Next Article in Journal
Tunable and Sensitive Detection of Cortisol Using Anisotropic Phosphorene with a Surface Plasmon Resonance Technique: Numerical Investigation
Previous Article in Journal
Magnetic Nanomaterials and Nanostructures in Sample Preparation Prior to Liquid Chromatography
Previous Article in Special Issue
Analysis of the Mutual Impedance of Coils Immersed in Water
 
 
Font Type:
Arial Georgia Verdana
Font Size:
Aa Aa Aa
Line Spacing:
Column Width:
Background:
Article

Optimization of Transfer Quality Factor of Limited-Size Coils for Series-Series Compensated Inductive Power Transfer System

School of Marine Science and Technology, Northwestern Polytechnical University, Xi’an 710072, China
*
Author to whom correspondence should be addressed.
These authors contributed equally to this work.
Magnetochemistry 2022, 8(3), 30; https://doi.org/10.3390/magnetochemistry8030030
Submission received: 6 February 2022 / Revised: 3 March 2022 / Accepted: 3 March 2022 / Published: 6 March 2022
(This article belongs to the Special Issue Magnetically Coupled Wireless Power Transfer System)

Abstract

:
For an inductive power transfer system, high transfer quality factor means that the system can obtain large theoretical transmission efficiency. In this paper, a method of coil optimization in a limited space to improve the transfer quality factor for a series-series compensated inductive power transfer system is presented. High transfer quality factor in a limited space can be achieved by determining the optimal number of turns with equal turn spacing coil, and then optimizing the distance between adjacent turn. The results of finite element simulation and experimental measurement show that the method proposed in this paper can obtain a higher transfer quality factor than the conventional method of winding coil with equal turn spacing. The method proposed in this paper can be used to guide the optimal design of coils in a limited space.

1. Introduction

Recently, wireless power transfer (WPT) has been widely used because there is no need for wire connection between power supply and equipment [1,2]. Numerous approaches for WPT have been explored, including laser WPT [3], microwave WPT [4], capacitive WPT [5], and inductive WPT [6]. The inductive WPT technology based on magnetic coupling can also realize power transmission under misaligned conditions [7]. Therefore, it is favored in some scenes where it is difficult to use wired power supply, such as industrial manufacturing facilities, autonomous underwater vehicles, and medical implants.
An inductive WPT system usually consists of a transmitter that generates alternating current to obtain alternating magnetic field in the primary coil and a receiver that converts the induced magnetic field into electric field. A compensation network is usually needed for efficient power transmission. The common basic compensation networks of inductive WPT system include series–series (S-S) compensation [8], series–parallel (S-P) compensation [9], parallel–series (P-S) compensation [10], and parallel–parallel (P-P) compensation [11]. In order to realize soft switching and improve the efficiency of the system, the above basic compensation topologies are often combined, such as LCC-S [12], double-sided LCC [13], double-sided LCL [14], etc. S-S compensation network is widely adopted because it is simple and easy to tune. In addition to the compensation network, there are also research on control methods [15], simultaneous transmission of power and data [16], and design of electromagnetic coils for the WPT system.
The design of coil belongs to the structural design of magnetic material. The content of optimization design includes not only the selection of magnetic material, but also the optimization design of structure. The use of magnetic material can enhance the coupling between coils and reduce the leakage of magnetic field. Once the magnetic material is determined, only the reasonable design of the size and shape of the coil can change the coupling characteristics between magnetic materials. Therefore, a large number of scholars are devoted to the optimal design of electromagnetic coils [17,18,19,20,21,22].
In [18], a design algorithm of circular planar coil is proposed for achieving uniform magnetic field distribution in WPT applications. The adjustment of magnetic field distribution is realized by optimizing the turn spacing of the coil composed of 15 turns. In [19], the transfer quality factor affecting the characteristics of power transmission efficiency is proposed. It shows that the larger the transfer quality factor, the higher the transfer efficiency. Through the multi-objective optimization of the outer diameter, the number of turns and turn spacing of the coils, coils with high ratio of mutual inductance to coil resistance is obtained in [20]. However, it only gives the optimization steps of equal turn spacing coil, and does not give how to select the number of turns and turn spacing in a limited space. In [21], quality factor and coupling coefficient are optimized for WPT coil design. Although the quality factor and coupling coefficient of the coils can reflect the theoretical maximum energy transmission efficiency that the system can achieve, a single improvement of the quality factor or coupling coefficient can not necessarily make the system obtain the maximum theoretical transmission efficiency. In [22], a simplified design equations to calculate the self inductance, resistance, quality factor and coupling coefficient in terms of coil geometries is proposed for optimizing coil size ratios. For a desired transmission distance, the efficient power transmission can be realized by optimizing coil size ratios of the primary and secondary coils. In [23], genetic algorithm is used to optimize the coil array. The “null zones” can be better solved through the optimization of the coil array, so as to improve the energy transmission efficiency under the worst working condition by forty percent. In [24], an optimal hollow coil is proposed to supply stable power and minimize the size of wireless capsule endoscope. The most obvious disadvantage of WPT compared with wired power supply is its energy leakage, and the electromagnetic coils are the key part affecting the magnetic flux leakage. Although there have been many related studies on the optimal design of coil, there is still no good guidance on how to select the number of turns and the turn spacing in a limited space. In this paper, we analyze the key factor affecting the energy transmission efficiency aiming at the common inductive power transfer system with S-S compensation. The study of literature [19] shows that the larger the transfer quality factor is, the higher the theoretically achievable energy transmission efficiency is. In order to improve the transfer quality factor of the coil, it is mainly necessary to improve the ratio of mutual inductance to resistance of the coil. We define the coil design problem in a limited space as a constrained optimization problem. A pair of circular coils with the same structure and placed coaxially is taken as an example to illustrate the optimization process. Firstly, the optimal number of turns is determined based on the coil with equal turn spacing, and then the distance between adjacent turn is further optimized by genetic algorithm, so as to obtain the optimized number of turns and turn spacing. Higher transfer quality factor can be obtained compared with equal turn spacing coils according to the optimization steps proposed in this paper. The method proposed in this paper can be used to guide the optimal design of coils in a limited space.
The organization of this paper is as follows. In Section 2, the transfer quality factor of the coils is derived, and the influence of the transfer quality factor on the theoretical maximum power transmission efficiency is studied. In Section 3, the steps of optimization in a limited space are given taking the coaxial plane circular coils as an example. In Section 4, the results of finite element simulation and experimental results are compared. Finally, the important conclusions are summarized in Section 5.

