Deep Neural Network Optimization for Lithium-Ion Battery State of Health Prediction in Electric Vehicles: Outperforming Hybrid Models
Abstract
1. Introduction
1.1. Current Challenges in Battery SoH Prediction
- (1)
- The batteries in EVs are subject to dynamic and diverse environments (temperature, charge/discharge profiles, driving conditions). This variability contrasts sharply with the relatively stable and unique conditions found in experiments, making it difficult to generalize predictive models to real-world situations.
- (2)
- The extraction of parameters representative of the SoH of the battery suffers from low efficiency and presents great difficulties. These limitations complicate the adaptation of existing methods to online and embedded prediction, which is essential for deployment in battery management systems (BMSs) for vehicles.
- (3)
- The majority of current algorithms for SoH prediction rely heavily on data collected directly from vehicles. This data must be extensive and of high quality, but acquiring it is costly and difficult. This dependency limits the effectiveness and accuracy of predictions, particularly in varied or noisy conditions.
1.2. Main Contributions of This Study
- A novel DNN architecture optimized for battery SoH estimation, featuring a strategic combination of tansig (hidden layers) and satlins (output) activation functions designed to ensure stable performance. The model demonstrates superior accuracy (1.433% MAE) compared to complex hybrid approaches like CNN-BiGRU (2.448% MAE) while maintaining substantially reduced computational complexity.
- An enhanced MATLAB interface overcoming toolbox limitations by supporting 15 activation functions (compared to 3 or 4 standard options), enabling systematic architectural exploration and optimization for battery SoH estimation models through visual comparison rather than manual coding.
- Comprehensive validation demonstrating robust performance across temperature variations (24 °C for B0006/B0007, 4 °C for B0048) and throughout aging cycles (1–168), confirming practical applicability for electric vehicle battery management systems.
- The model in this study demonstrates enhanced generalization capability and superior modeling of complex battery dynamics compared to conventional architectures (1D CNN, BiGRU, BILSTM, GRU, LSTM, ANN) and hybrid approaches (CNN-BiGRU) while maintaining consistent performance accuracy across diverse operating conditions for reliable state of health monitoring.
2. Analysis of DNN Hyperparameters and Architectures for Reliable SoH Estimation
- 1-
- Importation of experimental inputs.
- 2-
- Importation of the corresponding output data.
- 3-
- Enter the activation function to be used.
- 4-
- Specify the hidden layer number.
- 5-
- Set the total of neurons in each hidden layer.
- 6-
- Drop-down menu includes several commonly used activation functions: satlin, satlins, netinv, poslin, purelin, radbas, radbasn, compet, hardlims, logsig, softmax, tribas, elliotsig, hardlim and tansig.
- 7-
- Confirm the configuration before proceeding to the next step.
- 8-
- Choose the output activation function appropriate for the type of prediction.
- 9-
- Set the correct activation function.
- 10-
- Generate the neural network and run the test.
- 11-
- Plot the curves corresponding to the training data.
- 12-
- Plot the curves corresponding to the testing data.
- 13-
- Plot the validation curves.
- 14-
- Visualize the error between the validation data and the output estimated by the DNN.
- 15-
- Restart the application to perform a new simulation with modified parameters.
