Study of the Suitability of Corncob Biochar as Electrocatalyst for Zn–Air Batteries
Abstract
1. Introduction
2. Materials and Methods
2.1. Biochar and Electrode Preparation
2.2. Physicochemical Characterizations
2.3. An Electrochemical Characterization of the Electrodes and Construction and Operation of the Zn–Air Battery
3. Results and Discussion
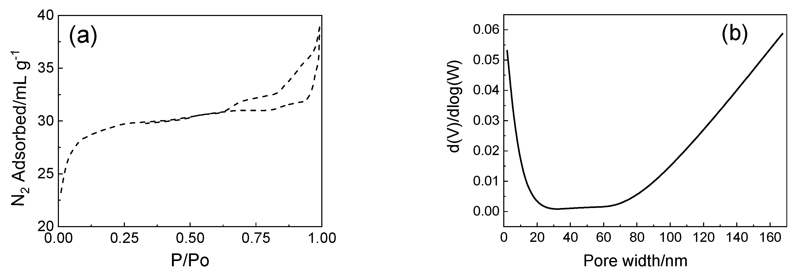
3.1. Physicochemical Characterization of the Biochar
3.2. Electrocatalytic Properties of the Corncob Biochar
3.3. Application in the Construction of a Zn–Air Battery
4. Conclusions
Author Contributions
Funding
Data Availability Statement
Conflicts of Interest
References
- Hong, X.; Deng, C.; He, J.; Liang, B.; Wang, G.; Tu, Z. Existing electrochemical activation mechanisms and related cathode materials for aqueous Zn ion batteries. Energy Conv. Manag. 2024, 299, 117906. [Google Scholar] [CrossRef]
- Yu, A.; Zhang, W.; Joshi, N.; Yang, Y. Recent advances in anode design for mild aqueous Zn-ion batteries. Energy Stor. Mat. 2024, 64, 103075. [Google Scholar] [CrossRef]
- Xu, C.; Niu, Y.; Au, V.K.-M.; Gong, S.; Liu, X.; Wang, J.; Wu, D.; Chen, Z. Recent progress of self-supported air electrodes for flexible Zn-air batteries. J. Energy Chem. 2024, 89, 110–136. [Google Scholar] [CrossRef]
- Liu, C.; Xie, X.; Lu, B.; Zhou, J.; Liang, S. Electrolyte strategies toward better zinc-ion batteries. ACS Energy Lett. 2021, 6, 1015–1033. [Google Scholar] [CrossRef]
- Zhou, T.; Zhu, L.; Xie, L.; Han, Q.; Yang, X.; Chen, L.; Wang, G.; Cao, X. Cathode materials for aqueous zinc-ion batteries: A mini review. J. Colloid. Interf. Sci. 2022, 605, 828–850. [Google Scholar] [CrossRef] [PubMed]
- Zhou, C.; Dong, C.; Wang, W.; Tian, Y.; Shen, C.; Yan, K.; Mai, L.; Xu, X. An ultrathin and crack-free metal-organic framework film for effective polysulfide inhibition in lithium–sulfur batteries. Interdiscip. Mater. 2024, 3, 306–315. [Google Scholar] [CrossRef]
- Zhang, L.; Liu, Y.; You, Y.; Vinu, A.; Mai, L. NASICONs-type solid-state electrolytes: The history, physicochemical properties, and challenges. Interdiscip. Mater. 2023, 2, 91–110. [Google Scholar] [CrossRef]
- Li, Y.; Dai, H. Recent advances in zinc–air batteries. Chem. Soc. Rev. 2014, 43, 5257. [Google Scholar] [CrossRef] [PubMed]
- Lianos, P. A brief review on solar charging of Zn–air batteries. Phys. Chem. Chem. Phys. 2023, 25, 11883–11891. [Google Scholar] [CrossRef]
- Wang, C.; Ran, S.; Sun, W.; Zhu, Z. Biomass-derived carbon materials with controllable preparation and their applications in zinc-air batteries: A mini review. Electrochem. Comm. 2023, 154, 107557. [Google Scholar] [CrossRef]
- Sharma, R.; Kumar, H.; Kumar, G.; Sharma, S.; Aneja, R.; Sharma, A.K.; Kumar, R.; Kumar, P. Progress and challenges in electrochemical energy storage devices: Fabrication, electrode material, and economic aspects. Chem. Eng. J. 2023, 468, 143706. [Google Scholar] [CrossRef]
