Comparison of the Activity of 3D Binary or Ternary Cobalt Coatings for Hydrogen and Oxygen Evolution Reactions
Abstract
:1. Introduction
2. Results and Discussion
2.1. Characterization of Coatings
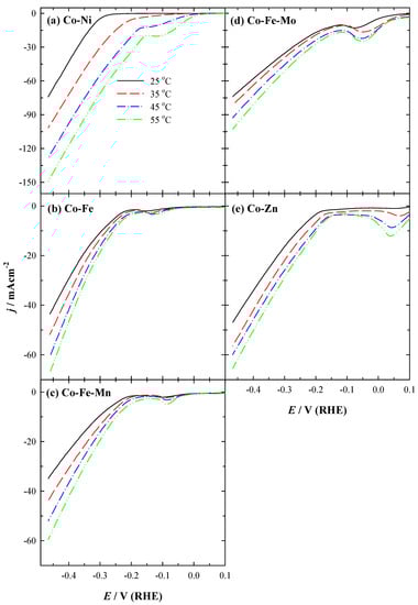
2.2. Electrocatalytic Activity of Coatings for HER
2.3. Electrocatalytic Activity of Coatings for OER
3. Materials and Methods
3.1. Preparation of Coatings
3.2. Physical Characterization
3.3. Electrochemical Measurements
4. Conclusions
Author Contributions
Funding
Institutional Review Board Statement
Informed Consent Statement
Data Availability Statement
Conflicts of Interest
References
- Shi, H.; Zhou, Y.T.; Yao, R.Q.; Wan, W.B.; Ge, X.; Zhang, W.; Wen, Z.; Lang, X.Y.; Zheng, W.T.; Jiang, Q. Spontaneously separated intermetallic Co3Mo from nanoporous copper as versatile electrocatalysts for highly efficient water splitting. Nat. Commun. 2020, 11, 1–10. [Google Scholar] [CrossRef] [PubMed]
- Wang, H.; Lee, H.W.; Deng, Y.; Lu, Z.; Hsu, P.C.; Liu, Y.; Lin, D.; Cui, Y. Bifunctional non-noble metal oxide nanoparticle electrocatalysts through lithium-induced conversion for overall water splitting. Nat. Commun. 2015, 6, 1–8. [Google Scholar] [CrossRef] [PubMed]
- Jiao, Y.; Zheng, Y.; Jaroniec, M.; Qiao, S.Z. Design of electrocatalysts for oxygen-and hydrogen-involving energy conversion reactions. Chem. Soc. Rev. 2015, 44, 2060–2086. [Google Scholar] [CrossRef] [PubMed]
- Ali, M.; Pervaiz, E.; Noor, T.; Rabi, O.; Zahra, R.; Yang, M. Recent advancements in MOF-based catalysts for applications in electrochemical and photoelectrochemical water splitting: A review. Int. J. Energy Res. 2021, 45, 1190–1226. [Google Scholar] [CrossRef]
- Lubitz, W.; Tumas, W. Hydrogen: An Overview. Chem. Rev. 2007, 107, 3900–3903. [Google Scholar] [CrossRef]
- Zhang, Z.; Cong, L.; Yu, Z.; Qu, L.; Huang, W. Facile synthesis of Fe–Ni bimetallic N-doped carbon framework for efficient electrochemical hydrogen evolution reaction. Mater. Today Energy 2020, 16, 100387–100394. [Google Scholar] [CrossRef]
- Yang, L.; Liu, R.; Jiao, L. Electronic Redistribution: Construction and Modulation of Interface Engineering on CoP for Enhancing Overall Water Splitting. Adv. Funct. Mater. 2020, 30, 1909618. [Google Scholar] [CrossRef]
- Zeng, K.; Zhang, D. Recent progress in alkaline water electrolysis for hydrogen production and applications. Prog. Energy Combust. Sci. 2010, 36, 307–326. [Google Scholar] [CrossRef]
- Rabi, O.; Pervaiz, E.; Zahra, R.; Ali, M.; Niazi, B.K. An inclusive review on the synthesis of molybdenum carbide and its hybrids as catalyst for electrochemical water splitting. Mol. Catal. 2020, 494, 111116–111135. [Google Scholar] [CrossRef]
- Shah, S.A.; Xu, L.; Sayyar, R.; Bian, T.; Liu, Z.; Yuan, A.; Shen, X.; Khan, I.; Tahir, A.A.; Ullahe, H. Growth of MoS2 nanosheets on M@N-doped carbon particles (M = Co, Fe or CoFe Alloy) as an efficient electrocatalyst toward hydrogen evolution reaction. Chem. Eng. J. 2022, 428, 132126. [Google Scholar] [CrossRef]
