Assessment of a Top and Bottom Cooling Strategy for Prismatic Lithium-Ion Cells Intended for Automotive Use †
Abstract
1. Introduction
2. Li-Ion Batteries Electrothermal Modelling
2.1. Model of the Battery Module

2.1.1. JR Modelling
2.1.2. Casing Modelling
2.1.3. Busbar Modelling
2.2. Model Calibration
2.2.1. Assumptions
- All the cells within the module are identical.
- The thermal spacers positioned between the cell sets indicate that the sole thermal conduction route between the sets is through the busbars.
- The air temperature within the climate chamber and of the liquid circulating through the cooling plates are maintained at a constant level during the entire test.
- The model’s initial and boundary conditions are considered suitable for the experimental circumstances.
2.2.2. Battery Module Without Any Cooling Plate
2.2.3. Battery Module with Top and Bottom Cooling Plates
3. Configuration of Measurement Apparatus and Testing Protocols
3.1. Battery Module Tested
3.1.1. Thermal Control System and Thermal Test Protocol
3.1.2. Charging/Discharging System and Procedures
4. Experimental Results
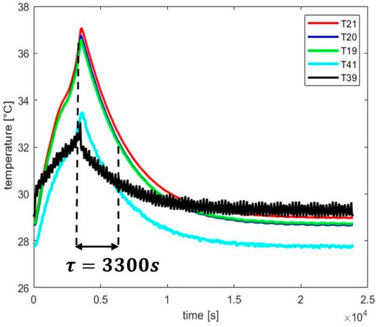
4.1. Battery Module During Charging
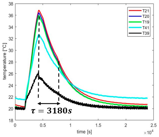
4.2. Discharging Battery Module
5. Model Validation and Extrapolations
- The module was fitted with bottom and top cooling plates;
- The air temperature was maintained at 25 °C while the coolant temperature was regulated at 20 °C;
- The initial temperature was 20.7 °C;
- A single cell within the module was selected for the purpose of comparing the model with the experimental results;
- The thermocouple used for the measurement was positioned at the center of the larger surface of this cell.
6. Conclusions
Author Contributions
Funding
Data Availability Statement
Conflicts of Interest
Notations
| Heat transfer coefficient | |
| Irreversible heat | |
| Reversible heat | |
| Electrical resistance of a mesh i, j (obtained after 30 s) | |
| Thermal resistance attributed to the cooling plate | |
| Thermal interface resistance | |
| Cross-sectional area of the busbar | |
| Air temperature | |
| Busbar temperature | |
| Coolant temperature | |
| Temperature of a jelly roll mesh i, j | |
| Length of a busbar mesh | |
| Thermal gradient | |
| CC | Constant current |
| CV | Constant voltage |
| I | Current |
| JR | Jelly roll |
| LIB | Lithium-ion battery |
| SOC | State of charge |
| T | Average battery temperature |
| t | Time |
| TMS | Thermal management system |
| Open circuit voltage | |
| Convection surface | |
| Thickness | |
| Density of a material | |
| τ | Time constant (defined by the authors) |
References
- Maisel, F.; Neef, C.; Marscheider-Weidemann, F.; Nissen, N.F. A forecast on future raw material demand and recycling potential of lithium-ion batteries in electric vehicles. Resour. Conserv. Recycl. 2023, 192, 106920. [Google Scholar] [CrossRef]
- Li, S.; Zhang, C.; Zhao, Y.; Offer, G.J.; Marinescu, M. Effect of thermal gradients on inhomogeneous degradation in lithium-ion batteries. Commun. Eng. 2023, 2, 74. [Google Scholar] [CrossRef]
- Song, D.; Wang, S.; Di, L.; Zhang, W.; Wang, Q.; Wang, J.V. Lithium-Ion Battery Life Prediction Method under Thermal Gradient Conditions. Energies 2023, 16, 767. [Google Scholar] [CrossRef]
- Steinhardt, M.; Gillich, E.I.; Stiegler, M.; Jossen, A. Thermal conductivity inside prismatic lithium-ion cells with dependencies on temperature and external compression pressure. J. Energy Storage 2020, 32, 101680. [Google Scholar] [CrossRef]
- Zhou, Y.; Wang, Z.; Xie, Z.; Wang, Y. Parametric Investigation on the Performance of a Battery Thermal Management System with Immersion Cooling. Energies 2022, 15, 2554. [Google Scholar] [CrossRef]
