Next Article in Journal
Numerical Simulation and Optimization of a Novel Battery Box Wall and Contour-Finned Structure in Air-Cooled Battery Thermal Management Systems
Previous Article in Journal
Online Estimation of Lithium-Ion Battery State of Charge Using Multilayer Perceptron Applied to an Instrumented Robot
 
 
Font Type:
Arial Georgia Verdana
Font Size:
Aa Aa Aa
Line Spacing:
Column Width:
Background:
Article

Numerical Investigation of Heat Dissipation Components and Thermal Management System in PEM Fuel Cell Engines

1
School of Mechanical Electronic and Control Engineering, Beijing Jiaotong University, Beijing 100044, China
2
Beijing Key Laboratory of Flow and Heat Transfer of Phase Changing in Micro and Small Scale, Beijing 100044, China
*
Author to whom correspondence should be addressed.
Batteries 2026, 12(1), 26; https://doi.org/10.3390/batteries12010026
Submission received: 15 December 2025 / Revised: 2 January 2026 / Accepted: 10 January 2026 / Published: 13 January 2026

Abstract

A one-dimensional analytical model for a proton exchange membrane fuel cell (PEMFC) engine is presented. The model is structured into three main subsystems: the fuel cell stack, the intake and exhaust system, and the thermal management system. The modeling of the thermal management system specifically encompasses key components such as the expansion tank, thermostat, pump, fan, and radiator. The heat transfer and fluid flow within key thermal management components—primarily fans and radiators—are analyzed via three-dimensional modeling. A porous media model represents the unit parallel-flow radiator, where the complex fin structures are replaced by a homogenized medium. This allows for the efficient calculation of 3D thermal and flow fields once the necessary constitutive parameters are identified. Ultimately, the one-dimensional (1D) thermal management system is coupled with the three-dimensional (3D) flow field analysis. This integrated 1D-3D co-simulation framework is implemented to enhance the computational fidelity of the PEMFC engine’s thermal management model.

1. Introduction

Since the 1990s, the application of hydrogen energy in the field of transportation has become increasingly active. Hydrogen as a fuel for fuel cell vehicles (FCVs), has a high energy conversion rate, good fuel economy, and emits no pollutants during driving. Despite the superior energy conversion efficiency of fuel cell vehicles (FCVs), the associated waste heat generation remains substantial. Consequently, the thermal load imposed on the system is approximately 2.5 to 3 times greater than that of conventional internal combustion engines. At the same time, the FCV operates over a high-temperature range. One of the most important problems in its operation is thermal management. In order to ensure safe operation, the proton exchange membrane fuel cell stack (PEMFCs) temperature should be maintained between 60 and 80 °C. Elevating the temperature accelerates the reaction kinetics and enhances proton conductivity within the membrane, thereby improving the overall performance of the fuel cell stack [1]. However, since water content strongly affects membrane conductivity, high temperature will dehydrate the proton exchange membrane, which does not satisfy the wet condition of the membrane. As a result, its electrical conductivity decreases and fuel cell stack performance deteriorates [2,3]. The operating temperature of the fuel cell stack dictates that the exhaust gas temperature is significantly lower than that of internal combustion engines. Consequently, nearly 80% of the waste heat must be dissipated by the external cooling system, imposing a severe challenge on the design of the FCV thermal management system. Liquid cooling is considered the best cooling method [4,5,6].
A. Fly et al. [7] conducted a comparative study between liquid cooling and evaporative cooling strategies for FCV thermal management. Their findings indicate that evaporative cooling can diminish the heat exchanger’s frontal area by up to 27%. However, this advantage is counterbalanced by the requirement for superior liquid water separation efficiency. Lee et al. [8] investigated the stack’s cooling efficacy and conducted optimizations based on dynamic road operating conditions. Zhang et al. [9] employed a 1D-3D co-simulation strategy to model the thermal management system of a proton exchange membrane fuel cell (PEMFC) engine. This coupled framework was subsequently utilized to quantify the system’s heat rejection performance. Song et al. [10] investigated energy management strategies for FCVs in low-temperature environments. Focusing on the interdependence among fuel cell temperature, efficiency, and preheating energy consumption, the authors proposed a hierarchical energy–thermal cooperative control scheme that explicitly incorporates the thermal characteristics of the fuel cell. Tan et al. [11] conducted comprehensive energy flow experiments on a fuel cell passenger vehicle in a climate wind tunnel, quantifying energy distribution and thermal management performance under varying vehicle speeds, gradients, and environmental conditions. Yang et al. [12] developed an integrated thermal management system model for fuel cell hybrid electric vehicles, encompassing cooling subsystems for the fuel cell stack, battery, electric motor, and passenger compartment. They validated the effectiveness of their multi-loop coupled control strategy through high-temperature operating condition simulations. Ferreira et al. [13] developed an open-ended cathode and anode dead-end PEM fuel cell stack for drone applications. They investigated the effects of operational parameters such as fan speed, short-circuit humidification, and hydrogen purging on its performance, providing important references for simplified system design and control strategies for drone fuel cells.
In the study of radiators, a large number of scholars have studied radiators [14,15,16,17]. Wang et al. [18] investigated a small-channel parallel-flow heat exchanger designed for FCV applications. Using a 50% ethylene glycol–water solution as the working fluid, the study derived correlations linking the heat transfer coefficient to the friction factor. Oliveira et al. [19] employed a porous media approach to numerically investigate the thermo-fluid characteristics of a finned tube intercooler. This study resolved the spatial distributions of temperature and pressure, while also evaluating the impact of air flow on both hydraulic resistance and heat transfer performance. Gong et al. [20,21] proposed embedding metal elbow structures on the air side of traditional compact radiators to enhance heat dissipation performance in FCVs. Experimental and numerical simulation results indicate that the optimized radiator achieves a 17.1% to 22.5% increase in heat transfer capacity under various operating conditions, with minimal pressure drop increase. This demonstrates that the structure effectively guides air flow to scour tube walls, enhancing cooling efficiency and offering broad engineering application prospects. Subsequently, a novel windward louvered radiator structure was proposed. This design leverages the vertical deflection effect of air flow to effectively scavenge tube walls, boosting the radiator’s total heat transfer capacity by approximately 25% under identical pump power conditions. Jung et al. [22] investigated staggered bar fin heat exchangers for integrated cooling systems in fuel cell electric vehicles (FCEVs) through numerical simulation and multi-objective optimization. By simultaneously optimizing fin geometries on both sides based on different fluid-side velocities (full optimization scheme), overall performance significantly outperformed single-side optimization approaches.

