Hydrothermal Synthesis and Magnetic Properties of Zn/Mn Oxides Nano Particles
Abstract
1. Introduction
2. Samples and Experimental Methods
3. Results
3.1. Structural and Morphological Characterization
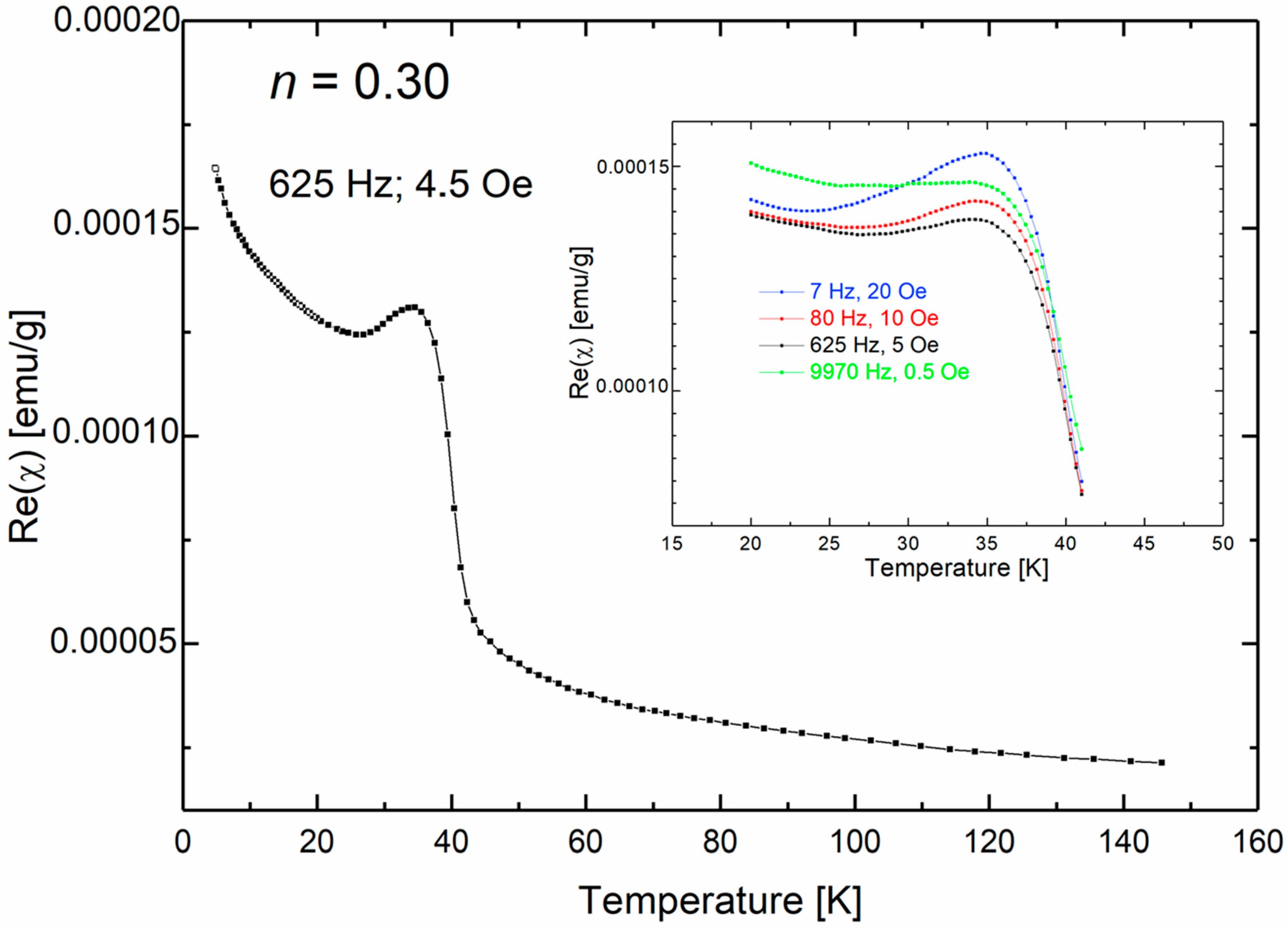
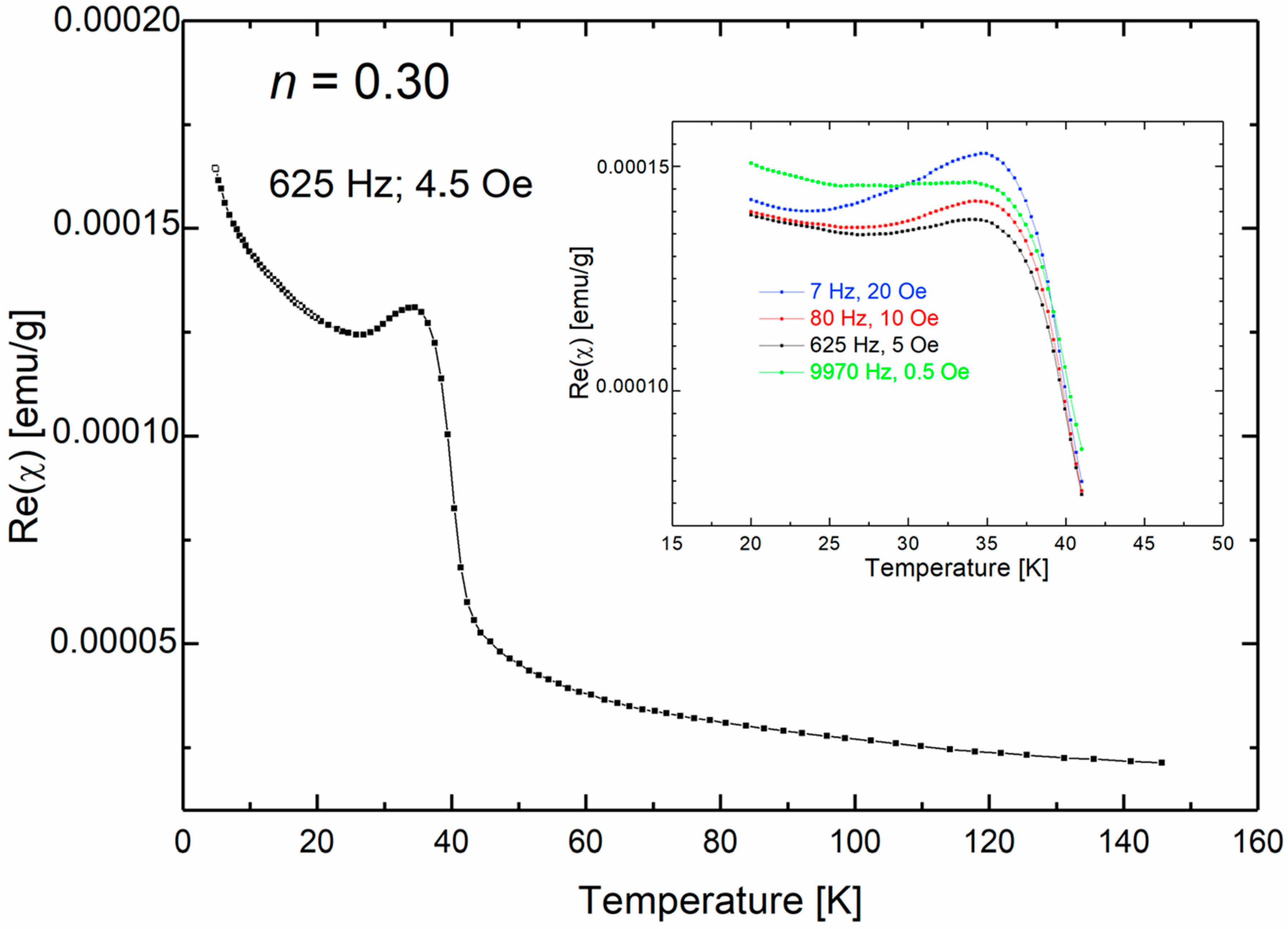
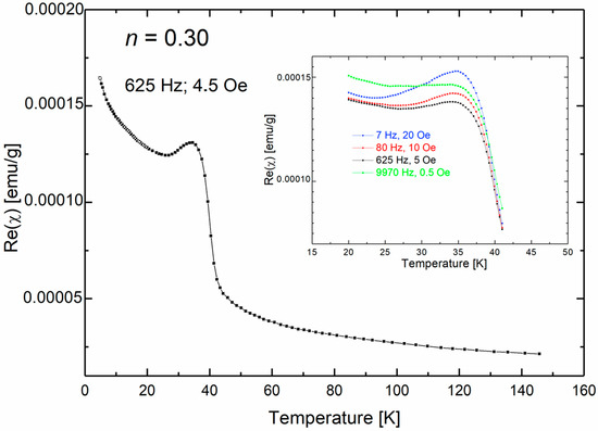
3.2. Magnetic Studies
4. Summary and Conclusions
Author Contributions
Funding
Institutional Review Board Statement
Informed Consent Statement
Data Availability Statement
Conflicts of Interest
References
- Mittal, A.; Roy, I.; Gandhi, S. Magnetic Nanoparticles: An Overview for Biomedical Applications. Magnetochemistry 2022, 8, 107. [Google Scholar] [CrossRef]
- Knobel, M.; Nunes, W.C.; Socolovsky, L.M.; De Biasi, E.; Vargas, J.M.; Denardin, J.C. Superparamagnetism and other magnetic features in granular materials: A review on ideal and real systems. J. Nanosci. Nanotechnol. 2008, 8, 2836. [Google Scholar] [CrossRef]
- Huong Nguyen, T.; Thanh Vu, M.; Son Nguyen, N. Hybrid Magnetic-Semiconductor Oxides Nanomaterial: Green Synthesis and Environmental Catalytic. In Photocatalysts—New Perspectives; Awwad, N.S., Alarfaji, S.S., Alomary, A., Eds.; IntechOpen: Rijeka, Croatia, 2022; Volume 9. [Google Scholar] [CrossRef]
- Lu, A.-H.; Salabas, E.L.; Schüth, F. Magnetic Nanoparticles: Synthesis, Protection, Functionalization, and Application. Angew. Chem. Int. Ed. 2007, 46, 1222. [Google Scholar] [CrossRef]
- Shukla, S.; Khan, R.; Daverey, A. Synthesis and characterization of magnetic nanoparticles, and their applications in wastewater treatment: A review. Environ. Technol. Innov. 2021, 24, 101924. [Google Scholar] [CrossRef]
- Fiorani, D.; Testa, A.M.; Tronc, E.; Lucari, F.; D’Orazio, F.; Nogués, M. Magnetic properties adjustment of ZrO2:Mn nanocrystals by changing hydrothermal synthesis conditions. J. Magn. Magn. Mater. 2001, 226, 1942. [Google Scholar] [CrossRef]
- Kuryliszyn-Kudelska, I.; Hadžić, B.; Sibera, D.; Romčević, M.; Romčević, N.; Narkiewicz, U.; Dobrowolski, W. Dynamic magnetic properties of ZnO nanocrystals incorporating Fe. J. Alloys Compd. 2011, 509, 3756–3759. [Google Scholar] [CrossRef]
