Lifecycle Evaluation of Lithium-Ion Batteries Under Fast Charging and Discharging Conditions
Abstract
1. Introduction
2. Materials
2.1. Commercial Lithium-Ion Cells
2.2. Experimental Setup
2.3. Electrochemical Impedance Spectroscopy (EIS)
2.4. Aging Protocol
3. Results
3.1. SoH Dependence in Fast Charging and Fast Discharging Operations
3.2. Q–Q0 Total Charge Analysis
3.3. Energy Consumption in the Charged and Discharged State
3.4. Spline Interpolation
4. Conclusions
Author Contributions
Funding
Data Availability Statement
Conflicts of Interest
References
- Manthiram, A. A reflection on lithium-ion battery cathode chemistry. Nat. Commun. 2020, 11, 1550. [Google Scholar] [CrossRef] [PubMed]
- Stallard, J.C.; Wheatcroft, L.; Booth, S.G.; Boston, R.; Corr, S.A.; De Volder, M.F.; Inkson, B.J.; Fleck, N.A. Mechanical properties of cathode materials for lithium-ion batteries. Joule 2022, 6, 984–1007. [Google Scholar] [CrossRef]
- Bridgewater, G.; Capener, M.J.; Brandon, J.; Lain, M.J.; Copley, M.; Kendrick, E. A comparison of Lithium-Ion cell performance across three different cell formats. Batteries 2021, 7, 38. [Google Scholar] [CrossRef]
- Zhao, S.; Guo, Z.; Yan, K.; Wan, S.; He, F.; Sun, B.; Wang, G. Towards high-energy-density lithium-ion batteries: Strategies for developing high-capacity lithium-rich cathode materials. Energy Storage Mater. 2021, 34, 716–734. [Google Scholar] [CrossRef]
- Zhang, X.; Han, Y.; Zhang, W. A Review of Factors Affecting the Lifespan of Lithium-ion Battery and its Health Estimation Methods. Trans. Electr. Electron. Mater. 2021, 22, 567–574. [Google Scholar] [CrossRef]
- Peng, X.; Lin, Y.; Wang, Y.; Li, Y.; Zhao, T. A lightweight localized high-concentration ether electrolyte for high-voltage Li-Ion and Li-metal batteries. Nano Energy 2022, 96, 107102. [Google Scholar] [CrossRef]
- Liu, G.; Wan, W.; Nie, Q.; Zhang, C.; Chen, X.; Lin, W.; Wei, X.; Huang, Y.; Li, J.; Wang, C. Controllable long-term lithium replenishment for enhancing energy density and cycle life of lithium-ion batteries. Energy Environ. Sci. 2024, 17, 1163–1174. [Google Scholar] [CrossRef]
- Xiao, S.; Huang, L.; Lv, W.; He, Y.-B. A highly efficient ion and electron conductive interlayer to achieve low self-discharge of lithium-sulfur batteries. ACS Appl. Mater. Interfaces 2022, 14, 1783–1790. [Google Scholar] [CrossRef]
- He, J.; Meng, J.; Huang, Y. Challenges and recent progress in fast-charging lithium-ion battery materials. J. Power Sources 2023, 570, 232965. [Google Scholar] [CrossRef]
- Rodrigues, M.-T.F.; Babu, G.; Gullapalli, H.; Kalaga, K.; Sayed, F.N.; Kato, K.; Joyner, J.; Ajayan, P.M. A materials perspective on Li-ion batteries at extreme temperatures. Nat. Energy 2017, 2, 17108. [Google Scholar] [CrossRef]
- Yudhistira, R.; Khatiwada, D.; Sanchez, F. A comparative life cycle assessment of lithium-ion and lead-acid batteries for grid energy storage. J. Clean. Prod. 2022, 358, 131999. [Google Scholar] [CrossRef]
- Ayeng’O, S.P.; Schirmer, T.; Kairies, K.-P.; Axelsen, H.; Sauer, D.U. Comparison of off-grid power supply systems using lead-acid and lithium-ion batteries. Sol. Energy 2018, 162, 140–152. [Google Scholar] [CrossRef]
- Hu, J.; Zhang, C.; Wang, Y.; Zhang, P.; Zhang, L.; Wang, J.; Lao, L. Multisource information fusion based parameterization study of lithium-ion battery electrolyte leakage. J. Energy Storage 2023, 73, 109017. [Google Scholar] [CrossRef]
- Tran, M.-K.; DaCosta, A.; Mevawalla, A.; Panchal, S.; Fowler, M. Comparative study of equivalent circuit model performance in four common lithium-ion batteries: LFP, NMC, LMO, NCA. Batteries 2021, 7, 51. [Google Scholar] [CrossRef]