3. Experimental Studies: Data Collection
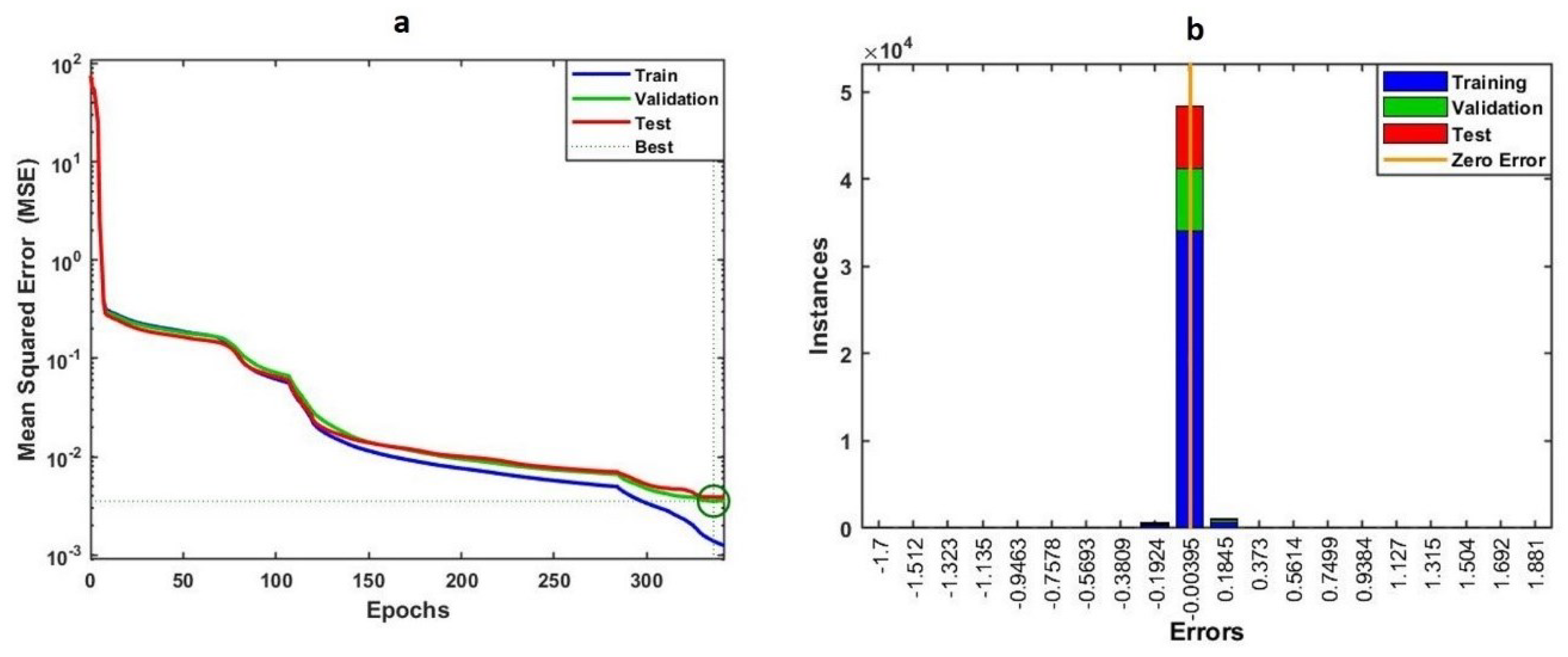
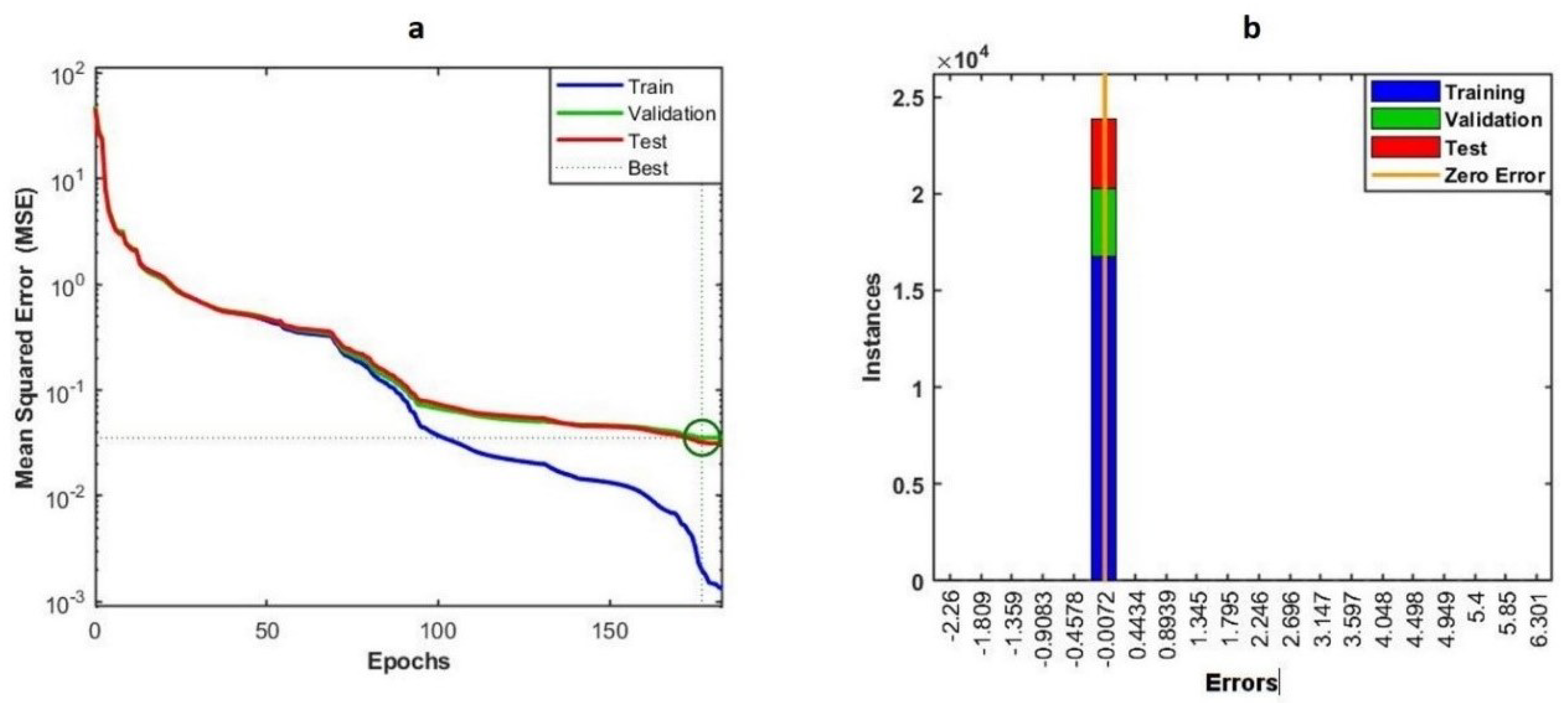
4. Results and Discussions
Considerations on Real-World EV Applicability
5. Conclusions and Perspectives
Author Contributions
Funding
Data Availability Statement
Conflicts of Interest
References
- El Fallah, S.; Kharbach, J.; Hammouch, Z.; Rezzouk, A.; Ouazzani Jamil, M. State of charge estimation of an electric vehicle’sbattery using Deep Neural Networks: Simulation and experimental results. J. Energy Storage 2023, 62, 106904. [Google Scholar] [CrossRef]
- Song, K.; Hu, D.; Tong, Y.; Yue, X. Remaining life prediction of lithium-ion batteries based on health management: A review. J. Energy Storage 2023, 57, 106193. [Google Scholar] [CrossRef]
- El Fallah, S.; Kharbach, J.; Vanagas, J.; Vilkelytė, Ž.; Tolvaišienė, S.; Gudžius, S.; Ouazzani Jamil, M. Advanced state of charge estimation using deep neural network, gated recurrent unit, and long short-term memory models for lithium-Ion batteries under aging and temperature conditions. Appl. Sci. 2024, 14, 6648. [Google Scholar] [CrossRef]
- Yu, J.; Yao, F. Multi-Timescale Estimation of SOE and SOH for Lithium-Ion Batteries with a Fractional-Order Model and Multi-Innovation Filter Framework. Batteries 2025, 11, 372. [Google Scholar] [CrossRef]
- Luo, K.; Chen, X.; Zheng, H.; Shi, Z. A review of deep learning approach to predicting the state of health and state of charge of lithium-ion batteries. J. Energy Chem. 2022, 74, 159–173. [Google Scholar] [CrossRef]
- Hong, J.; Wang, Z.; Chen, W.; Wang, L.; Lin, P.; Qu, C. Online accurate state of health estimation for battery systems on real-world electric vehicles with variable driving conditions considered. J. Clean. Prod. 2021, 294, 125814. [Google Scholar] [CrossRef]
- Slattery, M.; Dunn, J.; Kendall, A. Transportation of electric vehicle lithium-ion batteries at end-of-life: A literature review. Resour. Conserv. Recycl. 2021, 174, 105755. [Google Scholar] [CrossRef]
- Lu, L.; Han, X.; Li, J.; Hua, J.; Ouyang, M. A review on the key issues for lithium-ion battery management in electric vehicles. J. Power Sources 2013, 226, 272–288. [Google Scholar] [CrossRef]
- El Fallah, S.; Kharbach, J.; Rezzouk, A.; Ouazzani Jamil, M. Robust state of charge estimation and simulation of lithium-ion batteries using deep neural network and optimized random forest regression algorithm. In Artificial Intelligence and Industrial Applications, Proceedings of the International Conference on Artificial Intelligence Industrial Applications, Meknes, Morocco, 17–18 February 2023; Springer Nature: Cham, Switzerland, 2023; pp. 34–45. [Google Scholar]
- Thele, M.; Bohlen, O.; Sauer, D.U.; Karden, E. Development of a voltage-behavior model for NiMH batteries using an impedance-based modeling concept. J. Power Sources 2008, 175, 635–643. [Google Scholar] [CrossRef]
