Composites Based on Poly(ortho-toluidine) and WS2 Sheets for Applications in the Supercapacitor Field
Abstract
1. Introduction
2. Materials and Methods
3. Results and Discussion
3.1. Exfoliation of the WS2 Nanoparticles as Well as Their Optical and Structural Properties
3.2. POT/TMD Composites Obtained by SSI and ICP
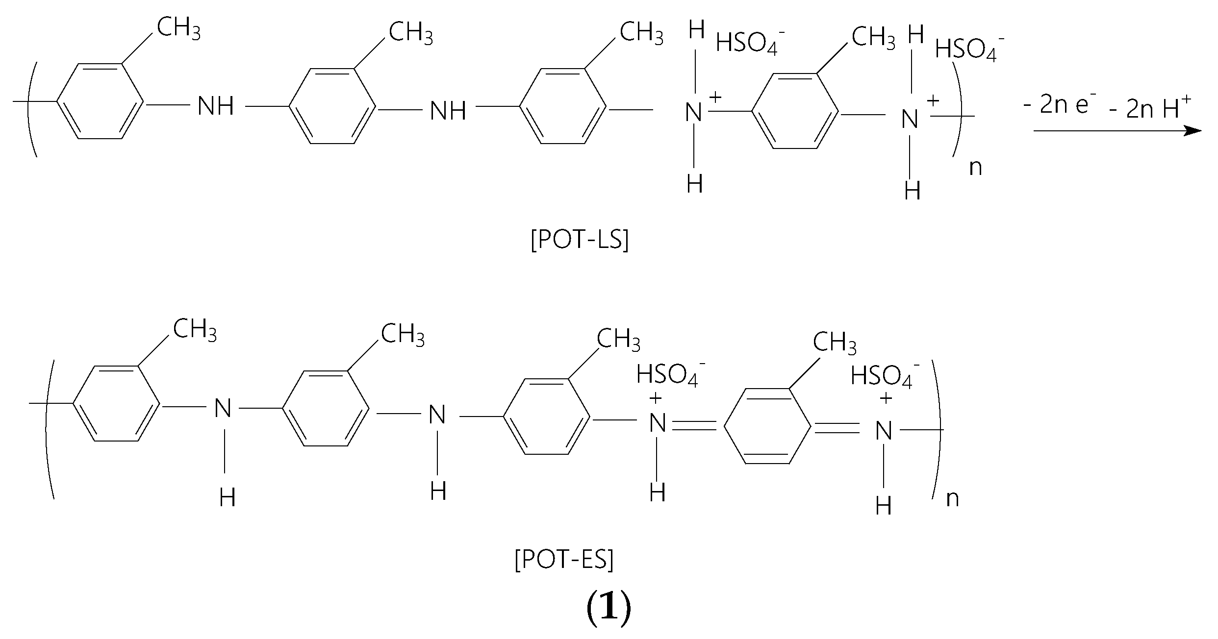
3.3. Electrochemical Synthesis of POT/WS2 Composite and Its Optical Properties
3.4. Electrochemical Properties of the POT/WS2 Composites as Promising EAM in Supercapacitor Cells
4. Conclusions
- (i)
- Mechanical exfoliation by grinding WS2 NPs using a ball mill followed by exfoliation in DMF allows the transformation of nanoparticles of WS2 in sheets and induces a diminution in the intensity of the crystalline plane (002), a change in the distance between the Raman lines related to vibrational modes E2g1 and A1g, and the presence of three bands situated at 632, 530, and 454 nm in the UV-VIS spectrum.
- (ii)
- SSI of POT-EB with WS2 induces an exfoliation of the WS2 NPs.
- (iii)
- ICP of OT in the presence of WS2 sheets induces the formation of covalent coordination bonds between the imine groups of EB and the transition metal W, when a POT/WS2 composite is created, simultaneously with the generation of a byproduct such as tungsten sulfate.
- (iv)
- ECP of OT in the presence of WS2 sheets involves oxidation and reduction reactions at the electrolyte/electrode interface that have an irreversible character as a result of the generation of the POT-ES/WS2 composite when the formation of covalent coordination bonds between imine groups of POT and W atoms of TMD takes place.