2. Problem Formulation

The equivalent circuit of the S-S compensated topology is depicted in Figure 1, where L p , L s are the inductances of the transmitting and receiving coils; R p and R s are, respectively, the parasitic resistance of the primary and secondary loop; R e represents the equivalent load resistance; Capacitors C p and C s are connected in series with each coil for realizing the tuning of the circuit; M is the mutual inductance between the two coupling coils; U s is the input voltage vector; I p and I s are the current vector of primary and secondary loop. The system is described as follows by the Kirchhoff’s Voltage Law.
U s = ( R p + j ω L p + 1 j ω C p ) I p + j ω M I s 0 = j ω M I p + ( R s + j ω L s + 1 j ω C s + R e ) I s
Assuming that the operating frequency is equal to the resonant frequency of the transmitting and receiving resonators, i.e., f = 1 2 π L p C p = 1 2 π L s C s . Thus, the reflected impedance from the receiving loop to the transmitting loop can be expressed as follows:
Z r e f = ( ω M ) 2 R s + R e
The power transmission efficiency of the circuit can be obtained by the product of the efficiencies on the transmitting and receiving loop, expressed as:
η = Z r e f R p + Z r e f R e R s + R e = ( ω M R p R s ) 2 1 + R e R s + ( ω M R p R s ) 2 R e R s 1 + R e R s = T Q 2 1 + R M + T Q 2 R M 1 + R M
where T Q = ω M R p R s represents the transfer quality factor and R M = R e R s . By letting η R M = 0 , the optimal R M o p t to obtain the maximum transfer efficiency is:
R M o p t = 1 + T Q 2
The theoretical maximum transfer efficiency can be expressed as [19]:
η m a x = ( T Q 1 + 1 + T Q 2 ) 2
It can be seen from Figure 2 that the theoretical maximum transfer efficiency increases with T Q . The efficiency increases rapidly with the increase of T Q when T Q is small. However, the increase of efficiency gradually slows down when T Q increases to a threshold. Assuming that the coil and compensation capacitance of the primary and secondary have the same parasitic parameters, T Q can be rewritten as:
T Q = ω M R
where R = R P = R S . Obviously, T Q can be improved through maximizing M / R when ω remains constant. Since the working frequency of WPT system usually needs to meet relevant standards, f = 85 kHz is selected in this paper, which is also the specified frequency of wireless charging for electric vehicles [12]. Assuming that the parasitic resistance of the compensation capacitor used for circuit tuning is constant at this frequency, the problem becomes how to optimize the design of the coil to maximize the ratio of mutual inductance to resistance to improve the transfer quality factor.
Circular and rectangular coils are often used because of their simple structure and symmetry. The coils can usually obtain the best coupling without misalignment. When winding a coil in a limited space, the usual practice is to wind the coil at equal intervals from outside to inside along the outer edge of the mechanical structure. In this way, the coils can be ensured to have the largest size as possible to ensure the full coupling between the coils. Large coil size can indeed enhance the coupling between the coils, but the increase of the number of turns will also increase the resistance of the coils, which will affect the theoretical maximum transfer quality factor. In this paper, we take the circular planar coil as an example to introduce how many turns the coils should be wound and how to determine the distance between adjacent turn in order to maximize the transfer quality factor in a limited space. The two-dimensional axisymmetric model of planar circular coil is shown in Figure 3. It is assumed that the vertical distance between the two coils is a constant and the coils are placed coaxially, an objective function is established as follows.
m a x ( ω M ( d , N ) R ( d , N ) ) d j d j 1 m , j = 2 , 3 , N 0 < d n d N m a x , n = 1 , 2 , N ;
where d = ( d 1 , d 2 d N ) is the vector composed of the distance between each turn and the center of the coil, m represents the minimum distance between adjacent turn, and d N m a x are the radius of the outermost turn of the coil. The optimization problem shown in (7) is also applicable to the scenario where one coil is fixed in size and only the other coil needs to be optimized. The parameters related to the optimization design are shown in Table 1.

