Crosslinked PVA/Citric Acid Nanofibrous Separators with Enhanced Mechanical and Thermal Properties for Lithium-Ion Batteries
Abstract
:1. Introduction
2. Experimental
2.1. Materials
2.2. Preparation of PVA/CA-H Nanofibrous Separator
2.3. Characterization
3. Results and Discussion
3.1. Morphological Analysis
3.2. Mechanical Properties
3.3. Thermal Properties
3.4. Electrolyte Wettability
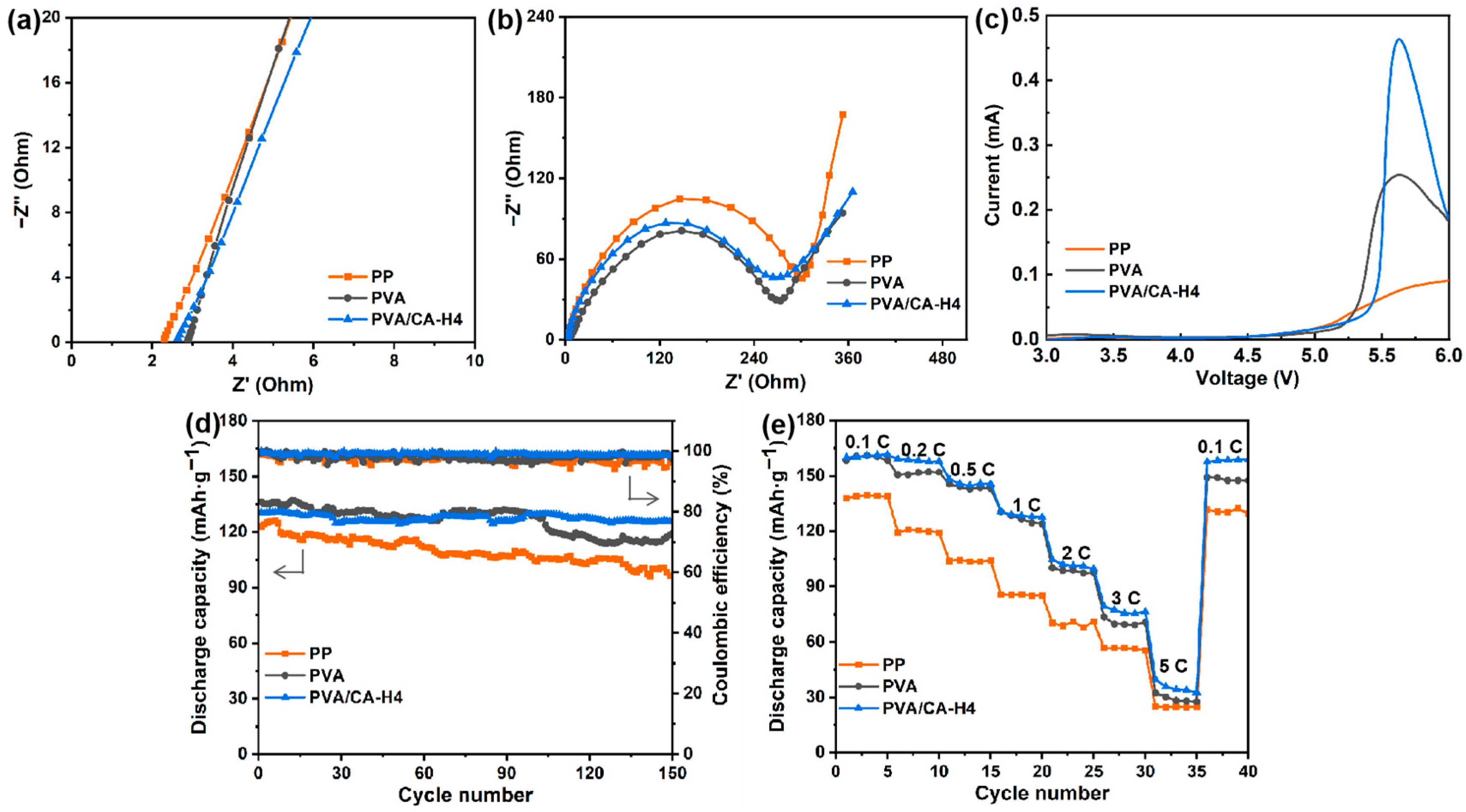
3.5. Electrochemical Properties
3.6. Battery Performance
4. Conclusions
Supplementary Materials
Author Contributions
Funding
Data Availability Statement
Conflicts of Interest
References
- Costa, C.M.; Lee, Y.-H.; Kim, J.-H.; Lee, S.-Y.; Lanceros-Méndez, S. Recent advances on separator membranes for lithium-ion battery applications: From porous membranes to solid electrolytes. Energy Storage Mater. 2019, 22, 346–375. [Google Scholar] [CrossRef]
- Yuan, M.; Liu, K. Rational design on separators and liquid electrolytes for safer lithium-ion batteries. J. Energy Chem. 2020, 43, 58–70. [Google Scholar] [CrossRef]
- Wang, F.; Ke, X.; Shen, K.; Zhu, L.; Yuan, C. A Critical Review on Materials and Fabrications of Thermally Stable Separators for Lithium-Ion Batteries. Adv. Mater. Technol. 2021, 7, 2100772. [Google Scholar] [CrossRef]
- Ahn, Y.K.; Kwon, Y.K.; Kim, K.J. Surface-modified polyethylene separator with hydrophilic property for enhancing the electrochemical performance of lithium-ion battery. Int. J. Energy Res. 2020, 44, 6651–6659. [Google Scholar] [CrossRef]
- Kim, K.J.; Kwon, Y.K.; Yim, T.; Choi, W. Functional separator with lower resistance toward lithium ion transport for enhancing the electrochemical performance of lithium ion batteries. J. Ind. Eng. Chem. 2019, 71, 228–233. [Google Scholar] [CrossRef]
- Liu, Y.; Zhang, Z.; Du, X.; Wang, Y.; Guo, X.; Yu, M.; Liu, B.; Hu, W.; Shen, L.; Lu, Y.; et al. Poly(ether ether ketone) Conferred Polyolefin Separators with High Dimensional Thermal Stability for Lithium-Ion Batteries. ACS Appl. Mater. Interfaces 2023, 15, 37354–37360. [Google Scholar] [CrossRef]
- Hao, W.Q.; Kong, D.C.; Xie, J.M.; Chen, Y.P.; Ding, J.; Wang, F.H.; Xu, T.T. Self-Polymerized Dopamine Nanoparticles Modified Separators for Improving Electrochemical Performance and Enhancing Mechanical Strength of Lithium-Ion Batteries. Polymers 2020, 12, 648. [Google Scholar] [CrossRef]
- Zhu, M.; Wang, Q.; Zhou, H.H.; Qi, L.M. Binder-Free TiO2-Coated Polypropylene Separators for Advanced Lithium-Ion Batteries. Energy Technol. 2020, 8, 2000228. [Google Scholar] [CrossRef]
- Zhang, H.; Sheng, L.; Bai, Y.Z.; Song, S.J.; Liu, G.J.; Xue, H.R.; Wang, T.; Huang, X.L.; He, J.P. Amino-Functionalized Al2O3 Particles Coating Separator with Excellent Lithium-Ion Transport Properties for High-Power Density Lithium-Ion Batteries. Adv. Eng. Mater. 2020, 22, 1901545. [Google Scholar] [CrossRef]