- Dormann, J.L.; Fiorani, D.; Tronc, E. Magnetic relaxation in fine-particle systems. Adv. Chem. Phys. 1997, 98, 283. [Google Scholar] [CrossRef]
- Djerdj, I.; Jagličić, Z.; Arčon, D.; Niederberger, M. Co-Doped ZnO nanoparticles: Minireview. Nanoscale 2010, 2, 1096. [Google Scholar] [CrossRef]
- Ali, A.; Zafar, H.; Zia, M.; ul Haq, I.; Phull, A.R.; Ali, J.S.; Hussain, A. Synthesis, characterization, applications, and challenges of iron oxide nanoparticles. Nanotechnol. Sci. Appl. 2016, 9, 49–67. [Google Scholar] [CrossRef]
- Kuryliszyn-Kudelska, I.; Hadžić, B.; Sibera, D.; Romčević, M.; Romčević, N.; Narkiewicz, U.; Łojkowski, W.; Arciszewska, M.; Dobrowolski, W. Magnetic properties of ZnO(Co) nanocrystals. J. Alloys Compd. 2013, 561, 247. [Google Scholar] [CrossRef]
- Raha, S.; Ahmaruzzaman, M. ZnO nanostructured materials and their potential applications: Progress, challenges and perspectives. Nanoscale Adv. 2022, 4, 1868. [Google Scholar] [CrossRef] [PubMed]
- Sharma, D.K.; Shukla, S.; Sharma, K.K.; Kumar, V. A review on ZnO: Fundamental properties and applications. Mater. Today Proc. 2022, 49, 3028. [Google Scholar] [CrossRef]
- Hofstetter, D.; Özgür, Ü.; Morkoç, H. ZnO devices and applications: A review of current status and future prospects. Proc. IEEE 2010, 98, 1255. [Google Scholar] [CrossRef]
- Zhu, P.; Weng, Z.; Li, X.; Liu, X.; Wu, S.; Yeung, K.W.K.; Wang, X.; Cui, Z.; Yang, X.; Chu, P.K. Biomedical applications of functionalized ZnO nanomaterials: From biosensors to bioimaging. Adv. Mater. Interfaces 2015, 3, 1500494. [Google Scholar] [CrossRef]
- Duarte, F.d.S.; Melo, A.L.M.d.S.; Ferro, A.d.B.; Zanta, C.L.d.P.e.S.; Duarte, J.L.d.S.; Oliveira, R.M.P.B. Magnetic Zinc Oxide/Manganese Ferrite Composite for Photodegradation of the Antibiotic Rifampicin. Materials 2022, 15, 8185. [Google Scholar] [CrossRef] [PubMed]
- Kayani, Z.N.; Anjum, M.; Riaz, S.; Naseem, S.; Zeeshan, T. Role of Mn in biological, optical, and magnetic properties ZnO nano-particles. Appl. Phys. A 2020, 125, 197. [Google Scholar] [CrossRef]
- Popescu, T.; Matei, C.O.; Vlaicu, I.D.; Kuncser, A.C.; Stefan, M.; Ghica, D.; Miclea, L.C.; Savapol, T.; Culira, D.C.; Moisescu, M.G. Influence of surfactant-tailored Mn-doped ZnO nanoparticles on ROS production and DNA damage induced in murine fibroblast cells. Sci. Rep. 2020, 10, 18062. [Google Scholar] [CrossRef]