3. Optimization Procedure

The objective of this paper is to study how to design coils to obtain a relatively high transfer quality factor in a limited space. As shown in (7), if both N and d are taken as variables to solve the problem, the solution space will be very large, thus in this paper, we first analyze the variation law of the transfer quality factor of equally spaced coils with the number of turns and turn spacing. After obtaining the optimal number of turns, we optimize the turn spacing to further improve the transfer quality factor of the coils.

3.1. Determination of the Number of Turns

In the design stage of the coil, the mechanical structure limits the maximum size of the coil. When the size of the coil is limited, it is difficult to generate sufficient magnetic field for a small number of turns, so it is also difficult for the coils to obtain sufficient coupling for energy transmission. However, although the increase of turns can enhance the coupling between the coils, too many turns will also increase the resistance of coils due to the increase of wire length. Therefore, it is necessary to select an optimal number of turns first.
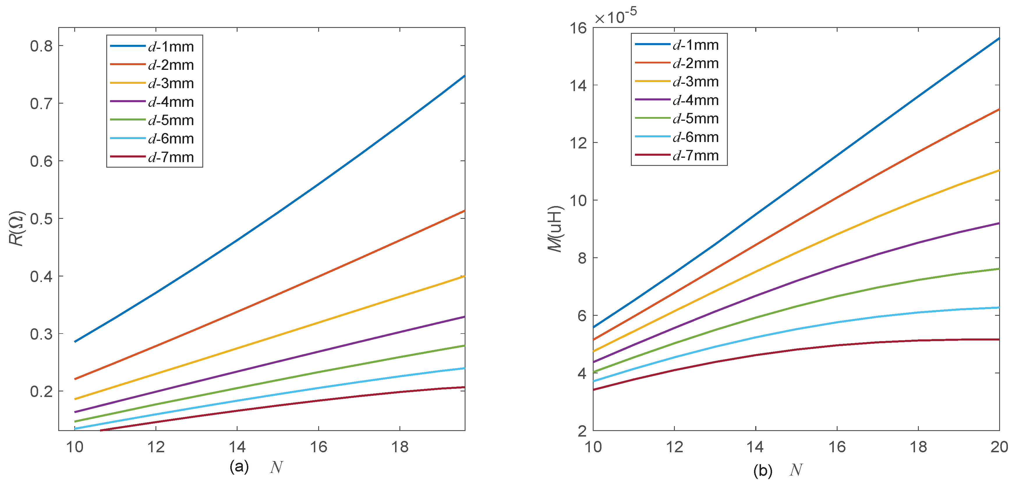
In the actual system, there is not only the coupling between coils, but also the coupling between coils and nearby mechanical structures. Finding the analytical solution of coil resistance and mutual inductance is usually a very complex process, and simulation is a very useful auxiliary calculation method. We choose the finite element simulation method to assist the design of the coils. Figure 4 compares the performances of the coils wound at equal intervals with different turns and turn spacing based on the finite element simulation software COMSOL. Here, the excitation frequency is fixed at 85 kHz, which meets the relevant standards of WPT. The structure of the primary coil and the secondary coil are completely consistent. Other parameters related to the optimization design are illustrated in Table 1. It is apparent that mutual inductance and resistance are proportional to the number of turns when the distance between adjacent turn is constant. Large mutual inductance represents the enhancement of coupling between coils, while the increase of resistance represents the increase of coil coupling loss. With the decrease of the distance between adjacent turn, large mutual inductance can be obtained under the same number of turns. Nevertheless, the decrease of the distance between adjacent turn will increase the coil resistance.
The ratio of mutual inductance to resistance increases first and then decreases with the distance between adjacent turn or the number of turns as shown in Figure 5. The optimal number of turns of the coil with different turn spacing is also different. However, for the coil wound with equal turn spacing, the ratio of mutual inductance to resistance corresponding to the optimal number of turns reaches the maximum value when the distance between adjacent turn is 5 mm and the number of turns is 14. Therefore, we choose the optimal number of turns as 14 for further optimization.

