Enhanced Magnetic Cooling through Tailoring the Size-Dependent Magnetocaloric Effect of Iron Nanoparticles Embedded in Titanium Nitride Thin Films
Abstract
1. Introduction
2. Materials and Methods
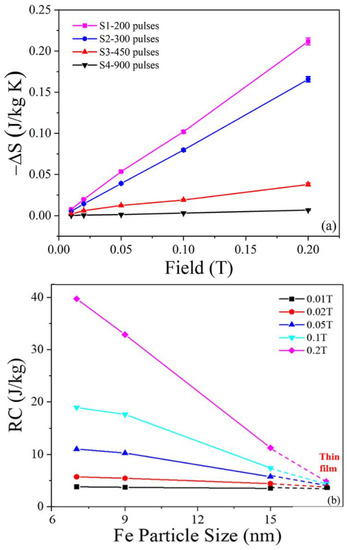
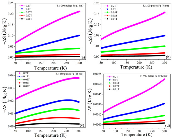
3. Results and Discussion
4. Conclusions
Author Contributions
Funding
Institutional Review Board Statement
Informed Consent Statement
Data Availability Statement
Acknowledgments
Conflicts of Interest
References
- Phan, M.-H.; Yu, S.-C. Review of the magnetocaloric effect in manganite materials. J. Magn. Magn. Mater. 2007, 308, 325–340. [Google Scholar] [CrossRef]
- De Oliveira, N.A.; von Ranke, P.J. Theoretical aspects of the magnetocaloric effect. Phys. Rep. 2010, 489, 89–159. [Google Scholar] [CrossRef]
- Zhang, Y.; Zhu, J.; Hao, Z.; Hao, W.; Mo, Z.; Li, L. Tunable magnetic phase transition and magnetocaloric effect in the rare-earth-free Al-Mn-Fe-Co-Cr high-entropy alloys. Mater. Des. 2023, 229, 111894. [Google Scholar] [CrossRef]
- Shaji, S.; Mucha, N.R.; Giri, P.; Binek, C.; Kumar, D. Magnetic and magnetocaloric properties of Fe2Ta thin films. AIP Adv. 2020, 10, 025222. [Google Scholar] [CrossRef]
- Law, J.Y.; Moreno-Ramírez, L.M.; Díaz-García, Á.; Franco, V. Current perspective in magnetocaloric materials research. J. Appl. Phys. 2023, 133, 040903. [Google Scholar] [CrossRef]
- Mukherjee, T.; Sahoo, S.; Skomski, R.; Sellmyer, D.J.; Binek, C. Magnetocaloric properties of Co/Cr superlattices. Phys. Rev. B 2009, 79, 144406. [Google Scholar] [CrossRef]
- Pecharsky, V.K.; Gschneidner, K.A., Jr. Giant magnetocaloric effect in Gd5(Si2Ge2). Phys. Rev. Lett. 1997, 78, 4494. [Google Scholar] [CrossRef]
- Lyubina, J. Magnetocaloric materials for energy efficient cooling. J. Phys. D Appl. Phys. 2017, 50, 053002. [Google Scholar] [CrossRef]
- Han, K.; Li, M.; Gao, M.; Wang, X.; Huo, J.; Wang, J.-Q. Improved magnetocaloric effects in AlFe2B2 intermetallics through the enhancement of magnetoelastic coupling. J. Alloy. Compd. 2022, 908, 164663. [Google Scholar] [CrossRef]
- Repaka, D.M.; Sharma, V.; Ramanujan, R.V. Near room temperature magnetocaloric properties and critical behavior of binary FexCu100−x Nanoparticles. J. Alloys Compd. 2017, 690, 575–582. [Google Scholar] [CrossRef]
- Saqat, R.S.; Forbes, A.W.; Bhattarai, N.; Pegg, I.L.; Philip, J. Magnetic properties and magnetocaloric effect of (Fe70Ni30)96Mo4 thin films grown by molecular beam epitaxy. J. Vac. Sci. Tech. A 2023, 41, 013404. [Google Scholar] [CrossRef]
- Kumar, D.; Narayan, J.; Kvit, A.; Sharma, A.; Sankar, J. High coercivity and superparamagnetic behavior of nanocrystalline iron particles in alumina matrix. J. Magn. Magn. Mater. 2001, 232, 161–167. [Google Scholar]
- Kumar, D.; Pennycook, S.J.; Lupini, A.; Duscher, G.; Tiwari, A.; Narayan, J. Synthesis and atomic-level characterization of Ni nanoparticles in Al2O3 matrix. Appl. Phys. Lett. 2002, 81, 4204–4206. [Google Scholar] [CrossRef]
- Mitchell, E.; De Souza, F.; Gupta, R.; Kahol, P.; Kumar, D.; Dong, L.; Gupta, B.K. Probing on the hydrothermally synthesized iron oxide nanoparticles for ultra-capacitor applications. Powder Technol. 2014, 272, 295–299. [Google Scholar] [CrossRef]