2. FCE Thermal Management System Model

2.1. One-Dimensional Model of the FCE Thermal Management System

Based on the operational characteristics of FCVs, a cooling circuit is integrated into the existing fuel cell stack model. The schematic diagram is illustrated in Figure 1. The system primarily comprises the fuel cell stack (FCS), air compressor, humidifier, hydrogen storage tank, water recovery unit, and cooling loop. The FCS model is positioned at the center of the schematic. It is flanked by the cathode side on the left and the anode side on the right. Air is introduced into the circuit by the air compressor. After being humidified by the humidifier, it enters the FCS to react. After the reaction, the mixture is discharged and the water is recovered. On the right side, which is the anode side of the fuel cell stack, pure hydrogen enters the fuel cell stack loop from the hydrogen storage tank, and unreacted hydrogen is recovered after the reaction. A heat exchange plate connects the cathode humidifier and the condenser. Its primary function is to equilibrate the temperatures of the cathode inlet and outlet streams, effectively recovering waste heat from the exhaust gas. Additionally, the cooling system is depicted in the lower section of the circuit to dissipate the heat generated by the fuel cell stack.
The calculation models for the main components in the system is shown below, where the data required for the radiator and fan are taken from the 3D numerical analysis.

2.1.1. Fuel Cell Stack

This component models the PEMFCs, predicting the output voltage as a function of the load current. The temperature of the stack is calculated by considering electrochemical reaction losses and heat exchange with the cooling device. The model also estimates the composition, temperature, and pressure of the gas flow at the anode and cathode outlets. Finally, it determines current density, battery power, electrical efficiency, and heat production rate. The schematic representation of the working mechanism is depicted in Figure 2.
The stack voltage is governed by the polarization curve. To compute the fuel cell stack temperature, the model incorporates electrochemical reaction losses, convective heat exchange with the fluid, and the stack’s heat capacity. Furthermore, the power loss is calculated based on the stack’s operating voltage and current:
P l o s s = N c e l l U o c U C E L L I
where N c e l l is the number of cells in FCS, U C E L L is the cell voltage, I is the stack current, and U o c is the open-circuit voltage. External heat is also exchanged by convection between the anode and cathode gas streams and heat capacity of the stack. The rate of heat generation and electrical efficiency can be calculated by the following formula:
Q ˙ r = P U O C U C E L L U C E L L
η e = P P + Q ˙ r
where P = U I is the stack power and U is the stack voltage.
Component balance in the stack: The composition of the outlet fluid at the electrode depends on the inlet fluid and the consumption/production of the material due to the electrochemical reactions. Hydrogen oxidation occurs on the anode side, whereas the cathode side facilitates oxygen reduction, resulting in the production of water. The molar reaction rate of a substance can be derived from Faraday’s law:
q i = N c e l l I n e i F
Generation is positive and consumption is negative. n e i is the number of electrons in the electrochemical process, with n H 2 = 2 and n O 2 = n H 2 O = 4 . F is the Faraday constant. Water transport through diffusion and electro-osmosis is not taken into account.
Stack temperature is calculated as follows:
d T d t = d h m c p
where d h is the sum of the waste heat produced by the FCS and the thermal energy dissipated by the external cooling circuit, c p is the specific heat, and m is the mass of the stack.