- Wu, Q.; Zhang, B.; Lu, Y. Progress and perspective of high-voltage lithium cobalt oxide in lithium-ion batteries. J. Energy Chem. 2022, 74, 283–308. [Google Scholar] [CrossRef]
- Baazizi, M.; Karbak, M.; Aqil, M.; Sayah, S.; Dahbi, M.; Ghamouss, F. High-valence surface modified LMO cathode materials for lithium-ion batteries: Diffusion kinetics and operando thermal stability investigation. ACS Appl. Mater. Interfaces 2023, 15, 40385–40396. [Google Scholar] [CrossRef]
- Li, T.; Yuan, X.-Z.; Zhang, L.; Song, D.; Shi, K.; Bock, C. Degradation mechanisms and mitigation strategies of nickel-rich NMC-based lithium-ion batteries. Electrochem. Energy Rev. 2020, 3, 43–80. [Google Scholar] [CrossRef]
- Zeng, C.; Zheng, R.; Fan, F.; Wang, X.; Tian, G.; Liu, S.; Liu, P.; Wang, C.; Wang, S.; Shu, C. Phase compatible surface engineering to boost the cycling stability of single-crystalline Ni-rich cathode for high energy density lithium-ion batteries. Energy Storage Mater. 2024, 72, 103788. [Google Scholar] [CrossRef]
- Zeng, C.; Fan, F.; Zheng, R.; Wang, X.; Tian, G.; Liu, S.; Liu, P.; Wang, C.; Wang, S.; Shu, C. Structure and Charge Regulation Strategy Enabling Superior Cycling Stability of Ni-Rich Cathode Materials. ACS Appl. Mater. Interfaces 2024, 16, 11377–11388. [Google Scholar] [CrossRef]
- Fan, F.; Zheng, R.; Zeng, T.; Xu, H.; Wen, X.; Wang, X.; Tian, G.; Wang, S.; Zeng, C.; Xiang, W.; et al. Cation-ordered Ni-rich positive electrode material with superior chemical and structural stability enabled by atomic substitution for lithium-ion batteries. Chem. Eng. J. 2023, 477, 147181. [Google Scholar] [CrossRef]
- Yan, Y.; Shu, C.; Zheng, R.; Li, M.; Ran, Z.; He, M.; Hu, A.; Zeng, T.; Xu, H.; Zeng, Y. Modulating Sand’s time by ion-transport-enhancement toward dendrite-free lithium metal anode. Nano Res. 2022, 15, 3150–3160. [Google Scholar] [CrossRef]
- Li, W.; Wang, H.; Zhang, Y.; Ouyang, M. Flammability characteristics of the battery vent gas: A case of NCA and LFP lithium-ion batteries during external heating abuse. J. Energy Storage 2019, 24, 100775. [Google Scholar] [CrossRef]
- Julien, C.M.; Mauger, A. Fabrication of Li4Ti5O12 (LTO) as Anode Material for Li-Ion Batteries. Micromachines 2024, 15, 310. [Google Scholar] [CrossRef]
- Liu, J.; Zhou, Y.; Yan, T.; Gao, X.-P. Perspectives of high-performance Li-S battery electrolytes. Adv. Funct. Mater. 2024, 34, 2309625. [Google Scholar] [CrossRef]
- Xia, F.; Wang, K.; Chen, J. State of health and remaining useful life prediction of lithium-ion batteries based on a disturbance-free incremental capacity and differential voltage analysis method. J. Energy Storage 2023, 64, 107161. [Google Scholar] [CrossRef]
- Lin, Q.; Wang, J.; Xiong, R.; Shen, W.; He, H. Towards a smarter battery management system: A critical review on optimal charging methods of lithium ion batteries. Energy 2019, 183, 220–234. [Google Scholar] [CrossRef]
- Li, Y.; Guo, H.; Qi, F.; Guo, Z.; Li, M. Comparative Study of the Influence of Open Circuit Voltage Tests on State of Charge Online Estimation for Lithium-Ion Batteries. IEEE Access 2020, 8, 17535–17547. [Google Scholar] [CrossRef]
- Zhu, J.; Wang, Y.; Huang, Y.; Gopaluni, R.B.; Cao, Y.; Heere, M.; Muhlbauer, M.J.; Mereacre, L.; Dai, H.; Liu, X.; et al. Data-driven capacity estimation of commercial lithium-ion batteries from voltage relaxation. Nat. Commun. 2022, 13, 2261. [Google Scholar] [CrossRef]