- (v)
- The electrochemical processes at the electrode/electrolyte interface in symmetrical SCs show a significant contribution given the performance of a diffusion-controlled intercalation process and an additional capacitive-type process; the best values of capacitance of the SCs with EAMs of the composites prepared by ICP and ECP were reported at 10 mV s−1, these being equal to 2.82 and 12.5 F cm−2; the increase in the scan rate at 200 mV s−1 led to values of capacitance equal to 123.5, 465.76, and 751.6 mF cm−2, respectively, for the POT/WS2 composites prepared by SSI, ICP, and ECP. After recording 5000 cyclic voltammograms at 200 mV s−1, a decrease in the capacitance of the three SCs to 95.03, 327.71, and 375.33 mF cm−2 was reported.
Author Contributions
Funding
Data Availability Statement
Conflicts of Interest
Abbreviations
| POT | Poly(o-toluidine) |
| OT | O-toluidine |
| NPs | Nanoparticles |
| XRD | X-ray diffraction |
| XPS | X-ray photoelectron spectroscopy |
| UV-VIS | Ultraviolet–visible |
| FTIR | Fourier transform infrared |
| LS | Leucoemeraldine salt |
| ES | Emeraldine salt |
| EB | Emeraldine base |
| TMDs | Transition metal dichalcogenides |
| PANI | Polyaniline |
| SEM | Scanning electron microscopy |
| DMF | N,N’-dimethyl formamide |
| PVDF | Poly(vinylidene fluoride) |
| DBP | Dibutyl phthalate |
| CV | Cyclic voltammetry |
| SSI | Solid-state interaction |
| ICP | In situ chemical polymerization |
| ECP | Electrochemical polymerization |
| SCs | Supercapacitors |
| SA | Surface area |
| EAMs | Electrode active materials |
| B | Benzene ring |
| Q | Quinoid ring |
| DCI | Diffusion-controlled intercalation |
| EC | Electrochemical |
| λexc | Excitation wavelength |
References
- Shahabuddin, S.; Mehmood, S.; Ahmad, I.; Sridewi, N. Synthesis and Characterization of 2D-WS2 Incorporated Polyaniline Nanocomposites as Photo Catalyst for Methylene Blue Degradation. Nanomaterials 2022, 12, 2090. [Google Scholar] [CrossRef] [PubMed]
- Parangusan, H.; Bhadra, J.; Al-Qudah, R.A.; Elhadrami, E.C.; Al-Thani, N.J. Comparative Study on Gas-Sensing Properties of 2D (MoS2,WS2)/PANI Nanocosmposites-Based Sensor. Nanomaterials 2022, 12, 4423. [Google Scholar] [CrossRef] [PubMed]
- Iqbal, M.; Saykar, N.G.; Alegaonkar, P.S.; Mahapatra, S.K. Synergistically modified WS2@PANI binary nanocomposite-based all-solid-state symmetric supercapacitor with high energy density. New J. Chem. 2022, 46, 7043–7054. [Google Scholar] [CrossRef]
- De Adhikari, A.; Shauloff, N.; Turkulets, Y.; Shalish, I.; Jelinek, R. Tungsten-Disulfide/Polyaniline High Frequency Supercapacitors. Adv. Electron. Mater. 2021, 7, 2100025. [Google Scholar] [CrossRef]
- Zeng, R.; Li, Z.C.; Li, L.B.; Li, Y.Z.; Huang, J.; Xiao, Y.B.; Yuan, K.; Chen, Y.W. Covalent Connection of Polyaniline with MoS2 Nanosheets toward Ultrahigh Rate Capability Supercapacitors. ACS Sustain. Chem. Eng. 2019, 7, 11540–11549. [Google Scholar] [CrossRef]
- Sajedi-Moghaddam, A.; Mayorga-Martinez, C.C.; Saievar-Iranizad, E.; Sofer, Z.; Pumera, M. Exfoliated transition metal dichalcogenide (MX2; M = Mo, W; X = S, Se, Te) nanosheets and their composites with polyaniline nanofibers for electrochemical capacitors. Appl. Mater. Today 2019, 16, 280–289. [Google Scholar] [CrossRef]