- Gao, X.; Sheng, L.; Xie, X.; Yang, L.; Bai, Y.; Dong, H.; Liu, G.; Wang, T.; Huang, X.; He, J. Morphology optimizing of polyvinylidene fluoride (PVDF) nanofiber separator for safe lithium-ion battery. J. Appl. Polym. Sci. 2022, 139, 52154. [Google Scholar] [CrossRef]
- Luiso, S.; Henry, J.J.; Pourdeyhimi, B.; Fedkiw, P.S. Meltblown Polyvinylidene Difluoride as a Li-Ion Battery Separator. ACS Appl. Polym. Mater. 2021, 3, 3038–3048. [Google Scholar] [CrossRef]
- Dong, T.; Arifeen, W.U.; Choi, J.; Yoo, K.; Ko, T. Surface-modified electrospun polyacrylonitrile nano-membrane for a lithium-ion battery separator based on phase separation mechanism. Chem. Eng. J. 2020, 398, 125646. [Google Scholar] [CrossRef]
- Sabetzadeh, N.; Gharehaghaji, A.A.; Javanbakht, M. Porous PAN micro/nanofiber membranes with potential application as Lithium-ion battery separators: Physical, morphological and thermal properties. J. Polym. Res. 2019, 26, 20. [Google Scholar] [CrossRef]
- Yang, W.; Minhao, G.; Hui, F.; Zhenzhong, W.; Yizhe, Z.; Guojie, C.; Suli, C.; Longsheng, Z.; Tianxi, L. Thermotolerant separator of cross-linked polyimide fibers with narrowed pore size for lithium-ion batteries. J. Membr. Sci. 2022, 662, 121004. [Google Scholar]
- Sun, G.; Jiang, S.; Feng, X.; Shi, X.; Zhang, X.; Li, T.; Chen, N.; Hou, L.; Qi, S.; Wu, D. Ultra-robust polyimide nanofiber separators with shutdown function for advanced lithium-ion batteries. J. Membr. Sci. 2021, 645, 120208. [Google Scholar] [CrossRef]
- Cheng, C.; Yang, R.; Wang, Y.; Fu, D.; Sheng, J.; Guo, X. A bacterial cellulose-based separator with tunable pore size for lithium-ion batteries. Carbohydr. Polym. 2023, 304, 120489. [Google Scholar] [CrossRef]
- Wang, Y.; Liu, X.; Sheng, J.; Zhu, H.; Yang, R. Nanoporous Regenerated Cellulose Separator for High-Performance Lithium Ion Batteries Prepared by Nonsolvent-Induced Phase Separation. ACS Sustain. Chem. Eng. 2021, 9, 14756–14765. [Google Scholar] [CrossRef]
- Dai, X.; Zhang, X.; Wen, J.; Wang, C.; Ma, X.; Yang, Y.; Huang, G.; Ye, H.-M.; Xu, S. Research progress on high-temperature resistant polymer separators for lithium-ion batteries. Energy Storage Mater. 2022, 51, 638–659. [Google Scholar] [CrossRef]
- Ding, L.; Yan, N.; Zhang, S.; Xu, R.; Wu, T.; Yang, F.; Cao, Y.; Xiang, M. Separator impregnated with polyvinyl alcohol to simultaneously improve electrochemical performances and compression resistance. Electrochim. Acta 2022, 403, 139568. [Google Scholar] [CrossRef]
- Chen, Y.; Zhou, G.; Zong, W.; Ouyang, Y.; Chen, K.; Lv, Y.; Miao, Y.-E.; Liu, T. Porous polymer composite separators with three-dimensional ion-selective nanochannels for high-performance Li–S batteries. Compos. Commun. 2021, 25, 100679. [Google Scholar] [CrossRef]
- Xie, Y.; Pan, Y.; Cai, P. Novel PVA-Based Porous Separators Prepared via Freeze-Drying for Enhancing Performance of Lithium-Ion Batteries. Ind. Eng. Chem. Res. 2020, 59, 15242–15254. [Google Scholar] [CrossRef]