- Ahmed, S.I. Seed-mediated synthesis and characterization of ZnO@γ-Fe2O3 nanospheres: Building up the core-shell model. J. Crys. Growth 2021, 572, 126279. [Google Scholar] [CrossRef]
- Shaikh, B.; Bhatti, M.A.; Shah, A.A.; Tahira, A.; Shah, A.K.; Usto, A.; Aftab, U.; Bukhari, S.I.; Alshehri, S.; Shah Bukhari, S.N.U.; et al. Mn3O4@ZnO Hybrid Material: An Excellent Photocatalyst for the Degradation of Synthetic Dyes including Methylene Blue, Methyl Orange and Malachite Green. Nanomaterials 2022, 12, 3754. [Google Scholar] [CrossRef]
- Ramírez, A.E.; Montero-Muñoz, M.; López, L.L.; Ramos-Ibarra, J.E.; Coaquira, J.A.H.; Heinrichs, B.; Páez, C.A. Significantly enhancement of sunlight photocatalytic performance of ZnO by doping with transition metal oxides. Sci. Rep. 2021, 1, 2804. [Google Scholar] [CrossRef]
- Sharma, A.; Narayanan, M.; Gautam, R.; Gopalan, R.; Swaminathan, P. Effect of processing route on the structural and functional properties of manganese doped zinc oxide. Mater. Chem. Phys. 2021, 261, 124206. [Google Scholar] [CrossRef]
- Rathidevi, K.; Nanjan, V.; Tamilselvi, D. Structural, morphological and optical performance of synthesized Co, Mn/ZnO nanocomposities. J. Ovonic. 2020, 16, 337. [Google Scholar] [CrossRef]
- Daniel, T.T.; Saikia, K.; Raveesh, S.; Paily, R. Hydrogen sensing of heterostructured magnetic nanospheres with different Fe to Zn Molar Ratio. IEEE Trans. Nanotechnol. 2021, 20, 669. [Google Scholar] [CrossRef]
- Ravichhandran, K.; Karthika, K.; Baneto, M.; Shanthakumari, K.; Lalithanbika, K.C. Inducing superparamagnetic behavior and enhancing antibacterial efficiency of ZnO nanopowders through Mn + F doping. J. Mater. Sci. Mater. Electron. 2015, 26, 1812. [Google Scholar] [CrossRef]
- Tang, H.; Yan, M.; Zhang, H.; Li, S.; Ma, X.; Wang, M.; Yang, D.A. Selective NH3 gas sensor based on Fe2O 3-ZnO nanocomposites at room temperature. Sens. Actuators B 2006, 114, 910. [Google Scholar] [CrossRef]
- Zhang, B.; Fu, W.; Meng, X.; Ruan, A.; Su, P.; Yang, H. Synthesis and enhanced gas sensing properties of flower-like ZnO/α-Fe2O3 core-shell nanorods. Ceramics Int. 2017, 43, 5934. [Google Scholar] [CrossRef]