3.2. Optimization of the Distance between Adjacent Turn

After the number of turns is determined, the problem degenerates into a single objective optimization problem under constraints, that is, maximizing ω M ( d ) / R ( d ) . There are many methods to solve constrained optimization problems, such as genetic algorithm, particle swarm optimization algorithm, simulated annealing algorithm and so on. Different optimization algorithms have different computation and performance. We choose genetic algorithm to solve the optimization problem in this paper. Genetic algorithm is a random search optimization algorithm that simulates biological genetic mechanism and natural selection. Its main feature is to take the coding of decision variables as the operation object, take the fitness function as the search information, and realize global optimization by using the information interaction between population evolution strategy and individuals. As shown in Figure 6, the steps of optimizing the distance between adjacent turn using genetic algorithm are as follows:
Step-1: Population initialization: At the beginning of the genetic algorithm optimization process, each variable gets a random value in the constraint interval. These variables are called genes, so d i is called gene in this case, and the vector d composed of d i is called chromosomes. The population is initialized by generating many sets of chromosomes by the above method. The size of population will not only affect the performance of optimization, but also affect the convergence speed of the solution. The larger the population size, the more difficult it is for individual optimal solutions to dominate the evolution direction of all solutions. The smaller the population size, the slower the speed of finding the optimal solution. The size of population size is related to the complexity of individual genes. Therefore, the selection of population size usually needs to make a compromise between the amount and the accuracy of calculation. In this case, the specific scale of population is determined by trial and error.
Step-2: Chromosome fitness: Individual fitness refers to the measure of individual dominance in population survival, which is used to distinguish between good and bad individuals. Fitness is calculated using fitness function. Since the MATLAB optimization toolkit used later can only find the minimum value of the objective function, we modify the optimization objective to R ( d ) / M ( d ) . The smaller the objective function R ( d ) / M ( d ) , the higher the fitness. Firstly, we sort the values of each individual corresponding to the objective function from small to large, and then the fitness of each individual is described as 1 / r corresponding to the sorting position r.
Step-3: Selection: In order to improve the average fitness of the population, it is necessary to continuously select individuals from the population as parents. There are several selection methods. The Stochastic Universal Sampling (SUS) selection method is used here. Assuming that the size of the population is N, we calculate the selection probability of individual i as:
p i = F i k = 1 N F k
where F i represents the fitness of the ith individual. As shown in Figure 7, all individuals are mapped to a continuous line segment, and the length of each individual on the line segment is directly proportional to the selection probability of the individual, that is, the line segment occupied by the individual with high selection probability is long, and the line segment occupied by the individual with low selection probability is short. The individual of the next generation is obtained by sampling the whole line segment at an interval of 1 / 14 through a pointer. If the pointer points to that area, the corresponding individual is selected as an individual of the next generation population.
Step-4: Crossover: After selection, individuals with high fitness are selected as parents. In order to generate new individuals and continue to optimize, that is, to generate new search space to find the best individual, the genes of the selected parents must be exchanged to generate new individuals. Genetic algorithm cuts the crossover point by a random generator, and generates a pair of new individuals by exchanging cross segments with each other. In this study, assuming that the pair from the parent generation is x p a r e n t 1 ,   x p a r e n t 2 , the child chromosome x c h i l d is calculated using the following formula:
x c h i l d = x p a r e n t 1 + p ( x p a r e n t 2 x p a r e n t 1 )
where p is a random number evenly distributed between [ 0 ,   1 ] .
Step-5: Mutation: Mutation operation is an auxiliary method to generate new individuals. It can improve the diversity of population by mutating genes, so as to enhance the ability of local search. Crossover and mutation cooperate with each other to complete the global search of the search space. The general mutation probability is selected within 0.01 [23]. If the mutation probability is too large, it will cause great damage to the solution, which is easy to lose the optimal solution. If the mutation probability is too small, it is easy to premature. Therefore, the adaptive mutation method is adopted, and the mutation probability changes from large to small. Extensive search is carried out at the beginning to maintain the diversity of the population, and detailed search is carried out at the end to prevent the optimal solution from being destroyed.
When the iteration reaches the maximum generation, the distance between adjacent turn and the corresponding mutual inductance and resistance can be obtained.