- Shah, S.A.; Sayyar, R.; Xu, L.; Sun, H.; Khan, I.; Guo, J.; Shen, X.; Hussain, S.; Yuan, A.; Ullahe, H. In-situ synthesis of NiS2 nanoparticles/MoS2 nanosheets hierarchical sphere anchored on reduced graphene oxide for enhanced electrocatalytic hydrogen evolution reaction. J. Colloid Interface Sci. 2022, 624, 150–159. [Google Scholar] [CrossRef] [PubMed]
- Xu, L.; Shah, S.A.; Khan, H.; Sayyar, R.; Shen, X.; Khan, I.; Yuan, A.; Yaseen, W.; Ghazi, Z.A.; Naeem, A.; et al. Ni3S2 nanostrips@FeNi-NiFe2O4 nanoparticles embedded in N-doped carbon microsphere: An improved electrocatalyst for oxygen evolution reaction. J. Colloid Interface Sci. 2022, 617, 1–10. [Google Scholar] [CrossRef] [PubMed]
- Zhang, J.; Wang, T.; Liu, P.; Liao, Z.; Liu, S.; Zhuang, X.; Chen, M.; Zschech, E.; Feng, X. Efficient Hydrogen Production on MoNi4 Electrocatalysts with Fast Water Dissociation Kinetics. Nat. Commun. 2017, 8, 15437. [Google Scholar] [CrossRef] [PubMed]
- Li, C.; Gao, H.; Wan, W.; Mueller, T. Mechanisms for Hydrogen Evolution on Transaction Metal Phosphide Catalysts and a Comparison to P(111). Phys. Chem. Chem. Phys. 2019, 21, 24489–24498. [Google Scholar] [CrossRef]
- Miao, R.; Dutta, B.; Sahoo, S.; He, J.; Zhong, W.; Cetegen, S.A.; Jiang, T.; Alpay, S.P.; Suib, S.L. Mesoporous Iron Sulfide for Highly Effficient Electrocatalytic Hydrogen Evolution. J. Am. Chem. Soc. 2017, 139, 13604–13607. [Google Scholar] [CrossRef]
- Ola, O.; Ullah, H.; Chen, Y.; Thummavichai, K.; Wang, N.; Zhu, Y. DFT and experimental studies of iron oxide-based nanocomposites for efficient electrocatalysis. J. Mater. Chem. C 2021, 9, 6409–6417. [Google Scholar] [CrossRef]
- Zhang, J.; Shang, X.; Ren, H.; Chi, J.; Fu, H.; Dong, B.; Liu, C.; Chai, Y. Modulation of Inverse Spinel Fe3O4 by Phosphorous Doping as an Industrially Promising Electrocatalysts for Hydrogen Evolution. Adv. Mater. 2019, 31, 1905107. [Google Scholar] [CrossRef]
- Zhu, L.; Liu, L.; Huang, G.; Zhao, Q. Hydrogen Evolution over N-Doped CoS2 Nanosheets Enhanced by Superaerophobicity and Electronic Modulation. Appl. Surf. Sci. 2020, 504, 144490. [Google Scholar] [CrossRef]
- Xu, Z.; Li, W.; Yan, Y.; Wang, H.; Zhu, H.; Zhao, M.; Yan, S.; Zou, Z. In-Situ Formed Hydroxide Accelerating Water Dissociation Kinetics on Co3N for Hydrogen Production in Alkaline Solution. ACS Appl. Mater. Interfaces 2018, 10, 22102–22109. [Google Scholar] [CrossRef]
- Zhu, J.; Liu, X.; Wang, G. Tailoring the D-Band Centers Enables Co4N Nanosheets to Be Highly Active for Hydrogen Evolution Catalysis. Angew. Chem. Int. Ed. Engl. 2018, 57, 5076–5080. [Google Scholar]
- Wexler, R.B.; Martinez, J.M.P.; Rappe, A.M. Active Role of Phosphorus in the Hydrogen Evolving Activity of Nickel Phosphide (001). Surf. ACS Catal. 2017, 7, 7718–7725. [Google Scholar] [CrossRef]
- Cao, X.; Jia, D.; Li, D.; Cui, L.; Liu, J. One-Step Co-Electrodeposition of Hierarchical Radial NixP nanospheres on Ni Foam as Highly Actice Flexible Electrodes for Hydrogen Evolution Reaction and Supercapacitor. Chem. Eng. J. 2018, 348, 310–318. [Google Scholar] [CrossRef]