- Liccardo, L.; Lushaj, E.; Compare, L.D.; Moretti, E.; Vomiero, A. Nanoscale ZnO/α-Fe2O3 Heterostructures: Toward Efficient and Low-Cost Photoanodes for Water Splitting. Small Sci. 2022, 2, 2100104. [Google Scholar] [CrossRef]
- Zhang, C.; Dai, J.; Zhang, P.; Zhang, S.; Zhang, H.; Shen, Y.; Xie, A. Porous Fe2O3/ZnO composite derived from MOFs as an anode material for lithium ion batteries. Ceramics Int. 2016, 42, 1044. [Google Scholar] [CrossRef]
- Li, J.; Wang, Y.J.; Zou, B.S.; Wu, X.C.; Lin, J.G.; Guo, L.; Li, Q.S. Magnetic properties of nanostructured Mn oxide particles. Appl. Phys. Lett. 1997, 70, 3047. [Google Scholar] [CrossRef]
- Bawazeer, T.M.; Alsoufi, M.S.; Badria, M.S.; Al-Shehri, M.; Hamdy, M.S. Excellent improvement in photocatalytic nature of ZnO nanoparticles via Fe doping content. Inorg. Chem. Commun. 2021, 130, 108668. [Google Scholar] [CrossRef]
- Thackeray, M.M. Manganese Oxides for Lithium Batteries. Prog. Solid State Chem. 1997, 25, 1. [Google Scholar] [CrossRef]
- Bruce, P.G.; Scrosati, B.; Tarascon, J.M. Nanomaterials for Rechargeable Lithium Batteries. Angew. Chem. Int. Ed. 2008, 47, 2930. [Google Scholar] [CrossRef] [PubMed]
- Milivojević, D.; Babić-Stojić, B.; Jokanović, V.; Jagličić, Z.; Makovec, D. Magnetic Properties of Mn-Oxide Nanoparticles Dispersed in an Amorphous SiO2 Matrix. J. Magn. Magn. Mater. 2011, 323, 805. [Google Scholar] [CrossRef]
- Bigiani, L.; Hassan, M.; Peddis, D.; Maccato, C.; Varvaro, G.; Sada, C.; Bontempi, E.; Martí-Sánchez, S.; Arbiol, J.; Barreca, D. High Magnetic Coercivity in Nanostructured Mn3O4 Thin Films Obtained by Chemical Vapor Deposition. ACS Appl. Nano Mater. 2019, 2, 1704. [Google Scholar] [CrossRef]
- Kuryliszyn-Kudelska, I.; Dobrowolski, W.; Arciszewska, M.; Romčević, N.; Romčević, M.; Hadžić, B.; Sibera, D.; Narkiewicz, U. Superparamagnetic and ferrimagnetic behavior of nanocrystalline ZnO(MnO). Phys. E Low-Dimens. Syst. 2018, 98, 10. [Google Scholar] [CrossRef]
- Hadžić, B.; Romčević, N.; Romčević, M.; Kuryliszyn-Kudelska, I.; Dobrowolski, W.; Wróbel, R.; Narkiewicz, U.; Sibera, D. Raman study of surface optical phonons in ZnO(Mn) nanoparticles. J. Alloys Compd. 2014, 585, 214. [Google Scholar] [CrossRef]