2.1.2. Humidifier and Condenser

PEMECs require humidification during operation, as proton transport in the electrolyte requires the electrolyte to remain wet. Although water is produced as a by-product of fuel cell operation, it is frequently insufficient to satisfy the strict membrane hydration requirements. Consequently, a humidifier is integrated into the system to regulate the relative humidity of the reactant air flows. The definition of relative humidity is given as follows:
r h = P w P s a t × 100 %
where P w represents the partial pressure of water vapor in the gas mixture, P s a t is the saturated vapor pressure at a given temperature, and the humidity is maintained at a set value by PID control. The saturation pressure of water vapor is determined using the following equation:
L o g P s a t = 32 3152.2 T 7.3 L o g T + 2.4 × 10 9 T + 1.8 × 10 6 T 2
By setting the target versus humidity, the inlet air relative humidity value is first determined and compared with the target humidity. A proportional integral differential is then used to control the water flow introduced to minimize the difference between the measured and target values.
The fuel cell system generates water in the reaction, which is discharged with the gas flow on the cathode outlet side. In order to provide water for the humidifier and maintain the water balance in the system, it is necessary to recover the water generated by the cathode. The relative humidity is calculated based on the internal temperature of the condenser. Condensation is triggered when the relative humidity surpasses 100%. Consequently, the model calculates the condensate mass flow rate and the quantity of water recovered by the system.

2.1.3. Thermostat

The thermostat is modeled as an orifice with a variable cross-sectional area. This area variation is dictated by the coolant-to-wax convective heat transfer. The thermostat starts to open at a given initial temperature and is fully open at a given final temperature. As the temperature of the wax inside the thermostat rises, the valve opening varies according to the temperature-dependent curve for a given cross-sectional area, as shown in Figure 3.
The variable f a is used to characterize the opening of the thermostat and is calculated as follows:
f a = a c a m a x
where a c is the currently open cross-sectional area and a m a x is the maximum open area. Specifically, the opening fraction f a is defined as 0 when the wax temperature remains below the initial opening threshold. Conversely, the value saturates at one once the temperature reaches the fully open limit. The wax temperature is treated as a dynamic state and is obtained by integrating its time derivative:
d T w a x d t = h s m c p T 2 T w a x
where h s represents the convective heat transfer coefficient at the coolant–wax interface, m c p is the heat capacity of the wax, and T 2 is the inlet coolant temperature.

2.2. Three-Dimensional Heat Exchanger Model

The radiator is the main component responsible for heat convection. Since FCVs require a coolant inlet temperature lower than 80 °C, the system faces a more rigorous cooling challenge compared with conventional ICEs. To accommodate this, larger radiators are employed to ensure adequate heat rejection. Experimental and computational studies have demonstrated that the geometric parameters of the heat exchanger have a significant impact on thermal performance. Notably, optimizing these dimensions can enhance the heat transfer rate by more than 50%.
Due to the tight interior layout of the car body in FCVs, efficient and compact heat exchangers must be considered. The radiator selected is a unit parallel-flow heat exchanger with louver fins. Unit parallel-flow heat exchangers are used as external heat sinks (such as for the FCS and PCU heat sinks) in FCV cooling systems. The in-tube coolant passes through the heat exchanger in a single pass and is cooled by the outside air. The outer side of the heat exchanger adopts louver strip fins, which can effectively destroy the air boundary layer and has high heat exchange capacity and a large heat exchange area per unit volume.
Extensive theoretical and experimental research has been conducted on heat exchangers. In the realm of numerical simulation, studies have primarily focused on the thermal characteristics of local fin structures. The goal is to optimize the fin heat dissipation performance of the partial fins. The window opening angle is changed to study the heat transfer performance under different Reynolds air flow rates. However, applying this detailed method to a full-scale radiator is problematic due to the sheer volume of fins. The resulting computational burden is prohibitive, rendering this approach impractical for analyzing macroscopic flow and heat transfer characteristics.
In order to carry out three-dimensional simulation of the overall radiator model, three-dimensional numerical simulations of the fins were first carried out in this section. The partial fin flow and pressure drop characteristics at different flow rates were obtained by changing the air flow rate. The parameters required to obtain a porous medium model to replace the fins were then determined. Consequently, a porous medium model was adopted to approximate the finned structure of the full-scale radiator. Numerical simulations were conducted to resolve the velocity and temperature fields, and the results were validated against the data reported in article [19].
The research object in this paper is the unit parallel-flow heat exchanger consisting of double O-hole flat aluminum tube and U-shaped strip fin with louvers, as shown in Figure 4. It has a total length of 580 mm, a height of 424 mm, and a thickness of 36 mm. The equivalent diameter of the small passages in the tubes is 2.685 mm. The specific size parameters of the radiator and the fin louver parameters are shown in Table 1.