- Jiang, L.; Deng, Z.; Tang, X.; Hu, L.; Lin, X.; Hu, X. Data-driven fault diagnosis and thermal runaway warning for battery packs using real-world vehicle data. Energy 2021, 234, 121266. [Google Scholar] [CrossRef]
- Tang, X.; Chen, J.; Liu, T.; Qin, Y.; Cao, D. Distributed deep reinforcement learning-based energy and emission management strategy for hybrid electric vehicles. IEEE Trans. Veh. Technol. 2021, 70, 9922–9934. [Google Scholar] [CrossRef]
- Hu, X.; Che, Y.; Lin, X.; Onori, S. Battery health prediction using fusion-based feature selection and machine learning. IEEE Trans. Transp. Electrif. 2021, 7, 382–398. [Google Scholar] [CrossRef]
- El Fallah, S.; Kharbach, J.; Vanagas, J.; Vilkelytė, Ž; Tolvaišienė, S.; Ikmel, G.; Jamil, M.O. Advanced Battery Management for Electric Vehicles: A Deep Dive into Estimation Techniques Based on Deep Learning for the State of Health and State of Charge of Lithium-Ion Batteries. In Proceedings of the 2024 IEEE Open Conference of Electrical, Electronic and Information Sciences (eStream), Vilnius, Lithuania, 25–25 April 2024; IEEE: New York, NY, USA, 2024; pp. 1–5. [Google Scholar]
- Fang, D.; Wu, W.; Li, J.; Yuan, W.; Liu, T.; Dai, C.; Wang, Z.; Zhao, M. Performance simulation method and state of health estimation for lithium-ion batteries based on aging-effect coupling model. Green Energy Intell. Transp. 2023, 2, 100082. [Google Scholar] [CrossRef]
- Feng, J.; Cai, F.; Zhan, X.; Zhang, X.; Zhao, Y.; Wang, S. A novel state-of-health prediction and assessment strategies for high-capacity mining lithium-ion batteries based on multi-indicator. J. Electrochem. Soc. 2024, 171, 0514. [Google Scholar] [CrossRef]
- Teki, V.K.; Kasi, J.; Chidurala, S.; Priyadarshini, S.; Ramana Kumar Joga, S.; Maharana, M.K.; Panigrahi, C.K. Analysis of lithium-ion batteries through electrochemical impedance spectroscopy modeling. J. Electrochem. Soc. 2024, 171, 060528. [Google Scholar] [CrossRef]
- Yang, Y.; Wen, J.; Shi, Y. Remaining useful life prediction for lithium-ion battery based on CEEMDAN and SVR. J. Electron. Meas. Instrum. 2020, 34, 197–205. [Google Scholar]
- Zhang, Y.; Wang, A.; Zhang, C.; He, P.; Shao, K.; Cheng, K.; Zhou, Y. State-of-Health Estimation for Lithium-Ion Batteries via Incremental Energy Analysis and Hybrid Deep Learning Model. Batteries 2025, 11, 217. [Google Scholar] [CrossRef]
- Hosseininasab, S.; Lin, C.; Pischinger, S. State-of-health estimation of lithium-ion batteries for electrified vehicles using a reduced-order electrochemical model. J. Energy Storage 2022, 52, 10. [Google Scholar] [CrossRef]
- Madani, S.S.; Hébert, M.; Boulon, L.; Lupien-Bédard, A.; Allard, F. Comparative Analysis of ML and DL Models for Data-Driven SOH Estimation of LIBs Under Diverse Temperature and Load Conditions. Batteries 2025, 11, 393. [Google Scholar] [CrossRef]