4. Results and Discussion

In the Section 3, we have given the determination method of the optimal number of turns and the optimization steps of turn spacing based on genetic algorithm. We get the optimal number of turns by the finite element simulation first. Then genetic algorithm is used to further optimize the turn spacing to improve the transfer quality factor of the coils. In the optimization process of turn spacing, COMSOL is used to calculate the fitness function, and the optimization toolbox provided by MATLAB is used to realize the optimization process based on genetic algorithm. Firstly, a population is randomly generated by MATLAB, each individual is transferred to COMSOL through the joint simulation interface of MATLAB and COMSOL, and then the geometry corresponding to the individual is reconstructed in COMSOL. Finally, the mutual inductance and resistance of the coils can be obtained through frequency domain simulation. When the maximum generation is reached, we get the optimized result.
Figure 8 illustrates the evolution of ω M ( d ) / R ( d ) through generations. Here, the population size is 50 and the crossover probability is 0.8 . It can be seen from Figure 8 that the minimum number of iterations required for the convergence of the algorithm is also random when the same population size and crossover probability are used for repeated calculation, but after the number of iterations is greater than 230, the algorithm can always converge to the same level. In order to verify the optimization results of genetic algorithm, we also compare the calculated results with the particle swarm and the pattern search method. The objective function and constraints in the calculation process are the same as those of genetic algorithm, and the initial point of search is set as d i n i = ( 70 ,   80 ,   90 ,   100 , 110 ,   120 ,   130 ,   140 ,   150 ,   160 ,   170 ,   180 ,   190 ,   200 ) . It can be seen from the convergence curves of the three methods shown in Figure 9 that the pattern search method takes more iterations, and the particle swarm optimization algorithm has fast convergence speed, but the three algorithms eventually converge to the same level. GA and Pattern search methods can be easily realized by calling the toolkit of MATLAB, while the constrained particle swarm optimization method can not directly call the toolkit of MATLAB. The result of convergence is d = ( 87 ,   101 ,   112 ,   123 ,   131 ,   140 ,   148 ,   157 ,   164 ,   172 ,   179 ,   186 ,   193 ,   200 ) .
An experimental study is also performed in order to verify the optimization results. As shown in Figure 10, the coil is fabricated by 3-mm litz wire which consists of 300 strands single wires. The two coils are fixed on the acrylic plate. The spacing of the coil is kept at 10 mm. Measurements have been performed by using the GWINSTEK LCR-8205 LCR meter (Gwinstek, Suzhou, China). The excitation frequency is set to 85 kHz. The mutual inductance is measured by the in-phase and the opposing-phase connections of primary and secondary coils. When the two coils are connected in the same phase, the inductance L s can be measured, and when the two coils are connected in opposite phase, the inductance L o can be measured, and mutual inductance can be obtained by ( L s L o ) / 4 [25].
In order to compare the performance of the optimization method proposed in this paper, we compare the performance of three kinds of coils. We specify that coil I represents the coil wound by tight winding method. The spacing of coils is 1 mm and the number of turns is 20 in order to make as many turns as possible. coil II represents the coil with equal interval winding method but only the number of turns is optimized, and coil III represents the optimized coil. The performance comparison is shown in Table 2. It can be seen that the measured results are consistent with the simulation results. The optimized transfer quality factor can be improved by 1.5% compared with the coil I wound by tight winding method, and 1% compared with the coil II with equal interval winding method but only the number of turns is optimized. The theoretical maximum transmission efficiency of the optimized coil can be improved by nearly 0.5% compared with the coil wound by the tight winding method. It can also be seen from the simulation and experimental results that the coil wound with litz wire can reduce the skin effect and obtain a higher transfer quality factor than a single copper wire, which is also an important reason why the measured coil resistance is smaller than the measured value.
In order to verify the performance of the transfer quality factor of the optimized coil varying with distance, we compare the optimized coil with the coil wound by tight winding method at an interval of 10 mm. The results in Table 3 shows that with the increase of the distance between coils, the transfer quality factor of coils decreases, and the optimized coil can also obtain a relatively high transfer quality factor compared with the coil wound by tight winding method.