- Tozri, A.; Alhalafi, S.; Alrowaili, Z.A.; Horchani, M.; Omri, A.; Skini, R.; Ghorai, S.; Benali, A.; Costa, B.F.; Ildiz, G.O. Investigation of the magnetocaloric effect and the critical behavior of the interacting superparamagnetic nanoparticles of La0.8Sr0.15Na0.05MnO3. J. Alloys Compd. 2022, 890, 161739. [Google Scholar] [CrossRef]
- Zeleňáková, A.; Hrubovčák, P.; Berkutova, A.; Šofranko, O.; Kučerka, N.; Ivankov, O.; Kuklin, A.; Girman, V.; Zeleňák, V. Gadolinium-oxide nanoparticles for cryogenic magnetocaloric applications. Sci. Rep. 2022, 12, 2282. [Google Scholar] [CrossRef] [PubMed]
- Zhang, F.; Taake, C.; Huang, B.; You, X.; Ojiyed, H.; Shen, Q.; Dugulan, I.; Caron, L.; van Dijk, N.; Brück, E. Magnetocaloric effect in the (Mn, Fe)2(P, Si) system: From bulk to nano. Acta Mater. 2022, 224, 117532. [Google Scholar] [CrossRef]
- Liedienov, N.A.; Wei, Z.; Kalita, V.M.; Pashchenko, A.V.; Li, Q.; Fesych, I.V.; Turchenko, V.A.; Hou, C.; Wei, X.; Liu, B.; et al. Spin-dependent magnetism and superparamagnetic contribution to the magnetocaloric effect of non-stoichiometric manganite nanoparticles. Appl. Mater. Today 2022, 26, 101340. [Google Scholar] [CrossRef]
- Phan, M.H.; Morales, M.B.; Chinnasamy, C.N.; Latha, B.; Harris, V.G.; Srikanth, H. Magnetocaloric effect in bulk and nanostructured Gd3Fe5O12 materials. J. Phys. D Appl. Phys. 2009, 42, 115007. [Google Scholar] [CrossRef]
- Liu, J.J.; Zhang, Y.; Zhang, J.; Xia, W.X.; Du, J.; Yan, A.R. Systematic study of the microstructure and magnetocaloric effect of bulk and melt-spun ribbons of La–Pr–Fe–Si compounds. J. Magn. Magn. Mater. 2014, 350, 94–99. [Google Scholar] [CrossRef]
- Zhukov, A.; Rodionova, V.; Ilyn, M.; Aliev, A.; Varga, R.; Michalik, S.; Aronin, A.; Abrosimova, G.; Kiselev, A.; Ipatov, M.; et al. Magnetic properties and magnetocaloric effect in Heusler-type glass-coated NiMnGa microwires. J. Alloy. Compd. 2013, 575, 73–79. [Google Scholar]
- Chaudhary, V.; Chen, X.; Ramanujan, R. Iron and manganese based magnetocaloric materials for near room temperature thermal management. Prog. Mater. Sci. 2018, 100, 64–98. [Google Scholar] [CrossRef]
- Serantes, D.; Baldomir, D.; Pereiro, M.; Rivas, J.; Vázquez-Vázquez, C.; Buján-Núñez, M.C.; Arias, J.E. Magnetic field-dependence study of the magnetocaloric properties of a superparamagnetic nanoparticle system: A Monte Carlo simulation. Phys. Status Solidi 2008, 205, 1349–1353. [Google Scholar] [CrossRef]
- McMichael, R.; Shull, R.; Swartzendruber, L.; Bennett, L.; Watson, R. Magnetocaloric effect in superparamagnets. J. Magn. Magn. Mater. 1992, 111, 29–33. [Google Scholar] [CrossRef]
- Ruan, M.Y.; Yang, C.Q.; Wang, L.; Jin, P.B.; Guo, Z.L.; Wei, X.L.; Wu, W.X. Size-dependent magnetocaloric effect in GdVO4 nanoparticles. J. Alloys Compd. 2022, 894, 162351. [Google Scholar] [CrossRef]
- Andrade, V.; Vivas, R.C.; Pedro, S.; Tedesco, J.; Rossi, A.; Coelho, A.; Rocco, D.; Reis, M. Magnetic and magnetocaloric properties of La0.6Ca0.4MnO3 tunable by particle size and dimensionality. Acta Mater. 2016, 102, 49–55. [Google Scholar] [CrossRef]