- Hadžić, B.; Romčević, N.; Romčević, M.; Kuryliszyn-Kudelska, I.; Dobrowolski, W.; Narkiewicz, U.; Sibera, D. Raman study of surface optical phonons in hydrothermally obtained ZnO(Mn) nanoparticles. Opt. Mater. 2016, 58, 317. [Google Scholar] [CrossRef]
- Liu, Y.; MacManus-Drisoll, J.L. Impurity control in Co-doped ZnO films through modifying cooling atmosphere. Appl. Phys. Lett. 2009, 94, 022503. [Google Scholar] [CrossRef]
- CRC. Handbook of Chemistry and Physics, 80th ed.; CRC Press LLC.: Boca Raton, NY, USA; Washington, DC, USA, 1999; pp. 4–136. [Google Scholar]
- Aiyama, Y. Magnetic Structures in Spinel B-Site Lattices; A Proposal of Linear Antiferromagnetism in ZnMn2O4. J. Phys. Soc. Jpn. 1966, 21, 1684. [Google Scholar] [CrossRef]
- Asbrink, S.; Waskowska, A.; Gerward, L.; Olsen, J.S.; Talik, E. High-pressure phase transition and properties of spinel ZnMn2O4. Phys. Rev. B 1999, 60, 12651. [Google Scholar] [CrossRef]
- Chhor, H.; Bocquet, J.F.; Pommier, C. Heat capacity and thermodynamic behavior of Mn3O4 and ZnMn2O4 at low temperatures. J. Chem. Thermodyn. 1986, 18, 89. [Google Scholar] [CrossRef]
- Qamar, M.M.; Lofland, S.E.; Ramanujachary, K.V.; Ganguli, A.K. Magnetic and photocatalytic properties of nanocrystalline ZnMn2O4. Bull. Mater. Sci. 2009, 32, 231. [Google Scholar] [CrossRef]
- Li, H.; Song, B.; Wang, W.J.; Chen, X.L. Facile synthesis, thermal, magnetic, Raman characterizations of spinel structure ZnMn2O4. Mater. Chem. Phys. 2011, 130, 39. [Google Scholar] [CrossRef]
- Blasco, J.; Bartolome, F.; Garcia, L.M.; Garcia, J. Extrinsic origin of ferromagnetism in doped ZnO. J. Mater. Chem. 2006, 16, 2282. [Google Scholar] [CrossRef]
- Christensen, A.N.; Ollivier, G. Hydrothermal preparation and low temperature magnetic properties of Mn(OH)2. Solid State Commun. 1972, 10, 609. [Google Scholar] [CrossRef]
- Nayak, S.K.; Jena, P. Equilibrium geometry, stability, and magnetic properties of small MnO clusters. J. Am. Chem. Soc. 1999, 121, 644. [Google Scholar] [CrossRef]
- Kodama, R.H.; Makhlouf, S.A.; Berkowitz, A.E. Finite size effects in antiferromagnetic NiO nanoparticles. Phys. Rev. Lett. 1997, 79, 1393. [Google Scholar] [CrossRef]
