Numerical Simulation of Impact of Different Redox Couples on Flow Characteristics and Electrochemical Performance of Deep Eutectic Solvent Electrolyte Flow Batteries
Abstract
1. Introduction
1.1. Research Background and Current Status of Battery Technology Research
1.2. Introduction, Advantages and Disadvantages, and Current Research Status of Deep Eutectic Solvents
1.3. Current Status of Modeling DES Electrolyte Flow Battery Research
1.4. Research Content and Significance of This Study
2. Numerical Model
2.1. Model Domain and Assumptions
2.2. Control Equations
2.3. Model Parameters
2.4. Boundary Conditions
2.5. Model Reliability Verification
- (1)
- Experimental Materials and Test Equipment
- (2)
- Polarization Test (I–V)
- (3)
- Polarization Curves Verification
- (4)
- Mesh Independence Verification
3. Results and Discussion
3.1. Flow Characteristics of Different Redox Couples Electrolytes
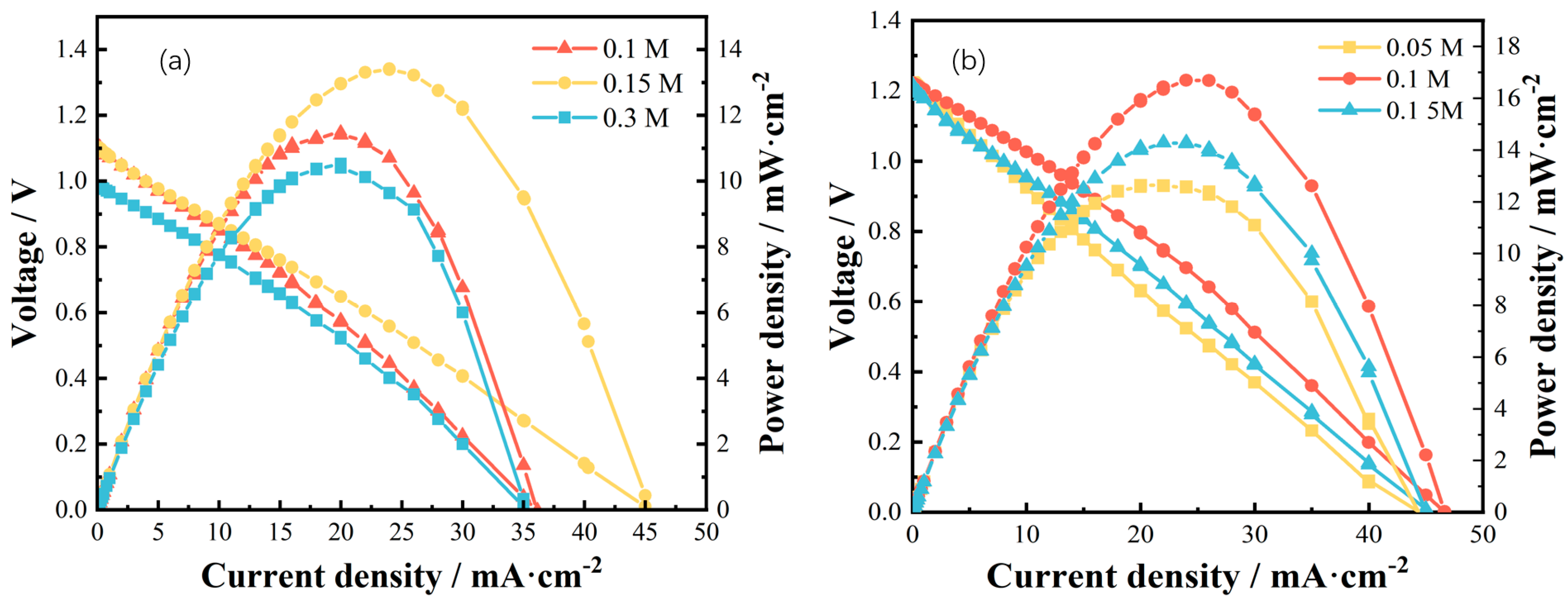
3.2. Impact of Different Redox Couples Electrolytes on Electrochemical Performance
4. Conclusions
Author Contributions
Funding
Data Availability Statement
Conflicts of Interest
References
- State Council of China. Energy Development Strategy Action Plan (2014–2020). 2014. Available online: https://climate-laws.org/document/energy-development-strategy-action-plan-2014-2020_275f (accessed on 10 December 2024).