- Hunt, I.A.; Zhao, Y.; Patel, Y.; Offer, J. Surface Cooling Causes Accelerated Degradation Compared to Tab Cooling for Lithium-Ion Pouch Cells. J. Electrochem. Soc. 2016, 163, A1846–A1852. [Google Scholar] [CrossRef]
- Feng, X.; Xu, C.; He, X.; Wang, L.; Zhang, G.; Ouyang, M. Mechanisms for the evolution of cell variations within a LiNixCoyMnzO2/graphite lithium-ion battery pack caused by temperature non-uniformity. J. Clean. Prod. 2018, 205, 447–462. [Google Scholar] [CrossRef]
- Shi, C.; Kim, S.-H.; Warren, N.; Guo, N.; Zhang, X.; Wang, Y.; Willemsen, A.; López-Pernía, C.; Liu, Y.; Kingon, A.I.; et al. Hierarchically Micro- and Nanostructured Polymer via Crystallinity Alteration for Sustainable Environmental Cooling. Langmuir 2024, 40, 20195–20203. [Google Scholar] [CrossRef]
- Amalesh, T.; Narasimhan, N.L. Liquid cooling vs hybrid cooling for fast charging lithium-ion batteries: A comparative numerical study. Appl. Therm. Eng. 2022, 208, 118226. [Google Scholar] [CrossRef]
- Liu, J.; Fan, Y.; Xie, Q. Feasibility study of a novel oil-immersed battery cooling system: Experiments and theoretical analysis. Appl. Therm. Eng. 2022, 208, 118251. [Google Scholar] [CrossRef]
- Mohammed, A.H.; Esmaeeli, R.; Aliniagerdroudbari, H.; Alhadri, M.; Hashemi, S.R.; Nadkarni, G.; Farhad, S. Dual-purpose cooling plate for thermal management of prismatic lithium-ion batteries during normal operation and thermal runaway. Appl. Therm. Eng. 2019, 160, 114106. [Google Scholar] [CrossRef]
- Wu, S.; Xiong, R.; Li, H.; Nian, V.; Ma, S. The state of the art on preheating lithium-ion batteries in cold weather. J. Energy Storage 2020, 27, 101059. [Google Scholar] [CrossRef]
- Kalogiannis, T.; Jaguemont, J.; Omar, N.; Van Mierlo, J.; Bossche, P.V.D. A Comparison of Internal and External Preheat Methods for NMC Batteries. World Electr. Veh. J. 2019, 10, 18. [Google Scholar] [CrossRef]
- Dao, T.-S.; Vyasarayani, C.P.; McPhee, J. Simplification and order reduction of lithium-ion battery model based on porous-electrode theory. J. Power Sources 2012, 198, 329–337. [Google Scholar] [CrossRef]
- Wang, D.; Huang, H.; Tang, Z.; Zhang, Q.; Yang, B.; Zhang, B. A lithium-ion battery electrochemical–thermal model for a wide temperature range applications. Electrochim. Acta 2020, 362, 137118. [Google Scholar] [CrossRef]
- Barreras, J.V.; Raj, T.; Howey, D.A. Derating Strategies for Lithium-Ion Batteries in Electric Vehicles. In Proceedings of the IECON 2018—44th Annual Conference of the IEEE Industrial Electronics Society, Washington, DC, USA, 21–23 October 2018. [Google Scholar] [CrossRef]
- Madaoui, S.; Vinassa, J.-M.; Sabatier, J.; Guillemard, F. An Electrothermal Model of an NMC Lithium-Ion Prismatic Battery Cell for Temperature Distribution Assessment. Batteries 2023, 9, 478. [Google Scholar] [CrossRef]
- Rezvanizaniani, S.M.; Liu, Z.; Chen, Y.; Lee, J. Review and recent advances in battery health monitoring and prognostics technologies for electric vehicle (EV) safety and mobility. J. Power Sources 2014, 256, 110–124. [Google Scholar] [CrossRef]
- Palmieri, B.; Cilento, F.; Siviello, C.; Bertocchi, F.; Giordano, M.; Martone, A. Mitigation of Heat Propagation in a Battery Pack by Interstitial Graphite Nanoplatelet Layer: Coupled Electrochemical-Heat Transfer Model. J. Compos. Sci. 2022, 6, 296. [Google Scholar] [CrossRef]
- Xu, X.; Zhang, H.; Cao, L.; Yi, Z.; Li, P.; Guo, H. Heat generation and surrogate model for large-capacity nickel-rich prismatic lithium-ion battery as against 18650 battery. J. Loss Prev. Process. Ind. 2022, 77, 104783. [Google Scholar] [CrossRef]