- Katsaiti, M.; Papadogiannis, E.; Dracopoulos, V.; Keramidas, A.; Lianos, P. Solar charging of a Zn-air battery. J. Power Sources 2023, 555, 232384. [Google Scholar] [CrossRef]
- Lionetto, F.; Arianpouya, N.; Bozzini, B.; Maffezzoli, A.; Nematollahi, M.; Mele, C. Advances in zinc-ion structural batteries. J. Energy Stor. 2024, 84, 110849. [Google Scholar] [CrossRef]
- Dong, C.; Zhou, C.; Wu, M.; Yu, Y.; Yu, K.; Yan, K.; Shen, C.; Gu, J.; Yan, M.; Sun, C.; et al. Boosting Bi-Directional Redox of Sulfur with Dual Metal Single Atom Pairs in Carbon Spheres Toward High-Rate and Long-Cycling Lithium–Sulfur Battery. Adv. Energy. Mater. 2023, 13, 2301505. [Google Scholar] [CrossRef]
- Farhan, A.; Qayyum, W.; Fatima, U.; Nawaz, S.; Balčiūnaitė, A.; Kim, T.H.; Srivastava, V.; Vakros, J.; Frontistis, Z.; Boczkaj, G. Powering the Future by Iron Sulfide Type Material (FexSy) Based Electrochemical Materials for Water Splitting and Energy Storage Applications: A Review. Small 2024, 2402015. [Google Scholar] [CrossRef] [PubMed]
- Poudel, M.B.; Vijayapradeep, S.; Sekar, K.; Kim, J.S.; Yoo, D.J. Pyridinic-N exclusively enriched CNT-encapsulated NiFe interfacial alloy nanoparticles on knitted carbon fiber cloth as bifunctional oxygen catalysts for biaxially flexible zinc–air batteries. J. Mater. Chem. A 2024, 12, 10185–10195. [Google Scholar] [CrossRef]
- Poudel, M.B.; Logeshwaran, N.; Kim, A.R.; Karthikeyan, S.C.; Vijayapradeep, S.; Yoo, D.J. Integrated core-shell assembly of Ni3S2 nanowires and CoMoP nanosheets as highly efficient bifunctional electrocatalysts for overall water splitting. J. Alloys Compd. 2023, 960, 170678. [Google Scholar] [CrossRef]
- He, B.; Deng, Y.; Wang, H.; Wang, R.; Jin, J.; Gong, Y.; Zhao, L. Metal organic framework derived perovskite/spinel heterojunction as efficient bifunctional oxygen electrocatalyst for rechargeable and flexible Zn-air batteries. J. Colloid. Interf. Sci. 2022, 625, 502–511. [Google Scholar] [CrossRef] [PubMed]
- Li, H.; Askari, S.; Wang, J.; Wolff, N.; Behrens, M.; Kienle, L.; Benedikt, J. Nitrogen-doped NiCo2O4 nanowires on carbon paper as a self-supported air cathode for rechargeable Zn-air batteries. Int. J. Hydrogen Energy 2023, 48, 26107–26118. [Google Scholar] [CrossRef]
- Mishra, R.K.; Mohanty, K. A review of the next-generation biochar production from waste biomass for material applications. Sci. Total Environ. 2023, 904, 167171. [Google Scholar] [CrossRef]
- Rawat, S.; Wang, C.T.; Lay, C.H.; Hotha, S.; Bhaskar, T. Sustainable biochar for advanced electrochemical/energy storage applications. J. Energy Stor. 2023, 63, 107115. [Google Scholar] [CrossRef]
- Miao, W.; Liu, W.; Ding, Y.; Guo, R.; Zhao, J.; Zhu, Y.; Yu, H.; Zhu, Y. Cobalt (iron), nitrogen and carbon doped mushroom biochar for high-efficiency oxygen reduction in microbial fuel cell and Zn-air battery. J. Environ. Chem. Eng. 2022, 10, 108474. [Google Scholar] [CrossRef]