2.2.1. Partial Fin

The partial fin geometry model is a unit taken along the height direction between the flat tubes of the actual radiator. The partial fin model consists of two rows of double O-hole flat aluminum tubes and U-shaped strip fins with louvers. The cross-section is shown in Figure 5. The height is 3.1 mm, the width is 11.6 mm, and the length is 36 mm.
The calculation range of the partial fin model is 40 mm × 3.1 mm, with a calculated domain length of 100 mm. The fin region is 14 mm from the inlet and 50 mm from the exit, and the boundary between the left and right sides is 14.2 mm. The air flow is modeled as a three-dimensional, steady-state, turbulent, and incompressible fluid. The standard k ε model was employed to simulate turbulence, with no-slip boundary conditions applied to the walls. Regarding the boundaries, a velocity inlet was specified with flow rates ranging from 2 to 10 m3/s, while the outlet was defined as a pressure outlet with zero-gauge pressure.
The pressure and velocity distributions of the partial fin model at different air inlet flow rates were obtained by simulation. The fin surface pressure and velocity distribution cloud diagrams at an inlet air flow rate of 10 m3/s are shown in Figure 6.
The pressure distribution at different flow rates was obtained by changing the inlet flow rate of the model. In this study, the inlet volumetric flow rate of the partial fin model varied from 2 m3/s to 10 m3/s. Consequently, the variations in pressure drop between the inlet and outlet were monitored. A quadratic fit was made to the velocity and pressure in the model, and the quadratic fit curve is shown in Figure 7. The fitted resistance coefficients mainly influence the pressure drop prediction of the radiator, while their effect on the overall thermal performance remains limited within the calibrated operating range. The inertial drag coefficient C and viscous drag coefficient 1 α were obtained from the fitted relationship:
Δ p = μ α v + C ρ v 2 2 Δ L
C 2 = 2 a ρ Δ L
1 α = b μ Δ L

2.2.2. Radiator

The geometry of the radiator and its cross-sectional structure are shown in Figure 8. The porous medium model is used instead of the real fin by adding a momentum source term. The left round tube is the coolant inlet area, the front is the air inlet area, and the porous medium area is located between the plates. The flat tubes are spaced apart from the porous medium. The drag coefficients and effective thermal conductivity, derived from the fin model and phase properties, respectively, are incorporated into the governing equations. The conservation laws for the 3D incompressible flow include mass (continuity), momentum, and energy.
(1)
Governing equations
Continuity equation:
u i u x = 0
Momentum equation:
u i t + x j ( u i u j ) = 1 ρ ρ x i + μ ρ x j ( u i x j + u j x i )
Energy equation:
T t + u i ( u i T ) = k ρ C p 2 T u i 2
Given the high density of fins and the resulting geometric complexity, direct simulation of the full-scale structure is computationally prohibitive. Consequently, a porous media formulation is employed to approximate the aerodynamic resistance. In this approach, the flow resistance is modeled by introducing a negative momentum source term into the governing equations, defined as follows:
S i = j = 1 3 D i j μ v j + j = 1 3 C i j 1 2 ρ v j v j
where C i j is the third-order inertia resistance matrix and D i j is the third-order viscous resistance matrix.
The effective thermal conductivity within the porous domain is computed as the volume-weighted average of the thermal conductivities of the fluid and solid phases:
k e f f = γ k f + 1 γ k s
In this equation, γ stands for the medium’s porosity. The terms k f and k s correspond to the thermal conductivity of the fluid and solid phases, respectively.
(2)
Parameters in the model
A 50% aqueous ethylene glycol solution is employed as the coolant. The air and coolant properties, evaluated at the inlet temperature, are listed in Table 2.
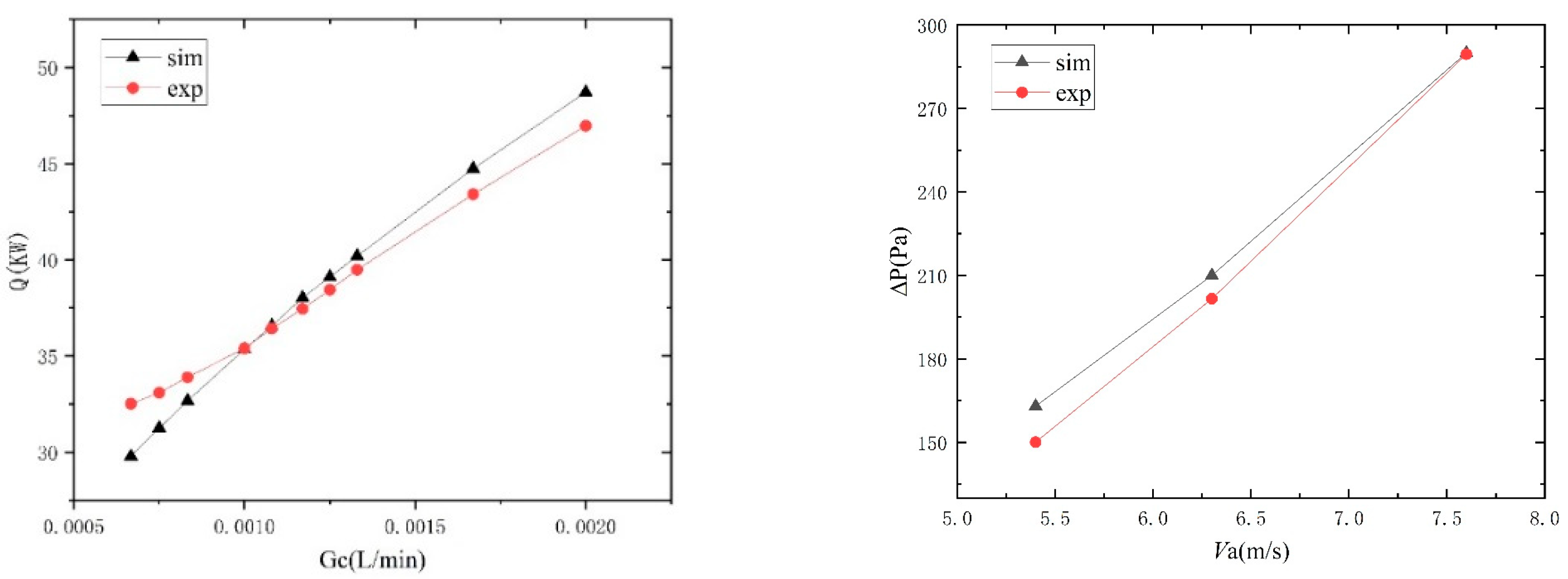
For working conditions 1–10, the air inlet temperature is 38 °C, the coolant inlet temperature is 85 °C, and the air flow rate is 7.6 m / s . Only the coolant inlet mass flow rate is varied across these ten sets of working conditions. For working conditions 11–13, only the air flow rate is varied, with speed values of 5.4, 6.3, and 7.6 m / s . The coolant inlet mass flow is varied only among groups 2–5. The detailed operating parameters are summarized in Table 3.
The overall radiator model is mainly divided into seven parts: air inlet area, air outlet area, coolant inlet area, coolant outlet area, coolant flow path, flat tube area, and porous medium area. The computational model is divided into distinct fluid and solid zones. The coolant loop occupies the inlet/outlet sections and the flow path, whereas the air inlet, outlet, and porous regions are filled with air. The solid flat tube domain is initialized at the ambient air temperature. Regarding thermal boundaries, heat exchange occurs at the coolant–tube interface, while the interface with the porous zone is set as thermally insulated. The porous resistance is configured to act solely along the principal air flow vector.