- Wu, L.; Liu, K.; Liu, J.; Pang, H. Evaluating the heat generation characteristics of cylindrical lithium-ion battery considering the discharge rates and N/P ratio. J. Energy Storage 2023, 64, 107182. [Google Scholar] [CrossRef]
- Gozdur, R.; Guzowski, B.; Dimitrova, Z.; Noury, A.; Mitukiewicz, G.; Batory, D. An energy balance evaluation in lithium-ion battery module under high temperature operation. Energy Convers. Manag. 2021, 227, 113565. [Google Scholar] [CrossRef]
- Madaoui, S.; Guzowski, B.; Gozdur, R.; Dimitrova, Z.; Audiot, N.; Sabatier, J.; Vinassa, J.-M.; Guillemard, F. Evaluation of Dual Side Cooling System for Prismatic Batteries for Vehicle Aplications. In Proceedings of the 36th International Conference on Efficiency, Cost, Optimization, Simulation and Environmental Impact of Energy Systems (ECOS 2023), Las Palmas de Gran Canaria, Spain, 25–30 June 2023; pp. 2218–2228. [Google Scholar]
- Worwood, D.; Kellner, Q.; Wojtala, M.; Widanage, W.; McGlen, R.; Greenwood, D.; Marco, J. A new approach to the internal thermal management of cylindrical battery cells for automotive applications. J. Power Sources 2017, 346, 151–166. [Google Scholar] [CrossRef]
- Fleckenstein, M.; Bohlen, O.; Bäker, B. Aging Effect of Temperature Gradients in Li-ion Cells Experimental and Simulative Investigations and the Consequences on Thermal Battery Management. World Electr. Veh. J. 2012, 5, 322–333. [Google Scholar] [CrossRef]
- Zhang, X.; Wierzbicki, T. Characterization of plasticity and fracture of shell casing of lithium-ion cylindrical battery. J. Power Sources 2015, 280, 47–56. [Google Scholar] [CrossRef]
- Bree, G.; Horstman, D.; Low, C.T.J. Light-weighting of battery casing for lithium-ion device energy density improvement. J. Energy Storage 2023, 68, 107852. [Google Scholar] [CrossRef]
- Das, A.; Barai, A.; Masters, I.; Williams, D. Comparison of Tab-To-Busbar Ultrasonic Joints for Electric Vehicle Li-Ion Battery Applications. World Electr. Veh. J. 2019, 10, 55. [Google Scholar] [CrossRef]
- Zwicker, M.; Moghadam, M.; Zhang, W.; Nielsen, C. Automotive battery pack manufacturing—A review of battery to tab joining. J. Adv. Join. Process 2020, 1, 100017. [Google Scholar] [CrossRef]
- Wu, X.; Zhang, K.; Chen, Y.; Du, J.; Shchurov, N. Multistage fast charging optimization protocol for lithium-ion batteries based on the biogeography-based algorithm. J. Energy Storage 2022, 52, 104679. [Google Scholar] [CrossRef]
- Allart, D. Gestion et Modélisation Électrothermique des Batteries Lithium-Ion. Ph.D. Thesis, Université de Caen Normandie, Caen, France, 2023. [Google Scholar]
- Huang, H. A propensity-based framework for measurement uncertainty analysis. Measurement 2023, 213, 112693. [Google Scholar] [CrossRef]
- Calearo, L.; Thingvad, A.; Ziras, C.; Marinelli, M. A methodology to model and validate electro-thermal-aging dynamics of electric vehicle battery packs. J. Energy Storage 2022, 55, 105538. [Google Scholar] [CrossRef]
- Ji, H.; Luo, T.; Dai, L.; He, Z.; Wang, Q. Topology design of cold plates for pouch battery thermal management considering heat distribution characteristics. Appl. Therm. Eng. 2023, 224, 119940. [Google Scholar] [CrossRef]
- Chen, Z.; Yang, S.; Pan, M.; Xu, J. Experimental investigation on thermal management of lithium-ion battery with roll bond liquid cooling plate. Appl. Therm. Eng. 2022, 206, 118106. [Google Scholar] [CrossRef]
- Angani, A.; Kim, H.-W.; Hwang, M.-H.; Kim, E.; Kim, K.-M.; Cha, H.-R. A comparison between Zig-Zag plated hybrid parallel pipe and liquid cooling battery thermal management systems for Lithium-ion battery module. Appl. Therm. Eng. 2023, 219, 119599. [Google Scholar] [CrossRef]