- Ye, H.; Liang, L.; Li, G.Y.; Kim, J.; Lu, L.; Wu, M. Machine learning for vehicular networks: Recent advances and application examples. IEEE Veh. Technol. Mag. 2018, 13, 94–101. [Google Scholar] [CrossRef]
- Christian, J.; Patrick, Z.; Kai, H. Machine learning and deep learning. Electron. Mark. 2021, 31, 685–695. [Google Scholar] [CrossRef]
- Xiao, Y.; Wen, J.; Yao, L.; Zheng, J.; Fang, Z.; Shen, Y. A comprehensive review of the lithium-ion battery state of health prognosis methods combining aging mechanism analysis. J. Energy Storage 2023, 65, 107347. [Google Scholar] [CrossRef]
- El Fallah, S.; Kharbach, J.; Lehmam, O.; Masrour, R.; Rezzouk, A.; Qjidaa, H.; Jamil, M.O. Review on Techniques for Evaluating the Degradation of Lithium-Ion Batteries Based on Artificial Intelligence: Algorithms, Implementations, Problems and Prospects. In Proceedings of the International Conference on Digital Technologies and Applications; Springer Nature: Cham, Switzerland, 2024; pp. 468–476. [Google Scholar]
- Lyu, C.; Song, Y.; Zheng, J.; Luo, W.; Hinds, G.; Li, J.; Wang, L. In situ monitoring of lithium-ion battery degradation using an electrochemical model. Appl. Energy 2019, 250, 685–696. [Google Scholar] [CrossRef]
- Wang, J.; Zhao, R.; Huang, Q.A.; Wang, J.; Fu, Y.; Li, W.; Bai, Y.; Zhao, Y.; Li, X.; Zhang, J. High-efficient prediction of state of health for lithium-ion battery based on AC impedance feature tuned with Gaussian process regression. J. Power Sources 2023, 561, 232737. [Google Scholar] [CrossRef]
- He, Z.; Chen, D.; Pan, C.; Chen, L.; Wang, S. State of charge estimation of power Li-ion batteries using a hybrid estimation algorithm based on UKF. Electrochim. Acta 2016, 211, 101–109. [Google Scholar]
- Tran, M.K.; Mathew, M.; Janhunen, S.; Panchal, S.; Raahemifar, K.; Fraser, R.; Fowler, M. A comprehensive equivalent circuit model for lithium-ion batteries, incorporating the effects of state of health, state of charge, and temperature on model parameters. J. Energy Storage 2021, 43, 103252. [Google Scholar] [CrossRef]
- Li, W.; Demir, I.; Cao, D.; Jöst, D.; Ringbeck, F.; Junker, M.; Sauer, D.U. Data-driven systematic parameter identification of an electrochemical model for lithium-ion batteries with artificial intelligence. Energy Storage Mater. 2022, 44, 557–570. [Google Scholar] [CrossRef]
- Sun, H.; Yang, D.; Wang, L.; Wang, K. A method for estimating the aging state of lithium-ion batteries based on a multi-linear integrated model. Int. J. Energy Res. 2022, 46, 24091–24104. [Google Scholar] [CrossRef]
- Wang, C.; Xu, M.; Zhang, Q.; Feng, J.; Jiang, R.; Wei, Y.; Liu, Y. Parameters identification of Thevenin model for lithium-ion batteries using self-adaptive Particle Swarm Optimization Differential Evolution algorithm to estimate state of charge. J. Energy Storage 2021, 44, 103244. [Google Scholar] [CrossRef]
