Magnetohydrodynamic Effects on Third-Grade Fluid Flow and Heat Transfer with Darcy–Forchheimer Law over an Inclined Exponentially Stretching Sheet Embedded in a Porous Medium
Abstract
:1. Introduction
2. Formulation of the Problem
Flow Analysis
3. Solution Methodology
3.1. Similarity Formulation
3.2. Solution Technique
4. Results and Discussion
4.1. Influence of Involved Parameters on Velocity Profile Temperature Profile , and Mass Concentration
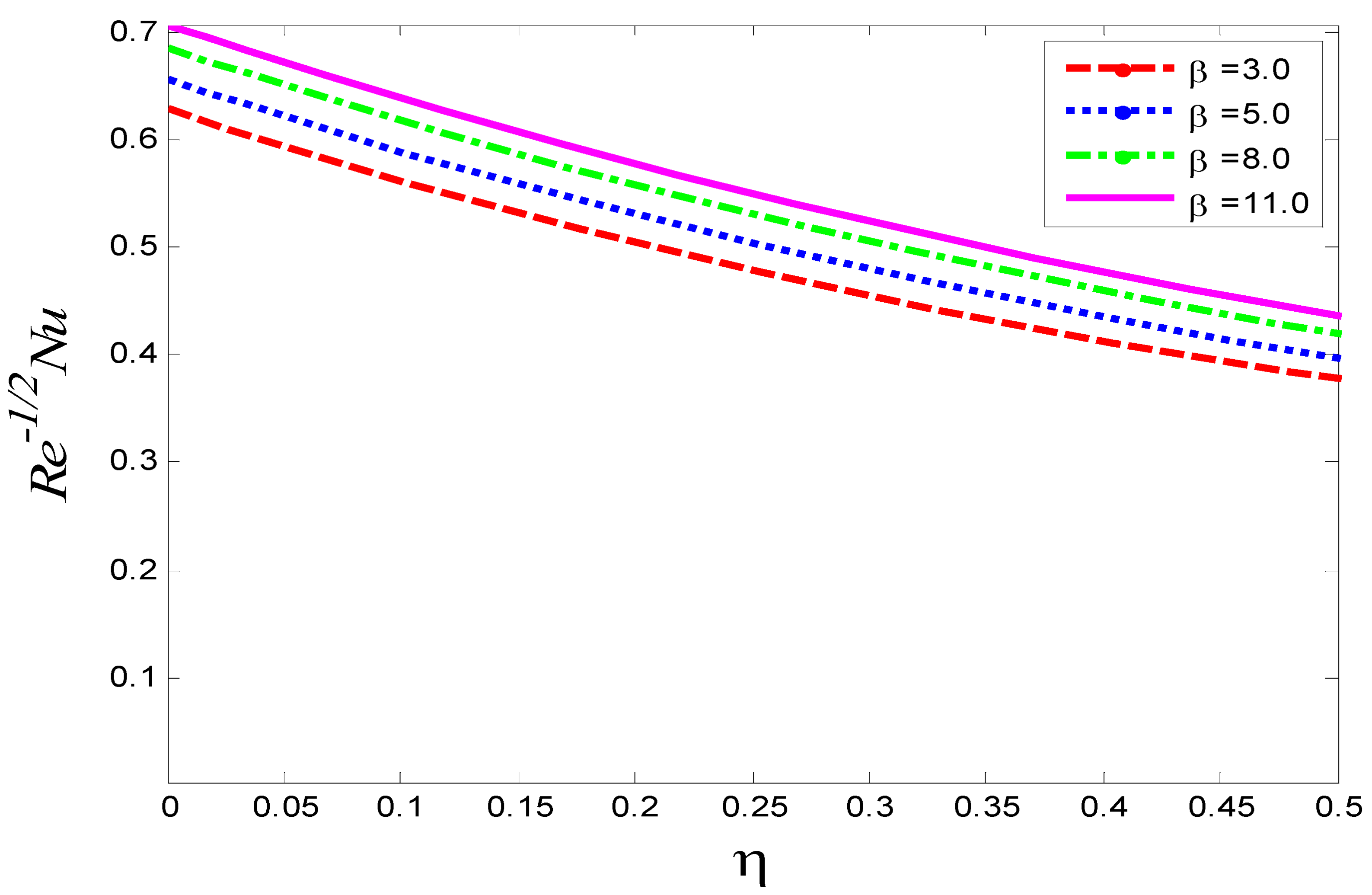
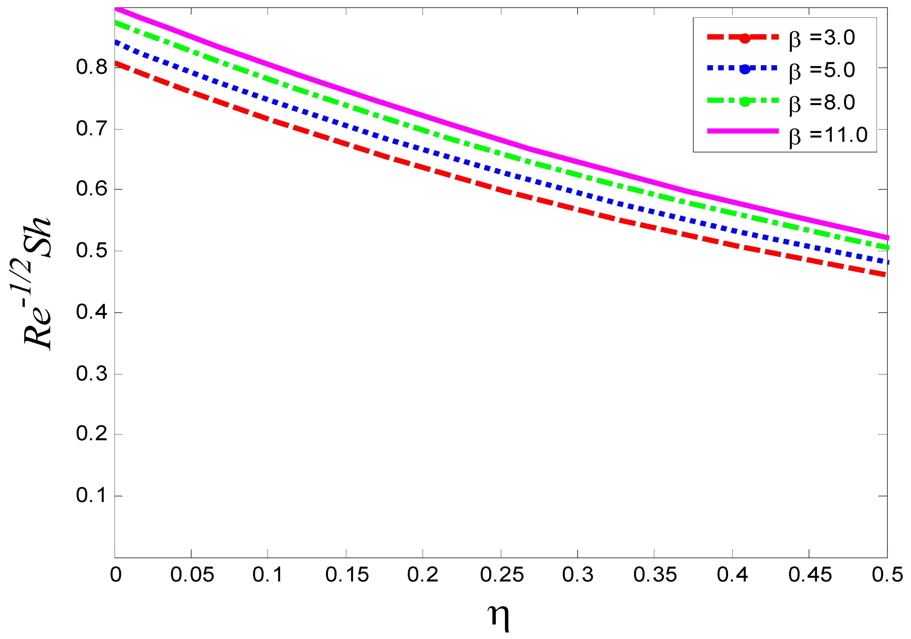
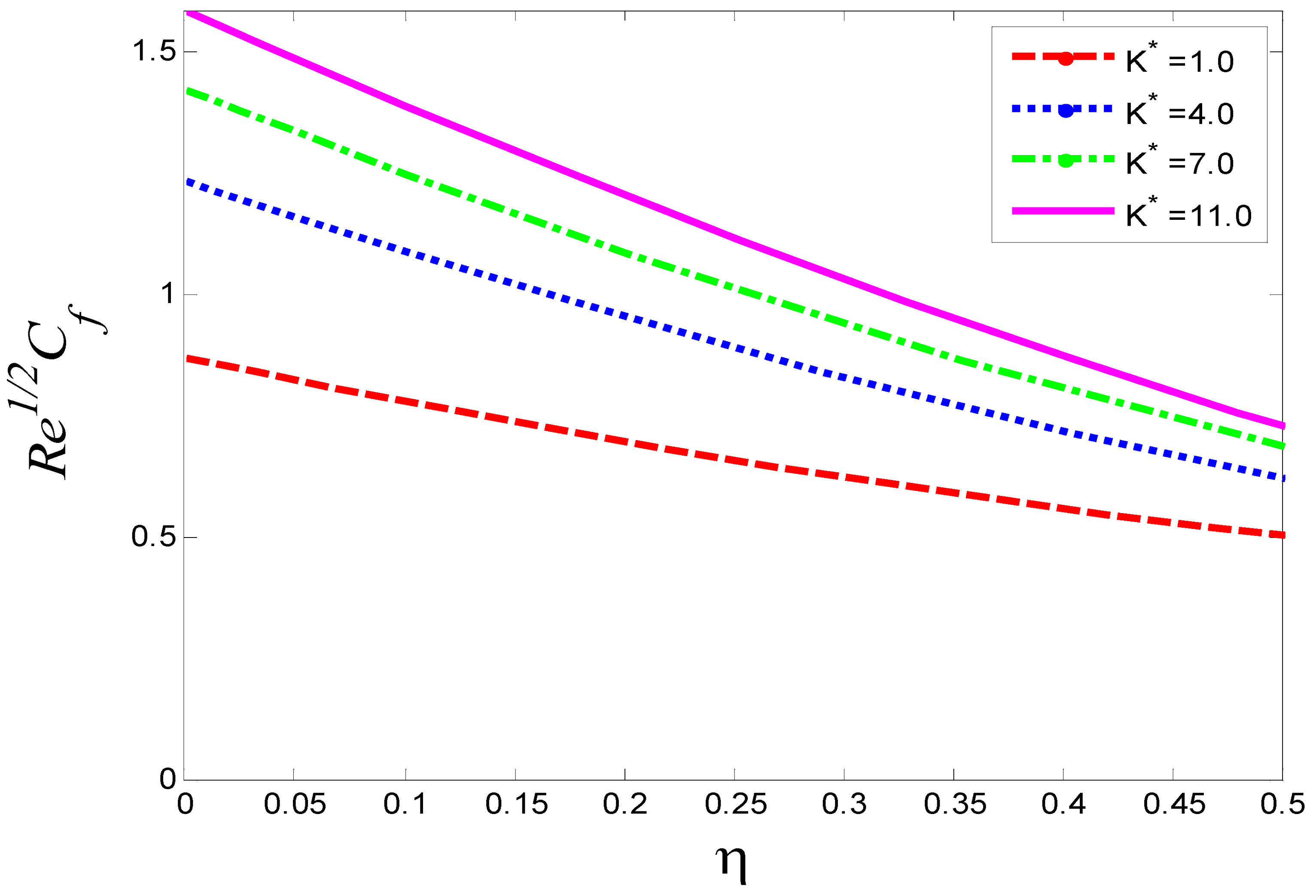
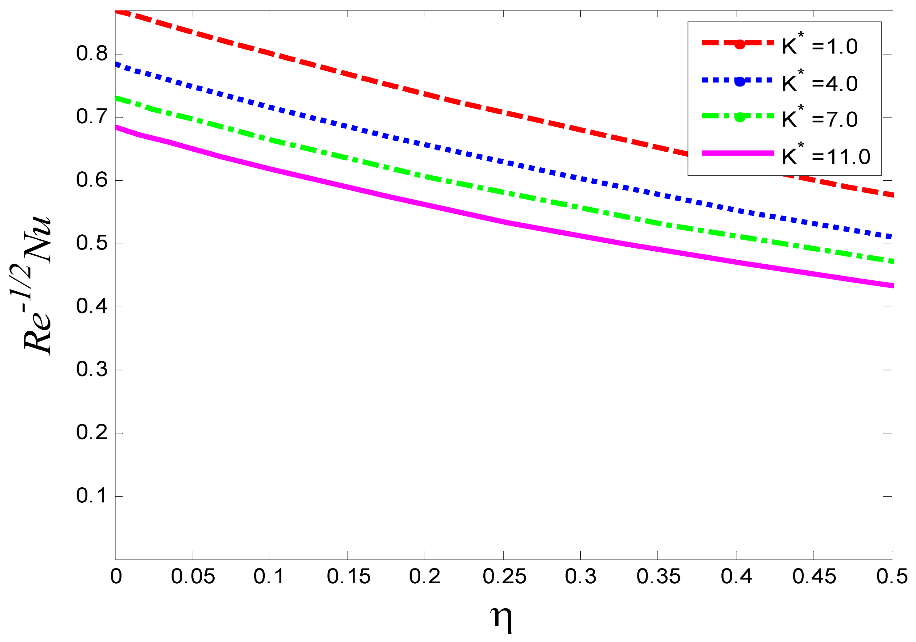
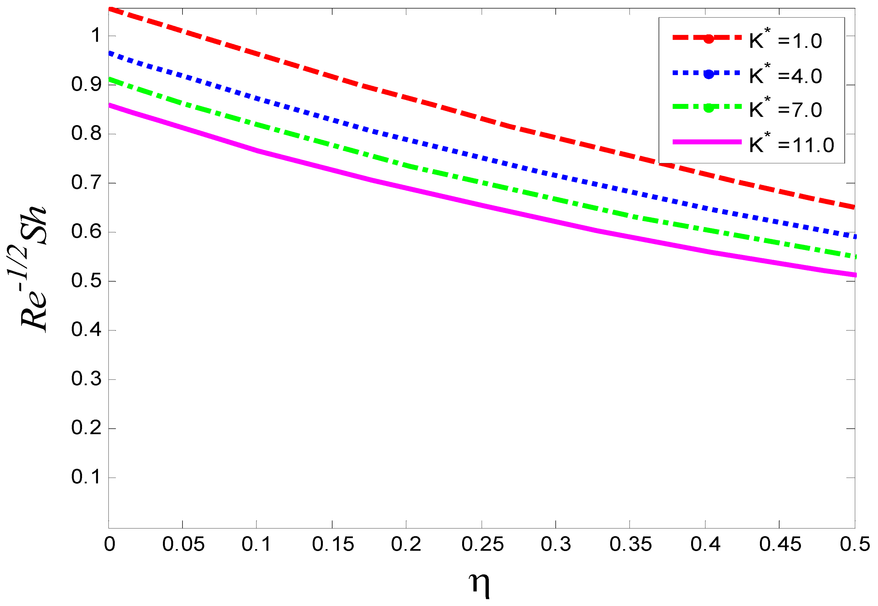
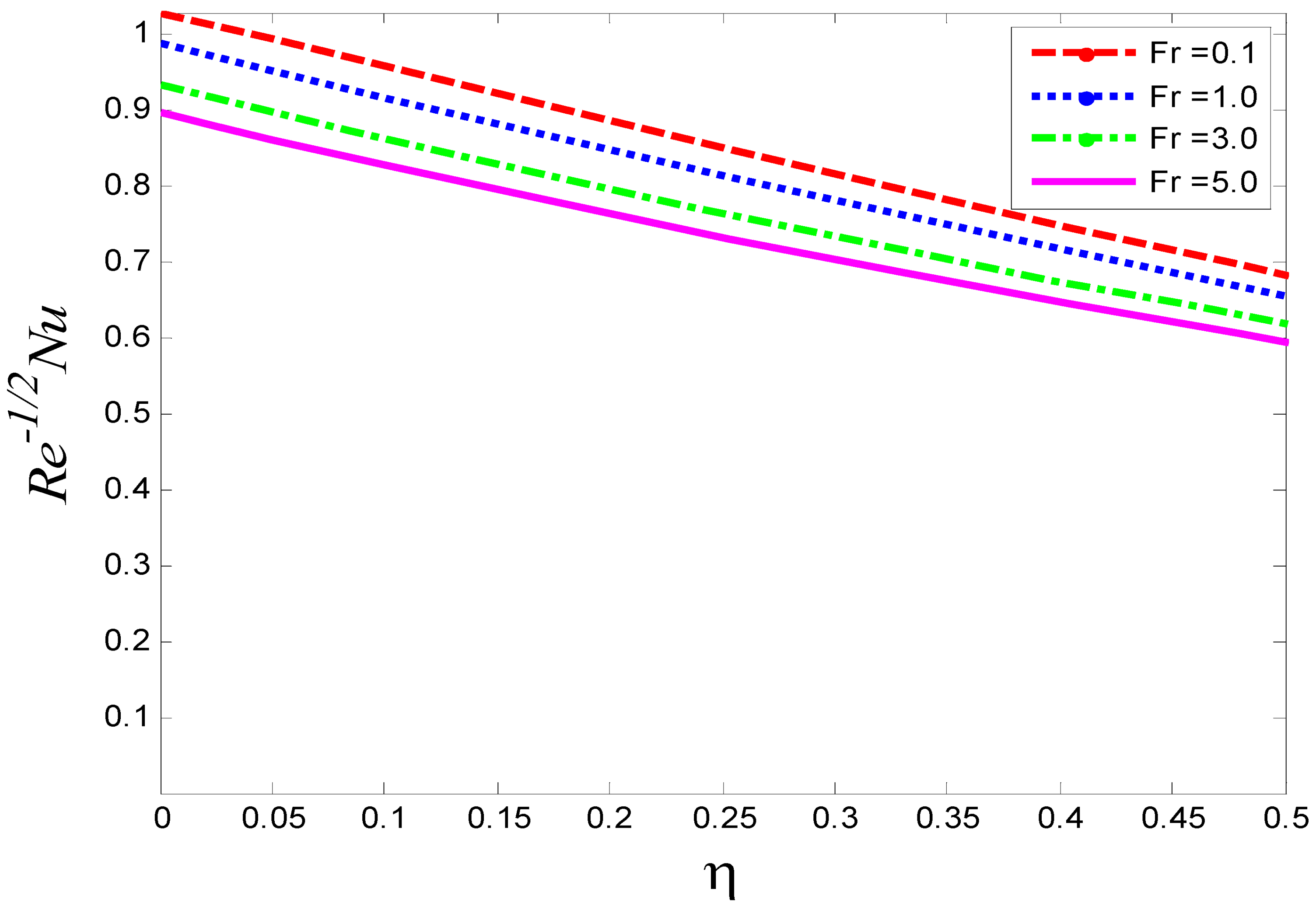
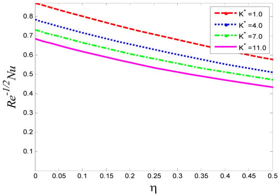