- Mydosh, A. Spin-Glasses: An Experimental Introduction; Taylor and Francis: London, UK, 1993. [Google Scholar]
- Mori, T.; Mamiya, H. Dynamical properties of a crystalline rare-earth boron cluster spin-glass system. Phys. Rev. B 2003, 68, 2144221. [Google Scholar] [CrossRef]
- Dwight, K.; Menyuk, N. Magnetic properties of Mn3O4 and the canted spin problem. Phys. Rev. 1960, 119, 1470. [Google Scholar] [CrossRef]
- Ahmad, T.; Ramanujachary, K.V.; Lofland, S.E.; Ganguli, A.K. Nanorods of manganese oxalate: A single source precursor to different manganese oxide nanoparticles (MnO, Mn2O3, Mn3O4). J. Mater. Chem. 2004, 14, 3406. [Google Scholar] [CrossRef]
- Winkler, E.; Zysler, R.D.; Fiorani, D. Surface and magnetic interaction effects in Mn3O4 nanoparticles. Phys. Rev. B 2004, 70, 174406. [Google Scholar] [CrossRef]
- Tackett, R.J.; Parson, J.G.; Machado, B.I.; Gaytan, S.M.; Murr, L.E.; Botez, C.E. Evidence of low-temperature superparamagnetism in Mn3O4 nanoparticle ensembles. Nanotechnology 2010, 21, 365703. [Google Scholar] [CrossRef] [PubMed]
- Yang, Y.T.; Si, P.Z.; Choi, C.J.; Ge, H.L. Large coercivity and exchange bias in Mn3O4 nanoparticles prepared by laser ablation method. J. Magn. Magn. Mater. 2019, 489, 165481. [Google Scholar] [CrossRef]
- Jaćimović, J.; Micković, Z.; Gaál, R.; Smajda, R.; Vâju, C.; Sienkiewicz, A.; Forró, L.; Magrez, A. Synthesis, electrical resistivity, thermo-electric power and magnetization of cubic ZnMnO3. Solid State Commun. 2011, 151, 487. [Google Scholar] [CrossRef]
- Ekhande, L.V.; Dhas, V.V.; Kolekar, Y.D.; Ghosh, K.; Date, S.K.; Patil, S.I. Role of defects in enhancing room temperature ferromagnetism of Mn doped ZnO nanoparticles. Phys. Status Solidi B 2013, 250, 1389. [Google Scholar] [CrossRef]
- Kolesnik, S.; Dabrowski, B.; Mais, J. Origin of spin-glass behavior of Zn1—xMnxO. J. Supercond. Nov. Mag. 2002, 15, 251. [Google Scholar] [CrossRef]
- Lee, G.H.; Huh, S.H.; Jeong, J.W.; Choi, B.J.; Kim, S.H.; Ri, H.-C. Anomalous Magnetic Properties of MnO Nanoclusters. J. Am. Chem. Soc. 2002, 124, 12094. [Google Scholar] [CrossRef]
- Lee, Y.-C.; Pakhomov, A.B. Size-driven magnetic tra62nsitions in monodisperse MnO nanocrystals. J. Appl. Phys. 2010, 107, 09E124. [Google Scholar] [CrossRef]