- Choi, W.; Choudhary, N.; Han, G.H.; Park, J.; Akinwande, D.; Lee, Y.H. Recent development of two-dimensional transition metal dichalcogenides and their applications. Mater. Today 2017, 20, 116–130. [Google Scholar] [CrossRef]
- Nam, M.S.; Patil, U.; Park, B.; Sim, H.B.; Jun, S.C. A binder free synthesis of 1D PANI and 2D MoS2 nanostructured hybrid composite electrodes by the electrophoretic deposition (EPD) method for supercapacitor application. RSC Adv. 2016, 6, 101592–101601. [Google Scholar] [CrossRef]
- Joseph, N.; Shafi, P.M.; Bose, A.C. Recent Advances in 2D-MoS2 and its Composite Nanostructures for Supercapacitor Electrode Application. Energ. Fuel. 2020, 34, 6558–6597. [Google Scholar] [CrossRef]
- Zhao, X.; Ma, X.; Sun, J.; Li, D.H.; Yang, X.R. Enhanced Catalytic Activities of Surfactant-Assisted Exfoliated WS2 Nanodots for Hydrogen Evolution. ACS Nano 2016, 10, 2159–2166. [Google Scholar] [CrossRef] [PubMed]
- Coleman, J.N.; Lotya, M.; O’Neill, A.; Bergin, S.D.; King, P.J.; Khan, U.; Young, K.; Gaucher, A.; De, S.; Smith, J.R.; et al. Two-Dimensional Nanosheets Produced by Liquid Exfoliation of Layered Materials. Science 2011, 331, 568–571. [Google Scholar] [CrossRef] [PubMed]
- Bhandavat, R.; David, L.; Singh, G. Synthesis of Surface-Functionalized WS2 Nanosheets and Performance as Li-Ion Battery Anodes. J. Phys. Chem. Lett. 2012, 3, 1523–1530. [Google Scholar] [CrossRef]
- Desai, J.A.; Adhikari, N.; Kaul, A.B. Chemical exfoliation efficacy of semiconducting WS2 and its use in an additively manufactured heterostructure graphene–WS2–graphene photodiode. RSC Adv. 2019, 9, 25805–25816. [Google Scholar] [CrossRef] [PubMed]
- Leong, S.X.; Mayorga-Martinez, C.C.; Chia, X.; Luxa, J.; Sofer, Z.; Pumera, M. 2h → 1T Phase Change in Direct Synthesis of WS2 Nanosheets via Solution-Based Electrochemical Exfoliation and Their Catalytic Properties. ACS Appl. Mater. Interfaces 2017, 9, 26350–26356. [Google Scholar] [CrossRef]
- Huang, F.; Jian, J.K.; Wu, R. Few-layer thick WS2 nanosheets produced by intercalation/exfoliation route. J. Mater. Sci. 2016, 51, 10160–10165. [Google Scholar] [CrossRef]
- Zhang, M.; Nautiyal, A.; Du, H.; Wei, Z.; Zhang, X.; Wang, R. Electropolymerization of polyaniline as high-performance binder free electrodes for flexible supercapacitor. Electrochim. Acta 2021, 376, 138037. [Google Scholar] [CrossRef]
- Dhandapani, E.; Thangarasu, S.; Ramesh, S.; Ramesh, K.; Vasudevan, R.; Duraisamy, N. Recent development and prospective of carbonaceous material, conducting polymer and their composite electrode materials for supercapacitor-A review. J. Energy Storage 2022, 52, 104937. [Google Scholar] [CrossRef]
- Crisci, M.; Boll, F.; Merola, L.; Pflug, J.J.; Liu, Z.M.; Gallego, J.; Lamberti, F.; Gatti, T. Nanostructured 2D WS2@PANI nanohybrids for electrochemical energy storage. Front. Chem. 2022, 10, 1000910. [Google Scholar] [CrossRef] [PubMed]
- Abdelnasir, S.; Mungroo, M.R.; Shahabuddin, S.; Siddiqui, R.; Khan, N.A.; Ahmad, I.; Anwar, A. Polyaniline (PANI)-conjugated tungsten disulphide (WS2) nanoparticles as potential therapeutics against brain-eating amoebae. Appl. Microbiol. Biot. 2022, 106, 3279–3291. [Google Scholar] [CrossRef]