- Chen, P.; Xing, W.; Yuting, F.; Zhenzhen, W.; Yan, Z. WO3-composited polyimide nanofibrous separator with superior mechanical properties and high capacity for lithium-ion batteries. J. Mater. Sci. 2023, 58, 10686–10698. [Google Scholar]
- Xiao, W.; Song, J.; Huang, L.; Yang, Z.; Qiao, Q. PVA-ZrO2 multilayer composite separator with enhanced electrolyte property and mechanical strength for lithium-ion batteries. Ceram. Int. 2020, 46, 29212–29221. [Google Scholar] [CrossRef]
- Zhang, S.; Wang, X.; Liang, J.; Gu, J.; Feng, X.; Xu, C. Preparation of High Performance Lithium-Ion Battery Separators by Double-Needle Electrospinning. ChemistrySelect 2022, 7, e202203407. [Google Scholar] [CrossRef]
- Dastidar, T.G.; Netravali, A.N. ‘Green’ crosslinking of native starches with malonic acid and their properties. Carbohydr. Polym. 2012, 90, 1620–1628. [Google Scholar] [CrossRef]
- Khodaverdi, F.; Vaziri, A.; Javanbakht, M.; Jahanfar, M. Improvement of PAN separator properties using PVA/malonic acid by electrospinning in lithium ion-batteries. J. Appl. Polym. Sci. 2020, 138, 50088. [Google Scholar] [CrossRef]
- Gong, Z.; Zheng, S.; Zhang, J.; Duan, Y.; Luo, Z.; Cai, F.; Yuan, Z. Cross-Linked PVA/HNT Composite Separator Enables Stable Lithium-Organic Batteries under Elevated Temperature. ACS Appl. Mater. Interfaces 2022, 14, 11474–11482. [Google Scholar] [CrossRef]
- Jeong, S.; Oh, S.-G. Antiacne Effects of PVA/ZnO Composite Nanofibers Crosslinked by Citric Acid for Facial Sheet Masks. Int. J. Polym. Sci. 2022, 2022, 4694921. [Google Scholar] [CrossRef]
- Ge, J.C.; Wu, G.; Yoon, S.K.; Kim, M.S.; Choi, N.J. Study on the Preparation and Lipophilic Properties of Polyvinyl Alcohol (PVA) Nanofiber Membranes via Green Electrospinning. Nanomaterials 2021, 11, 2514. [Google Scholar] [CrossRef]
- Alhosseini, S.N.; Moztarzadeh, F.; Mozafari, M.; Asgari, S.; Dodel, M.; Samadikuchaksaraei, A.; Kargozar, S.; Jalali, N. Synthesis and characterization of electrospun polyvinyl alcohol nanofibrous scaffolds modified by blending with chitosan for neural tissue engineering. Int. J. Nanomed. 2012, 7, 25–34. [Google Scholar]
- Wang, S.; Ren, J.; Li, W.; Sun, R.; Liu, S. Properties of polyvinyl alcohol/xylan composite films with citric acid. Carbohydr. Polym. 2014, 103, 94–99. [Google Scholar] [CrossRef]
- Jiang, S.; Qiao, C.; Liu, R.; Liu, Q.; Xu, J.; Yao, J. Structure and properties of citric acid cross-linked chitosan/poly(vinyl alcohol) composite films for food packaging applications. Carbohydr. Polym. 2023, 312, 120842. [Google Scholar] [CrossRef]
- Wen, L.; Liang, Y.; Lin, Z.; Xie, D.; Zheng, Z.; Xu, C.; Lin, B. Design of multifunctional food packaging films based on carboxymethyl chitosan/polyvinyl alcohol crosslinked network by using citric acid as crosslinker. Polymer 2021, 230, 124048. [Google Scholar] [CrossRef]