- Mukherjee, S.; Yang, H.D.; Pal, A.K.; Majumdar, S. Magnetic properties of MnO nanocrystals dispersed in a silica matrix. J. Magn. Magn. Mater. 2012, 324, 1690. [Google Scholar] [CrossRef]






| Nominal Contribution | C [emu/K g] | Θ [K] |
|---|---|---|
| 0.05 | 0.00008 | −7.33 |
| 0.10 | 0.0002 | −3.83 |
Disclaimer/Publisher’s Note: The statements, opinions and data contained in all publications are solely those of the individual author(s) and contributor(s) and not of MDPI and/or the editor(s). MDPI and/or the editor(s) disclaim responsibility for any injury to people or property resulting from any ideas, methods, instructions or products referred to in the content. |
© 2023 by the authors. Licensee MDPI, Basel, Switzerland. This article is an open access article distributed under the terms and conditions of the Creative Commons Attribution (CC BY) license (https://creativecommons.org/licenses/by/4.0/).
Share and Cite
Kuryliszyn-Kudelska, I.; Dobrowolski, W.; Arciszewska, M.; Hadžić, B.; Romčević, N.; Romčević, M.; Sibera, D.; Narkiewicz, U. Hydrothermal Synthesis and Magnetic Properties of Zn/Mn Oxides Nano Particles. Magnetochemistry 2023, 9, 139. https://doi.org/10.3390/magnetochemistry9060139
Kuryliszyn-Kudelska I, Dobrowolski W, Arciszewska M, Hadžić B, Romčević N, Romčević M, Sibera D, Narkiewicz U. Hydrothermal Synthesis and Magnetic Properties of Zn/Mn Oxides Nano Particles. Magnetochemistry. 2023; 9(6):139. https://doi.org/10.3390/magnetochemistry9060139
Chicago/Turabian StyleKuryliszyn-Kudelska, Izabela, Witold Dobrowolski, Monika Arciszewska, Branka Hadžić, Nebojsa Romčević, Maja Romčević, Daniel Sibera, and Urszula Narkiewicz. 2023. "Hydrothermal Synthesis and Magnetic Properties of Zn/Mn Oxides Nano Particles" Magnetochemistry 9, no. 6: 139. https://doi.org/10.3390/magnetochemistry9060139
APA StyleKuryliszyn-Kudelska, I., Dobrowolski, W., Arciszewska, M., Hadžić, B., Romčević, N., Romčević, M., Sibera, D., & Narkiewicz, U. (2023). Hydrothermal Synthesis and Magnetic Properties of Zn/Mn Oxides Nano Particles. Magnetochemistry, 9(6), 139. https://doi.org/10.3390/magnetochemistry9060139