- Tardy, E.; Thivel, P.-X.; Druart, F.; Kuntz, P.; Devaux, D.; Bultel, Y. Internal temperature distribution in lithium-ion battery cell and module based on a 3D electrothermal model: An investigation of real geometry, entropy change and thermal process. J. Energy Storage 2023, 64, 107090. [Google Scholar] [CrossRef]
- Jiang, G.; Zhuang, L.; Hu, Q.; Liu, Z.; Huang, J. An investigation of heat transfer and capacity fade in a prismatic Li-ion battery based on an electrochemical-thermal coupling model. Appl. Therm. Eng. 2020, 171, 115080. [Google Scholar] [CrossRef]


















| Specification | Value |
|---|---|
| Cathode material | NMC |
| Anode material | Graphite |
| Nominal capacity | 67 [] |
| Cut-off voltages | 2.8–4.2 [] |
| Dimensions | 150–30–100 [] |
| Thermal conductivities | 40–2.5–40 [] |
| Specific heat capacity | 1200 [] |
| Parameter | Nominal Value |
|---|---|
| Capacity | 201 [Ah] |
| Rated module voltage | 14.6 [V] |
| Min module voltage | 11.2 [V] |
| Max module voltage | 16.8 [V] |
| 1C charge/discharge current | 201 [A] |
| Equipment | Uncertainties |
|---|---|
| Power supply ITECH IT6533 Max 200VDC/120A/6kW (ITECH, Nanjing, China) | Voltage: <0.05% + 100 mV; Current: <0.2% + 120 mA |
| Power supply TDK-LAMBDA GEN60-85 Max 60VDC/85A (TDK Lambda, Les Ulis, France) | Voltage: <0.015% + 5 mV; Current: <0.1% |
| Data acquisition system Keithley DAQ 6510+40 (Keithley Instruments, Solon, OH, USA) | ±1 °C |
| Electronic load Elektro-Automatik EA-ELR 9080 Max 80VDC/510A/10.5kW (EA ELEKTRO-AUTOMATIK GMBH, Viersen, Germany) | Voltage: <0.3%; Current: <0.4% |
| Climatic chamber ST 2B SMART POL-EKO Apertura (POL-EKO, Wodzisław Śląski, Poland) | <±0.8 °C |
| Chiller CW-6100AN (TEYU ELECTROMECHANICAL CO., Guangzhou, China) | ±0.5 °C |
| 45 Type K thermocouples (RS Pro, Beauvais, France) | ±0.9 °C |
| Measured Quantity | Unit | Uncertainty | Range |
|---|---|---|---|
| Voltage | [mV] | 2 | 100 [V] |
| Current | [A] | 1.5 | 500 [A] |
| Temperature | [°C] | 0.9 | 55 [°C] |
Disclaimer/Publisher’s Note: The statements, opinions and data contained in all publications are solely those of the individual author(s) and contributor(s) and not of MDPI and/or the editor(s). MDPI and/or the editor(s) disclaim responsibility for any injury to people or property resulting from any ideas, methods, instructions or products referred to in the content. |
© 2024 by the authors. Licensee MDPI, Basel, Switzerland. This article is an open access article distributed under the terms and conditions of the Creative Commons Attribution (CC BY) license (https://creativecommons.org/licenses/by/4.0/).
Share and Cite
Madaoui, S.; Guzowski, B.; Gozdur, R.; Dimitrova, Z.; Audiot, N.; Sabatier, J.; Vinassa, J.-M.; Guillemard, F. Assessment of a Top and Bottom Cooling Strategy for Prismatic Lithium-Ion Cells Intended for Automotive Use. Batteries 2024, 10, 403. https://doi.org/10.3390/batteries10110403
Madaoui S, Guzowski B, Gozdur R, Dimitrova Z, Audiot N, Sabatier J, Vinassa J-M, Guillemard F. Assessment of a Top and Bottom Cooling Strategy for Prismatic Lithium-Ion Cells Intended for Automotive Use. Batteries. 2024; 10(11):403. https://doi.org/10.3390/batteries10110403
Chicago/Turabian StyleMadaoui, Said, Bartlomiej Guzowski, Roman Gozdur, Zlatina Dimitrova, Nicolas Audiot, Jocelyn Sabatier, Jean-Michel Vinassa, and Franck Guillemard. 2024. "Assessment of a Top and Bottom Cooling Strategy for Prismatic Lithium-Ion Cells Intended for Automotive Use" Batteries 10, no. 11: 403. https://doi.org/10.3390/batteries10110403
APA StyleMadaoui, S., Guzowski, B., Gozdur, R., Dimitrova, Z., Audiot, N., Sabatier, J., Vinassa, J.-M., & Guillemard, F. (2024). Assessment of a Top and Bottom Cooling Strategy for Prismatic Lithium-Ion Cells Intended for Automotive Use. Batteries, 10(11), 403. https://doi.org/10.3390/batteries10110403