- Pei, Y.; Rezact, B.; Zhang, X.; Li, Z.; Shen, H.; Yang, M.; Wang, J. Interface Catalysis by Pt nanocluster@Ni3N for Bifunctional Hydrogen Evolution and Oxygen Evolution. Mater. Chem. Front. 2020, 4, 2665–2672. [Google Scholar] [CrossRef]
- Liu, B.; He, B.; Peng, H.Q.; Zhao, Y.; Cheng, J.; Xia, J.; Shen, J.; Ng, T.W.; Meng, X.; Lee, C.S.; et al. Unconventional Nickel Nitride Enriched wirh Nitrogenvacancies as a High-Efficiency Electrocatalyst for Hydrogen Evolution. Adv. Sci. 2018, 5, 1800406. [Google Scholar] [CrossRef]
- Ray, C.; Lee, S.C.; Jin, B.; Kundu, A.; Park, J.H.; Jun, S.C. Conceptual Design of Three-Dimensional CoN/Ni3N-Coupled Nanograsses Integrated on N-Doped Carbonto Serve as Efficient and Robust Water Splitting Electrocatalysts. J. Mater. Chem. A 2018, 6, 4466–4476. [Google Scholar] [CrossRef]
- Li, Z.; Feng, Y.; Liang, Y.L.; Cheng, C.Q.; Dong, C.K.; Liu, H.; Du, X.W. Stable Rhodium (IV) Oxide for Alkaline Hydrogen Evolution Reaction. Adv. Mater. 2019, 32, 1908521. [Google Scholar] [CrossRef]
- Bae, S.Y.; Mahmood, J.; Jeon, I.Y.; Baek, J.B. Recent Advances in Ruthenium Based Electrocatalysts for the Hydrogen Evolution Reaction. Nanoscale Horiz. 2020, 5, 43–56. [Google Scholar] [CrossRef]
- Kyeong, Y.; Woo, K.; Jun, T.; Youn, D.H.; Lee, J.S. Metal substrates activate NiFe(oxy)hydroxide catalysts for efficient oxygen evolution reaction in alkaline media. J. Alloys Compd. 2022, 901, 163689. [Google Scholar]
- Xu, Y.; Ren, K.; Xu, R. In situ formation of amorphous Fe-based bimetallic hydroxides from metal-organic frameworks as efficient oxygen evolution catalysts. Chin. J. Catal. 2021, 42, 1370–1378. [Google Scholar] [CrossRef]
- Loh, A.; Li, X.; Taiwo, O.O.; Tariq, F.; Brandon, N.P.; Wang, P.; Xu, K.; Wang, B. Development of Ni–Fe based ternary metal hydroxides as highly efficient oxygen evolution catalysts in AEM water electrolysis for hydrogen production. Int. J. Hydrogen Energy 2020, 45, 24232–24247. [Google Scholar] [CrossRef]
- Zheng, Y.; Shang, P.; Pei, F.; Ma, G.; Ye, Z.; Peng, X.; Li, D. Achieving an efficient hydrogen evolution reaction with a bicontinuous nanoporous PtNiMg alloy of ultralow Noble-metal content at an ultrawide range of current densities. Chem. Eng. J. 2022, 433, 134571. [Google Scholar] [CrossRef]
- Kamali, S.; Zhiani, M.; Tavakol, H. Synergism effect of first row transition metals in experimental and theoretical activity of NiM/rGO alloys at hydrogen evolution reaction in alkaline electrolyzer. Renew. Energy 2020, 154, 1122–1131. [Google Scholar] [CrossRef]
- Wang, M.; Wang, Y.; Mao, S.S.; Shen, S. Transition-metal alloy electrocatalysts with active sites modulated by metal-carbide heterophases for efficient oxygen evolution. Nano Energy 2021, 88, 106216. [Google Scholar] [CrossRef]
- Akbayrak, M.; Önal, A.M. Metal oxides supported cobalt nanoparticles: Active electrocatalysts for oxygen evolution reaction. Electrochim. Acta 2021, 393, 139053. [Google Scholar] [CrossRef]
- Wang, R.; Li, F.; Ji, J.; Wang, F. CoMoO4 enhanced anodized cobalt oxide nanotube as an efficient electrocatalyst for hydrogen evolution reaction. Appl. Surf. Sci. 2022, 579, 152128. [Google Scholar] [CrossRef]