- Basnayaka, P.A.; Ram, M.K.; Stefanakos, L.; Kumar, A. High performance graphene-poly(o-anisidine) nanocomposite for supercapacitor applications. Mater. Chem. Phys. 2013, 141, 263–271. [Google Scholar] [CrossRef]
- Kuwertz, R.; Kirstein, C.; Turek, T.; Kunz, U. Influence of acid pretreatment on ionic conductivity of Nafion® membranes. J. Membrane. Sci. 2016, 500, 225–235. [Google Scholar] [CrossRef]
- Wan, M.; Yang, J. Studies on the structure and electrical properties of poly (ortho-toluidine). Synth. Met. 1995, 73, 201–204. [Google Scholar] [CrossRef]
- Wan, M.; Li, J. Tubular poly(ortho-toluidine) synthesized by a template-free method. Polym. Adv. Technol. 2003, 14, 320–325. [Google Scholar] [CrossRef]
- Ghorai, A.; Midya, A.; Maiti, R.; Ray, S.K. Exfoliation of WS2 in the semiconducting phase using a group of lithium halides: A new method of Li intercalation. Dalton Trans. 2016, 45, 14979–14987. [Google Scholar] [CrossRef] [PubMed]
- Mitioglu, A.A.; Plochocka, P.; Deligeorgis, G.; Anghel, S.; Kulyuk, L.; Maude, D.K. Second-order resonant Raman scattering in single-layer tungsten disulfide WS2. Phys. Rev. B 2014, 89, 245442. [Google Scholar] [CrossRef]
- Lai, Z.C.; He, Q.Y.; Ha Tran, T.H.; Repaka, D.V.M.; Zhou, D.D.; Sun, Y.; Xi, S.B.; Li, Y.X.; Chaturvedi, A.; Tan, C.L.; et al. Metastable 1T′-phase group VIB transition metal dichalcogenide crystals. Nat. Mater. 2021, 20, 1113–1120. [Google Scholar] [CrossRef] [PubMed]
- Agyapong, A.D.; Cooley, K.A.; Mohney, S.E. Reactivity of contact metals on monolayer WS2. J. Appl. Phys. 2020, 128, 055306. [Google Scholar] [CrossRef]
- Shi, W.; Lin, M.L.; Tan, Q.H.; Qiao, X.F.; Zhang, J.; Tan, P.H. Raman and photoluminescence spectra of two-dimensional nanocrystallites of monolayer WS2 and WSe2. 2D Mater. 2016, 3, 025016. [Google Scholar] [CrossRef]
- Pagona, G.; Bittencourt, C.; Arenal, R.; Tagmatarchis, N. Exfoliated semiconducting pure 2H-MoS2 and 2H-WS2 assisted by chlorosulfonic acid. Chem. Commun. 2015, 51, 12950–12953. [Google Scholar] [CrossRef] [PubMed]
- Baibarac, M.; Cochet, M.; Łapkowski, M.; Mihut, L.; Lefrant, S.; Baltog, I. SERS spectra of polyaniline thin films deposited on rough Ag, Au and Cu. Polymer film thickness and roughness parameter dependence of SERS spectra. Synthetic. Met. 1998, 96, 63–70. [Google Scholar] [CrossRef]
- Bowen, R.D.; Edwards, H.G.M.; Varnali, T. Influence of a methyl substituent on the Raman spectrum of but-3-enyl methyl ether. Spectrochim. Acta A 2012, 93, 26–32. [Google Scholar] [CrossRef] [PubMed]
- Quillard, S.; Louarn, G.; Lefrant, S.; MacDiarmid, A.G. Vibrational analysis of polyaniline: A comparative study of leucoemeraldine, emeraldine, and pernigraniline bases. Phys. Rev. B 1994, 50, 12496–12508. [Google Scholar] [CrossRef] [PubMed]
- Boyer, M.I.; Quillard, S.; Rebourt, E.; Louarn, G.; Buisson, J.P.; Monkman, A.; Lefrant, S. Vibrational analysis of polyaniline: A model compound approach. J. Phys. Chem. B 1998, 102, 7382–7392. [Google Scholar] [CrossRef]
- Dai, F.W.; Zhuang, Q.Y.; Huang, G.; Deng, H.Z.; Zhang, X. Infrared Spectrum Characteristics and Quantification of OH Groups in Coal. ACS Omega 2023, 8, 17064–17076. [Google Scholar] [CrossRef] [PubMed]
- Li, G.; Zhang, Y.Y.; Li, Q.M.; Wang, C.; Yu, Y.; Zhang, B.B.; Hu, H.S.; Zhang, W.Q.; Dai, D.X.; Wu, G.R.; et al. Infrared spectroscopic study of hydrogen bonding topologies in the smallest ice cube. Nat. Commun. 2020, 11, 5449. [Google Scholar] [CrossRef] [PubMed]