2.2.3. Fan

A three-dimensional fan model was constructed to obtain the flow field data. The model geometry and its corresponding computational domain are illustrated in Figure 9.
The flow field data of the fan were acquired via numerical simulation, as illustrated in Figure 10.

2.3. Coupled Thermal Management Model

After obtaining the flow field data of fan and the radiator model, simulations of the coupled model were performed. The 3D CFD-derived air flow and heat transfer data are mapped into the 1D model through spatially resolved lookup tables and velocity matrices, enabling stable transient simulations while preserving non-uniform flow characteristics. To ensure that the stack temperature remains within a specified range, a thermostat was added to the circuit. The constructed circuit is shown in Figure 11.

Initial Conditions

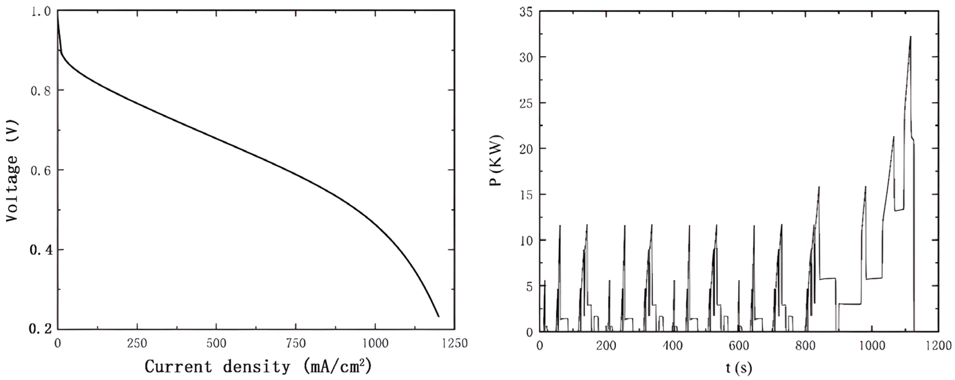
The simulation environment is set to an ambient temperature of 25 °C. Considering the PEMFC’s optimal operating range (60–80 °C), the stack temperature is initialized at 70 °C. The stack specifications include a mass of 50 kg, a total of 330 cells, and an active area of 800 cm2. Figure 12 illustrates the polarization curve and the corresponding power demand. Additionally, the humidifier is configured to maintain a target relative humidity of 90%, while the hydrogen supply is regulated from an initial tank pressure of 70 MPa to an outlet pressure of 1.5 MPa.

3. Results and Discussion

3.1. Thermal–Hydraulic Characteristics

The coolant enters via the inlet, traverses the flat tubes, and discharges through the outlet. The temperature profile along this flow path is illustrated in Figure 13. As shown in Figure 13, the temperature of the coolant decreases from left to right. The upper and lower flow passages are not in contact with cold air; therefore, their temperatures are higher. The temperature drop in the middle channel is more pronounced. The temperature difference between the coolant inlet and outlet reaches 12 K.
The heat exchange capacity of the first set of working conditions was calculated and compared with the experimental data. The maximum absolute error between experimental and simulation results was 2.73 kW. The maximum relative error was 8.3%, with the error distribution falling within the range of −3.7% to 8.3%. There is a consistent trend in heat transfer change, which indicates that replacing the real fins with a porous medium model can approximate the heat transfer of the real heat exchanger.
Figure 14 illustrates the pressure distribution of air passing through the porous medium. As observed, the pressure decreases along the flow direction, resulting in an average pressure drop of approximately 290 Pa across the region. The gas-side pressure drop under the given working conditions was compared with the experimental results in the article. The maximum absolute error was recorded at 12.926 Pa, with a maximum relative error of 7.9%. As illustrated in Figure 15, the relative error falls within the range of −0.2% to 7.9%. These results demonstrate that the porous media model is valid for this application.