- Samani, M.K.; Ding, X.Z.; Khosravian, N.; Amin-Ahmadi, B.; Yi, Y.; Chen, G.; Neyts, E.C.; Bogaerts, A.; Tay, B.K. Thermal conductivity of titanium nitride/titanium aluminum nitride multilayer coatings deposited by lateral rotating cathode arc. Thin Solid Films 2015, 578, 133–138. [Google Scholar] [CrossRef]
- Roy, M.; Sarkar, K.; Som, J.; Pfeifer, M.A.; Craciun, V.; Schall, J.D.; Aravamudhan, S.; Wise, F.W.; Kumar, D. Modulation of Structural, Electronic, and Optical Properties of Titanium Nitride Thin Films by Regulated In Situ Oxidation. ACS Appl. Mater. Interfaces 2023, 15, 4733–4742. [Google Scholar] [CrossRef]
- Sarkar, K.; Jaipan, P.; Choi, J.; Haywood, T.; Tran, D.; Mucha, N.R.; Yarmolenko, S.; Scott-Emuakpor, O.; Sundaresan, M.; Gupta, R.K.; et al. Enhancement in corrosion resistance and vibration damping performance in titanium by titanium nitride coating. SN Appl. Sci. 2020, 2, 949. [Google Scholar] [CrossRef]
- Xie, Q.; Fu, Z.; Liu, Z.; Yue, W.; Kang, J.; Zhu, L.; Wang, C.; Lin, S. Improvement of microstructure and tribological properties of titanium nitride films by optimization of substrate bias current. Thin Solid Films 2022, 749, 139181. [Google Scholar] [CrossRef]
- Kelgenbaeva, Z.; Omurzak, E.; Takebe, S.; Sulaimankulova, S.; Abdullaeva, Z.; Iwamoto, C.; Mashimo, T. Synthesis of pure iron nanoparticles at liquid–liquid interface using pulsed plasma. J. Nanoparticle Res. 2014, 16, 2603. [Google Scholar]
- Zhang, H.; Zeng, D.; Liu, Z. The law of approach to saturation in ferromagnets originating from the magnetocrystalline anisotropy. J. Magn. Magn. Mater. 2010, 322, 2375–2380. [Google Scholar]
- Nemati, Z.; Alonso, J.; Rodrigo, I.; Das, R.; Garaio, E.; García, J.A.; Orue, I.; Phan, M.-H.; Srikanth, H. Improving the Heating Efficiency of Iron Oxide Nanoparticles by Tuning Their Shape and Size. J. Phys. Chem. C 2018, 122, 2367–2381. [Google Scholar]
- Kumar, D.; Yarmolenko, S.; Sankar, J.; Narayan, J.; Zhou, H.; Tiwari, A. Pulsed laser deposition assisted novel synthesis of self-assembled magnetic nanoparticles. Compos. Part B Eng. 2003, 35, 149–155. [Google Scholar]
- Katiyar, P.; Kumar, D.; Nath, T.K.; Kvit, A.V.; Narayan, J.; Chattopadhyay, S.; Gilmore, W.M.; Coleman, S.; Lee, C.B.; Sankar, J. Magnetic properties of self-assembled nanoscale La2/3Ca1/3 MnO3 particles in an alumina matrix. Appl. Phys. Lett. 2001, 79, 1327–1329. [Google Scholar]
- Gutfleisch, O.; Gottschall, T.; Fries, M.; Benke, D.; Radulov, I.; Skokov, K.P.; Wende, H.; Gruner, M.; Acet, M.; Entel, P.; et al. Mastering hysteresis in magnetocaloric materials. Philos. Trans. R. Soc. A Math. Phys. Eng. Sci. 2016, 374, 20150308. [Google Scholar]
- Scheibel, F.; Gottschall, T.; Taubel, A.; Fries, M.; Skokov, K.P.; Terwey, A.; Keune, W.; Ollefs, K.; Wende, H.; Farle, M.; et al. Hysteresis Design of Magnetocaloric Materials-From Basic Mechanisms to Applications. Energy Technol. 2018, 6, 1397–1428. [Google Scholar]
- Díaz-García, Á.; Moreno-Ramírez, L.; Law, J.; Albertini, F.; Fabbrici, S.; Franco, V. Characterization of thermal hysteresis in magnetocaloric NiMnIn Heusler alloys by Temperature First Order Reversal Curves (TFORC). J. Alloy. Compd. 2021, 867, 159184. [Google Scholar]
- Belo, J.H.; Pires, A.L.; Araújo, J.P.; Pereira, A.M. Magnetocaloric materials: From micro- to nanoscale. J. Mater. Res. 2018, 34, 134–157. [Google Scholar]