- Venkatachalam, C.D.; Sekar, S.; Sengottian, M.; Ravichandran, S.R.; Bhuvaneshwaran, P. A critical review of the production, activation, and morphological characteristic study on functionalized biochar. J. Energy Stor. 2023, 67, 107525. [Google Scholar] [CrossRef]
- Ntaflou, M.; Vakros, J. Transesterification activity of modified biochars from spent malt rootlets using triacetin. J. Clean. Prod. 2020, 259, 120931. [Google Scholar] [CrossRef]
- Kalampaliki, D.; Jayasingheb, G.D.T.M.; Avramiotis, E.; Manariotis, I.D.; Venieri, D.; Poulopoulos, S.G.; Szpunar, J.; Vakros, J.; Mantzavinos, D. Application of a KOH activated biochar for the activation of persulfate and the degradation of sulfamethoxazole. Chem. Eng. Res. Des. 2023, 194, 306–317. [Google Scholar] [CrossRef]
- Ioannidi, A.A.; Vakros, J.; Frontistis, Z.; Mantzavinos, D. Tailoring the Biochar Physicochemical Properties Using a Friendly Eco-Method and Its Application on the Oxidation of the Drug Losartan through Persulfate Activation. Catalysts 2022, 12, 1245. [Google Scholar] [CrossRef]
- Azargohar, R.; Dalai, A.K. Steam and KOH activation of biochar: Experimental and modeling studies. Microporous Mesoporous Mater. 2008, 110, 413–421. [Google Scholar] [CrossRef]
- Xia, D.; Tan, F.; Zhang, C.; Jiang, X.; Chen, Z.; Li, H.; Zheng, Y.; Li, Q.; Wang, Y. ZnCl2-activated biochar from biogas residue facilitates aqueous As(III) removal. Appl. Surf. Sci. 2016, 377, 361–369. [Google Scholar] [CrossRef]
- Mahbub, M.A.A.; Mulyadewi, A.; Adios, C.G.; Sumboja, A. Sustainable Chicken Manure-derived Carbon as a Metalfree Bifunctional Electrocatalyst in Zn-air Battery. AIP Conf. Proc. 2022, 2652, 040011. [Google Scholar] [CrossRef]
- Tripath, M.; Sahu, J.N.; Ganesan, P. Effect of process parameters on production of biochar from biomass waste through pyrolysis: A review. Ren. Sustain. Energy Rev. 2016, 55, 467–481. [Google Scholar] [CrossRef]
- Lin, X.; Xue, L.; Liu, B.; Qiu, X.; Liu, J.; Wang, X.; Qi, Y.; Qin, Y. Lignosulfonate-assisted in situ synthesis of Co9S8–Ni3S2 heterojunctions encapsulated by S/N co-doped biochar for efficient water oxidation. J. Colloid. Interf. Sci. 2023, 644, 295–303. [Google Scholar] [CrossRef] [PubMed]
- Wang, J.; Wu, L.; Shen, L.; Zhou, Q.; Chen, Y.; Wu, J.; Wen, Y.; Zheng, J. CoO embedded porous biomass-derived carbon as dual-functional host material for lithium-sulfur batteries. J. Colloid. Interf. Sci. 2023, 640, 415–422. [Google Scholar] [CrossRef] [PubMed]
- Khedulkar, A.P.; Dang, V.D.; Pandit, B.; Bui, T.A.N.; Tran, H.L.; Doong, R. Flower-like nickel hydroxide@tea leaf-derived biochar composite for high-performance supercapacitor application. J. Colloid. Interf. Sci. 2022, 623, 845–855. [Google Scholar] [CrossRef] [PubMed]
- Liu, W.J.; Jiang, H.; Yu, H.Q. Emerging applications of biochar-based materials for energy storage and conversion. Energy Environ. Sci. 2019, 12, 1751–1779. [Google Scholar] [CrossRef]