- Choi, W.; Shin, H.-C.; Kim, J.M.; Choi, J.-Y.; Yoon, W.-S. Modeling and Applications of Electrochemical Impedance Spectroscopy (EIS) for Lithium-ion Batteries. J. Electrochem. Sci. Technol. 2020, 11, 1–13. [Google Scholar] [CrossRef]
- Takeno, M.; Fukutsuka, T.; Miyazaki, K.; Abe, T. Investigation of electronic resistance in lithium-ion batteries by AC impedance spectroscopy. J. Electrochem. Soc. 2017, 164, A3862–A3867. [Google Scholar] [CrossRef]
- Huang, H.; Meng, J.; Wang, Y.; Feng, F.; Cai, L.; Peng, J.; Liu, T. A comprehensively optimized lithium-ion battery state-of-health estimator based on Local Coulomb Counting Curve. Appl. Energy 2022, 322, 119469. [Google Scholar] [CrossRef]
- Mayilvahanan, K.S.; Takeuchi, K.J.; Takeuchi, E.S.; Marschilok, A.C.; West, A.C. Supervised learning of synthetic Big Data for Li-ion battery degradation diagnosis. Batter. Supercaps 2022, 5, e202100166. [Google Scholar] [CrossRef]
- Zhang, Y.; Li, Y.-F. Prognostics and health management of Lithium-ion battery using deep learning methods: A review. Renew. Sustain. Energy Rev. 2022, 161, 112282. [Google Scholar] [CrossRef]
- Hossain, M.; Haque, M.; Arif, M. Kalman filtering techniques for the online model parameters and state of charge estimation of the Li-ion batteries: A comparative analysis. J. Energy Storage 2022, 51, 104174. [Google Scholar] [CrossRef]
- Motapon, S.N.; Lachance, E.; Dessaint, L.-A.; Al-Haddad, K. A Generic Cycle Life Model for Lithium-Ion Batteries Based on Fatigue Theory and Equivalent Cycle Counting. IEEE Open J. Ind. Electron. Soc. 2020, 1, 207–217. [Google Scholar] [CrossRef]
- Carnovale, A.; Li, X. A modeling and experimental study of capacity fade for lithium-ion batteries. Energy AI 2020, 2, 100032. [Google Scholar] [CrossRef]
- Vedel, P.; Hubka, L. Linear regression model of Li-ion battery capacity losing rate based on equivalent circuit model parameters and operation modes. In Proceedings of the 2022 International Conference on Smart Systems and Technologies (SST), Osijek, Croatia, 19–21 October 2022; pp. 243–248. [Google Scholar]
- Wang, G.; Lyu, Z.; Li, X. An optimized random forest regression model for Li-ion battery progonostics and health management. Batteries 2023, 9, 332. [Google Scholar] [CrossRef]
- Yao, P.; Liu, X. Electrochemical and thermal analysis of lithium-ion batteries based on variable solid-state diffusion coefficient concept. World Electr. Veh. J. 2024, 15, 416. [Google Scholar] [CrossRef]
- Dong, Y.; Chen, K.; Zhang, G.; Li, R. Joint estimation of state of charge and state of health of lithium-ion batteries based on stacking machine learning algorithm. World Electr. Veh. J. 2024, 15, 75. [Google Scholar] [CrossRef]
- Tran, M.-K.; Mathew, M.; Janhunen, S.; Panchal, S.; Raahemifar, K.; Fraser, R.; Fowler, M. A comprehensive equivalent circuit model for lithium-ion batteries, incorporating the effects of state of health, state of charge, and temperature on model parameters. J. Energy Storage 2021, 43, 103252. [Google Scholar] [CrossRef]
- Ding, X.; Zhang, D.; Cheng, J.; Wang, B.; Luk, P.C.K. An improved Thevenin model of lithium-ion battery with high accuracy for electric vehicles. Appl. Energy 2019, 254, 113615. [Google Scholar] [CrossRef]
- Simic, M.; Stavrakis, A.K.; Jeoti, V.; Stojanovic, G.M. A Randles Circuit Parameter Estimation of Li-Ion Batteries With Embedded Hardware. IEEE Trans. Instrum. Meas. 2022, 71, 1004312. [Google Scholar] [CrossRef]
- Hassanaly, M.; Weddle, P.J.; King, R.N.; De, S.; Doostan, A.; Randall, C.R.; Dufek, E.J.; Colclasure, A.M.; Smith, K. PINN surrogate of Li-ion battery models for parameter inference, Part II: Regularization and application of the pseudo-2D model. J. Energy Storage 2024, 98, 113104. [Google Scholar] [CrossRef]