- Zhao, H.; Yuan, Z.-Y. Surface/interface engineering of high-efficiency noble metal-free electrocatalysts for energy-related electrochemical reactions. J. Energy Chem. 2021, 54, 89–104. [Google Scholar] [CrossRef]
- Xu, H.; Zhao, Y.; He, G.; Chen, H. Race on engineering noble metal single-atom electrocatalysts for water splitting. Int. J. Hydrogen Energy 2022, 47, 14257–14279. [Google Scholar] [CrossRef]
- Gong, Y.; Yao, J.; Wang, P.; Li, Z.; Zhou, H.; Xu, C. Perspective of hydrogen energy and recent progress in electrocatalytic water splitting. Chin. J. Chem. Eng. 2022, 43, 282–296. [Google Scholar] [CrossRef]
- Diao, L.; Zhang, B.; Sun, Q.; Wang, N.; Zhao, N.; Shi, C.; Liu, E.; He, C. An in-plane Co9S8@MoS2 heterostructure for the hydrogen evolution reaction in alkaline media. Nanoscale 2019, 11, 21479–21486. [Google Scholar] [CrossRef]
- Tahira, A.; Ibrupoto, Z.H.; Willander, M.; Nur, O. Advanced Co3O4-CuO nano-composite based electrocatalysts for efficient hydrogen evolution reaction in alkaline media. Int. J. Hydrogen Energy 2019, 44, 26148–26157. [Google Scholar] [CrossRef]
- Du, Y.; Wang, Z.; Li, H.; Han, Y.; Liu, Y.; Yang, Y.; Liu, Y.; Wan, L. Controllable synthesized CoP-MP (M = Fe, Mn) as efficient and stable electrocatalyst for hydrogen evolution reaction at all pH values. Int. J. Hydrogen Energy 2019, 44, 19978–19985. [Google Scholar] [CrossRef]
- Zhang, X.; Li, Y.; Guo, Y.; Hu, A.; Li, M.; Hang, T.; Ling, H. 3D hierarchical nanostructured Ni–Co alloy electrodes on porous nickel for hydrogen evolution reaction. Int. J. Hydrogen Energy 2019, 44, 29946–29955. [Google Scholar] [CrossRef]
- Safizadeh, F.; Ghali, E.; Houlachi, G. Electrocatalysis developments for hydrogen evolution reaction in alkaline solutions—A review. Int. J. Hydrogen Energy 2015, 40, 256–274. [Google Scholar] [CrossRef]
- Lu, X.; Zhao, C. Electrodeposition of hierarchically structured three-dimensional nickel-iron electrodes for efficient oxygen evolution at high current densities. Nat. Commun. 2015, 6, 6616. [Google Scholar] [CrossRef]
- Allam, M.; Benaicha, M.; Dakhouche, A. Electrodeposition and characterization of NiMoW alloy as electrode material for hydrogen evolution in alkaline water electrolysis. Int. J. Hydrogen Energy 2018, 43, 3394–3405. [Google Scholar] [CrossRef]
- Neethu, R.M.; Hegde, A.C. Development of Ni-W alloy coatings and their electrocatalytic activity for water splitting reaction. Phys. B 2020, 597, 412359. [Google Scholar] [CrossRef]
- Wang, S.; Lu, A.; Zhong, C.-J. Hydrogen production from water electrolysis: Role of catalysts. Nano Converg. 2021, 8, 1–23. [Google Scholar] [CrossRef]
- Vaškelis, A.; Juškėnas, R.; Jačiauskienė, J. Copper hydride formation in the electroless copper plating process: In situ X-ray diffraction evidence and electrochemical study. Electrochim. Acta 1998, 43, 1061–1066. [Google Scholar] [CrossRef]
- Sun, Y.; Ganin, A.Y. The synergistic effects of alloying on the performance and stability of Co3Mo and Co7Mo6 for the electrocatalytic hydrogen evolution reaction. Hydrogen 2020, 1, 11–21. [Google Scholar] [CrossRef]