- Golczak, S.; Kanciurzewska, A.; Fahlman, M.; Langer, K.; Langer, J.J. Comparative XPS surface study of polyaniline thin films. Solid State Ion. 2008, 179, 2234–2239. [Google Scholar] [CrossRef]
- Mahat, M.M.; Mawad, D.; Nelson, G.W.; Fearn, S.; Palgrave, R.G.; Payne, D.J.; Stevens, M.M. Elucidating the deprotonation of polyaniline films by X-ray photoelectron spectroscopy. J. Mater. Chem. C 2015, 3, 7180–7186. [Google Scholar] [CrossRef]
- Wu, M.S.; Wen, T.C.; Gopalan, A. Electrochemical copolymerization of diphenylamine and anthranilic acid with various feed ratios. J. Electrochem. Soc. 2001, 148, D65–D73. [Google Scholar] [CrossRef]
- Trchová, M.; Stejskal, J.; Prokeš, J. Infrared spectroscopic study of solid-state protonation and oxidation of polyaniline. Synthetic. Met. 1999, 101, 840–841. [Google Scholar] [CrossRef]
- Cho, W.H.; Cheng, I.C.; Chen, J.Z. Performance Comparison of Reduced Graphene Oxide (rGO)-polyaniline (PANI) Supercapacitors with LiCl, Li2SO4, and H2SO4 Electrolytes. J. Electrochem. Soc. 2023, 170, 010532. [Google Scholar] [CrossRef]
- Yuvika Sood, A.; Lokhande, P.E.; Kadam, V.; Jagtap, C.; Mudila, H.; Rednam, U.; Kumar, D.; Ansar, S.; Kumar, Y.A.; Aepuru, R.; et al. Nanocomposites combining 2D WS2 and 1D polyaniline for enhanced high-performance supercapacitors. J. Alloys Compd. 2024, 1005, 1760. [Google Scholar] [CrossRef]
- Visakh, C.; Mohan, V.; Rakhi, R.B. WS2/Conducting polymer nanocomposite-based flexible and binder-free electrodes for high-performance supercapacitors. Electrochim. Acta 2024, 498, 144657. [Google Scholar] [CrossRef]
- Kozarenko, D.O.; Dyadyun, V.S.; Kotenko, I.E.; Posudievsky, O.Y.; Koshechko, V.G.; Pokhodenko, V.D. Mechanochemically prepared nanocomposites based on polyaniline and molybdenum and tungsten disulfides as electrode materials for supercapacitors. Theor. Exp. Chem. 2018, 54, 85–91. [Google Scholar] [CrossRef]
- Chevulamaddi, H.; Kalagadda, V.R. The improved electrochemical performance of MnO2 nanorods decorated with polyaniline as efficient electrode towards high performance supercapacitors. J. Mater. Sci. Mater. Electron. 2024, 35, 2273. [Google Scholar] [CrossRef]
- Hekmat, F.; Shahrokhian, S.; Taghavinia, N. Ultralight, flexible asymmetric supercapacitors based on manganese dioxide–polyaniline nanocomposite and reduced graphene oxide electrodes directly deposited on foldable cellulose papers. J. Phys. Chem. C 2018, 122, 27156–27168. [Google Scholar] [CrossRef]
- Dadashi, R.; Farhadi, K.; Bahram, M. Polybenzidine-MnO2 nanocomposite on anodized graphite sheet as a novel system for high-performance supercapacitors. Diam. Relat. Mater. 2024, 143, 110923. [Google Scholar] [CrossRef]
- Zhang, M.; Du, H.; Wei, Z.; Zhang, X.; Wang, R. Facile electrodeposition of Mn-CoP nanosheets on Ni foam as high-rate and ultrastable electrodes for supercapacitors. ACS Appl. Energy Mater. 2022, 5, 186–195. [Google Scholar] [CrossRef]
- Zhag, M.; Du, H.; Wei, Z.; Zhang, X.; Wang, R. Ultrafast Microwave Synthesis of Nickel-Cobalt Sulfide/Graphene Hybrid Electrodes for High-Performance Asymmetrical Supercapacitors. ACS Appl. Energy Mater. 2021, 4, 8262–8274. [Google Scholar] [CrossRef]

























