Thermal Propagation Test Bench for the Study of the Paschen Curve and Lightning Arcs of Venting Gas
Abstract
1. Introduction
2. Materials and Methods
2.1. Venting Gas Mixture from Autoclave Setup
2.2. Paschen’s Law
2.3. Breakdown Voltage Detector
2.4. Venting Gas Breakdown Voltage Detector
2.4.1. Testing Procedure Setup
2.4.2. Sensors and Placement
- 1.
- Initial time of nail penetrationIt is recorded when and for how long the nail gun motor is activated—once the nail is fully inserted into the cell, the motor stops.
- 2.
- Temperature sensorsType K sensors are used; a schematic overview can be seen in Figure 10. Four sensors are placed within the cell mount/cell stack and are numbered, using aluminum plates with sensor cutout to avoid indentation into the cells. Two sensors are placed on the connection between cell mount and test bench, two in the test bench (top and bottom), four along the exhaust system, and one recording the surrounding environment.
- 3.
- Voltage meteringVoltage is measured in the cell pack—every logical cell (2p) as well as the overall stack are measured. The electrodes within the lightning arc box are supplied with the appropriate voltage, yet to record the lightning arc, a sufficiently fast voltmeter needs to be used. To detect the presence of lightning arcs, 100 Hz is found to be sufficient.
- 4.
- MassflowA SITRANS P320 digital pressure transmitter allows for gas flow (and thus gas creation) measurement of venting gas during the TP process.
3. Results
3.1. Breakdown Voltage Detector Experiments
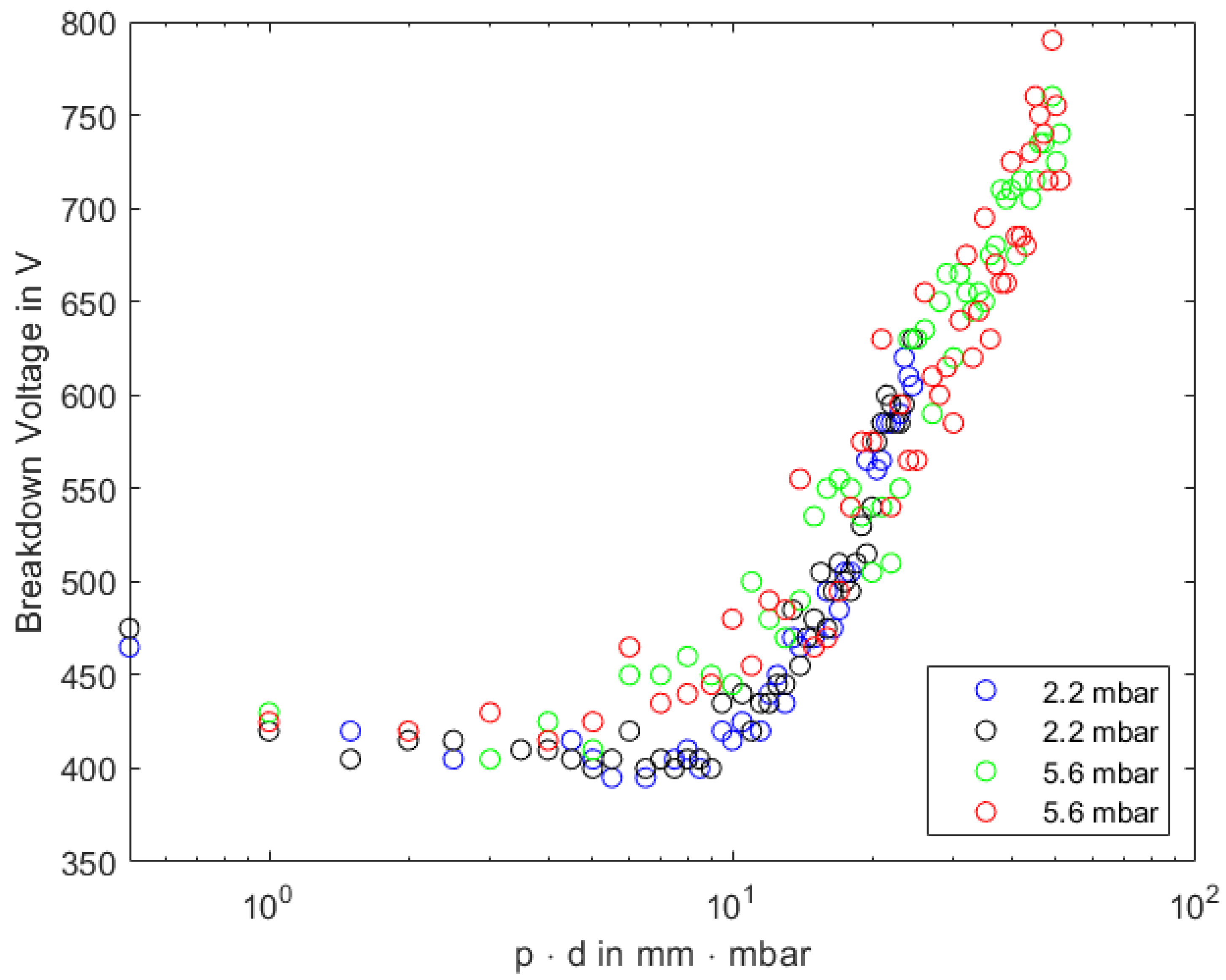
3.1.1. Air
3.1.2. Venting Gas
3.2. Thermal Propagation Testing
4. Conclusions
Author Contributions
Funding
Institutional Review Board Statement
Informed Consent Statement
Data Availability Statement
Acknowledgments
Conflicts of Interest
Abbreviations
| UN-ECE | United Nations Economic Commission for Europe |
| GTR | Global Technical Regulations |
| NMC | Nickel Manganese Cobalt battery chemistry |
| CO2 | Carbon Dioxide |
| CO | Carbon Monoxide |
| H2 | Hydrogen |
| C2H6 | Ethane |
| CH4 | Methane |
| TR | Thermal Runaway |
| TP | Thermal Propagation |
| SoC | State of Charge |
| Deuterium | |
| 2p3s | Battery cells connected: 2 parallel in a series of 3 |
| PEEK | Polyetheretherketone |
| DIN EN # | German edition of European standards |
References
- Sun, P.; Bisschop, R.; Niu, H.; Huang, X. A Review of Battery Fires in Electric Vehicles. Fire Technol. 2020, 56, 1361–1410. [Google Scholar] [CrossRef]