3.2. Thermal Management Model Performance

Figure 16 illustrates variations in stack temperature. Specifically, it compares the thermal behavior of the fuel cell stack under two distinct conditions: when the thermostatic valve is fully closed and when it operates with intermittent opening. The stack’s limit temperature is reduced from 97 °C to a range of 70–77 °C, maintaining a suitable operating temperature. Valve closure inhibits coolant circulation, preventing heat dissipation and causing a sharp rise in stack temperature. Conversely, the intermittent strategy opens the valve once the temperature exceeds 70 °C. This enables coolant to flow through the radiator and reject waste heat, effectively cooling the system. Once the temperature drops below 70 °C, the valve closes, thereby effectively maintaining the stack temperature at approximately 70 °C.
By monitoring the coolant inlet and outlet temperatures, it is observed that both remain constant at the initial stage, corresponding to the starting temperature of 70 °C. As the thermal load accumulates and the thermostatic valve opens, the outlet temperature decreases significantly, maintaining a temperature difference of approximately 8 K below the inlet temperature. This indicates that the system effectively dissipates heat.

4. Conclusions

The thermal management loop is built according to the working characteristics of FCVs; however, there are various limitations in a purely one-dimensional thermal management loop. This paper starts with the three-dimensional structure of the radiator and fan and subsequently optimizes the 1D circuit using the 3D model.
(1)
A simplified three-dimensional radiator model was established utilizing a porous medium approach to represent the finned region. This method significantly reduces computational cost (or time) while maintaining physical fidelity. Validation against experimental data from the literature indicates that the simulation error is small and falls within an acceptable range. Consequently, this model serves as a reliable tool for structural optimization and can effectively guide the design of critical geometric parameters, such as radiator size, louver angle, and fin spacing.
(2)
A fan model was established to obtain flow field data. Parameters such as fan structure and fan installation angle can be used to obtain different flow field data, thereby guiding optimization of the loop.
(3)
The three-dimensional models were coupled with the one-dimensional loop for simulation, reducing computation time while improving simulation accuracy. The simulation results show that the built loop keeps the stack temperature within the proper temperature range. However, the problem is that the thermal response of the cooling circuit is slow when the temperature suddenly rises sharply, preventing timely heat removal heat from the stack. This can be improved by optimizing the circuit, providing a viable path for optimizing FCV thermal management systems.

Author Contributions

Methodology, Y.Z.; Software, L.Z.; Validation, X.M.; Formal analysis, H.L.; Investigation, Y.Z.; Data curation, X.L.; Writing—original draft, Y.Z.; Writing—review & editing, Z.Z. and H.Z.; Supervision, Z.Z. All authors have read and agreed to the published version of the manuscript.

Funding

The authors would like to thank the Fundamental Research Funds for the Central Universities (No. 2023JBZY022) for supporting this work.

Data Availability Statement

The original contributions presented in this study are included in the article. Further inquiries can be directed to the corresponding author.

Conflicts of Interest

The authors declare no conflicts of interest.