- Yang, J.; Tang, S.; Mei, W.; Chen, Y.; Yi, W.; Lv, P.; Yang, G. Valorising lignocellulosic biomass to high-performance electrocatalysts via anaerobic digestion pretreatment. Biochar 2024, 6, 23. [Google Scholar] [CrossRef]
- Pérez-Rodríguez, S.; Pinto, O.; Izquierdo, M.T.; Segura, C.; Poon, P.S.; Celzard, A.; Matos, J.; Fierro, V. Upgrading of pine tannin biochars as electrochemical capacitor electrodes. J. Colloid. Interf. Sci. 2021, 601, 863–876. [Google Scholar] [CrossRef] [PubMed]
- Li, C.; Cao, K.; Fan, Y.; Li, Q.; Zhang, Y.; Guo, Z. Kinetically well-matched porous framework dual carbon electrodes for high-performance sodium-ion hybrid capacitors. J. Colloid. Interf. Sci. 2023, 652, 1356–1366. [Google Scholar] [CrossRef]
- Kottis, T.; Soursos, N.; Govatsi, K.; Sygellou, L.; Vakros, J.; Manariotis, I.D.; Mantzavinos, D.; Lianos, P. Biochar from olive tree twigs and spent malt rootlets as electrodes in Zn-air batteries. J. Colloid. Interf. Sci. 2024, 665, 10–18. [Google Scholar] [CrossRef]
- Hasa, B.; Martino, E.; Vakros, J.; Trakakis, G.; Galiotis, C.; Katsaounis, A. The effect of carbon support on the electrocatalytic properties of Pt-Ru catalysts. ChemElectroChem 2019, 6, 4970–4979. [Google Scholar] [CrossRef]
- Vakros, J.; Manariotis, I.D.; Dracopoulos, V.; Mantzavinos, D.; Lianos, P. Biochar from Spent Malt Rootlets and Its Application to an Energy Conversion and Storage Device. Chemosensors 2021, 9, 57. [Google Scholar] [CrossRef]
- Dhawle, R.; Vakros, J.; Dracopoulos, V.; Manariotis, I.D.; Mantzavinos, D.; Lianos, P. Enhancement of the photoelectrochemical production of hydrogen peroxide under intermittent light supply in the presence of an optimized biochar supercapacitor. Electrochimica Acta 2022, 427, 140846. [Google Scholar] [CrossRef]
- Parsimehr, H.; Kazemzadeh, P.; Ehsani, A. Wheat-Based Porous Electrodes for Electrochemical Energy Storage Devices. ECS Adv. 2023, 2, 020503. [Google Scholar] [CrossRef]
- Iakunkov, A.; Skrypnychuk, V.; Nordenström, A.; Shilayeva, E.A.; Korobov, M.; Prodana, M.; Enachescu, M.; Larsson, S.H.; Talyzin, A.V. Activated graphene as a material for supercapacitor electrodes: Effects of surface area, pore size distribution and hydrophilicity. Phys. Chem. Chem. Phys. 2019, 21, 17901–17912. [Google Scholar] [CrossRef] [PubMed]
- Rattanaphaiboon, P.; Homdoung, N.; Tippayawong, N. Production and characterization of corncob biochar for agricultural use. AIP Conf. Proc. 2022, 2681, 020034. [Google Scholar] [CrossRef]
- Gandam, P.K.; Chinta, M.L.; Gandham, A.P.; Pabbathi, N.P.P.; Konakanchi, S.; Bhavanam, A.; Atchuta, S.R.; Baadhe, R.R.; Bhatia, R.K. A New Insight into the Composition and Physical Characteristics of Corncob—Substantiating Its Potential for Tailored Biorefinery Objectives. Fermentation 2022, 8, 704. [Google Scholar] [CrossRef]