- Asraf, M.A.; Kiu, Z.; Pham, B.T.; Zhang, D. Electrodeposition of superhydrophilic and binder-free Mo doped Ni-Fe nanosheets as cost-efficient bifunctional electrocatalyst for overall water splitting. J. Electroanal. Chem. 2020, 873, 114351. [Google Scholar] [CrossRef]
- Balčiūnaitė, A.; Upadhyay, K.K.; Radinovic, K.; Santos, D.M.F.; Montemor, M.F.; Šljukic, B. Steps towards highly-efficient water splitting and oxygen reduction using nanostructured β-Ni(OH)2. RSC Adv. R. Soc. Chem. 2022, 12, 10020–10028. [Google Scholar] [CrossRef] [PubMed]
- Du, Y.; Qu, H.; Liu, Y.; Han, Y.; Wang, L.; Dong, B. Bimetallic CoFeP hollow microspheres as highly efficient bifunctional electrocatalysts for overall water splitting in alkaline media. Appl. Surf. Sci. 2019, 465, 816–823. [Google Scholar] [CrossRef]
- Bejar, J.; Alvarez-Contreras, L.; Ledesma-Garcia, J.; Arjona, N.; Arriaga, L.G. Electrocatalytic evaluation of Co3O4 and NiCo2O4 rosettes-like hierarchical spinel as bifunctional materials for oxygen evolution (OER) and reduction (ORR) reactions in alkaline media. J. Electroanal. Chem. 2019, 847, 113190. [Google Scholar] [CrossRef]








| Coating | At. % | Total Metal Loading (µg cm−2) | |||||
|---|---|---|---|---|---|---|---|
| Co | Ni | Fe | Zn | Mn | Mo | ||
| Co-Ni | 47.22 | 52.78 | 526.45 | ||||
| Co-Fe | 42.54 | 57.46 | 28.11 | ||||
| Co-Fe-Mn | 28.07 | 70.83 | 1.09 | 40.58 | |||
| Co-Fe-Mo | 86.36 | 7.90 | 5.74 | 868.05 | |||
| Co-Zn | 93.71 | 6.29 | 351.04 | ||||
| Coating | j (mA cm−2) at Different Temperatures (°C) at −0.45V | j (mA µg−1) at 25 °C | η10 * (mV) at 25 °C | Tafel Slope (mV Dec−1) | |||
|---|---|---|---|---|---|---|---|
| 25 | 35 | 45 | 55 | ||||
| Co-Ni | –74.08 | –101.52 | –128.07 | –149.19 | 0.14 | –324.1 | 130 |
| Co-Fe | –43.56 | –51.80 | –60.70 | –67.35 | 1.55 | –299.7 | 172 |
| Co-Fe-Mn | –34.88 | –43.87 | –51.96 | –59.52 | 0.86 | –304.6 | 171 |
| Co-Fe-Mo | –73.91 | –81.44 | –92.80 | –102.86 | 0.09 | –128.0 | 297 |
| Co-Zn | –46.86 | –56.49 | –59.92 | –65.48 | 0.13 | –259.2 | 178 |
| Coating | j (mA cm−2) at Different Temperature (°C) at +2.05 V | j (mA µg−1) at 25 °C | η10 * (V) at 25 °C | Tafel Slope (mV) Dec−1 | |||
|---|---|---|---|---|---|---|---|
| 25 | 35 | 45 | 55 | ||||
| Co-Ni | 75.19 | 94.07 | 116.83 | 143.14 | 0.14 | 1.760 | 81.00 |
| Co-Fe | 76.55 | 93.93 | 113.22 | 128.31 | 2.72 | 1.737 | 91.00 |
| Co-Fe-Mn | 65.99 | 73.59 | 88.35 | 105.22 | 1.63 | 1.700 | 54.00 |
| Co-Fe-Mo | 84.97 | 93.75 | 114.47 | 141.54 | 0.10 | 1.685 | 77.00 |
| Co-Zn | 56.17 | 68.36 | 74.78 | 88.42 | 0.16 | 1.760 | 77.00 |
| Catalyst | η10 * (mV at 25 °C) | Tafel Slope (mV Dec−1) | Electrolyte | Ref. |
|---|---|---|---|---|
| Co-Ni | −324.1 | 130 | 1 M KOH | This work |
| Co-Fe | −299.7 | 172 | 1 M KOH | This work |
| Co-Fe-Mn | −304.6 | 171 | 1 M KOH | This work |
| Co-Fe-Mo | −128.0 | 297 | 1 M KOH | This work |
| Co-Zn | −259.2 | 178 | 1 M KOH | This work |
| Co9S8-MoS2@3DC | −177 | 84 | 1 M KOH | [39] |
| Co3O4-CuO | −288 | 65 | 1 M KOH | [40] |
| CoP | −163 | 51 | 1 M KOH | [41] |