- Guo, F.; Couto, L.D.; Mulder, G.; Trad, K.; Hu, G.; Capron, O.; Haghverdi, K. A systematic review of electrochemical model-based lithium-ion battery state estimation in battery management systems. J. Energy Storage 2024, 101, 113850. [Google Scholar] [CrossRef]
- Chang, Y.; Fang, H. A hybrid prognostic method for system degradation based on particle filter and relevance vector machine. Reliab. Eng. Syst. Saf. 2019, 186, 51–63. [Google Scholar] [CrossRef]
- Li, W.; Sengupta, N.; Dechent, P.; Howey, D.; Annaswamy, A.; Sauer, D.U. Online capacity estimation of lithium-ion batteries with deep long short-term memory networks. J. Power Sources 2021, 482, 228863. [Google Scholar] [CrossRef]
- You, G.; Park, S.; Oh, D. Real-time state-of-health estimation for electric vehicle batteries: A data-driven approach. Appl. Energy 2016, 176, 92–103. [Google Scholar] [CrossRef]
- Wei, J.; Dong, G.; Chen, Z. Remaining useful life prediction and state of health diagnosis for lithium-ion batteries using particle filter and support vector regression. IEEE Trans. Ind. Electron. 2018, 65, 5634–5643. [Google Scholar] [CrossRef]
- Zhang, M.; Chen, W.; Yin, J.; Feng, T. Lithium battery health factor extraction based on improved douglas–peucker algorithm and SOH prediction based on XGboost. Energies 2022, 15, 5981. [Google Scholar] [CrossRef]
- Wu, J.; Su, H.; Meng, J.; Lin, M. State of health estimation for lithium-ion battery via recursive feature elimination on partial charging curves. IEEE J. Emerg. Sel. Top. Power Electron. 2023, 11, 131–142. [Google Scholar] [CrossRef]
- He, Y.; Bai, W.; Wang, L.; Wu, H.; Ding, M. SOH estimation for lithium-ion batteries: An improved GPR optimization method based on the developed feature extraction. J. Energy Storage 2024, 83, 110678. [Google Scholar] [CrossRef]
- Zhu, T.; Wang, S.; Fan, Y.; Hai, N.; Huang, Q.; Fernandez, C. An improved dung beetle optimizer- hybrid kernel least square support vector regression algorithm for state of health estimation of lithium-ion batteries based on variational model decomposition. Energy 2024, 306, 132464. [Google Scholar] [CrossRef]
- Cho, S.; Han, D.; Kim, J.; Kim, J. State of health estimation embedded with hardware accelerator based on long short-term memory combined with Bayesian optimization considering extracted health indicator in charging conditions. J. Energy Storage 2024, 90, 111897. [Google Scholar] [CrossRef]
- Liu, S.; Chen, Z.; Yuan, L.; Xu, Z.; Jin, L.; Zhang, C. State of health estimation of lithium-ion batteries based on multi-feature extraction and temporal convolutional network. J. Energy Storage 2024, 75, 109658. [Google Scholar] [CrossRef]