- Smith, M.; Scudiero, L.; Espinal, J.; McEwen, J.-S.; Garcia-Perez, M. Improving the deconvolution and interpretation of XPS spectra from chars by ab initio calculations. Carbon 2016, 110, 155–171. [Google Scholar] [CrossRef]
- Lohani, P.C.; Tiwari, A.P.; Muthurasu, A.; Pathak, I.; Poudel, M.B.; Chhetri, K.; Dahal, B.; Acharya, D.; Ko, T.H.; Kim, H.Y. Phytic acid empowered two nanos “Polypyrrole tunnels and transition Metal-(Oxy)hydroxide Sheets” in a single platform for unmitigated redox water splitting. Chem. Eng. J. 2023, 463, 142280. [Google Scholar] [CrossRef]
- Ma, L.-L.; Liu, W.-J.; Hu, X.; Lam, P.K.S.; Zeng, J.R.; Yu, H.-Q. Ionothermal carbonization of biomass to construct sp2/sp3 carbon interface in N-doped biochar as efficient oxygen reduction electrocatalysts. Chem. Eng. J. 2020, 400, 125969. [Google Scholar] [CrossRef]
- Budai, A.; Wang, L.; Gronli, M.; Strand, L.T.; Antal, M.J., Jr.; Abiven, S.; Dieguez-Alonso, A.; Anca-Couce, A.; Rasse, D.P. Surface Properties and Chemical Composition of Corncob and Miscanthus Biochars: Effects of Production Temperature and Method. J. Agric. Food Chem. 2014, 62, 3791–3799. [Google Scholar] [CrossRef]
- Qian, L.; Guo, F.; Jia, X.; Zhan, Y.; Zhou, H.; Jiang, X.; Tao, C. Recent development in the synthesis of agricultural and forestry biomass–derived porous carbons for super– capacitor applications: A review. Ionics 2020, 26, 3705–3723. [Google Scholar] [CrossRef]
- Gao, G.; Cheong, L.Z.; Wang, D.; Shen, C. Pyrolytic carbon derived from spent coffee grounds as anode for sodium–ion batteries. Carbon. Resour. Convers. 2018, 1, 104–108. [Google Scholar] [CrossRef]
- Vahur, S.; Teearu, A.; Peets, P.; Joosu, L.; Leito, I. ATR-FT-IR spectral collection of conservation materials in the extended region of 4000-80 cm−1. Anal. Bioanal. Chem. 2016, 408, 3373–3379. [Google Scholar] [CrossRef] [PubMed]
- Kiefer, J.; Stärk, A.; Kiefer, A.; Glade, H. Infrared Spectroscopic Analysis of the Inorganic Deposits from Water in Domestic and Technical Heat Exchangers. Energies 2018, 11, 798. [Google Scholar] [CrossRef]
- Magioglou, E.; Frontistis, Z.; Vakros, J.; Manariotis, I.D.; Mantzavinos, D. Activation of Persulfate by Biochars from Valorized Olive Stones for the Degradation of Sulfamethoxazole. Catalysts 2019, 9, 419. [Google Scholar] [CrossRef]
- Grilla, E.; Vakros, J.; Konstantinou, I.; Manariotis, I.D.; Mantzavinos, D. Activation of persulfate by biochar from spent malt rootlets for the degradation of trimethoprim in the presence of inorganic ions. J. Chem. Technol. Biotechnol. 2020, 95, 2348–2358. [Google Scholar] [CrossRef]
- Nikolaou, S.; Vakros, J.; Diamadopoulos, E.; Mantzavinos, D. Sonochemical degradation of propylparaben in the presence of agroindustrial biochar. J. Environ. Chem. Eng. 2020, 8, 104010. [Google Scholar] [CrossRef]
- Yan, Y.; Manickam, S.; Siva Lester, E.; Wu, T.; Pang, C.H. Synthesis of Graphene Oxide and Graphene Quantum Dots from Miscanthus via Ultrasound-Assisted Mechano-Chemical Cracking Method. Ultrason. Sonochem. 2021, 73, 105519. [Google Scholar] [CrossRef] [PubMed]