- Máthé, L.; Grosu, I. Transport Through a Quantum Dot with Electron-Phonon Interaction. Mater. Today Proc. 2018, 5, 15878–15887. [Google Scholar] [CrossRef]
- Máthé, L.; Grosu, I. Nonequilibrium Kondo effect in a graphene-coupled quantum dot in the presence of a magnetic field. Beilstein J. Nanotechnol. 2020, 11, 225–239. [Google Scholar] [CrossRef]
- Mustafa, H.; Bourelly, C.; Vitelli, M.; Milano, F.; Molinara, M.; Ferrigno, L. SoC estimation on Li-ion batteries: A new EIS-based dataset for data-driven applications. Data Brief 2024, 57, 110947. [Google Scholar] [CrossRef]
- Zhang, S.; Yuan, W.; Wang, Y.; Cheng, S.; Wang, J. Early-stage lifetime prediction for lithium-ion batteries: Linear regression-ensemble learning hybrid model based on impedance spectroscopy geometry. J. Power Sources 2024, 617, 235153. [Google Scholar] [CrossRef]
- Nunes, H.; Martinho, J.; Fermeiro, J.; Pombo, J.; Mariano, S.; Calado, M.D.R. Impedance Analysis and Parameter Estimation of Lithium-Ion Batteries Using the EIS Technique. IEEE Trans. Ind. Appl. 2024, 60, 5048–5060. [Google Scholar] [CrossRef]
- Zhu, H.; Evans, T.A.P.; Weddle, P.J.; Colclasure, A.M.; Chen, B.-R.; Tanim, T.R.; Vincent, T.L.; Kee, R.J. Extracting and Interpreting Electrochemical Impedance Spectra (EIS) from Physics-Based Models of Lithium-Ion Batteries. J. Electrochem. Soc. 2024, 171, 050512. [Google Scholar] [CrossRef]
- Jones, P.K.; Stimming, U.; Lee, A.A. Impedance-based forecasting of lithium-ion battery performance amid uneven usage. Nat. Commun. 2022, 13, 4806. [Google Scholar] [CrossRef]
- Li, C.; Yang, L.; Li, Q.; Zhang, Q.; Zhou, Z.; Meng, Y.; Zhao, X.; Wang, L.; Zhang, S.; Li, Y.; et al. SOH estimation method for lithium-ion batteries based on an improved equivalent circuit model via electrochemical impedance spectroscopy. J. Energy Storage 2024, 86, 111167. [Google Scholar] [CrossRef]
- Júnior, C.A.R.; Sanseverino, E.R.; Gallo, P.; Amaral, M.M.; Koch, D.; Kotak, Y.; Diel, S.; Walter, G.; Schweiger, H.-G.; Zanin, H. Unraveling the degradation mechanisms of lithium-ion batteries. Energies 2024, 17, 3372. Available online: https://opus4.kobv.de/opus4-haw/frontdoor/index/index/docId/4908 (accessed on 1 December 2024). [CrossRef]
- Meddings, N.; Heinrich, M.; Overney, F.; Lee, J.-S.; Ruiz, V.; Napolitano, E.; Seitz, S.; Hinds, G.; Raccichini, R.; Gaberšček, M.; et al. Application of electrochemical impedance spectroscopy to commercial Li-ion cells: A review. J. Power Sources 2020, 480, 228742. [Google Scholar] [CrossRef]
- Zhai, N.S.; Li, M.W.; Wang, W.L.; Zhang, D.L.; Xu, D.G. The application of the EIS on Li-ion batteries measurements. J. Phys. Conf. Ser. 2006, 48, 1157–1161. [Google Scholar] [CrossRef]
- Mingant, R.; Bernard, J.; Moynot, V.S.; Delaille, A.; Mailley, S.; Hognon, J.-L.; Huet, F. EIS Measurements for Determining the SoC and SoH of Li-Ion Batteries. ECS Trans. 2011, 33, 41–53. [Google Scholar] [CrossRef]
- Wildfeuer, L.; Gieler, P.; Karger, A. Combining the Distribution of Relaxation Times from EIS and Time-Domain Data for Parameterizing Equivalent Circuit Models of Lithium-Ion Batteries. Batteries 2021, 7, 52. [Google Scholar] [CrossRef]
- Xia, Z.; Abu Qahouq, J.A. Evaluation of Parameter Variations of Equivalent Circuit Model of Lithium-ion Battery under Different SOH Conditions. In Proceedings of the 2020 IEEE Energy Conversion Congress and Exposition (ECCE), Detroit, MI, USA, 11–15 October 2020; pp. 1519–1523. [Google Scholar]
- Available online: https://www.dnkpower.com/ncr18650b/ (accessed on 3 December 2024).