- Global Technical Regulation on the Electric Vehicle Safety (EVS). Available online: https://unece.org/fileadmin/DAM/trans/main/wp29/wp29wgs/wp29gen/wp29registry/ECE-TRANS-180a20e.pdf/ (accessed on 1 July 2023).
- Wang, Q.; Ping, P.; Zhao, X.; Chu, G.; Sun, J.; Chen, C. Thermal runaway caused re and explosion of lithium ion battery. J. Power Sources 2012, 208, 210–224. [Google Scholar] [CrossRef]
- Li, Z.; Liu, D.; Li, H.; Dong, W.; Zhang, H.; Tian, Y.; Liu, L. Experimental Study on Arcing in Thermal Propagation of Lithium-Ion Battery Systems. Available online: https://ouci.dntb.gov.ua/en/works/4gZAvYr7/ (accessed on 27 October 2024).
- Koch, S.; Fill, A.; Kai Peter Birke, L. Comprehensive gas analysis on large scale automotive lithium-ion cells in thermal runaway. J. Power Sources 2018, 398, 106–112. [Google Scholar] [CrossRef]
- Spektrum der Wissenschaft Verlagsgesellschaft mbH, Hrsg. Gasentladung. 4 December 2004. Available online: https://www.spektrum.de/lexikon/physik/gasentladung/5555 (accessed on 27 October 2024).
- Kuechler, A. Hochspannungstechnik: Grundlagen-Technologie-Anwendungen; Springer: Heidelberg, Germany, 2009; ISBN 978-3-540-78412-8. [Google Scholar]
- Roth, A. Hochspannungstechnik, 4th ed.; Springer: Vienna, Austria, 1959; ISBN 978-3-7091-3904-2. [Google Scholar]
- Hopf, A. Elektrische Festigkeit von SF6 und Alternativen Isoliergasen (Luft, CO2, N2, O2 und C3F7CN-Gemisch) bis 2,6 MPa. Ph.D. Dissertation, Technische Universität Ilmenau, Ilmenau, Germany, 2020. [Google Scholar] [CrossRef]
- Celani, F.; Lorenzetti, C.; Vassallo, G.; Purchi, E.; Fiorilla, S.; Cupellini, S.; Nakamura, M.; Cerreoni, P.; Burri1, R.; Boccanera, P.; et al. Clear and simple evidence of correlations among Open Voltage values and AHE in Constantan wires, DC operations under H2 gas, after long time conditioning at 70 and 100 W of input power. In Proceedings of the IWAHLM14, Assisi, Italy, 29 August–1 September 2021. [Google Scholar] [CrossRef]
- Lehr, J.; Ron, P. Foundations of Pulsed Power Technology, 1st ed.; Wiley: Hoboken, NJ, USA, 2017. [Google Scholar]
- Mulder, B.; Schöberl, J.; Birke, K.P. Thermal Propagation Test Bench with Multi Pouch Cell Setup for Reproducibility Investigations. Batteries 2023, 9, 447. [Google Scholar] [CrossRef]
- Constellium Develops New Alloys for EV Battery Enclosures. Available online: https://www.sae.org/news/2021/02/constellium-aluminum-ev-battery-enclosures (accessed on 22 September 2024).