- Zeleňáková, A.; Hrubovčák, P.; Kapusta, O.; Zeleňák, V.; Franco, V. Large magnetocaloric effect in fine Gd2O3 nanoparticles embedded in porous silica matrix. Appl. Phys. Lett. 2016, 109, 122412. [Google Scholar]
- Hu, F.X.; Shen, B.G.; Sun, J.R.; Cheng, Z.H.; Rao, G.H.; Zhang, X.X. Influence of negative lattice expansion and metamagnetic transition on magnetic entropy change in the compound LaFe11.4Si1.6. Appl. Phys. Lett. 2001, 78, 3675–3677. [Google Scholar] [CrossRef]
- Chaudhary, V.; Ramanujan, R. Magnetocaloric Properties of Fe-Ni-Cr Nanoparticles for Active Cooling. Sci. Rep. 2016, 6, 35156. [Google Scholar] [CrossRef] [PubMed]
- Liu, J.; Gottschall, T.; Skokov, K.P.; Moore, J.D.; Gutfleisch, O. Giant magnetocaloric effect driven by structural transitions. Nat. Mater. 2012, 11, 620–626. [Google Scholar] [CrossRef]
- Gutfleisch, O.; Willard, M.A.; Brück, E.; Chen, C.H.; Sankar, S.G.; Liu, J.P. Magnetic Materials and Devices for the 21st Century: Stronger, Lighter, and More Energy Efficient. Adv. Mater. 2010, 23, 821–842. [Google Scholar] [CrossRef] [PubMed]
- Franco, V.; Blázquez, J.S.; Ipus, J.J.; Law, J.Y.; Moreno-Ramírez, L.M.; Conde, A. Magnetocaloric effect: From materials research to refrigeration devices. Prog. Mater. Sci. 2018, 93, 112–232. [Google Scholar] [CrossRef]
- Kitanovski, A. Energy Applications of Magnetocaloric Materials. Adv. Energy Mater. 2020, 10, 1903741. [Google Scholar] [CrossRef]
- Chaturvedi, A.; Stefanoski, S.; Phan, M.-H.; Nolas, G.S.; Srikanth, H. Table-like magnetocaloric effect and enhanced refrigerant capacity in Eu8Ga16Ge30-EuO composite materials. Appl. Phys. Lett. 2011, 99, 162513. [Google Scholar] [CrossRef]
- Lampen, P.; Puri, A.; Phan, M.-H.; Srikanth, H. Structure, magnetic, and magnetocaloric properties of amorphous and crystalline La0.4Ca0.6MnO3+δ nanoparticles. J. Alloy. Compd. 2012, 512, 94–99. [Google Scholar] [CrossRef]
- Biswas, A.; Chandra, S.; Phan, M.; Srikanth, H. Magnetocaloric properties of nanocrystalline LaMnO3: Enhancement of refrigerant capacity and relative cooling power. J. Alloys Compd. 2012, 545, 157–161. [Google Scholar] [CrossRef]
- Poddar, P.; Gass, J.; Rebar, D.J.; Srinath Srikanth, H.; Morrison, S.A.; Carpenter, E.E. Magnetocaloric effect in ferrite nanoparticles. J. Magn. Magn. Mater. 2006, 307, 227–231. [Google Scholar] [CrossRef]
- Prasad, R. Classical and Quantum Thermal Physics; Cambridge University Press: Cambridge, UK, 2016. [Google Scholar]
- Ma, S.; Li, W.F.; Li, D.; Xiong, D.K.; Sun, N.K.; Geng, D.Y.; Liu, W.; Zhang, Z.D. Large cryogenic magnetocaloric effect in the blocking state of Gd Al2 /Al2O3 nanocapsules. Phys. Rev. B 2007, 76, 144404. [Google Scholar] [CrossRef]
- Mukherjee, T.; Michalski, S.; Skomski, R.; Sellmyer, D.J.; Binek, C. Overcoming the spin-multiplicity limit of entropy by means of lattice degrees of freedom: A minimal model. Phys. Rev. B 2011, 83, 214413. [Google Scholar] [CrossRef]
- Bennett, L.; McMichael, R.; Swartzendruber, L.; Shull, R.; Watson, R. Monte Carlo and mean-field calculations of the magnetocaloric effect of ferromagnetically interacting clusters. J. Magn. Magn. Mater. 1992, 104-107, 1094–1095. [Google Scholar] [CrossRef]