- Available online: https://imrbatteries.com/products/panasonic-ncr18650b-3350mah-4-87a-battery (accessed on 3 December 2024).
- Available online: https://radenite.com/product.php?prodid=0791126833886 (accessed on 1 December 2024).
- Available online: https://www.batteryspace.com/prod-specs/ncr18650b.pdf (accessed on 1 December 2024).
- Available online: https://www.biologic.net/products/vsp-potentiostat/ (accessed on 3 December 2024).
- Available online: https://mmrc.caltech.edu/BioLogic%20Echem/ECLab%20Manuals/EC-Lab%20software%20Techniques%20and%20Applications%20manual.pdf (accessed on 1 December 2024).
- Li, Y.; Luo, L.; Zhang, C.; Liu, H. State of Health Assessment for Lithium-Ion Batteries Using Incremental Energy Analysis and Bidirectional Long Short-Term Memory. World Electr. Veh. J. 2023, 14, 188. [Google Scholar] [CrossRef]
- Bruj, O.; Calborean, A. EIS ageing prediction of lithium-ion batteries depending on charge rates. Batteries 2024, 10, 247. [Google Scholar] [CrossRef]
- Liu, Y.; Wu, L. Recent advances of cathode materials for zinc-ion hybrid capacitors. Nano Energy 2023, 109, 108290. [Google Scholar] [CrossRef]
- Available online: https://www.biologic.net/documents/high-precision-coulometry-hpc-battery-application-note-53/ (accessed on 1 December 2024).
- Available online: http://labman.phys.utk.edu/phys222core/modules/m3/RC%20circuits.html (accessed on 1 December 2024).
- Available online: https://www.bbc.co.uk/bitesize/guides/zbf6cqt/revision/1 (accessed on 1 December 2024).
- Available online: https://physics.info/electric-power/summary.shtml (accessed on 1 December 2024).
- Available online: https://eng.libretexts.org/Courses/Oxnard_College/Matlab_and_Octave_Programming_for_STEM_Applications_(Smith)/10%3A__Interpolation_and_Curve_Fitting/10.02%3A_Nonlinear_Interpolation (accessed on 1 December 2024).










![]() | Technical specifications | Dimensions | ||
| Rated capacity at 25 °C | 3200 mAh | Length | 65.3 mm | |
| Nominal capacity at 25 °C | Min. −3250 mAh | Diameter | 18.5 mm | |
| Typ. 3350 mAh | Weight | 47.5 g | ||