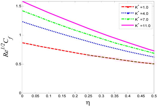
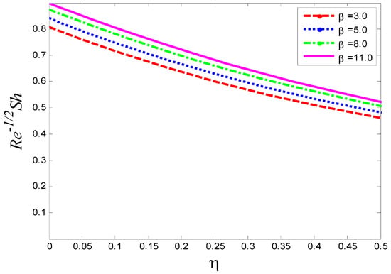
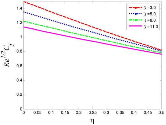
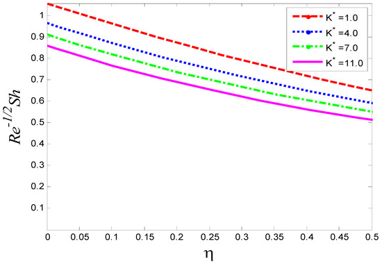
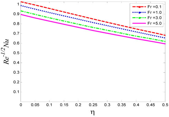
4.2. Influence of Parameters on Skin Friction Coefficient , Nusselt Number , and Sherwood Number
5. Conclusions
- rises as and rises, but the reverse scenario is noted against the elevating values of and .
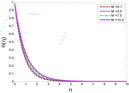
- is elevated as and are raised, but the reverse scenario is noted owing to increase in and .
- is intensified as is augmented but falls down as and are elevated.
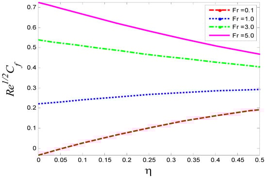
- It is concluded that the skin friction coefficient increases with increasing values of and , but the opposite trend is seen for increasing magnitudes of .
- The Nusselt number is elevated against elevating values of and the opposite action is viewed for increasing and .
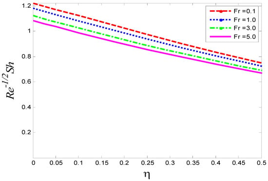
- The Sherwood number fleshes out an increasing attitude for increasing and shows the decreasing trend for augmenting and .