- DIN 60664-1:2022; Isolationskoordination für Elektrische Betriebsmittel in Niederspannungsanlagen—Teil 1: Grundsätze, Anforderungen und Prüfungen. VDE Verlag GmbH: Berlin, Germany, 2022.
- Rebholz, H.; Köhler, W.; Tenbohlen, S. Dielektrische Festigkeit verschiedener Gase in GIS. In Proceedings of the Grenzflächen in elektrischen Isolierstoffen-ETG-Fachtagung, Hanau, Germany, 8–9 March 2005. [Google Scholar]
- Sturk, D.; Rosell, L.; Blomqvist, P.; Tidblad, A.A. Analysis of Li-Ion Battery Gases Vented in an Inert Atmosphere Thermal Test Chamber. Batteries 2019, 5, 61. [Google Scholar] [CrossRef]
- Birke, K.P. Modern Battery Engineering: A Comprehensive Introduction; World Scientific Publishing Co. Pte. Ltd.: Singapore, 2019; ISBN 9789813272156. [Google Scholar]
- Ruiz, V.; Pfrang, A. JRC Exploratory Research: Safer Li-Ion Batteries by Preventing Thermal propagation; Publications Office of the European Union: Luxembourg, 2018. [Google Scholar]
- Thomas, G. Entwicklung und Validierung eines Diagnostikverfahrens zur Analyse von Lichtbogenfluktuationen beim Gleichstromplasmaspritzen. Ph.D. Dissertation, Technische Universität Berlin, Berlin, Germany, 2019. [Google Scholar]
- Karl-Heinrich, G.; Feldhusen, J. Dubbel Taschenbuch für den Maschinenbau; Springer: Berlin/Heidelberg, Germany, 2011; pp. D36–D51. [Google Scholar]
- Geller, W. Thermodynamik für Maschinenbauer: Grundlagen für die Praxis, 5th ed.; Springer: Berlin/Heidelberg, Germany, 2015; ISBN 978-3-662-44960-8. [Google Scholar]
















| Gas | mbar | mbar |
|---|---|---|
| Cylinder A | ||
| 200 °C | X | X |
| 500 °C | X | X |
| 900 °C | X | X |
| Cylinder B | ||
| 200 °C | X | X |
| 500 °C | X | X |
| 900 °C | X | X |
Disclaimer/Publisher’s Note: The statements, opinions and data contained in all publications are solely those of the individual author(s) and contributor(s) and not of MDPI and/or the editor(s). MDPI and/or the editor(s) disclaim responsibility for any injury to people or property resulting from any ideas, methods, instructions or products referred to in the content. |
© 2024 by the authors. Licensee MDPI, Basel, Switzerland. This article is an open access article distributed under the terms and conditions of the Creative Commons Attribution (CC BY) license (https://creativecommons.org/licenses/by/4.0/).
Share and Cite
Mulder, B.; Birke, K.P.; Obry, B.; Wigger, S.; Kozakov, R.; Smirnov, P.; Schein, J. Thermal Propagation Test Bench for the Study of the Paschen Curve and Lightning Arcs of Venting Gas. Batteries 2024, 10, 397. https://doi.org/10.3390/batteries10110397
Mulder B, Birke KP, Obry B, Wigger S, Kozakov R, Smirnov P, Schein J. Thermal Propagation Test Bench for the Study of the Paschen Curve and Lightning Arcs of Venting Gas. Batteries. 2024; 10(11):397. https://doi.org/10.3390/batteries10110397
Chicago/Turabian StyleMulder, Björn, Kai Peter Birke, Björn Obry, Stefan Wigger, Ruslan Kozakov, Pavel Smirnov, and Jochen Schein. 2024. "Thermal Propagation Test Bench for the Study of the Paschen Curve and Lightning Arcs of Venting Gas" Batteries 10, no. 11: 397. https://doi.org/10.3390/batteries10110397
APA StyleMulder, B., Birke, K. P., Obry, B., Wigger, S., Kozakov, R., Smirnov, P., & Schein, J. (2024). Thermal Propagation Test Bench for the Study of the Paschen Curve and Lightning Arcs of Venting Gas. Batteries, 10(11), 397. https://doi.org/10.3390/batteries10110397