- National Development and Reform Commission of China. Energy Technology Innovation Plan of Action (2016–2030). 2016. Available online: https://www.iea.org/policies/6272-china-energy-technology-innovation-action-plan-2016-2030 (accessed on 10 December 2024).
- Shi, H.; Xu, H.; Gao, W.; Zhang, J.; Chang, M. The impact of energy poverty on agricultural productivity: The case of China. Energy Policy 2022, 167, 113020. [Google Scholar] [CrossRef]
- Abdul, D.; Wenqi, J.; Tanveer, A. Environmental stewardship: Analyzing the dynamic impact of renewable energy, foreign remittances, and globalization index on China’s CO2 emissions. Renew. Energy 2022, 201, 418–425. [Google Scholar] [CrossRef]
- Shrestha, A.; Mustafa, A.A.; Htike, M.M.; You, V.; Kakinaka, M. Evolution of energy mix in emerging countries: Modern renewable energy, traditional renewable energy, and non-renewable energy. Renew. Energy 2022, 199, 419–432. [Google Scholar] [CrossRef]
- Li, B.; Guo, J.; Dong, H.; Chen, J. Efficiency analysis of redox flow battery applied in power system. Proc. CSEE 2009, 29, 1–6. [Google Scholar]
- Juarez-Robles, D.; Rauhala, T.; Jeevarajan, J. Exploring the Safety Aspects of Redox Flow Batteries. ECS Meet. Abstr. 2022, 2022, 44. [Google Scholar] [CrossRef]
- Hou, Z.; Chen, X.; Liu, J.; Huang, Z.; Chen, Y.; Zhou, M.; Liu, W.; Zhou, H. Towards a high efficiency and low-cost aqueous redox flow battery: A short review. J. Power Sources 2024, 601, 234242. [Google Scholar] [CrossRef]
- Huang, Z.; Mu, A. Flow field design and performance analysis of vanadium redox flow battery. Ionics 2021, 27, 5207–5218. [Google Scholar] [CrossRef]
- Huang, Z.; Yang, C.; Xie, X.; Yang, B.; Liu, Y.; Guo, Z. Attributes and performance analysis of all-vanadium redox flow battery based on a novel flow field design. Ionics 2023, 29, 2793–2803. [Google Scholar] [CrossRef]
- Liu, B.; Li, Y.; Jia, G.; Zhao, T. Recent Advances in Redox Flow Batteries Employing Metal Coordination Complexes as Redox-Active Species. Electrochem. Energy Rev. 2024, 7, 7. [Google Scholar] [CrossRef]
- Puleston, T.; Clemente, A.; Costa-Castelló, R.; Serra, M. Modelling and Estimation of Vanadium Redox Flow Batteries: A Review. Batteries 2022, 8, 121. [Google Scholar] [CrossRef]
- Zhou, H.; Zhang, R.; Ma, Q.; Li, Z.; Su, H.; Lu, P.; Yang, W.; Xu, Q. Modeling and Simulation of Non-Aqueous Redox Flow Batteries: A Mini-Review. Batteries 2023, 9, 215. [Google Scholar] [CrossRef]
- Lehmann, M.L.; Tyler, L.; Self, E.C.; Yang, G.; Nanda, J.; Saito, T. Membrane design for non-aqueous redox flow batteries: Current status and path forward. Chem 2022, 8, 1611–1636. [Google Scholar] [CrossRef]
- Li, Z.G.; Fang, X.T.; Cheng, L.; Wei, X.; Zhang, L. Techno-economic analysis of non-aqueous hybrid redox flow batteries. J. Power Sources 2022, 536, 231493. [Google Scholar] [CrossRef]
- Su, L.; Ferrandon, M.; Kowalski, J.A.; Vaughey, J.T.; Brushett, F.R. Electrolyte development for non-aqueous redox flow batteries using a high-throughput screening platform. J. Electrochem. Soc. 2014, 161, A1905–A1914. [Google Scholar] [CrossRef]
- Prabhune, A.; Dey, R. Green and sustainable solvents of the future: Deep eutectic solvents. J. Mol. Liq. 2023, 379, 121676. [Google Scholar] [CrossRef]
- Meenu, M.; Bansal, V.; Rana, S.; Sharma, N.; Kumar, V.; Arora, V.; Garg, M. Deep eutectic solvents (DESs) and natural deep eutectic solvents (NADESs): Designer solvents for green extraction of anthocyanin. Sustain. Chem. Pharm. 2023, 34, 101168. [Google Scholar] [CrossRef]