5. Conclusions

This paper proposes an optimization design scheme of coils with high transfer quality factor in a limited space for S-S compensated inductive power transfer system. A pair of circular coils with the same structure is taken as an example to illustrate the optimization process. MATLAB and COMSOL are selected as auxiliary tools for the whole optimization process. The finite element simulation and measured results show that the method of determining the number of turns first and then optimizing the distance between adjacent turn can obtain a higher transfer quality factor than the conventional method of winding coil with equal turn spacing. The method proposed in this paper can be used to guide the optimal design of coils in a limited space.

Author Contributions

Conceptualization, P.L. and T.G.; methodology, P.L., Z.M.; software, P.L.; validation, P.L.; formal analysis, P.L., T.G., Z.M.; investigation, P.L.; resources, P.L.; data curation, P.L.; writing—original draft, P.L.; Writing—review and editing, P.L., Z.M. and T.G.; visualization, P.L.; supervision, Z.M. and T.G.; project administration, Z.M. and T.G.; funding acquisition, Z.M. All authors have read and agreed to the published version of the manuscript.

Funding

This research was funded by the National Natural Science Foundation of China, grant number 61572404.

Institutional Review Board Statement

Not applicable.

Informed Consent Statement

Not applicable.

Data Availability Statement

Not applicable.

Conflicts of Interest

The authors declare no conflict of interest.