- Shu, X.; Shen, S.; Shen, J.; Zhang, Y.; Li, G.; Chen, Z.; Liu, Y. State of health prediction of lithium-ion batteries based on machine learning: Advances and perspectives. Iscience 2021, 24, 103265. [Google Scholar] [CrossRef]
- Liu, G.; Deng, Z.; Xu, Y.; Lai, L.; Gong, G.; Tong, L.; Ye, Z. Lithium-Ion Battery State of Health Estimation Based on CNN-LSTM-Attention-FVIM Algorithm and Fusion of Multiple Health Features. Appl. Sci. 2025, 15, 7555. [Google Scholar] [CrossRef]
- Li, C.; Han, X.; Zhang, Q.; Li, M.; Rao, Z.; Liao, W.; Li, G. State-of-health and remaining-useful-life estimations of lithium-ion battery based on temporal convolutional network-long short-term memory. J. Energy Storage 2023, 74, 109498. [Google Scholar] [CrossRef]
- Liu, C.; Li, H.; Li, K.; Wu, Y.; Lv, B. Deep Learning for State of Health Estimation of Lithium-Ion Batteries in Electric Vehicles: A Systematic Review. Energies 2025, 18, 1463. [Google Scholar] [CrossRef]
- Cervellieri, A. A Feed-Forward Back-Propagation Neural Network Approach for Integration of Electric Vehicles into Vehicle-to-Grid (V2G) to Predict State of Charge for Lithium-Ion Batteries. Energies 2024, 17, 6107. [Google Scholar] [CrossRef]
- Saha, B.; Goebel, K. Battery Data Set, NASA Ames Prognostics Data Repository; NASA Ames Research Center: Moffett Field, CA, USA, 2007. [Google Scholar]
- Mazzi, Y.; Sassi, H.B.; Errahimi, F. Lithium-ion battery state of health estimation using a hybrid model based on a convolutional neural network and bidirectional gated recurrent unit. Eng. Appl. Artif. Intell. 2024, 127, 107199. [Google Scholar] [CrossRef]
- Zhang, D.; Zhao, W.; Wang, L.; Chang, X.; Li, X.; Wu, P. Evaluation of the state of health of lithium-ion battery based on the temporal convolution network. Front. Energy Res. 2022, 10, 929235. [Google Scholar] [CrossRef]
- Wang, J.; Deng, Z.; Yu, T.; Yoshida, A.; Xu, L.; Guan, G.; Abudula, A. State of health estimation based on modified Gaussian process regression for lithium-ion batteries. J. Energy Storage 2022, 51, 104512. [Google Scholar] [CrossRef]
- Crocioni, G.; Pau, D.; Delorme, J.-M.; Gruosso, G. Li-ion batteries parameter estimation with tiny neural networks embedded on intelligent IoT microcontrollers. IEEE Access 2020, 8, 122135–122146. [Google Scholar] [CrossRef]
- Tong, Z.; Miao, J.; Tong, S.; Lu, Y. Early prediction of remaining useful life for Lithium-ion batteries based on a hybrid machine learning method. J. Clean. Prod. 2021, 317, 128265. [Google Scholar] [CrossRef]
- Xiao, Z.; Jiang, B.; Zhu, J.; Wei, X.; Dai, H. State of Health Estimation for Lithium-Ion Batteries Using an Explainable XGBoost Model with Parameter Optimization. Batteries 2024, 10, 394. [Google Scholar] [CrossRef]