- The present results for such a special case are compared with the previously published results and there is nice agreement between them, which validates the accuracy of the current results.
- In the future, this model can be extended to nanofluid and hybrid nanofluid with different fluid characteristics.
- This can also be extended to analyze the impact of reduced gravity on this model.
Author Contributions
Funding
Institutional Review Board Statement
Informed Consent Statement
Data Availability Statement
Acknowledgments
Conflicts of Interest
Nomenclature
| Nomenclature | Local inertial coefficient |
| Ambient temperature | Mass diffusion coefficient |
| Wall concentration | Nussle number |
| Ambient concentration | Mean temperature of fluid |
| Wall temperature | Greeks |
| Angle of inclination | Volumetric coefficient concentration expansion |
| Velocity components in and directions | Dimensionless temperature |
| Buoyancy ratio parameter | Volumetric coefficient thermal expansion |
| Viscoelastic parameter | Dimensionless mass concentration |
| Concentration in boundary layer | Thermal conductivity |
| Schmidt number | Dynamic viscosity |
| Coefficient of inertia | Third-grade fluid parameter |
| Specific heaconstant pressure | Electrical conductivity |
| Coordinates | Thermal diffusivity |
| Sherwood number | Kinematic viscosity |
| Cross viscous parameter | ρ Fluid density |
| Skin friction | Material moduli |
| Coordinates | Subscripts |
| Richardson number | Ambient conditions |
| Drag Coefficient | Wall conditions |
| Reynolds number | |
| T Fluid temperature in boundary layer | |
| Prandtl number | |
| Gravitational acceleration | |
| Permeability parameter | |
| Grashof number | |
| Porous medium permeability |
References
- Sahoo, B.; Do, Y. Effects of slip on sheet-driven flow and heat transfer of a third grade fluid past a stretching sheet. Int. Commun. Heat Mass Transf. 2010, 37, 1064–1071. [Google Scholar] [CrossRef]
- Sahoo, B. Flow and heat transfer of a non-Newtonian fluid past a stretching sheet with partial slip. Commun. Nonlinear Sci. Numer. Simul. 2010, 15, 602–615. [Google Scholar] [CrossRef]
- Sahoo, B. Hiemenz flow and heat transfer of a non-Newtonian fluid. Commun. Nonlinear Sci. Numer. Simul. 2009, 14, 811–826. [Google Scholar] [CrossRef]
- Pakdemirli, M. The boundary layer equations of third-grade fluids. Int. J. Non-Linear Mech. 1992, 27, 785–793. [Google Scholar] [CrossRef]
- Sahoo, B.; Sharma, H.G. MHD flow and heat transfer from continuous surface in uniform free stream of non-Newtonian fluid. Appl. Math. Mech. 2007, 28, 1467–1477. [Google Scholar] [CrossRef]
- Javanmard, M.; Taheri, M.H.; Ebrahimi, S.M. Heat transfer of third-grade fluid flow in a pipe under an externally applied magnetic field with convection on wall. Appl. Rheol. 2008, 28. [Google Scholar] [CrossRef]
- Hayat, T.; Khan, M.I.; Waqas, M.; Alsaedi, A.; Yasmeen, T. Diffusion of chemically re-active species in third grade fluid flow over an exponentially stretching sheet considering magnetic field effects. Chin. J. Chem. Eng. 2017, 25, 257–263. [Google Scholar] [CrossRef]
- Sahoo, B.; Poncet, S. Flow and heat transfer of a third grade fluid past an exponentially stretching sheet with partial slip boundary condition. Int. J. Heat Mass Transf. 2011, 54, 5010–5019. [Google Scholar] [CrossRef] [Green Version]