- Ren, S.H.; Mu, T.C.; Wu, W.Z. Advances in deep eutectic solvents: New green solvents. Processes 2023, 11, 1920. [Google Scholar] [CrossRef]
- Smith, B.; Zhang, T.; Jones, A. Deep eutectic solvents as new electrolytes for redox flow batteries. Energy Environ. Sci. 2014, 7, 3985–3992. [Google Scholar]
- Li, Z.; Chen, Y.; Liu, X. Modeling of porous electrode behavior in DES-based flow batteries. J. Electroanal. Chem. 2021, 889, 115197. [Google Scholar] [CrossRef]
- Zhang, T.; Jones, A.; Smith, B. Physicochemical properties of deep eutectic solvents for electrochemical applications. Chem. Rev. 2017, 117, 8497–8520. [Google Scholar]
- Liu, R.; Wang, S.; Gao, Y. Electrochemical properties of TEMPO and quinoxaline-based DES for flow battery applications. Electrochem. Commun. 2019, 102, 46–51. [Google Scholar] [CrossRef]
- Chen, J.; Li, Y.; Wang, H. Recent advances in deep eutectic solvents for redox flow batteries. Electrochim. Acta 2022, 426, 140781. [Google Scholar] [CrossRef]
- Weber, A.Z.; Newman, J. Modeling transport in polymer-electrolyte fuel cells. Chem. Rev. 2006, 106, 4125–4144. [Google Scholar]
- Kreuer, K.D. On the development of proton conducting polymer membranes for hydrogen and methanol fuel cells. J. Membr. Sci. 2001, 185, 29–39. [Google Scholar] [CrossRef]
- Bird, R.B.; Stewart, W.E.; Lightfoot, E.N. Transport Phenomena, 2nd ed.; John Wiley & Sons: New York, NY, USA, 2007. [Google Scholar]
- Biesheuvel, P.M.; Bazant, M.Z. Nonlinear dynamics of capacitive charging and desalination by porous electrodes. Phys. Rev. E 2010, 81, 031502. [Google Scholar] [CrossRef]
- Srinivasan, S.; Weidner, J.W.; Botte, G.G. Steady-state and transient models of electrochemical systems. Electrochim. Acta 1999, 44, 3699–3709. [Google Scholar]
- Chen, H.; Cheng, M.; Feng, X.; Chen, Y.; Chen, F.; Xu, J. Analysis and optimization for multi-stack vanadium flow battery module incorporating electrode permeability. J. Power Sources 2021, 515, 230606. [Google Scholar] [CrossRef]
- Fraser, E.J.; Ranga Dinesh, K.K.J.; Wills, R.G.A. A two dimensional numerical model of the membrane-divided soluble lead flow battery. Energy Rep. 2021, 7, 49–55. [Google Scholar] [CrossRef]
- Dickinson, E.J.F.; Wain, A.J. The Butler-Volmer equation in electrochemical theory: Origins, value, and practical application. J. Electroanal. Chem. 2020, 872, 114145. [Google Scholar] [CrossRef]
- Hall, D.M.; Grenier, J.; Duffy, T.S.; Lvov, S.N. The Energy Storage Density of Redox Flow Battery Chemistries: A Thermodynamic Analysis. J. Electrochem. Soc. 2020, 167, 110536. [Google Scholar] [CrossRef]
- Zhou, X.L.; Zhao, T.S.; An, L.; Zeng, Y.K.; Yan, X.H. A vanadium redox flow battery model incorporating the effect of ion concentrations on ion mobility. Appl. Energy 2015, 158, 157–166. [Google Scholar] [CrossRef]
- Xu, J.; Ma, Q.; Xing, L.; Li, H.; Leung, P.; Yang, W.; Su, H.; Xu, Q. Modeling the effect of temperature on performance of an iron-vanadium redox flow battery with deep eutectic solvent (DES) electrolyte. J. Power Sources 2020, 449, 227491. [Google Scholar] [CrossRef]
- Zhang, R. Performance Study of Redox Flow Battery with Deep Eutectic Solvents (DES) Modified Electrodes and Electrolyte Composed of Organic Active Materials in Deep Eutectic Solvent. Ph.D. Thesis, Jiangsu University, Zhenjiang, China, 2024. [Google Scholar]