- Zhang, K.; Chen, H.; Huang, H.; Wei, Z.; Zhao, Y. Water-soluble ammonium polyphosphate synchronously enables mechanically robust and flame-retardant cellulose composite separator for high safety lithium batteries. J. Power Sources 2023, 558, 232627. [Google Scholar] [CrossRef]
- Yu, D.; Feng, Y.Y.; Xu, J.X.; Kong, B.H.; Liu, Q.; Wang, H. Fabrication, characterization, and antibacterial properties of citric acid crosslinked PVA electrospun microfibre mats for active food packaging. Packag. Technol. Sci. 2021, 34, 361–370. [Google Scholar] [CrossRef]
- Qin, X.; Dou, G.; Jiang, G.; Zhang, S. Characterization of poly (vinyl alcohol) nanofiber mats cross-linked with glutaraldehyde. J. Ind. Text. 2012, 43, 34–44. [Google Scholar] [CrossRef]








| Sample | Thickness (μm) | Density (g/cm3) | Mean Pore Size (μm) | Porosity (%) | Tensile Strength (MPa) | Elongation at Break (%) | Electrolyte Uptake (%) |
|---|---|---|---|---|---|---|---|
| PVA | 70 ± 5 | 0.29 | 0.4181 | 84.9 | 7.4 | 70.8 | 374.3 |
| PVA/CA-H2 | 79 ± 4 | 0.55 | 0.2742 | 75.3 | 12.9 | 65.9 | 174.3 |
| PVA/CA-H4 | 80 ± 5 | 0.65 | 0.2251 | 68.9 | 13.2 | 57.8 | 158.1 |
| PVA/CA-H6 | 81 ± 4 | 0.71 | 0.1727 | 64.0 | 13.7 | 47.3 | 118.2 |
| PVA/CA-H8 | 82 ± 3 | 0.77 | 0.1255 | 60.0 | 13.6 | 31.9 | 84.5 |
Disclaimer/Publisher’s Note: The statements, opinions and data contained in all publications are solely those of the individual author(s) and contributor(s) and not of MDPI and/or the editor(s). MDPI and/or the editor(s) disclaim responsibility for any injury to people or property resulting from any ideas, methods, instructions or products referred to in the content. |
© 2023 by the authors. Licensee MDPI, Basel, Switzerland. This article is an open access article distributed under the terms and conditions of the Creative Commons Attribution (CC BY) license (https://creativecommons.org/licenses/by/4.0/).
Share and Cite
Cai, S.; Liang, Y.; Wu, J.; Chen, H.; Wei, Z.; Zhao, Y. Crosslinked PVA/Citric Acid Nanofibrous Separators with Enhanced Mechanical and Thermal Properties for Lithium-Ion Batteries. Batteries 2023, 9, 556. https://doi.org/10.3390/batteries9110556
Cai S, Liang Y, Wu J, Chen H, Wei Z, Zhao Y. Crosslinked PVA/Citric Acid Nanofibrous Separators with Enhanced Mechanical and Thermal Properties for Lithium-Ion Batteries. Batteries. 2023; 9(11):556. https://doi.org/10.3390/batteries9110556
Chicago/Turabian StyleCai, Shuangyang, Yuexi Liang, Jialu Wu, Haizhen Chen, Zhenzhen Wei, and Yan Zhao. 2023. "Crosslinked PVA/Citric Acid Nanofibrous Separators with Enhanced Mechanical and Thermal Properties for Lithium-Ion Batteries" Batteries 9, no. 11: 556. https://doi.org/10.3390/batteries9110556
APA StyleCai, S., Liang, Y., Wu, J., Chen, H., Wei, Z., & Zhao, Y. (2023). Crosslinked PVA/Citric Acid Nanofibrous Separators with Enhanced Mechanical and Thermal Properties for Lithium-Ion Batteries. Batteries, 9(11), 556. https://doi.org/10.3390/batteries9110556

