
- Buser, H.J.; Schwarzenbach, D.; Petter, W.; Ludi, A. The crystal structure of Prussian Blue: F4[Fe(CN)6]3·xH2O. Inorg. Chem. 1977, 16, 2704–2710. [Google Scholar] [CrossRef]
- Herren, F.; Fischer, P.; Ludi, A.; Halg, W. Neutron diffraction study of Prussian Blue, Fe4[Fe(CN)6]3xH2O. Location of water molecules and long-range magnetic order. Inorg. Chem. 1980, 19, 956–1959. [Google Scholar] [CrossRef]
- Niwa, H.; Kobayashi, W.; Shibata, T.; Nitani, H.; Moritomo, Y. Invariant nature of substituted element in metal-hexacyanoferrate. Sci. Rep. 2017, 7, 13225. [Google Scholar] [CrossRef] [PubMed]
- Moritomo, Y.; Yoshida, Y.; Inoue, D.; Iwaizumi, H.; Kobayashi, S.; Kawaguchi, S.; Shibata, T. Origin of the material dependence of the temperature coefficient of the redox potential in coordination polymers. J. Phys. Soc. Jpn. 2021, 90, 063801. [Google Scholar] [CrossRef]
- Izumi, F.; Momma, K. Three-dimensional visualization in powder diffraction. Solid State Phenom. 2007, 130, 15–20. [Google Scholar] [CrossRef]








| Co/Ni | Fe | K | ||
|---|---|---|---|---|
| Co-PBA | 0.0 | 1 | 0.88 | below the limits of detection |
| Co-PBA | 0.6 | 1 | 0.84 | 0.01 |
| Co-PBA | 0.8 | 1 | 0.85 | 0.01 |
| Co-PBA | 1.0 | 1 | 0.88 | 0.02 |
| Ni-PBA | 0.0 | 1 | 0.83 | below the limits of detection |
| Ni-PBA | 0.5 | 1 | 0.86 | below the limits of detection |
| Ni-PBA | 0.9 | 1 | 0.91 | below the limits of detection |
| Ni-PBA | 1.0 | 1 | 1.00 | 0.05 |
| C (wt%) | N (wt%) | H (wt%) | ||
|---|---|---|---|---|
| Co-PBA | 0.0 | 19.07 | 22.07 | 1.78 |
| Co-PBA | 0.6 | 19.08 | 21.75 | 1.96 |
| Co-PBA | 0.8 | 19.07 | 21.85 | 1.90 |
| Co-PBA | 1.0 | 19.43 | 22.17 | 1.77 |
| Ni-PBA | 0.0 | 17.88 | 20.65 | 2.25 |
| Ni-PBA | 0.5 | 18.23 | 20.57 | 2.11 |
| Ni-PBA | 0.9 | 18.42 | 20.74 | 2.26 |
| Ni-PBA | 1.0 | 18.49 | 20.86 | 2.23 |
| p | Composition | Structure | Lattice Constant (Å) | ||
|---|---|---|---|---|---|
| Co-PBA | 0.0 | 0.00 | NaCo[Fe(CN)]2.96HO | trigonal | = 7.428(3), = 17.57(1) |
| Co-PBA | 0.6 | 0.06 | NaCo[Fe(CN)]3.14HO | fcc | a = 10.247(4) |
| Co-PBA | 0.8 | 0.07 | NaCo[Fe(CN)]3.07HO | fcc | a = 10.206(3) |
| Co-PBA | 1.0 | 0.10 | NaCo[Fe(CN)]2.91HO | fcc | a = 10.181(3) |
| Ni-PBA | 0.0 | 0.00 | NaNi[Fe(CN)]3.77HO | fcc | a = 10.290(6) |
| Ni-PBA | 0.5 | 0.10 | NaNi[Fe(CN)]3.65HO | fcc | a = 10.297(4) |
| Ni-PBA | 0.9 | 0.16 | NaNi[Fe(CN)]4.17HO | fcc | a = 10.291(3) |
| Ni-PBA | 1.0 | 0.15 | NaNi[Fe(CN)]4.41HO | fcc | a = 10.272(4) |
| Cathode | Material | (g/h) | (mg) | (mV) | (mV/K) | (k) |
| modified cell | Co-PBA | 4.1 | 0.70 | 510 | 0.57 [38] | 0.40 |
| conventional cell | Co-PBA | 5.0 | 0.26 | 520 | 0.57 [38] | 0.71 |
| Anode | Material | (g/h) | (mg) | (mV) | (mV/K) | (k) |
| modified cell | Ni-PBA | 7.6 | 0.27 | 510 | −0.42 [38] | 0.74 |
| conventional cell | Ni-PBA | 5.3 | 0.13 | 520 | −0.42 [38] | 0.80 |
Disclaimer/Publisher’s Note: The statements, opinions and data contained in all publications are solely those of the individual author(s) and contributor(s) and not of MDPI and/or the editor(s). MDPI and/or the editor(s) disclaim responsibility for any injury to people or property resulting from any ideas, methods, instructions or products referred to in the content. |
© 2023 by the authors. Licensee MDPI, Basel, Switzerland. This article is an open access article distributed under the terms and conditions of the Creative Commons Attribution (CC BY) license (https://creativecommons.org/licenses/by/4.0/).
Share and Cite
Moritomo, Y.; Sarukura, M.; Iwaizumi, H.; Nagai, I. Partial Oxidation Synthesis of Prussian Blue Analogues for Thermo-Rechargeable Battery. Batteries 2023, 9, 393. https://doi.org/10.3390/batteries9080393
Moritomo Y, Sarukura M, Iwaizumi H, Nagai I. Partial Oxidation Synthesis of Prussian Blue Analogues for Thermo-Rechargeable Battery. Batteries. 2023; 9(8):393. https://doi.org/10.3390/batteries9080393
Chicago/Turabian StyleMoritomo, Yutaka, Masato Sarukura, Hiroki Iwaizumi, and Ichiro Nagai. 2023. "Partial Oxidation Synthesis of Prussian Blue Analogues for Thermo-Rechargeable Battery" Batteries 9, no. 8: 393. https://doi.org/10.3390/batteries9080393
APA StyleMoritomo, Y., Sarukura, M., Iwaizumi, H., & Nagai, I. (2023). Partial Oxidation Synthesis of Prussian Blue Analogues for Thermo-Rechargeable Battery. Batteries, 9(8), 393. https://doi.org/10.3390/batteries9080393