- Casas, J.M.; Crisóstomo, G.; Cifuentes, L. Speciation of the Fe(II)–Fe(III)–H2SO4–H2O system at 25 and 50 °C. Hydrometallurgy 2005, 80, 254–264. [Google Scholar] [CrossRef]
- Leung, P.; Aili, D.; Xu, Q.; Rodchanarowan, A.; Shah, A.A. Rechargeable organic–air redox flow batteries. Sustain. Energy Fuels 2018, 2, 2252–2259. [Google Scholar] [CrossRef]
- Winsberg, J.; Hagemann, T.; Janoschka, T.; Hager, M.D.; Schubert, U.S. Redox-Flow Batteries: From Metals to Organic Redox-Active Materials. Angew. Chem. Int. Ed. 2017, 56, 686–711. [Google Scholar] [CrossRef] [PubMed]
- Nicholson, R.S.; Shain, I. Theory of Stationary Electrode Polarography: Single Scan and Cyclic Methods Applied to Reversible, Irreversible, and Kinetic Systems. Anal. Chem. 1964, 36, 706–723. [Google Scholar] [CrossRef]
- Laviron, E. Adsorption, Autoinhibition and Autocatalysis in Polarography and in Linear Potential Sweep Voltammetry. J. Electroanal. Chem. 1979, 101, 19–28. [Google Scholar] [CrossRef]
- Zhao, L.; Ma, Q.; Xu, Q.; Su, H.; Zhang, W. Performance improvement of non-aqueous iron-vanadium flow battery using chromium oxide–modified graphite felt electrode. Ionics 2021, 27, 1–11. [Google Scholar] [CrossRef]













| DES Type | Composition | Advantages | Disadvantages |
|---|---|---|---|
| I | Quaternary Ammonium Salt + Metal Salt | Good conductivity and solubility | Metal salts may increase cost and corrosion risk |
| II | Quaternary Ammonium Salt + Hydrogen Bond Donor | Wide electrochemical window, good thermal stability, and biodegradability | Lower solubility capacity, potential volatility or toxicity risk |
| III | Metal Salt + Amino Acid | Good biocompatibility and specific catalytic activity | Narrow electrochemical window, high cost of amino acids |
| IV | Organic Acid + Alcohol | Good chemical stability, environmentally friendly | High viscosity and low conductivity |
| Symbol | Parameter | Value | Unit | Source |
|---|---|---|---|---|
| T | Temperature | 298 | K | |
| DTEMPO | Diffusion coefficient of TEMPO | 2.85 × 10−7 | cm2·s−1 | [35] |
| DQuinoxaline | Diffusion coefficient of Quinoxaline | 1.26 × 10−5 | cm2·s−1 | [35] |
| DV(II) | Diffusion coefficient of V2+ | 1.16 × 10−9 | cm2·s−1 | [35] |
| DV(III) | Diffusion coefficient of V3+ | 1.16 × 10−9 | cm2·s−1 | [35] |
| DCl | Diffusion coefficient of Cl− | 1.55 × 10−8 | cm2·s−1 | [36] |
| DFe(II) | Diffusion coefficient of Fe2+ | 1.83×10−9 | cm2·s−1 | [35] |
| DFe(III) | Diffusion coefficient of Fe3+ | 1.83×10−9 | cm2·s−1 | [35] |
| αTEMPO | Transfer coefficient of TEMPO in DES electrolyte | 0.482 | – | [37] |
| kTEMPO | Standard reaction rate constant of TEMPO in DES electrolyte | 1.03 × 10−7 | cm·s−1 | Equation (28) |
| σTEMPO | Conductivity of TEMPO in DES electrolyte | 7.23 | mS·cm−1 | [35] |
| μTEMPO | Viscosity of TEMPO in DES electrolyte | 30.2 | mPa·s | [35] |
| αQuinoxaline | Transfer coefficient of Quinoxaline in DES electrolyte | 0.436 | – | [37] |
| kQuinoxaline | Standard reaction rate constant of Quinoxaline in DES electrolyte | 6.28 × 10−6 | cm·s−1 | Equation (28) |
| σQuinoxaline | Conductivity of Quinoxaline in DES electrolyte | 7.49 | mS·cm−1 | [35] |
| μQuinoxaline | Viscosity of Quinoxaline in DES electrolyte | 41.7 | mPa·s | [35] |
| αFe | Transfer coefficient of Iron in DES electrolyte | 0.419 | – | [37] |
| kFe | Standard reaction rate constant of Iron in DES electrolyte | 6.35 × 10−6 | cm·s−1 | Equation (28) |