References

  1. Phogat, P.; Chand, B.; Shreya; Jha, R.; Singh, S. Hydrogen and methanol fuel cells: A comprehensive analysis of challenges, advances, and future prospects in clean energy. Int. J. Hydrogen Energy 2025, 109, 465–485. [Google Scholar] [CrossRef]
  2. Wang, B.; Pan, W.; Hu, Z.; Zhang, G.; Tang, L.; Chen, X.; Wang, F. Comprehensive investigation on impacts of flow uniformity on performance of large-scale PEM fuel cells. Energy 2025, 332, 137039. [Google Scholar] [CrossRef]
  3. Benavides Zadorozhna, D.A.; Sierra Grajeda, J.M.T.; Ordoñez López, L.C.; Benavides, O.; Figueroa Ramírez, S.J. Assessing the accuracy and replicability of water formation modeling in PEM fuel cells: A sensitivity analysis of key performance parameters using computational fluid dynamics. Int. J. Hydrogen Energy 2025, 141, 1141–1152. [Google Scholar] [CrossRef]
  4. Islam, M.R.; Shabani, B.; Rosengarten, G.; Andrews, J. The potential of using nanofluids in PEM fuel cell cooling systems: A review. Renew. Sustain. Energy Rev. 2015, 48, 523–539. [Google Scholar] [CrossRef]
  5. Xu, J.; Zhang, C.; Wan, Z.; Chen, X.; Chan, S.H.; Tu, Z. Progress and perspectives of integrated thermal management systems in PEM fuel cell vehicles: A review. Renew. Sustain. Energy Rev. 2022, 155, 111908. [Google Scholar] [CrossRef]
  6. Song, K.; Hou, T.; Jiang, J.; Grigoriev, S.A.; Fan, F.; Qin, J.; Wang, Z.; Sun, C. Thermal management of liquid-cooled proton exchange membrane fuel cell: A review. J. Power Sources 2025, 648, 237227. [Google Scholar] [CrossRef]
  7. Fly, A.; Thring, R.H. A comparison of evaporative and liquid cooling methods for fuel cell vehicles. Int. J. Hydrogen Energy 2016, 41, 14217–14229. [Google Scholar] [CrossRef]
  8. Lee, H.-S.; Cho, C.-W.; Seo, J.-H.; Lee, M.-Y. Cooling Performance Characteristics of the Stack Thermal Management System for Fuel Cell Electric Vehicles under Actual Driving Conditions. Energies 2016, 9, 320. [Google Scholar] [CrossRef]
  9. Zhang, Q.; Xu, L.; Li, J.; Ouyang, M. Performance prediction of proton exchange membrane fuel cell engine thermal management system using 1D and 3D integrating numerical simulation. Int. J. Hydrogen Energy 2018, 43, 1736–1748. [Google Scholar] [CrossRef]
  10. Song, D.; Wu, Q.; Huang, Y.; Zeng, X.; Yang, D. Energy-thermal collaborative management considering powertrain thermal characteristics for fuel cell vehicles in low-temperature environment. Energy 2025, 320, 135102. [Google Scholar] [CrossRef]
  11. Tan, P.; Xu, L.; Fang, L.; Zhuang, C.; Jiang, Z.; Lou, D.; Zhang, Y.; Hu, Z. Energy analysis and efficiency optimization of a fuel cell passenger vehicle based on energy flow distribution and thermal management under various driving conditions. Energy 2025, 340, 139003. [Google Scholar] [CrossRef]
  12. Yang, Q.; Zeng, T.; Zhang, C.; Zhou, W.; Xu, L.; Zhou, J.; Jiang, P.; Jiang, S. Modeling and simulation of vehicle integrated thermal management system for a fuel cell hybrid vehicle. Energy Convers. Manag. 2023, 278, 116745. [Google Scholar] [CrossRef]
  13. Ferreira, R.B.; Santos, D.F.M.; Pinto, A.M.F.R.; Falcão, D.S. Development and testing of a PEM fuel cell stack envisioning unmanned aerial vehicles applications. Int. J. Hydrogen Energy 2024, 51, 1345–1353. [Google Scholar] [CrossRef]
  14. Ryu, K.; Lee, K.-S. Generalized heat-transfer and fluid-flow correlations for corrugated louvered fins. Int. J. Heat Mass Transf. 2015, 83, 604–612. [Google Scholar] [CrossRef]
  15. Subhedar, D.G.; Ramani, B.M.; Gupta, A. Experimental investigation of heat transfer potential of Al2O3/Water-Mono Ethylene Glycol nanofluids as a car radiator coolant. Case Stud. Therm. Eng. 2018, 11, 26–34. [Google Scholar] [CrossRef]
  16. Park, Y.; Kim, J.; Oh, J.; Han, U.; Lee, H. Multi-objective optimization of an offset strip fin heat exchanger for waste heat recovery in electric vehicles. Appl. Therm. Eng. 2023, 228, 120533. [Google Scholar] [CrossRef]
  17. Mohamed Souby, M.; Prabakaran, R.; Kim, S.C. Enhancing heat transfer in fuel cell stack radiators: A spray cooling approach with a reticulated foam surface. Energy 2025, 332, 137270. [Google Scholar] [CrossRef]
  18. Wang, T.; Tian, Z.; Gu, B.; Wu, B.; Ma, H.; Qian, C. Experimental study on the liquid-side characteristics of meso-channel heat exchangers in fuel cell vehicles. Appl. Therm. Eng. 2016, 96, 258–266. [Google Scholar] [CrossRef]
  19. Oliveira, G.A.; Cardenas Contreras, E.M.; Bandarra Filho, E.P. Experimental study on the heat transfer of MWCNT/water nanofluid flowing in a car radiator. Appl. Therm. Eng. 2017, 111, 1450–1456. [Google Scholar] [CrossRef]
  20. Gong, C.; Shen, J.; Yu, Y.; Wang, K.; Tu, Z. A novel radiator structure for enhanced heat transfer used in PEM fuel cell vehicle. Int. J. Heat Mass Transf. 2020, 157, 119926. [Google Scholar] [CrossRef]
  21. Gong, C.; Du, Y.; Yu, Y.; Chang, H.; Luo, X.; Tu, Z. Numerical and experimental investigation of enhanced heat transfer radiator through air deflection used in fuel cell vehicles. Int. J. Heat Mass Transf. 2022, 183, 122205. [Google Scholar] [CrossRef]
  22. Jung, G.; Kim, J.; Choi, H.; Lee, H. Multi-objective optimization of an offset strip fin heat exchanger applied to fuel cell electric vehicles for cooperative cooling. Appl. Therm. Eng. 2025, 268, 125832. [Google Scholar] [CrossRef]
  23. Jiang, G.; Liu, Y.; Liu, C. Investigation on liquid thermal conductivity of ethylene glycol (EG)/water mixtures: A comparative experimental and molecular dynamics simulation study. J. Mol. Liq. 2023, 384, 122268. [Google Scholar] [CrossRef]
Figure 1. Fuel cell stack thermal management system.
Figure 1. Fuel cell stack thermal management system.
Batteries 12 00026 g001
Figure 2. Proton exchange membrane fuel cell stack working mechanism model.
Figure 2. Proton exchange membrane fuel cell stack working mechanism model.
Batteries 12 00026 g002
Figure 3. Opening temperature of the thermostat.
Figure 3. Opening temperature of the thermostat.
Batteries 12 00026 g003
Figure 4. Unit parallel-flow heat exchanger.
Figure 4. Unit parallel-flow heat exchanger.
Batteries 12 00026 g004
Figure 5. Schematic diagram of partial fin.
Figure 5. Schematic diagram of partial fin.
Batteries 12 00026 g005
Figure 6. Velocity and pressure distribution of the partial fin.
Figure 6. Velocity and pressure distribution of the partial fin.
Batteries 12 00026 g006
Figure 7. Fitting curve.
Figure 7. Fitting curve.
Batteries 12 00026 g007
Figure 8. Simplified model of radiator.
Figure 8. Simplified model of radiator.
Batteries 12 00026 g008
Figure 9. Model and calculation domain of the fan (yellow area).
Figure 9. Model and calculation domain of the fan (yellow area).
Batteries 12 00026 g009
Figure 10. Flow field of the fan.
Figure 10. Flow field of the fan.
Batteries 12 00026 g010
Figure 11. Fuel cell stack cooling circuit.
Figure 11. Fuel cell stack cooling circuit.
Batteries 12 00026 g011
Figure 12. Full cell polarization curves and power demand.
Figure 12. Full cell polarization curves and power demand.
Batteries 12 00026 g012
Figure 13. Temperature distribution of coolant during heat exchange.
Figure 13. Temperature distribution of coolant during heat exchange.
Batteries 12 00026 g013
Figure 14. Pressure drops in porous media.
Figure 14. Pressure drops in porous media.
Batteries 12 00026 g014
Figure 15. Error analysis.
Figure 15. Error analysis.
Batteries 12 00026 g015
Figure 16. Stack and coolant temperature.
Figure 16. Stack and coolant temperature.
Batteries 12 00026 g016
Table 1. Structure parameters of the radiator.
Table 1. Structure parameters of the radiator.
ParametersValueParametersValue
Number of tubes T N 43Number of channels P N 2
Tube height T h [mm]2Fin height F h [mm]7.6
Tube width T w [mm]36Fin pitch F p [mm]1.54
Tube thickness δ t [mm]0.265Fin thickness δ f [mm]0.08
Louver height s h [mm]0.454Louver angle s θ [mm]27
Louver length s l [mm]6Louver pitch s p [mm]1.8
Table 2. Fluid parameters.
Table 2. Fluid parameters.
FluidAirCoolant
Density [kg/m3]1.1281034.77
Thermal conductivity [W/m·K]0.276 0.0584 + 0.0199 T 0.5 + 0.0003 p [23]
Specific heat [J/kg·K]10053532
Dynamic viscosity [pa/s] 1.91 × 10 5 8.9 × 10 4
Table 3. Working conditions.
Table 3. Working conditions.
Fluid1–10 (1)11–13 (2)14–16 (3)17–19 (4)20–23 (5)
t a i [°C]3838383838
t c i [°C]8572727272
V a [m/s]7.65.4, 6.3, 7.65.4, 6.3, 7.65.4, 6.3, 7.65.4, 6.3, 7.6
m c [kg/s]0.69–2.071.031.371.732.07
Disclaimer/Publisher’s Note: The statements, opinions and data contained in all publications are solely those of the individual author(s) and contributor(s) and not of MDPI and/or the editor(s). MDPI and/or the editor(s) disclaim responsibility for any injury to people or property resulting from any ideas, methods, instructions or products referred to in the content.