- Madhu, M.; Shashikumar, N.S.; Gireesha, B.J.; Kishan, N. Second law analysis of MHD third-grade fluid flow through the microchannel. Pramana 2021, 95, 4. [Google Scholar] [CrossRef]
- Zhang, L.; Bhatti, M.M.; Michaelides, E.E. Electro-magnetohydrodynamic flow and heat transfer of a third-grade fluid using a Darcy-Brinkman-Forchheimer model. Int. J. Numer. Methods Heat Fluid Flow 2020, 31, 2623–2639. [Google Scholar] [CrossRef]
- Shehzad, S.A.; Abbasi, F.M.; Hayat, T.; Ahmad, B. Cattaneo-Christov heat flux model for third-grade fluid flow towards exponentially stretching sheet. Appl. Math. Mech. 2016, 37, 761–768. [Google Scholar] [CrossRef]
- Reddy, G.J.; Hiremath, A.; Kumar, M. Computational modeling of unsteady third-grade fluid flow over a vertical cylinder: A study of heat transfer visualization. Results Phys. 2018, 8, 671–682. [Google Scholar] [CrossRef]
- Chu, Y.M.; Khan, M.I.; Khan, N.B.; Kadry, S.; Khan, S.U.; Tlili, I.; Nayak, M.K. Significance of activation energy, bio-convection and magnetohydrodynamic in flow of third grade fluid (non-Newtonian) towards stretched surface: A Buongiorno model analysis. Int. Commun. Heat Mass Transf. 2020, 118, 104893. [Google Scholar] [CrossRef]
- Nadeem, S.; Saleem, S. Analytical study of third grade fluid over a rotating vertical cone in the presence of nanoparticles. Int. J. Heat Mass Transf. 2015, 85, 1041–1048. [Google Scholar] [CrossRef]
- Fosdick, R.L.; Rajagopal, K.R. Thermodynamics and stability of fluids of third grade. Proc. R. Soc. Lond. Ser. A Math. Phys. Sci. 1980, 369, 351–377. [Google Scholar] [CrossRef]
- Forchheimer, P. Wasserbewegung durch boden. Z. Ver. Deutsch Ing. 1901, 45, 1782–1788. [Google Scholar]
- Muskat, M.; Wyckoff, R.D. The flow of homogeneous fluids through porous media. Soil Sci. 1946, 46, 169. [Google Scholar] [CrossRef]
- Seddeek, M. Influence of viscous dissipation and thermophoresis on Darcy–Forchheimer mixed convection in a fluid saturated porous media. J. Colloid Interface Sci. 2006, 293, 137–142. [Google Scholar] [CrossRef] [PubMed]
- Pan, H.; Rui, H. Mixed element method for two-dimensional Darcy-Forchheimer model. J. Sci. Comput. 2012, 52, 563–587. [Google Scholar] [CrossRef]
- Ramzan, M.; Gul, H.; Zahri, M. Darcy-Forchheimer 3D Williamson nanofluid flow with generalized Fourier and Fick’s laws in a stratified medium. Bull. Pol. Acad. Sciences. Tech. Sci. 2020, 68, 327–335. [Google Scholar]
- Hayat, T.; Haider, F.; Muhammad, T.; Alsaedi, A. An optimal study for Darcy-Forchheimer flow with generalized Fourier’s and Fick’s laws. Results Phys. 2017, 7, 2878–2885. [Google Scholar] [CrossRef]
- Grillo, A.; Carfagnay, M.; Federicoz, S. The Darcy-Forchheimer law for modelling fluid flow in biological tissues. Theor. Appl. Mech. 2014, 41, 283–322. [Google Scholar] [CrossRef]
- Knabner, P.; Roberts, J.E. Mathematical analysis of a discrete fracture model coupling Darcy flow in the matrix with Darcy–Forchheimer flow in the fracture. ESAIM Math. Model. Numer. Anal. 2014, 48, 1451–1472. [Google Scholar] [CrossRef] [Green Version]
- Khan, M.; Salahuddin, T.; Malik, M.Y. Implementation of Darcy–Forchheimer effect on magnetohydrodynamic Carreau–Yasuda nanofluid flow: Application of Von Kármán. Can. J. Phys. 2019, 97, 670–677. [Google Scholar] [CrossRef]