| σFe | Conductivity of Iron in DES electrolyte | 2.2 | mS·cm−1 | [35] |
| μFe | Viscosity of Iron in DES electrolyte | 43.2 | mPa·s | [35] |
| αV | Transfer coefficient of Vanadium in DES electrolyte | 0.445 | – | [37] |
| kV | Standard reaction rate constant of Vanadium in DES electrolyte | 1.02 × 10−5 | cm·s−1 | Equation (28) |
| σV | Conductivity of Vanadium in DES electrolyte | 1.332 | mS·cm−1 | [35] |
| μV | Viscosity of Vanadium in DES electrolyte | 45.4 | mPa·s | [35] |
| σm | Conductivity of the membrane | 0.3 | S·m−1 | [36] |
| ε | Porosity | 0.94 | – | [36] |
| a | Specific surface area | 35,000 | m−1 | [36] |
| σe | Electronic conductivity | 220 | S·m−1 | [36] |
| df | Diameter of carbon fibers | 1.76 × 10−5 | m | [36] |
| L_e | Length of electrode | 0.004 | m | [36] |
| W_e | Width of electrode | 0.01 | m | [36] |
| H_e | Height of electrode | 0.01 | m | [36] |
| L_channel | Length of flow channel | 0.002 | m | [36] |
| W_channel | Width of flow channel | 0.01 | m | [36] |
| H_channel | Height of flow channel | 0.002 | m | [36] |
| L_m | Thickness of membrane | 0.12 | mm | [36] |
| E0_Quinoxaline | Reference equilibrium potential of Quinoxaline | −0.9 | V | [38] |
| E0_TEMPO | Reference equilibrium potential of TEMPO | 0.9 | V | [39] |
| E0_V | Reference equilibrium potential of Vanadium | −0.26 | V | [36] |
| E0_Fe | Reference equilibrium potential of Iron | 0.769 | V | [36] |
| C0_neg | Initial concentration at the negative electrode | 0.1 | mol·L−1 | [36] |
| C0_pos | Initial concentration at the positive electrode | 0.1 | mol·L−1 | [36] |
| Q | Volumetric flow rate | 20 | ml·min−1 | [36] |
| ρ_pos | Density of positive electrode electrolyte | 1242.74 | kg·m−3 | [36] |
| ρ_neg | Density of negative electrode electrolyte | 1246.74 | kg·m−3 | [36] |
| KCK | CK constant | 5.55 | – | [36] |
| Boundary Description | Boundary Condition |
|---|---|
| Applied current density at the anode | −▽φs·n = −I |
| Grounding at the cathode | φs = 0 |
| Insulation on remaining boundaries | −n·il = 0, −n·is = 0 |
| Velocity boundary set at the inlet | υin = Q·(ε·A)−1 |
| Pressure boundary set at the outlet | Pout = 0 |
| No-slip boundary condition on remaining surfaces | ▽p·n = 0 |
| Concentration boundary set at the inlet | cV(II)_in = c0_neg·SOC cV(III)_in = c0_neg·(1 − SOC) cFe(II)_in = c0_pos·(1 − SOC) cFe(II)_in = c0_pos·SOC cCl_neg = 2c0_neg·SOC+3c0_neg·(1 − SOC) cCl_pos = 2c0_pos·(1 − SOC)+3c0_pos·SOC cTEMPO= c0·SOC cQuinoxaline = c0·(1 − SOC) |
| Zero diffusion flux at the outlet | −▽ci·n = 0 |
| Zero flux condition on remaining boundaries | (−▽ci − ZiFci▽φl + ci ν)·n = 0 |
| Material | Specification | Manufacturer |
|---|---|---|
| Choline Chloride | Analytical Grade | Macklin Reagent Company, Shanghai, China |
| Ethylene Glycol | Analytical Grade | Sinopharm Group, Beijing, China |
| Anhydrous Ethanol | Analytical Grade | Sinopharm Group, Beijing, China |
| Deionized Water | Grade 1 | Ristech Water Purification Technology Co., Ltd., Xiamen, China |
| N2 | >99% | Zhenjiang Zhongpu Special Gas Co., Ltd., Zhenjiang, China |
| VCl3 | >97% | Aladdin Reagent Company, Shanghai, China |
| FeCl2·4H2O | Analytical Grade | Aladdin Reagent Company, Shanghai, China |
| Tetramethylpiperidine Oxide (TEMPO) | 98% | Aladdin Reagent Company, Shanghai, China |
| Quinoxaline | >99.0% | Aladdin Reagent Company, Shanghai, China |
| Graphite Felt | GFA 6 EA, 6 mm | SGL Carbon Company, Shanghai, China |