| Nominal voltage | 3.6 V | Packaging: industrial bulk (for industrial use) | ||
| Charging method | CC–CV | |||
| Charging current | 1625 mA | |||
| Charging voltage | 4.2 V | |||
| Charging time | 4 h | |||
| Energy density | 676 Wh/L | |||
| Cathode material | Nickel oxide | |||
| RMSE | B1 | B2 | B3 |
|---|---|---|---|
| Charged | 0.242 | 0.288 | 0.121 |
| Discharged | 0.180 | 0.184 | 0.107 |
| Battery | B1 | B2 | B3 |
|---|---|---|---|
| Life cycles | 200 | 95 | 30 |
| SOH [%] | 14 | 37.4 | 81.6 |
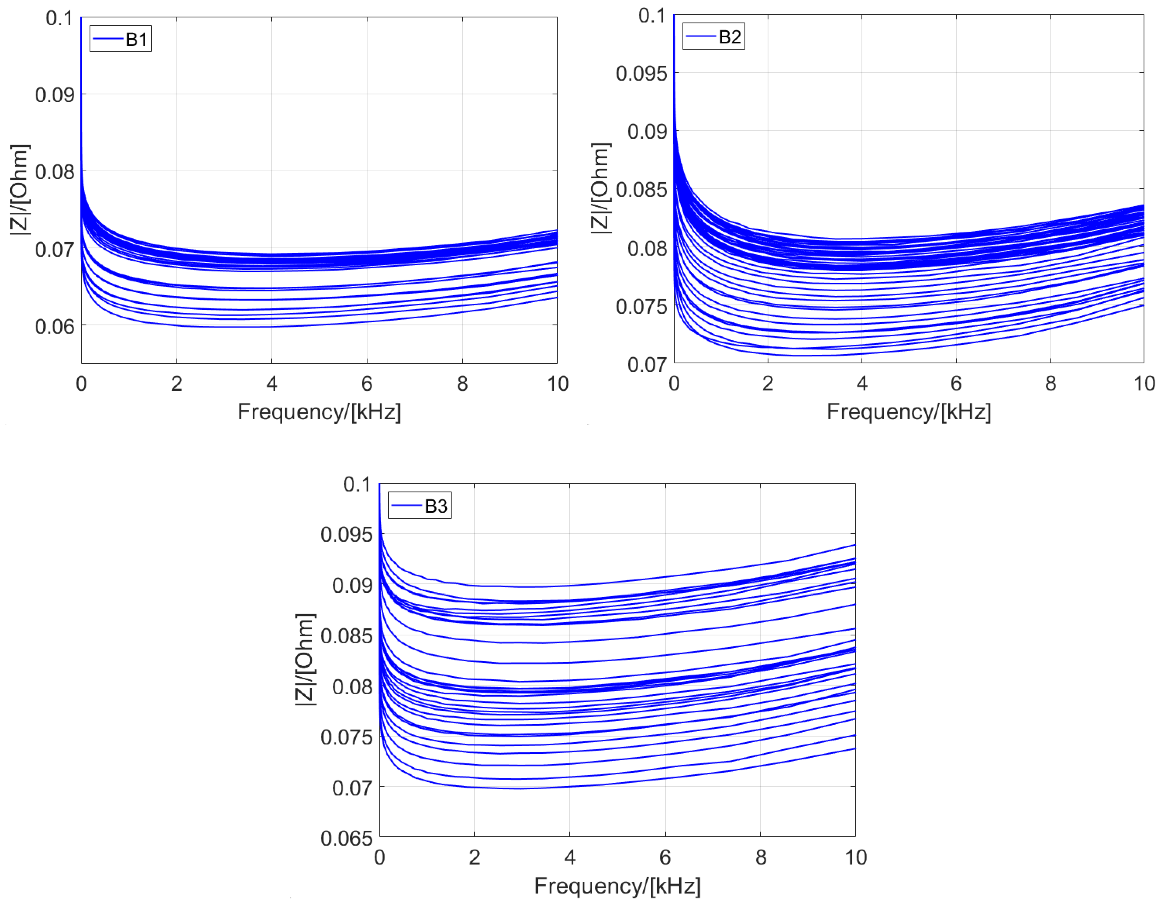
| Min. impedance [%] | 0.07 | 0.08 | 0.09 |
| Rate of energy decrease charge/discharge | −6.73/−4.3 | −8.7/−6.65 | −18.2/−12.5 |
Disclaimer/Publisher’s Note: The statements, opinions and data contained in all publications are solely those of the individual author(s) and contributor(s) and not of MDPI and/or the editor(s). MDPI and/or the editor(s) disclaim responsibility for any injury to people or property resulting from any ideas, methods, instructions or products referred to in the content. |
© 2025 by the authors. Licensee MDPI, Basel, Switzerland. This article is an open access article distributed under the terms and conditions of the Creative Commons Attribution (CC BY) license (https://creativecommons.org/licenses/by/4.0/).
Share and Cite
Bruj, O.; Calborean, A. Lifecycle Evaluation of Lithium-Ion Batteries Under Fast Charging and Discharging Conditions. Batteries 2025, 11, 65. https://doi.org/10.3390/batteries11020065
Bruj O, Calborean A. Lifecycle Evaluation of Lithium-Ion Batteries Under Fast Charging and Discharging Conditions. Batteries. 2025; 11(2):65. https://doi.org/10.3390/batteries11020065
Chicago/Turabian StyleBruj, Olivia, and Adrian Calborean. 2025. "Lifecycle Evaluation of Lithium-Ion Batteries Under Fast Charging and Discharging Conditions" Batteries 11, no. 2: 65. https://doi.org/10.3390/batteries11020065
APA StyleBruj, O., & Calborean, A. (2025). Lifecycle Evaluation of Lithium-Ion Batteries Under Fast Charging and Discharging Conditions. Batteries, 11(2), 65. https://doi.org/10.3390/batteries11020065