- Huber, P.; Göhner, U.; Trapp, M.; Zender, J.; Lichtenberg, R. Comprehensive Analysis of Neural Network Inference on Embedded Systems: Response Time, Calibration, and Model Optimisation. Sensors 2025, 25, 4769. [Google Scholar] [CrossRef]
- Al-Rahamneh, A.; Izco, I.; Serrano-Hernandez, A.; Faulin, J. Machine Learning-Based State-of-Health Estimation of Battery Management Systems Using Experimental and Simulation Data. Mathematics 2025, 13, 2247. [Google Scholar] [CrossRef]
- Chaoraingern, J.; Numsomran, A. Embedded Sensor Data Fusion and TinyML for Real-Time Remaining Useful Life Estimation of UAV Li Polymer Batteries. Sensors 2025, 25, 3810. [Google Scholar] [CrossRef]
- Hu, C.; Li, B.; Ma, L.; Cheng, F. State-of-charge estimation for lithium-ion batteries of electric vehicle based on sensor random error compensation. J. Energy Storage 2022, 55, 105537. [Google Scholar] [CrossRef]

















| Characteristics of the Cells Tested | Specifications |
|---|---|
| Cell chemistry | 18650 NCA cell |
| Nominal capacity | 2000 mAh (2Ah) |
| Upper cut-off voltage | 4.2 V |
| Battery Number | Discharge Current | Temperature | Cut-Off Voltage | Initial Capacity |
|---|---|---|---|---|
| #0006 | Constant 2 A (CC) | 24 °C | 2.5 V | 2.0353 Ah |
| #0007 | Constant 2 A (CC) | 24 °C | 2.2 V | 1.8910 Ah |
| #0048 | Constant 1 A (CC) | 4 °C | 2.7 V | 1.6579 Ah |
| Method | Battery No. | MAE (%) | MSE (%) | References | |
|---|---|---|---|---|---|
| BIGRU | Battery #06 | 5.467 | - | - | [50] |
| CNN-BiGRU | 2.448 | - | - | [50] | |
| CNN-LSTM | 3.446 | - | - | [50] | |
| ANN | 4.333 | - | - | [50] | |
| 1D CNN | 3.969 | - | - | [50] | |
| DNN proposed | 1.433 | 0.4931 | 0.99998 | - | |
| DNN proposed | Battery #07 | 2.932 | 0.3526 | 0.99996 | - |
| CNN-LSTM | Battery #07 | 3.188 | - | - | [50] |
| 1D CNN | Battery #07 | 3.673 | - | - | [50] |
| ANN | Battery #07 | 5.413 | - | - | [50] |
| DNN proposed | Battery #48 | 4.391 | 3.5485 | 0.99957 | - |
| TCN | Battery #05 | 1.455 | - | - | [51] |
| Modified GPR | Battery #05 | 1.700 | - | - | [52] |
| CNN-GRU | Battery #05 | 4.040 | - | - | [53] |
| CNN-LSTM | Battery #05 | 4.340 | - | - | [53] |
| ADLSTM-MC | Battery #06 | 2.700 | - | - | [54] |
| BOA-XGBoost | 15 cells under different aging conditions | 2.640 | - | - | [55] |
| Model | Architecture Component | Specification |
|---|---|---|
| GRU | Number of GRU units | (64, 32) |
| LSTM | Number of LSTM units | (128, 64) |
| BiGRU | Number of Bidirectional GRU units | (96, 48) |
| BiLSTM | Number of Bidirectional LSTM units | (256, 128) |
| 1D-CNN | Number of convolutional filters | (64, 128, 256) |
| Metrics | CNN-BiGRU | CNN-LSTM | BiGRU-1D | CNN | ANN-1 | Proposed DNN |
|---|---|---|---|---|---|---|
| Number of trained parameters | 299,089 | 228,401 | 126,625 | 35,041 | 6017 | 8521 |
| Model size (MB) | 3.57 | 2.73 | 1.52 | 0.48 | 0.09 | 0.10 |