- Nagaraja, B.; Gireesha, B.J.; Soumya, D.O.; Almeida, F. Characterization of MHD convective flow of Jeffrey nanofluid driven by a curved stretching surface by employing Darcy–Forchheimer law of porosity. Waves Random Complex Media 2022, 1–20. [Google Scholar] [CrossRef]
- Kumar, D.; Sinha, S.; Sharma, A.; Agrawal, P.; Dadheech, P.K. Numerical study of chemical reaction and heat transfer of MHD slip flow with Joule heating and Soret–Dufour effect over an exponentially stretching sheet. Heat Transf. 2021, 51, 1939–1963. [Google Scholar] [CrossRef]
- Ishak, A. MHD boundary layer flow due to an exponentially stretching sheet with radiation effect. Sains Malays. 2011, 40, 391–395. [Google Scholar]
- Sajid, M.; Hayat, T. Influence of thermal radiation on the boundary layer flow due to an exponentially stretching sheet. Int. Commun. Heat Mass Transf. 2008, 35, 347–356. [Google Scholar] [CrossRef]
- Nadeem, S.; Haq, R.U.; Khan, Z. Heat transfer analysis of water-based nanofluid over an exponentially stretching sheet. Alex. Eng. J. 2013, 53, 219–224. [Google Scholar] [CrossRef] [Green Version]
- Bidin, B.; Nazar, R. Numerical solution of the boundary layer flow over an exponentially stretching sheet with thermal radiation. Eur. J. Sci. Res. 2009, 33, 710–717. [Google Scholar]
- Magyari, E.; Keller, B. Heat and mass transfer in the boundary layers on an exponentially stretching continuous surface. J. Phys. D Appl. Phys. 1999, 32, 577. [Google Scholar] [CrossRef]



























| Pr | Magyari and Keller [31] | Present Study |
|---|---|---|
| 1.0 | 0.9547 | 0.9551 |
| 3 | 1.8691 | 1.8121 |
| 5 | 2.5001 | 2.5577 |
| 10 | 3.6604 | 3.6868 |
Publisher’s Note: MDPI stays neutral with regard to jurisdictional claims in published maps and institutional affiliations. |
© 2022 by the authors. Licensee MDPI, Basel, Switzerland. This article is an open access article distributed under the terms and conditions of the Creative Commons Attribution (CC BY) license (https://creativecommons.org/licenses/by/4.0/).
Share and Cite
Abbas, A.; Jeelani, M.B.; Alharthi, N.H. Magnetohydrodynamic Effects on Third-Grade Fluid Flow and Heat Transfer with Darcy–Forchheimer Law over an Inclined Exponentially Stretching Sheet Embedded in a Porous Medium. Magnetochemistry 2022, 8, 61. https://doi.org/10.3390/magnetochemistry8060061
Abbas A, Jeelani MB, Alharthi NH. Magnetohydrodynamic Effects on Third-Grade Fluid Flow and Heat Transfer with Darcy–Forchheimer Law over an Inclined Exponentially Stretching Sheet Embedded in a Porous Medium. Magnetochemistry. 2022; 8(6):61. https://doi.org/10.3390/magnetochemistry8060061
Chicago/Turabian StyleAbbas, Amir, Mdi Begum Jeelani, and Nadiyah Hussain Alharthi. 2022. "Magnetohydrodynamic Effects on Third-Grade Fluid Flow and Heat Transfer with Darcy–Forchheimer Law over an Inclined Exponentially Stretching Sheet Embedded in a Porous Medium" Magnetochemistry 8, no. 6: 61. https://doi.org/10.3390/magnetochemistry8060061
APA StyleAbbas, A., Jeelani, M. B., & Alharthi, N. H. (2022). Magnetohydrodynamic Effects on Third-Grade Fluid Flow and Heat Transfer with Darcy–Forchheimer Law over an Inclined Exponentially Stretching Sheet Embedded in a Porous Medium. Magnetochemistry, 8(6), 61. https://doi.org/10.3390/magnetochemistry8060061