| EAMs; Inorganic Particle Synthesis Method or Supplier | Synthesis Method of Composite | Electrolyte | Current Density or Potential Scan Rate | Capacitance | Ref. |
|---|---|---|---|---|---|
| PANI/WS2/C; Merck | ICP | 1M Na2SO4 | 10 mVs−1 | 464 F g−1 | [41] |
| PANI nanofibers/WS2; Sigma Aldrich | Electrodeposition by CV | 1M Na2SO4 | 1Ag−1; 5000 V s−1 | 72.27 F g−1; 331 mF cm−2 | [41] |
| PANI/WS2; hydrothermal | ICP | 1M H2SO4 | 1Ag−1 | 560 F g−1 | [42] |
| PANI/WS2; mechano-chemically assisted NaCl | Mechano-chemical reaction | 1M H2SO4 | 1Ag−1 | 580 F g−1 | [43] |
| POT/WS2; ball milling | SSI | 1M H2SO4 | 50 mV s−1 | 177 mF cm−2 | This work |
| POT/WS2; ball milling | ICP | 1M H2SO4 | 50 mV s−1 | 1.15 F cm−2 | This work |
| POT/WS2; ball milling | ECP by CV | 1M H2SO4 | 50 mV s−1 | 2.64 F cm−2 | This work |
| MnO2 Nanorods@PANI; hydrothermal | ICP | 1M KOH | 50 mVs−1 | 259 F g−1 | [44] |
| γ-MnO2/PANI; from precursor of KMnO4 | ICP | 0.5M H2SO4 | 0.5 A g−1 | 493 F g−1 | [45] |
| Polybenzidine/MnO2 | Chemical interaction | 1M H2SO4 | 0.5 mAcm−2 | 950 mF cm−2 | [46] |
| POT/WS2; ball milling | ICP | 1M H2SO4 | 10 mVs−1 | 2.82 F cm−2 | This work |
| POT/WS2; ball milling | ECP by CV | 1M H2SO4 | 10 mVs−1 | 12.5 F cm−2 | This work |
Disclaimer/Publisher’s Note: The statements, opinions and data contained in all publications are solely those of the individual author(s) and contributor(s) and not of MDPI and/or the editor(s). MDPI and/or the editor(s) disclaim responsibility for any injury to people or property resulting from any ideas, methods, instructions or products referred to in the content. |
© 2025 by the authors. Licensee MDPI, Basel, Switzerland. This article is an open access article distributed under the terms and conditions of the Creative Commons Attribution (CC BY) license (https://creativecommons.org/licenses/by/4.0/).
Share and Cite
Burlanescu, T.; Smaranda, I.; Androne, A.; Florica, C.S.; Cercel, M.; Paraschiv, M.; Udrescu, A.; Lőrinczi, A.; Palade, P.; Galatanu, A.; et al. Composites Based on Poly(ortho-toluidine) and WS2 Sheets for Applications in the Supercapacitor Field. Batteries 2025, 11, 37. https://doi.org/10.3390/batteries11010037
Burlanescu T, Smaranda I, Androne A, Florica CS, Cercel M, Paraschiv M, Udrescu A, Lőrinczi A, Palade P, Galatanu A, et al. Composites Based on Poly(ortho-toluidine) and WS2 Sheets for Applications in the Supercapacitor Field. Batteries. 2025; 11(1):37. https://doi.org/10.3390/batteries11010037
Chicago/Turabian StyleBurlanescu, Teodora, Ion Smaranda, Andreea Androne, Cristina Stefania Florica, Madalina Cercel, Mirela Paraschiv, Adelina Udrescu, Adam Lőrinczi, Petru Palade, Andrei Galatanu, and et al. 2025. "Composites Based on Poly(ortho-toluidine) and WS2 Sheets for Applications in the Supercapacitor Field" Batteries 11, no. 1: 37. https://doi.org/10.3390/batteries11010037
APA StyleBurlanescu, T., Smaranda, I., Androne, A., Florica, C. S., Cercel, M., Paraschiv, M., Udrescu, A., Lőrinczi, A., Palade, P., Galatanu, A., Negrila, C., Matei, E., Dinescu, M., Cercel, R., & Baibarac, M. (2025). Composites Based on Poly(ortho-toluidine) and WS2 Sheets for Applications in the Supercapacitor Field. Batteries, 11(1), 37. https://doi.org/10.3390/batteries11010037