References

  1. Sample, A.P.; Meyer, D.A.; Smith, J.R. Analysis, Experimental Results, and Range Adaptation of Magnetically Coupled Resonators for Wireless Power Transfer. IEEE Trans. Ind. Electron. 2011, 58, 544–554. [Google Scholar] [CrossRef]
  2. Zhang, Z.; Pang, H.; Georgiadis, A.; Cecati, C. Wireless Power Transfer-An Overview. IEEE Trans. Ind. Electron. 2019, 66, 1044–1058. [Google Scholar] [CrossRef]
  3. Liu, Q.; Wu, J.; Xia, P.; Zhao, S.; Chen, W. Charging unplugged: Will distributed laser charging for mobile wireless power transfer work? IEEE Veh. Technol. Mag. 2016, 11, 36–45. [Google Scholar] [CrossRef]
  4. Wang, B.; Teo, K.H.; Nishino, T.; Yerazunis, W.; Barnwell, J.; Zhang, J. Experiments on wireless power transfer with metamaterials. Appl. Phys. Lett. 2011, 98, 254101. [Google Scholar] [CrossRef] [Green Version]
  5. Ludois, D.C.; Erickson, M.J.; Reed, J.K. Aerodynamic fluid bearings for translational and rotating capacitors in noncontact capacitive power transfer systems. IEEE Trans. Ind. Appl. 2014, 50, 1025–1033. [Google Scholar] [CrossRef]
  6. Kuperman, A. Additional two-capacitor basic compensation topologies for resonant inductive wpt links. IEEE Trans. Power Deliv. 2020, 35, 2568–2570. [Google Scholar] [CrossRef]
  7. Riehl, P.S.; Satyamoorthy, A.; Akram, H.; Yen, Y.C.; Yang, J.C.; Juan, B.; Lee, C.M.; Lin, F.C.; Muratov, V.; Plumb, W. Wireless power systems for mobile devices supporting inductive and resonant operating modes. IEEE Trans. Microw. Theory Tech. 2015, 63, 780–790. [Google Scholar] [CrossRef]
  8. Zhong, W.; Hui, S. Maximum energy efficiency operation of series-series resonant wireless power transfer systems using on-off keying modulation. IEEE Trans. Power Electron. 2017, 99, 1. [Google Scholar] [CrossRef]
  9. Song, K.; Li, Z.; Jiang, J.; Zhu, C. Constant current/voltage charging operation for series-series and series-parallel compensated wireless power transfer systems employing primary-side controller. IEEE Trans. Power Electron. 2017, 33, 8065–8080. [Google Scholar] [CrossRef]
  10. Monti, G.; Costanzo, A.; Mastri, F.; Mongiardo, M. Optimal design of a wireless power transfer link using parallel and series resonators. Wireless Power Transfer. Wirel. Power Transf. 2016, 3, 105–116. [Google Scholar] [CrossRef]
  11. Hatc Ha Vanich, N.; Sangswang, A.; Konghirun, M. The Bifurcated Detection using the Sensing Coil for Parallel-Parallel Compensation in IPT System. In Proceedings of the IECON 2020–46th Annual Conference of the IEEE Industrial Electronics Society, Singapore, 18–21 October 2020. [Google Scholar]
  12. Ramezani, A.; Farhangi, S.; Iman-Eini, H.; Farhangi, B.; Rahimi, R.; Moradi, G.R. Optimized lcc-series compensated resonant network for stationary wireless ev chargers. IEEE Transactions on Industrial Electronics. IEEE Trans. Ind. Electron. 2019, 66, 2756–2765. [Google Scholar] [CrossRef]
  13. Li, S.; Li, W.; Deng, J.; Nguyen, T.D.; Mi, C.C. A double-sided lcc compensation network and its tuning method for wireless power transfer. IEEE Trans. Veh. Technol. 2015, 64, 2261–2273. [Google Scholar] [CrossRef]
  14. Yao, Y.; Wang, Y.; Liu, X.; Lin, F.; Xu, D. A novel parameter tuning method for a double-sided lcl compensated wpt system with better comprehensive performance. IEEE Trans. Power Electron. 2018, 33, 8525–8536. [Google Scholar] [CrossRef]
  15. Zhou, X.; Garmatyuk, D. Frequency-selective planar coil architecture modeling for wpt access control. Appl. Comput. Electromagn. Soc. J. 2021, 35, 1452–1453. [Google Scholar] [CrossRef]
  16. Wu, J.; Zhao, C.; Lin, Z.; Du, J.; Hu, Y.; He, X. Wireless power and data transfer via a common inductive link using frequency division multiplexing. IEEE Trans. Ind. Electron. 2015, 62, 7810–7820. [Google Scholar] [CrossRef] [Green Version]
  17. Moon, S.; Kim, B.; Cho, S.; Ahn, C.; Moon, G. Analysis and design of a wireless power transfer system with an intermediate coil for high efficiency. IEEE Trans. Ind. Electron. 2014, 61, 5861–5870. [Google Scholar] [CrossRef]
  18. Huang, X.; Wei, C.; Chen, Q. A design algorithm of circular transmitting coil to achieve uniform magnetic field distribution in WPT applications. In Proceedings of the 2015 IEEE 2nd International Future Energy Electronics Conference (IFEEC), Taipei, Taiwan, 1–4 November 2015. [Google Scholar]
  19. Zhang, Y.; Zhao, Z.; Chen, K. Frequency Decrease Analysis of Resonant Wireless Power Transfer. IEEE Trans. Power Electron. 2013, 29, 1058–1063. [Google Scholar] [CrossRef]
  20. Wang, P.Y.; Sun, Y.; Ye, Z.H.; Dai, X.; Liao, Z.J. An Optimal Design Method of Coils for Magnetic Coupled Wireless Power Transfer System. In Proceedings of the 2018 Progress in Electromagnetics Research Symposium (PIERS-Toyama), Toyama, Japan, 1–4 August 2018. [Google Scholar]
  21. Sampath, J.; Alphones, A.; Shimasaki, H. Coil design guidelines for high efficiency of wireless power transfer (WPT). In Proceedings of the 2016 IEEE Region 10 Conference, Singapore, 22–25 November 2016. [Google Scholar]
  22. Fadhel, Y.B.; Bouattour, G.; Bouchaala, D.; Derbel, N.; Kanoun, O. Design optimization of spiral coils for textile applications by genetic algorithm. In Proceedings of the 18th International Multi-Conference on Systems, Signals and Devices (SSD), Monastir, Tunisia, 22–25 March 2021. [Google Scholar]
  23. Sasatani, T.; Narusue, Y.; Kawahara, Y. Genetic algorithm-based receiving resonator array design for wireless power transfer. IEEE Access 2020, 8, 222385–222396. [Google Scholar] [CrossRef]
  24. Kuang, S.; Yan, G.; Wang, Z. Optimization design for receiving coil with novel structure based on mutual coupling model in wireless power transmission for capsule endoscope. Energies 2020, 13, 6460. [Google Scholar] [CrossRef]
  25. Liu, P.; Gao, T.; Mao, Z. Analysis of the Mutual Impedance of Coils Immersed in Water. Magnetochemistry 2021, 7, 113. [Google Scholar] [CrossRef]
Figure 1. Equivalent circuit model of S-S compensated topology.
Figure 1. Equivalent circuit model of S-S compensated topology.
Magnetochemistry 08 00030 g001
Figure 2. Theoretical maximum transfer efficiency varying with T Q .
Figure 2. Theoretical maximum transfer efficiency varying with T Q .
Magnetochemistry 08 00030 g002
Figure 3. Two-dimensional axisymmetric model of planar circular coil.
Figure 3. Two-dimensional axisymmetric model of planar circular coil.
Magnetochemistry 08 00030 g003
Figure 4. (a) Curve of resistance with turn number N and the distance d between adjacent turn. (b) Curve of M with turn number N and the distance d between adjacent turn.
Figure 4. (a) Curve of resistance with turn number N and the distance d between adjacent turn. (b) Curve of M with turn number N and the distance d between adjacent turn.
Magnetochemistry 08 00030 g004
Figure 5. (a) Curve of transfer quality factor with turn number N and the distance d between adjacent turn. (b) Transfer quality factor corresponding to the optimal number of turns N o p t under different turn spacing d.
Figure 5. (a) Curve of transfer quality factor with turn number N and the distance d between adjacent turn. (b) Transfer quality factor corresponding to the optimal number of turns N o p t under different turn spacing d.
Magnetochemistry 08 00030 g005
Figure 6. Optimization procedure of the distance between adjacent turn.
Figure 6. Optimization procedure of the distance between adjacent turn.
Magnetochemistry 08 00030 g006
Figure 7. Schematic diagram of SUS principle.The red numbers in the figure are only used to illustrate the principle of this method.
Figure 7. Schematic diagram of SUS principle.The red numbers in the figure are only used to illustrate the principle of this method.
Magnetochemistry 08 00030 g007
Figure 8. Evolution of the genetic algorithm.
Figure 8. Evolution of the genetic algorithm.
Magnetochemistry 08 00030 g008
Figure 9. Convergence curve of genetic algorithm, particle swarm, and pattern search.
Figure 9. Convergence curve of genetic algorithm, particle swarm, and pattern search.
Magnetochemistry 08 00030 g009
Figure 10. Experimental setup.
Figure 10. Experimental setup.
Magnetochemistry 08 00030 g010
Table 1. Fixed variables.
Table 1. Fixed variables.
ParametersSymbolValue
the working frequencyf85 kHz
the minimum distance between adjacent turnm1 mm
the vertical distance between the two coils Z 0 10 mm
the maximum radius of the outermost turn of the coil d N m a x 200 mm
the radius of the wire used to wind the coil r 0 1.5 mm
Table 2. Performance comparison of the coils.
Table 2. Performance comparison of the coils.
f/kHzCoilNd/mmM/uH R / Ω ω M / R ( T Q ) η m a x
I (simulation)201155.90.770108.198.17%
II (simulation)14559.20.205154.198.71%
85III (simulation)14d59.60.204156.098.73%
I (measurement)201154.00.751109.598.19%
II (measurement)14558.40.198157.498.74%
III (measurement)14d59.10.195161.898.77%
Table 3. Performance comparison of optimized coils with distance.
Table 3. Performance comparison of optimized coils with distance.
f/kHzCoil Z 0 ( mm ) ω M / R ( T Q ) η m a x
I (simulation)10108.198.17%
I (simulation)20105.998.13%
I (simulation)30100.598.0%
III (simulation)10156.098.73%
III (simulation)20149.598.67%
III (simulation)30140.398.58%
85I (measurement)10109.598.19%
I (measurement)20106.798.14%
I (measurement)30101.298.04%
III (measurement)10161.898.77%
III (measurement)20150.498.68%
III (measurement)30142.198.60%
Publisher’s Note: MDPI stays neutral with regard to jurisdictional claims in published maps and institutional affiliations.