| Battery | Temperature | SoH at Knee-Point | Cycle of Knee-Point | Characterization |
|---|---|---|---|---|
| #0006 | 24 °C | ∼88% | ∼Cycle 50 | A distinct change in slope, marking the onset of an accelerated degradation phase. |
| #0007 | 24 °C | ∼96% | ∼Cycle 48 | The same acceleration phenomenon is present, occurring at a higher state of health. |
| #0048 | 4 °C | Not applicable | From Cycle 0 | No classical knee-point is observed; rapid and continuous degradation is induced by the low temperature. |
| Reference | Model | Dataset/Source | Execution Platform | Latency | Latency Type |
|---|---|---|---|---|---|
| [57] | MLP | XJTU battery dataset + simulation | Raspberry Pi 4B (CPU) | 28 ms | Measured |
| [57] | LSTM | XJTU battery dataset + simulation | Raspberry Pi 4B (CPU) | 49 ms | Measured |
| [58] | TinyML FFNN (quantized) | Experimental UAV Li-poly battery data | ARM Cortex-M0+ | ≈2 ms | Measured |
| This work | DNN | NASA PCoE battery dataset | MCU-class processor (Cortex-M) | ≈1–8 ms | Estimated (analytical, based on [53,56]) |
Disclaimer/Publisher’s Note: The statements, opinions and data contained in all publications are solely those of the individual author(s) and contributor(s) and not of MDPI and/or the editor(s). MDPI and/or the editor(s) disclaim responsibility for any injury to people or property resulting from any ideas, methods, instructions or products referred to in the content. |
© 2026 by the authors. Licensee MDPI, Basel, Switzerland. This article is an open access article distributed under the terms and conditions of the Creative Commons Attribution (CC BY) license.
Share and Cite
El Fallah, S.; Kharbach, J.; Vanagas, J.; Lakhssassi, A.; Qjidaa, H.; Ouazzani Jamil, M. Deep Neural Network Optimization for Lithium-Ion Battery State of Health Prediction in Electric Vehicles: Outperforming Hybrid Models. Batteries 2026, 12, 52. https://doi.org/10.3390/batteries12020052
El Fallah S, Kharbach J, Vanagas J, Lakhssassi A, Qjidaa H, Ouazzani Jamil M. Deep Neural Network Optimization for Lithium-Ion Battery State of Health Prediction in Electric Vehicles: Outperforming Hybrid Models. Batteries. 2026; 12(2):52. https://doi.org/10.3390/batteries12020052
Chicago/Turabian StyleEl Fallah, Saad, Jaouad Kharbach, Jonas Vanagas, Ahmed Lakhssassi, Hassan Qjidaa, and Mohammed Ouazzani Jamil. 2026. "Deep Neural Network Optimization for Lithium-Ion Battery State of Health Prediction in Electric Vehicles: Outperforming Hybrid Models" Batteries 12, no. 2: 52. https://doi.org/10.3390/batteries12020052
APA StyleEl Fallah, S., Kharbach, J., Vanagas, J., Lakhssassi, A., Qjidaa, H., & Ouazzani Jamil, M. (2026). Deep Neural Network Optimization for Lithium-Ion Battery State of Health Prediction in Electric Vehicles: Outperforming Hybrid Models. Batteries, 12(2), 52. https://doi.org/10.3390/batteries12020052