- McMichael, R.D.; Ritter, J.J.; Shull, R.D. Enhanced magnetocaloric effect in Gd3Ga5−xFexO12. J. Appl. Phys. 1993, 73, 6946–6948. [Google Scholar] [CrossRef]
- Shull, R.D. Magnetocaloric effect of ferromagnetic particles. IEEE Trans. Magn. 1993, 29, 2614–2615. [Google Scholar] [CrossRef]
- Sarkar, K.; Shaji, S.; Sarin, S.; Shield, J.E.; Binek, C.; Kumar, D. Large refrigerant capacity in superparamagnetic iron nanoparticles embedded in a thin film matrix. J. Appl. Phys. 2022, 132, 193906. [Google Scholar] [CrossRef]
- Ucar, H.; Ipus, J.J.; Franco, V.; McHenry, M.E.; Laughlin, D.E. Overview of Amorphous and Nanocrystalline Magnetocaloric Materials Operating Near Room Temperature. JOM 2012, 64, 782–788. [Google Scholar] [CrossRef]









| Sample | Laser Pulses Fe/TiN | Particle Size (nm) | Fe Volume (10−8 cm3) | Fe Volume Percentage | Saturation Magnetization (106A/m) | Coercivity (Oe) at 10 K | Coercivity (Oe) at 300 K | |
|---|---|---|---|---|---|---|---|---|
| S1 | 200 pulses Fe/800 pulses TiN | 7 | 2.0 | 2.25 | 2.03 | 1.60 ± 0.01 | 493 ± 4 | 50 ± 2 |
| S2 | 300 pulses Fe/800 pulses TiN | 9 | 2.2 | 2.50 | 2.09 | 1.63 ± 0.01 | 550 ± 5 | 126 ± 2 |
| S3 | 450 pulses Fe/800 pulses TiN | 15 | 10.0 | 10.00 | 2.13 | 1.67 ± 0.01 | 581 ± 5 | 321 ± 3 |
| S4 | 900 pulses Fe/800 pulses TiN | Thickness = 12 | 19.0 | 20.00 | 2.17 | 1.70 ± 0.01 | 380 ± 3 | 379 ± 3 |
Disclaimer/Publisher’s Note: The statements, opinions and data contained in all publications are solely those of the individual author(s) and contributor(s) and not of MDPI and/or the editor(s). MDPI and/or the editor(s) disclaim responsibility for any injury to people or property resulting from any ideas, methods, instructions or products referred to in the content. |
© 2023 by the authors. Licensee MDPI, Basel, Switzerland. This article is an open access article distributed under the terms and conditions of the Creative Commons Attribution (CC BY) license (https://creativecommons.org/licenses/by/4.0/).
Share and Cite
Sarkar, K.; Jordan, M.; Kebede, A.; Kriske, S.; Wise, F.; Kumar, D. Enhanced Magnetic Cooling through Tailoring the Size-Dependent Magnetocaloric Effect of Iron Nanoparticles Embedded in Titanium Nitride Thin Films. Magnetochemistry 2023, 9, 188. https://doi.org/10.3390/magnetochemistry9070188
Sarkar K, Jordan M, Kebede A, Kriske S, Wise F, Kumar D. Enhanced Magnetic Cooling through Tailoring the Size-Dependent Magnetocaloric Effect of Iron Nanoparticles Embedded in Titanium Nitride Thin Films. Magnetochemistry. 2023; 9(7):188. https://doi.org/10.3390/magnetochemistry9070188
Chicago/Turabian StyleSarkar, Kaushik, Madison Jordan, Abebe Kebede, Steve Kriske, Frank Wise, and Dhananjay Kumar. 2023. "Enhanced Magnetic Cooling through Tailoring the Size-Dependent Magnetocaloric Effect of Iron Nanoparticles Embedded in Titanium Nitride Thin Films" Magnetochemistry 9, no. 7: 188. https://doi.org/10.3390/magnetochemistry9070188
APA StyleSarkar, K., Jordan, M., Kebede, A., Kriske, S., Wise, F., & Kumar, D. (2023). Enhanced Magnetic Cooling through Tailoring the Size-Dependent Magnetocaloric Effect of Iron Nanoparticles Embedded in Titanium Nitride Thin Films. Magnetochemistry, 9(7), 188. https://doi.org/10.3390/magnetochemistry9070188