Share and Cite

MDPI and ACS Style

Liu, P.; Gao, T.; Mao, Z. Optimization of Transfer Quality Factor of Limited-Size Coils for Series-Series Compensated Inductive Power Transfer System. Magnetochemistry 2022, 8, 30. https://doi.org/10.3390/magnetochemistry8030030

AMA Style

Liu P, Gao T, Mao Z. Optimization of Transfer Quality Factor of Limited-Size Coils for Series-Series Compensated Inductive Power Transfer System. Magnetochemistry. 2022; 8(3):30. https://doi.org/10.3390/magnetochemistry8030030

Chicago/Turabian Style

Liu, Peizhou, Tiande Gao, and Zhaoyong Mao. 2022. "Optimization of Transfer Quality Factor of Limited-Size Coils for Series-Series Compensated Inductive Power Transfer System" Magnetochemistry 8, no. 3: 30. https://doi.org/10.3390/magnetochemistry8030030

APA Style

Liu, P., Gao, T., & Mao, Z. (2022). Optimization of Transfer Quality Factor of Limited-Size Coils for Series-Series Compensated Inductive Power Transfer System. Magnetochemistry, 8(3), 30. https://doi.org/10.3390/magnetochemistry8030030

Note that from the first issue of 2016, this journal uses article numbers instead of page numbers. See further details here.

Article Metrics

Back to TopTop