Share and Cite

MDPI and ACS Style

Zhou, Y.; Zhang, Z.; Zhang, H.; Li, H.; Meng, X.; Zhu, L.; Liao, X. Numerical Investigation of Heat Dissipation Components and Thermal Management System in PEM Fuel Cell Engines. Batteries 2026, 12, 26. https://doi.org/10.3390/batteries12010026

AMA Style

Zhou Y, Zhang Z, Zhang H, Li H, Meng X, Zhu L, Liao X. Numerical Investigation of Heat Dissipation Components and Thermal Management System in PEM Fuel Cell Engines. Batteries. 2026; 12(1):26. https://doi.org/10.3390/batteries12010026

Chicago/Turabian Style

Zhou, Yuchen, Zhuqian Zhang, Haojie Zhang, Heyao Li, Xianglong Meng, Luwei Zhu, and Xinyu Liao. 2026. "Numerical Investigation of Heat Dissipation Components and Thermal Management System in PEM Fuel Cell Engines" Batteries 12, no. 1: 26. https://doi.org/10.3390/batteries12010026

APA Style

Zhou, Y., Zhang, Z., Zhang, H., Li, H., Meng, X., Zhu, L., & Liao, X. (2026). Numerical Investigation of Heat Dissipation Components and Thermal Management System in PEM Fuel Cell Engines. Batteries, 12(1), 26. https://doi.org/10.3390/batteries12010026

Note that from the first issue of 2016, this journal uses article numbers instead of page numbers. See further details here.

Article Metrics

Back to TopTop