| Carbon Paper | TGF-H-090, 0.19 mm | Toray Industries, Shanghai, China |
| Nafion Membrane | Nafion 212 | DuPont, Shanghai, China |
| Instrument | Model | Manufacturer |
|---|---|---|
| Peristaltic Pump | BT100-1F | Lange Constant Flow Pump Co., Ltd., Baoding, China |
| Glassy Carbon Electrode | GC150 | Tianjin Aida, Tianjin, China |
| Platinum Electrode | 213-01 | Shanghai INESA Scientific Instrument Co., Ltd., Shanghai, China |
| Saturated Calomel Electrode | 232-01 | Shanghai INESA Scientific Instrument Co., Ltd., Shanghai, China |
| Electronic Balance | FA1004 | Shanghai Shangping Instrument Co., Ltd., Shanghai, China |
| Conductivity Meter | DDS-307A | Shanghai Zhiguang Instrument Co., Ltd., Shanghai, China |
| Digital Viscometer | LDV-2 + PRO | Shanghai Nirun Intelligent Technology Co., Ltd., Shanghai, China |
| Heating Magnetic Stirrer | 79-1 | Shanghai Meixiang Instrument Co., Ltd., Shanghai, China |
| Battery Testing System | Arbin BT 2000 | Arbin Instruments, Beijing, China |
| Electrochemical Workstation | CHI760E | Shanghai Chenhua Instrument Co., Ltd., Shanghai, China |
| Name | Parameter | Unit |
|---|---|---|
| Positive Electrode Frequency Range | 0.01–105 | Hz |
| Negative Electrode Frequency Range | 0.01–106 | Hz |
| AC Disturbance Voltage | 5 | mV |
| Electrolyte Flow Rate | 20 | mL·min−1 |
| Electrode Area | 1 | cm2 |
| Electrode Thickness | 3 | mm |
| Charge/Discharge Current Density | 2 | mA·cm−2 |
| Charge/Discharge Cycle Period | 20 | min |
| SOC | 50 | % |
| Ion Exchange Membrane | Nafion 212 |
Disclaimer/Publisher’s Note: The statements, opinions and data contained in all publications are solely those of the individual author(s) and contributor(s) and not of MDPI and/or the editor(s). MDPI and/or the editor(s) disclaim responsibility for any injury to people or property resulting from any ideas, methods, instructions or products referred to in the content. |
© 2025 by the authors. Licensee MDPI, Basel, Switzerland. This article is an open access article distributed under the terms and conditions of the Creative Commons Attribution (CC BY) license (https://creativecommons.org/licenses/by/4.0/).
Share and Cite
Xiao, Z.; Zhang, R.; Lu, M.; Ma, Q.; Li, Z.; Su, H.; Li, H.; Xu, Q. Numerical Simulation of Impact of Different Redox Couples on Flow Characteristics and Electrochemical Performance of Deep Eutectic Solvent Electrolyte Flow Batteries. Batteries 2025, 11, 18. https://doi.org/10.3390/batteries11010018
Xiao Z, Zhang R, Lu M, Ma Q, Li Z, Su H, Li H, Xu Q. Numerical Simulation of Impact of Different Redox Couples on Flow Characteristics and Electrochemical Performance of Deep Eutectic Solvent Electrolyte Flow Batteries. Batteries. 2025; 11(1):18. https://doi.org/10.3390/batteries11010018
Chicago/Turabian StyleXiao, Zhiyuan, Ruiping Zhang, Mengyue Lu, Qiang Ma, Zhuo Li, Huaneng Su, Huanhuan Li, and Qian Xu. 2025. "Numerical Simulation of Impact of Different Redox Couples on Flow Characteristics and Electrochemical Performance of Deep Eutectic Solvent Electrolyte Flow Batteries" Batteries 11, no. 1: 18. https://doi.org/10.3390/batteries11010018
APA StyleXiao, Z., Zhang, R., Lu, M., Ma, Q., Li, Z., Su, H., Li, H., & Xu, Q. (2025). Numerical Simulation of Impact of Different Redox Couples on Flow Characteristics and Electrochemical Performance of Deep Eutectic Solvent Electrolyte Flow Batteries. Batteries, 11(1), 18. https://doi.org/10.3390/batteries11010018