| Ni-Co alloy | 86.7 | 69.8 | 1 M KOH | [42] |
| Co3Mo | −120 | 117 | 1 M KOH | [49] |
| NiFe nanosheets | −84 | 225 | 1 M KOH | [50] |
| β-Ni(OH)2 | −333 | 230 | 1 M KOH | [51] |
| Catalyst | η10 * (mV at 25 °C) | Tafel Slope (mV Dec−1) | Electrolyte | Ref. |
|---|---|---|---|---|
| Co-Ni | 530 | 81.00 | 1M KOH | This work |
| Co-Fe | 507 | 91.00 | 1M KOH | This work |
| Co-Fe-Mn | 470 | 54.00 | 1M KOH | This work |
| Co-Fe-Mo | 455 | 77.00 | 1M KOH | This work |
| Co-Zn | 530 | 77.00 | 1M KOH | This work |
| CoFeP | 350 | 59 | 1M KOH | [52] |
| CoFe2O4 | 560 | 182 | 1M KOH | [52] |
| CoP | 430 | 101 | 1M KOH | [52] |
| NiCo2O4 | 470 | 89 | 0.1M KOH | [53] |
| Co3O4 | 625 | 113 | 0.1M KOH | [53] |
| β-Ni(OH)2 | 498 | 149 | 1M KOH | [51] |
| Coating | Composition of Plating Baths | Plating Conditions | ||||||||||
|---|---|---|---|---|---|---|---|---|---|---|---|---|
| Co2+ (M) | Ni2+ (M) | Fe2+ (M) | Mn2+ (M) | Zn2+ (M) | Mo6+ (M) | MB (M) | Gly (M) | CH3COO (M) | pH | t (min) | T (°C) | |
| Co-Ni | 0.06 | 0.15 | - | - | - | - | 0.05 | 0.2 | 0.04 | 7 | 30 | 30 |
| Co-Fe | 0.01 | - | 0.15 | - | - | - | 0.06 | 0.3 | - | 5 | 30 | 60 |
| Co-Fe-Mn | 0.07 | - | 0.15 | 0.05 | - | - | 0.06 | 0.2 | - | 7 | 30 | 50 |
| Co-Fe-Mo | 0.01 | - | 0.15 | - | - | 0.001 | 0.06 | 0.3 | 0.02 | 5 | 30 | 60 |
| Co-Zn | 0.07 | - | - | - | 0.02 | - | 0.06 | 0.2 | - | 7 | 30 | 45 |
Publisher’s Note: MDPI stays neutral with regard to jurisdictional claims in published maps and institutional affiliations. |
© 2022 by the authors. Licensee MDPI, Basel, Switzerland. This article is an open access article distributed under the terms and conditions of the Creative Commons Attribution (CC BY) license (https://creativecommons.org/licenses/by/4.0/).
Share and Cite
Sukackienė, Z.; Balčiūnaitė, A.; Kepenienė, V.; Vaičiūnienė, J.; Stalnionis, G.; Pakštas, V.; Tamašauskaitė-Tamašiūnaitė, L.; Norkus, E. Comparison of the Activity of 3D Binary or Ternary Cobalt Coatings for Hydrogen and Oxygen Evolution Reactions. Batteries 2022, 8, 129. https://doi.org/10.3390/batteries8090129
Sukackienė Z, Balčiūnaitė A, Kepenienė V, Vaičiūnienė J, Stalnionis G, Pakštas V, Tamašauskaitė-Tamašiūnaitė L, Norkus E. Comparison of the Activity of 3D Binary or Ternary Cobalt Coatings for Hydrogen and Oxygen Evolution Reactions. Batteries. 2022; 8(9):129. https://doi.org/10.3390/batteries8090129
Chicago/Turabian StyleSukackienė, Zita, Aldona Balčiūnaitė, Virginija Kepenienė, Jūratė Vaičiūnienė, Giedrius Stalnionis, Vidas Pakštas, Loreta Tamašauskaitė-Tamašiūnaitė, and Eugenijus Norkus. 2022. "Comparison of the Activity of 3D Binary or Ternary Cobalt Coatings for Hydrogen and Oxygen Evolution Reactions" Batteries 8, no. 9: 129. https://doi.org/10.3390/batteries8090129
APA StyleSukackienė, Z., Balčiūnaitė, A., Kepenienė, V., Vaičiūnienė, J., Stalnionis, G., Pakštas, V., Tamašauskaitė-Tamašiūnaitė, L., & Norkus, E. (2022). Comparison of the Activity of 3D Binary or Ternary Cobalt Coatings for Hydrogen and Oxygen Evolution Reactions. Batteries, 8(9), 129. https://doi.org/10.3390/batteries8090129