- Yang, Y.; Kwon, E.E.; Dou, X.; Zhang, M.; Kim, K.H.; Tsang, D.C.W.; Ok, Y.S. Fabrication of spherical biochar by a two-step thermal process from waste potato peel. Sci. Total Environ. 2018, 626, 478–485. [Google Scholar] [CrossRef]
- Li, X.J.; Hayashi, J.; Li, C.Z. FT-Raman spectroscopic study of the evolution of char structure during the pyrolysis of a Victorian brown coal. Fuel 2006, 85, 1700–1707. [Google Scholar] [CrossRef]










| Element | Atoms (%) |
|---|---|
| C | 90.9 |
| O | 7.9 |
| K | 0.8 |
| Mg | 0.1 |
| Si | 0.05 |
| P | 0.25 |
| XPS Peak | Eb [eV] | Atomic Concentration (%) |
|---|---|---|
| C1s | 284.5 | 76.2 |
| Ca2p | 347.7 | traces |
| O1s | 532.5 | 17.4 |
| K2p | 293.0 | 1.1 |
| Si2p | 103.2 | 2.8 |
| Mg2p | 51.5 | 2.5 |
| Eb (eV) | Assignments | Biochar (±0.5) |
|---|---|---|
| 284.4 ± 0.1 | C-C sp2 | 35.9 |
| 285.3 ± 0.1 | C-C sp3 | 30.1 |
| 286.2 ± 0.2 | C-O(H) | 26.2 |
| 287.8 ± 0.2 | C=O | 3.6 |
| 289.0 ± 0.2 | COOH | 2.9 |
| 290.5 | carbonates | 1.9 |
Disclaimer/Publisher’s Note: The statements, opinions and data contained in all publications are solely those of the individual author(s) and contributor(s) and not of MDPI and/or the editor(s). MDPI and/or the editor(s) disclaim responsibility for any injury to people or property resulting from any ideas, methods, instructions or products referred to in the content. |
© 2024 by the authors. Licensee MDPI, Basel, Switzerland. This article is an open access article distributed under the terms and conditions of the Creative Commons Attribution (CC BY) license (https://creativecommons.org/licenses/by/4.0/).
Share and Cite
Soursos, N.; Kottis, T.; Premeti, V.; Zafeiropoulos, J.; Govatsi, K.; Sygellou, L.; Vakros, J.; Manariotis, I.D.; Mantzavinos, D.; Lianos, P. Study of the Suitability of Corncob Biochar as Electrocatalyst for Zn–Air Batteries. Batteries 2024, 10, 209. https://doi.org/10.3390/batteries10060209
Soursos N, Kottis T, Premeti V, Zafeiropoulos J, Govatsi K, Sygellou L, Vakros J, Manariotis ID, Mantzavinos D, Lianos P. Study of the Suitability of Corncob Biochar as Electrocatalyst for Zn–Air Batteries. Batteries. 2024; 10(6):209. https://doi.org/10.3390/batteries10060209
Chicago/Turabian StyleSoursos, Nikolaos, Theodoros Kottis, Vasiliki Premeti, John Zafeiropoulos, Katerina Govatsi, Lamprini Sygellou, John Vakros, Ioannis D. Manariotis, Dionissios Mantzavinos, and Panagiotis Lianos. 2024. "Study of the Suitability of Corncob Biochar as Electrocatalyst for Zn–Air Batteries" Batteries 10, no. 6: 209. https://doi.org/10.3390/batteries10060209
APA StyleSoursos, N., Kottis, T., Premeti, V., Zafeiropoulos, J., Govatsi, K., Sygellou, L., Vakros, J., Manariotis, I. D., Mantzavinos, D., & Lianos, P. (2024). Study of the Suitability of Corncob Biochar as Electrocatalyst for Zn–Air Batteries. Batteries, 10(6), 209. https://doi.org/10.3390/batteries10060209

